Myeloperoxidase (MPO) Enzymatic Activity, but Not Its Protein Concentration, Is Associated with the Risk of Type 2 Diabetes in Females, Regardless of Obesity Status
Abstract
1. Introduction
2. Methods
2.1. Study Cohort
2.2. Biochemical Analysis
2.3. Assay of MPO Activity
2.4. Assessment of MPO Concentration
2.5. Assessment of MPO-Specific Activity
2.6. Assessment of Anthropometric Indexes of Adiposity and Body Composition Using DXA
2.7. Statistical Analysis
3. Results
3.1. Main Characteristics of the Study Population
3.2. MPO Activity, Concentration, and -Specific Activity in T2DM
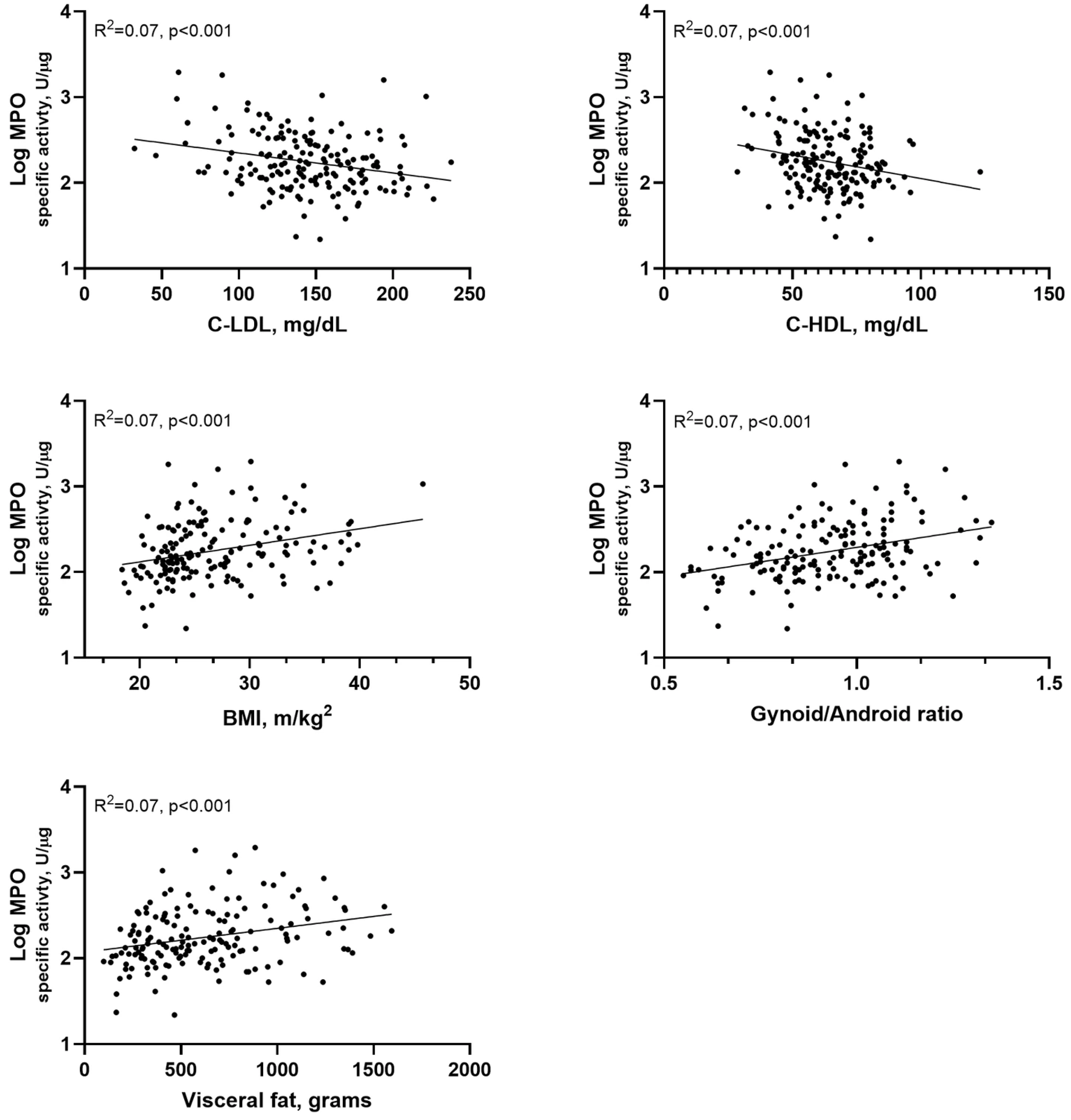
3.3. Relationship Between Myeloperoxidase (MPO) (Activity, Concentration, and -Specific Activity), Metabolic Parameters, and Body Fat Distribution
3.4. Variables, Including T2DM, Independently Associated with MPO-Specific Activity
4. Discussion
5. Conclusions
Supplementary Materials
Author Contributions
Funding
Institutional Review Board Statement
Informed Consent Statement
Data Availability Statement
Acknowledgments
Conflicts of Interest
References
- Zatterale, F.; Longo, M.; Naderi, J.; Raciti, G.A.; Desiderio, A.; Miele, C.; Beguinot, F. Chronic Adipose Tissue Inflammation Linking Obesity to Insulin Resistance and Type 2 Diabetes. Front Physiol. 2020, 10, 1607. [Google Scholar] [CrossRef]
- Akash, M.S.H.; Rehman, K.; Chen, S. Role of inflammatory mechanisms in pathogenesis of type 2 diabetes mellitus. J. Cell Biochem. 2013, 114, 525–531. [Google Scholar] [CrossRef]
- Manrique-Acevedo, C.; Chinnakotla, B.; Padilla, J.; Martinez-Lemus, L.A.; Gozal, D. Obesity and cardiovascular disease in females. Int. J. Obes. 2020, 44, 1210–1226. [Google Scholar] [CrossRef]
- Lavie, C.J.; Milani, R.V.; Ventura, H.O. Obesity and cardiovascular disