Exploring Nutritional Quality and Bioactive Compounds in Oat Mediterranean Landraces and Cultivars
Abstract
1. Introduction
2. Materials and Methods
2.1. Plant Material
2.2. Sample Preparation
2.3. Chemical Analysis
2.3.1. Elemental Analysis of Carbon and Nitrogen
2.3.2. β-Glucans
2.3.3. Arabinoxylan
2.3.4. Phenolic Compounds
2.3.5. Avenanthramides
2.3.6. Non-Enzymatic Antioxidant Activity
2.3.7. Statistical Analysis
3. Results
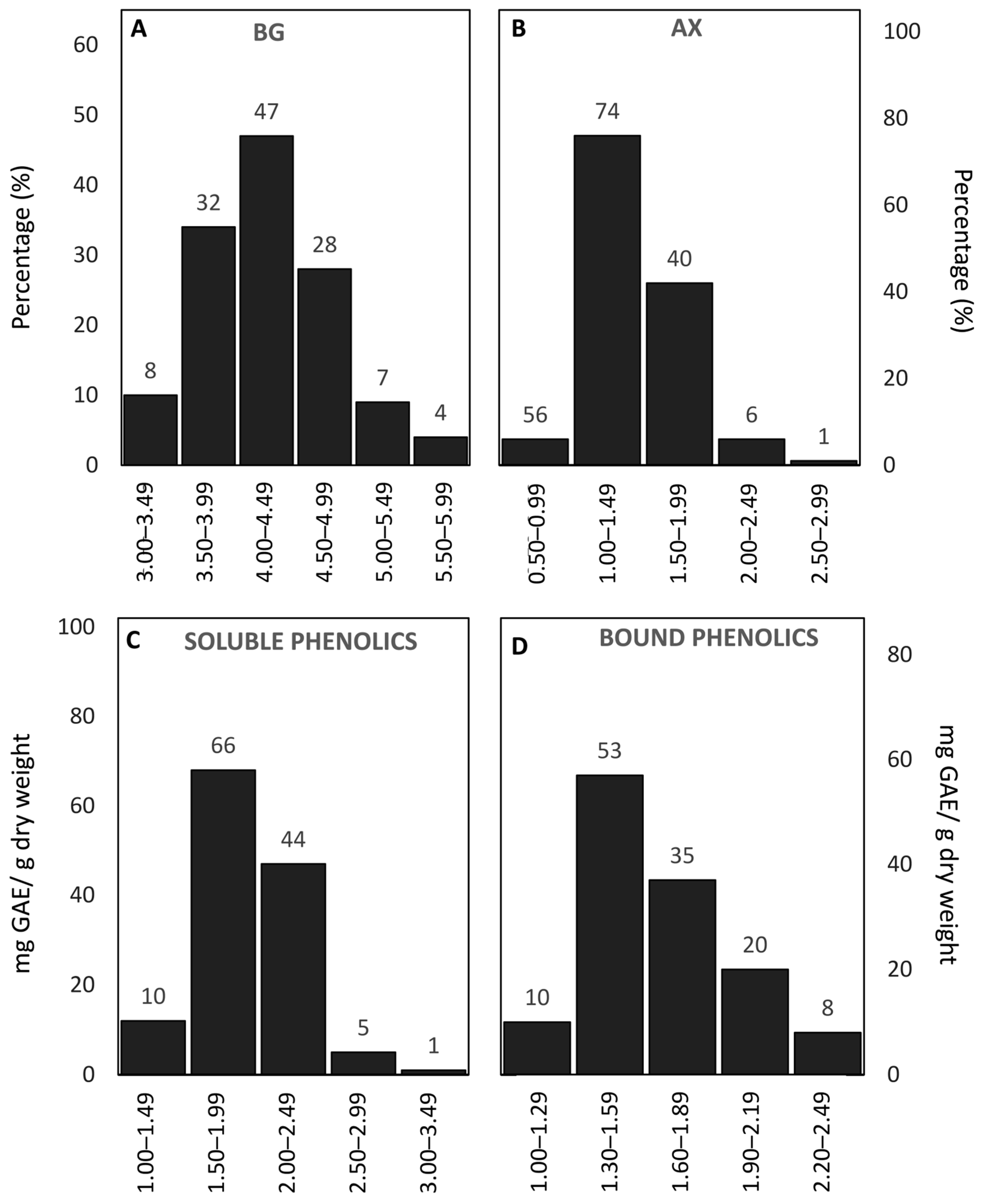
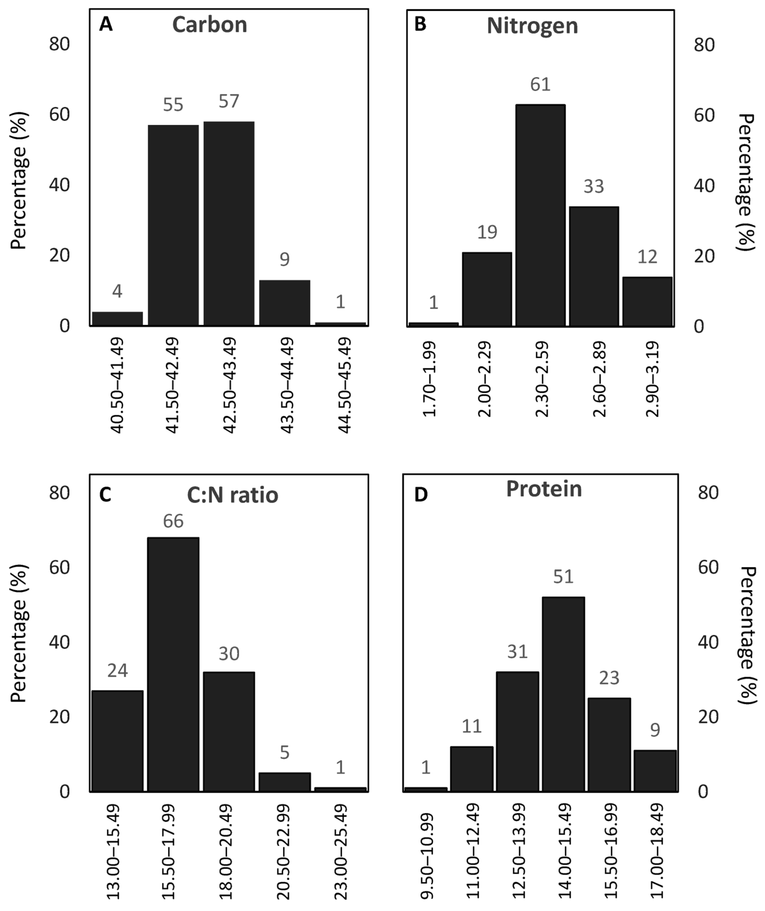
3.1. Distribution Patterns of Nutritional and Functional Compounds Across Oat Accessions
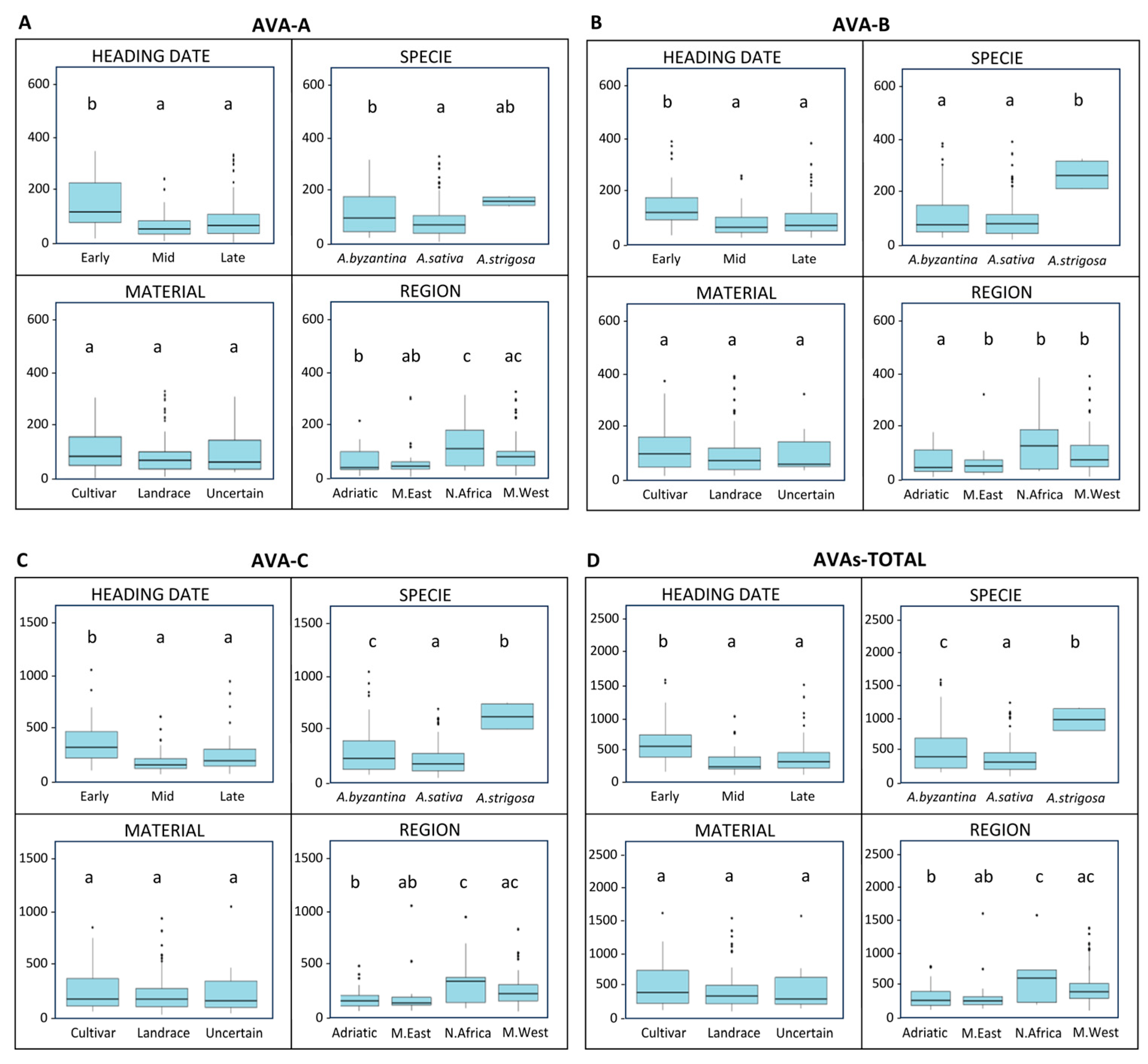
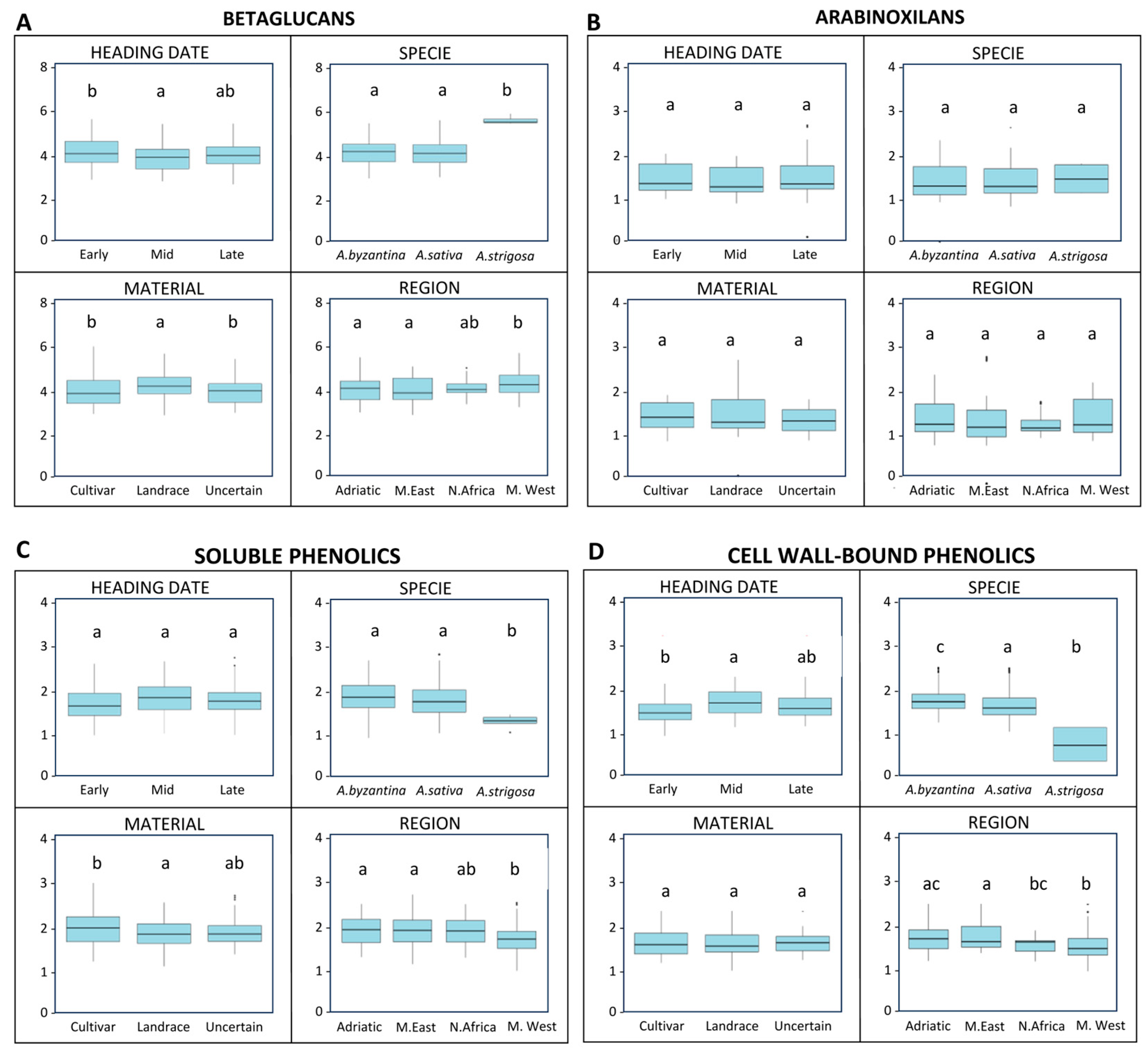
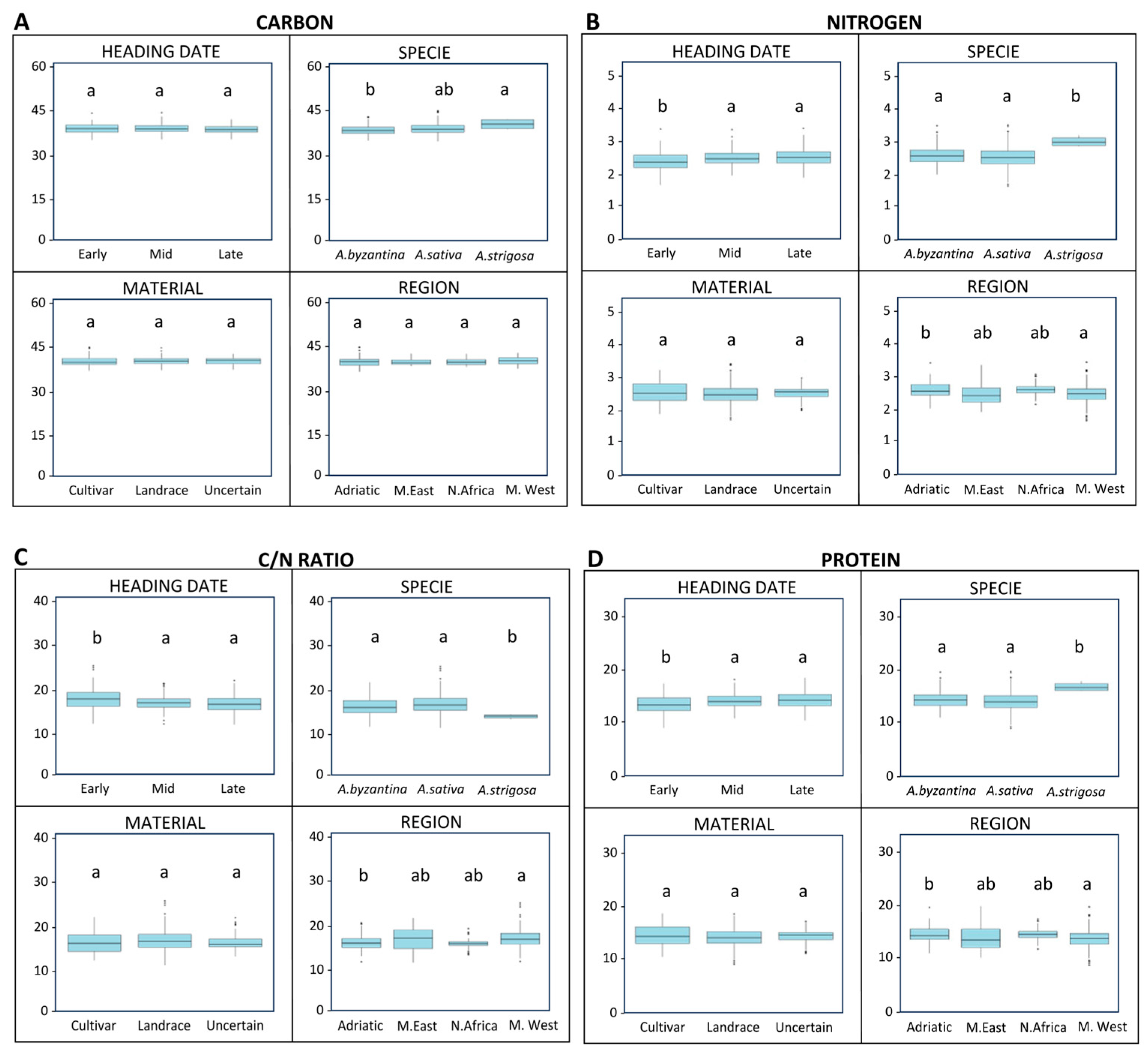
3.2. Variation in Grain Nutritional and Functional Compounds Across Heading Date, Species, Material Type and Origin
3.3. Trait Correlation Patterns
3.4. Clustering Patterns of Nutritional and Functional Compounds
3.5. Antioxidant Potential
4. Discussion
Supplementary Materials
Author Contributions
Funding
Institutional Review Board Statement
Data Availability Statement
Acknowledgments
Conflicts of Interest
Abbreviations
| AVN | Avenanthramide |
| AXs | Arabinoxylans |
| C | Carbon |
| N | Nitrogen |
References
- Canales, F.J.; Montilla-Bascon, G.; Bekele, W.A.; Howarth, C.J.; Langdon, T.; Rispail, N.; Tinker, N.A.; Prats, E. Population genomics of Mediterranean oat (A. sativa) reveals high genetic diversity and three loci for heading date. Theor. Appl. Genet. 2021, 134, 2063–2077. [Google Scholar] [CrossRef] [PubMed]
- Sanchez-Martin, J.; Rubiales, D.; Flores, F.; Emeran, A.A.; Shtaya, M.J.Y.; Sillero, J.C.; Allagui, M.B.; Prats, E. Adaptation of oat (Avena sativa) cultivars to autumn sowings in Mediterranean environments. Field Crops Res. 2014, 156, 111–122. [Google Scholar] [CrossRef]
- Stevens, E.J.; Armstrong, K.W.; Bezar, H.J.; Griffin, W.B. Fodder oats: An overview. In Fodder Oats: A World Overview; Suttie, J.M., Reynolds, S.G., Eds.; Plant Production and Protection Series; FAO: Rome, Italy, 2004; Volume 33, pp. 1–9. [Google Scholar]
- Zhang, K.; Dong, R.; Hu, X.; Ren, C.; Li, Y. Oat-based foods: Chemical constituents, glycemic index, and the effect of processing. Foods 2021, 10, 1304. [Google Scholar] [CrossRef] [PubMed]
- Zheng, Z.L. Carbon and nitrogen nutrient balance signaling in plants. Plant Signal. Behav. 2009, 4, 584–591. [Google Scholar] [CrossRef]
- Xie, J.; Liu, M.; Xiao, Z.; Li, X.; Cao, F.; Chen, J.; Huang, M.; Ali, I.; Iqbal, A.; Wahab, A.; et al. Relationships between grain quality and leaf carbon and nitrogen status in high-quality hybrid rice across different sowing dates and nitrogen management. Front. Agron. 2025, 7, 1664142. [Google Scholar] [CrossRef]
- Paudel, D.; Dhungana, B.; Caffe, M.; Krishnan, P. A review of health-beneficial properties of oats. Foods 2021, 10, 2591. [Google Scholar] [CrossRef]
- Tang, Y.; Li, S.; Yan, J.; Peng, Y.; Weng, W.; Yao, X.; Gao, A.; Cheng, J.; Ruan, J.; Xu, B. Bioactive components and health functions of oat. Food Rev. Int. 2023, 39, 4545–4564. [Google Scholar] [CrossRef]
- Bai, J.; Li, T.; Zhang, W.; Fan, M.; Qian, H.; Li, Y.; Wang, L. Systematic assessment of oat β-glucan catabolism during in vitro digestion and fermentation. Food Chem. 2021, 348, 129116. [Google Scholar] [CrossRef]
- Zhang, M.; Liang, Y.; Pei, Y.; Gao, W.; Zhang, Z. Effect of process on physicochemical properties of oat bran soluble dietary fiber. J. Food Sci. 2009, 74, C628–C636. [Google Scholar] [CrossRef]
- Singh, R.P.; Bhardwaj, A. β-glucans: A potential source for maintaining gut microbiota and the immune system. Front. Nutr. 2023, 10, 1143682. [Google Scholar] [CrossRef]
- Vetvicka, V.; Dvorak, B.; Vetvickova, J.; Richter, J.; Krizan, J.; Sima, P.; Yvin, J.C. Orally administered marine (1→3)-β-D-glucan Phycarine stimulates both humoral and cellular immunity. Int. J. Biol. Macromol. 2007, 40, 291–298. [Google Scholar] [CrossRef]
- Zekovic, D.B.; Kwiatkowski, S.; Vrvic, M.M.; Jakovljevic, D.; Moran, C.A. Natural and modified (1→3)-β-D-glucans in health promotion and disease alleviation. Crit. Rev. Biotechnol. 2005, 25, 205–230. [Google Scholar] [CrossRef]
- Kellow, N.J.; Walker, K.Z. Authorised EU health claim for arabinoxylan. In Foods, Nutrients and Food Ingredients with Authorised EU Health Claims; Woodhead Publishing: Sawston, UK, 2018; pp. 201–218. [Google Scholar]
- Rosicka-Kaczmarek, J.; Komisarczyk, A.; Nebesny, E.; Makowski, B. The influence of arabinoxylans on the quality of grain industry products. Eur. Food Res. Technol. 2016, 242, 295–303. [Google Scholar] [CrossRef]
- Chen, Z.; Li, S.; Fu, Y.; Li, C.; Chen, D.; Chen, H. Arabinoxylan structural characteristics, interaction with gut microbiota and potential health functions. J. Funct. Foods 2019, 54, 536–551. [Google Scholar] [CrossRef]
- EFSA Panel on Dietetic Products, Nutrition and Allergies. Scientific opinion on the substantiation of health claims related to arabinoxylan produced from wheat endosperm and reduction of post-prandial glycaemic responses (ID 830) pursuant to Article 13(1) of Regulation (EC) No 1924/2006. EFSA J. 2011, 9, 2205. [Google Scholar] [CrossRef]
- Ryan, L.; Thondre, P.S.; Henry, C.J.K. Oat-based breakfast cereals are a rich source of polyphenols and high in antioxidant potential. J. Food Compos. Anal. 2011, 24, 929–934. [Google Scholar] [CrossRef]
- Xie, X.; Lin, M.Y.; Xiao, G.S.; Liu, H.F.; Wang, F.; Liu, D.J.; Ma, L.K.; Wang, Q.; Li, Z.Y. Phenolic amides (avenanthramides) in oats—An update review. Bioengineered 2024, 15, 2305029. [Google Scholar] [CrossRef]
- Kang, C.; Shin, W.S.; Yeo, D.; Lim, W.; Zhang, T.; Ji, L.L. Anti-inflammatory effect of avenanthramides via NF-κB pathways in C2c12 skeletal muscle cells. Free Radic. Biol. Med. 2018, 117, 30–36. [Google Scholar] [CrossRef]
- Muntaha, S.T.; Rakha, A.; Rasheed, H.; Fatima, I.; Butt, M.S.; Abdi, G.; Aadil, R.M. Polyphenol-protein particles: A nutraceutical breakthrough in nutrition and food science. J. Agric. Food Res. 2025, 19, 101641. [Google Scholar] [CrossRef]
- Wu, Z.; Ming, J.; Gao, R.; Wang, Y.; Liang, Q.; Yu, H.; Zhao, G. Characterization and antioxidant activity of the complex of tea polyphenols and oat β-glucan. J. Agric. Food Chem. 2011, 59, 10737–10746. [Google Scholar] [CrossRef]
- Canales, F.J.; Montilla-Bascon, G.; Gallego-Sanchez, L.M.; Flores, F.; Rispail, N.; Prats, E. Deciphering main climate and edaphic components driving oat adaptation to Mediterranean environments. Front. Plant Sci. 2021, 12, 780562. [Google Scholar] [CrossRef] [PubMed]
- Montilla-Bascon, G.; Sanchez-Martin, J.; Rispail, N.; Rubiales, D.; Mur, L.; Langdon, T.; Griffiths, I.; Howarth, C.; Prats, E. Genetic diversity and population structure among oat cultivars and landraces. Plant Mol. Biol. Report. 2013, 31, 1305–1314. [Google Scholar] [CrossRef]
- Newton, A.C.; Akar, T.; Baresel, J.P.; Bebeli, P.J.; Bettencourt, E.; Bladenopoulos, K.V.; Czembor, J.H.; Fasoula, D.A.; Katsiotis, A.; Koutis, K.; et al. Cereal landraces for sustainable agriculture. A review. Agron. Sustain. Dev. 2010, 30, 237–269. [Google Scholar] [CrossRef]
- FAO. Protein Conversion Factors; FAO Food and Nutrition Paper 14/7; FAO: Rome, Italy, 2002. [Google Scholar]
- Mariotti, F.; Tome, D.; Mirand, P.P. Converting nitrogen into protein—Beyond 6.25 and Jones’ factors. Crit. Rev. Food Sci. Nutr. 2008, 48, 177–184. [Google Scholar] [CrossRef]
- Newell, M.A.; Kim, H.J.; Asoro, F.G.; Lauter, A.M.; White, P.J.; Scott, M.P.; Jannink, J.L. Microenzymatic evaluation of oat (Avena sativa L.) β-glucan for high-throughput phenotyping. Cereal Chem. 2014, 91, 183–188. [Google Scholar] [CrossRef]
- Balakrishnan, A.P.; Jain, A.; Singh, S.K.; Ahlawat, A.K.; Jaiswal, J.P.; Mahendru-Singh, A.; Bhardwaj, R. Development of a NIRS-based prediction model for measurement of whole wheat flour arabinoxylan content to aid rapid germplasm screening. J. Cereal Sci. 2025, 123, 104173. [Google Scholar] [CrossRef]
- Singleton, V.L. Citation classic-colorimetry of total phenolics with phosphomolybdic-phosphotungstic acid reagents. Curr. Contents/Agric. Biol. Environ. Sci. 1985, 48, 18. [Google Scholar]
- Bobo-Garcia, G.; Davidov-Pardo, G.; Arroqui, C.; Virseda, P.; Marin-Arroyo, M.R.; Navarro, M. Intra-laboratory validation of microplate methods for total phenolic content and antioxidant activity on polyphenolic extracts, and comparison with conventional spectrophotometric methods. J. Sci. Food Agric. 2015, 95, 204–209. [Google Scholar] [CrossRef]
- Bryngelsson, S.; Mannerstedt-Fogelfors, B.; Kamal-Eldin, A.; Andersson, R.; Dimberg, L.H. Lipids and antioxidants in groats and hulls of Swedish oats (Avena sativa L). J. Sci. Food Agric. 2002, 82, 606–614. [Google Scholar] [CrossRef]
- Wise, M.L. Effect of chemical systemic acquired resistance elicitors on avenanthramide biosynthesis in oat (Avena sativa). J. Agric. Food Chem. 2011, 59, 7028–7038. [Google Scholar] [CrossRef]
- Pridal, A.A.; Böttger, W.; Ross, A.B. Analysis of avenanthramides in oat products and estimation of avenanthramide intake in humans. Food Chem. 2018, 253, 93–100. [Google Scholar] [CrossRef] [PubMed]
- Blois, M.S. Antioxidant determinations by the use of a stable free radical. Nature 1958, 181, 1199–1200. [Google Scholar] [CrossRef]
- R Development Core Team. R: A Language and Environment for Statistical Computing, version 2.7.2; R Foundation for Statistical Computing: Vienna, Austria, 2008.
- Doehlert, D.C.; McMullen, M.S.; Hammond, J.J. Genotypic and environmental effects on grain yield and quality of oat grown in North Dakota. Crop Sci. 2001, 41, 1066–1072. [Google Scholar] [CrossRef]
- Peterson, D.M.; Wesenberg, D.M.; Burrup, D.E.; Erickson, C.A. Relationships among agronomic traits and grain composition in oat genotypes grown in different environments. Crop Sci. 2005, 45, 1249–1255. [Google Scholar] [CrossRef]
- Howarth, C.J.; Martinez-Martin, P.M.J.; Cowan, A.A.; Griffiths, I.M.; Sanderson, R.; Lister, S.J.; Langdon, T.; Clarke, S.; Fradgley, N.; Marshall, A.H. Genotype and environment affect the grain quality and yield of winter oats (Avena sativa L.). Foods 2021, 10, 2356. [Google Scholar] [CrossRef]
- EFSA Panel on Dietetic Products, Nutrition and Allergies. Scientific opinion on dietary reference values for carbohydrates and dietary fibre. EFSA J. 2010, 8, 1462. [Google Scholar] [CrossRef]
- Dykes, L.; Rooney, L.W. Phenolic compounds in cereal grains and their health benefits. Cereal Foods World 2007, 52, 105–111. [Google Scholar] [CrossRef]
- Horvat, D.; Simic, G.; Drezner, G.; Lalic, A.; Ledencan, T.; Tucak, M.; Plavsic, H.; Andric, L.; Zdunic, Z. Phenolic acid profiles and antioxidant activity of major cereal crops. Antioxidants 2020, 9, 527. [Google Scholar] [CrossRef]
- Leonova, S.; Gnutikov, A.; Loskutov, I.; Blinova, E.; Gustafsson, K.E.; Olsson, O. Diversity of avenanthramide content in wild and cultivated oats. Proc. Appl. Bot. Genet. Breed. 2020, 181, 30–47. [Google Scholar] [CrossRef]
- Lee, J.K.; Kim, I.; Jeon, E.K.; Ha, J.H.; Hwang, C.W.; Kim, J.C.; Yang, W.S.; Choi, H.; Kim, H.D.; Kim, C.H. Bacterially converted oat active ingredients enhances antioxidative and anti-uvb photoaging activities. Evid.-Based Complement. Altern. Med. 2022, 2022, 1901564. [Google Scholar] [CrossRef]
- Peterson, D.M.; Hahn, M.J.; Emmons, C.L. Oat avenanthramides exhibit antioxidant activities in vitro. Food Chem. 2002, 79, 473–478. [Google Scholar] [CrossRef]
- Redaelli, R.; Dimberg, L.; Germeier, C.U.; Berardo, N.; Locatelli, S.; Guerrini, L. Variability of tocopherols, tocotrienols and avenanthramides contents in European oat germplasm. Euphytica 2016, 207, 273–292. [Google Scholar] [CrossRef]
- Meydani, M. Avenanthramides, unique polyphenols of oats with potential health effects. In Oats Nutrition and Technology; YiFang, C., Ed.; Wiley: Hoboken, NJ, USA, 2013; pp. 255–264. [Google Scholar]
- Peltonen-Sainio, P.; Kangas, A.; Salo, Y.; Jauhiainen, L. Grain number dominates grain weight in temperate cereal yield determination: Evidence based on 30 years of multi-location trials. Field Crops Res. 2007, 100, 179–188. [Google Scholar] [CrossRef]
- Izydorczyk, M.S.; Biliaderis, C.G. Cereal arabinoxylans: Advances in structure and physicochemical properties. Carbohydr. Polym. 1995, 28, 33–48. [Google Scholar] [CrossRef]
- Wood, P.J. Oat and rye β-glucan: Properties and function. Cereal Chem. 2010, 87, 315–330. [Google Scholar] [CrossRef]
- Dwivedi, S.L.; Reynolds, M.P.; Ortiz, R. Mitigating tradeoffs in plant breeding. Iscience 2021, 24, 102965. [Google Scholar] [CrossRef]
- Mnich, E.; Bjarnholt, N.; Eudes, A.; Harholt, J.; Holland, C.; Jorgensen, B.; Larsen, F.H.; Liu, M.; Manat, R.; Meyer, A.S.; et al. Phenolic cross-links: Building and de-constructing the plant cell wall. Nat. Prod. Rep. 2020, 37, 919–961. [Google Scholar] [CrossRef]
- Schendel, R.R.; Meyer, M.R.; Bunzel, M. Quantitative profiling of feruloylated arabinoxylan side-chains from graminaceous cell walls. Front. Plant Sci. 2016, 6, 1249. [Google Scholar] [CrossRef]
- Peterson, D.M. Oat antioxidants. J. Cereal Sci. 2001, 33, 115–129. [Google Scholar] [CrossRef]
- Calinoiu, L.F.; Vodnar, D.C. Whole grains and phenolic acids: A review on bioactivity, functionality, health benefits and bioavailability. Nutrients 2018, 10, 1615. [Google Scholar] [CrossRef]
- Guan, H.; Zhang, W.Y.; Sun-Waterhouse, D.; Jiang, Y.; Li, F.; Waterhouse, G.N.; Li, D.P. Phenolic-protein interactions in foods and post ingestion: Switches empowering health outcomes. Trends Food Sci. Technol. 2021, 118, 71–86. [Google Scholar] [CrossRef]
- Dimberg, L.H.; Sunnerheim, K.; Sundberg, B.; Walsh, K. Stability of oat avenanthramides. Cereal Chem. 2001, 78, 278–281. [Google Scholar] [CrossRef]
- Bazzer, S.K.; Oliveira, G.; Fiedler, J.D.; Nandety, R.S.; Jannink, J.L.; Caffe, M. Genomic strategies to facilitate breeding for increased β-Glucan content in oat (Avena sativa L.). BMC Genom. 2025, 26, 35. [Google Scholar] [CrossRef]
- Dhakal, A.; Poland, J.; Adhikari, L.; Faryna, E.; Fiedler, J.; Rutkoski, J.E.; Arbelaez, J.D. Implementing multi-trait genomic selection to improve grain milling quality in oats (Avena sativa L.). Plant Genome 2024, 17, e20457. [Google Scholar] [CrossRef]









Disclaimer/Publisher’s Note: The statements, opinions and data contained in all publications are solely those of the individual author(s) and contributor(s) and not of MDPI and/or the editor(s). MDPI and/or the editor(s) disclaim responsibility for any injury to people or property resulting from any ideas, methods, instructions or products referred to in the content. |
© 2026 by the authors. Licensee MDPI, Basel, Switzerland. This article is an open access article distributed under the terms and conditions of the Creative Commons Attribution (CC BY) license.
Share and Cite
Prats, E.; Cañuelo, M.J.; Tejero-Arroyo, C.; Sghaier-Hammami, B.; Hammami, S.B.M.; Montilla-Bascon, G. Exploring Nutritional Quality and Bioactive Compounds in Oat Mediterranean Landraces and Cultivars. Antioxidants 2026, 15, 341. https://doi.org/10.3390/antiox15030341
Prats E, Cañuelo MJ, Tejero-Arroyo C, Sghaier-Hammami B, Hammami SBM, Montilla-Bascon G. Exploring Nutritional Quality and Bioactive Compounds in Oat Mediterranean Landraces and Cultivars. Antioxidants. 2026; 15(3):341. https://doi.org/10.3390/antiox15030341
Chicago/Turabian StylePrats, Elena, María Jesús Cañuelo, Carmen Tejero-Arroyo, Besma Sghaier-Hammami, Sofiene B. M. Hammami, and Gracia Montilla-Bascon. 2026. "Exploring Nutritional Quality and Bioactive Compounds in Oat Mediterranean Landraces and Cultivars" Antioxidants 15, no. 3: 341. https://doi.org/10.3390/antiox15030341
APA StylePrats, E., Cañuelo, M. J., Tejero-Arroyo, C., Sghaier-Hammami, B., Hammami, S. B. M., & Montilla-Bascon, G. (2026). Exploring Nutritional Quality and Bioactive Compounds in Oat Mediterranean Landraces and Cultivars. Antioxidants, 15(3), 341. https://doi.org/10.3390/antiox15030341

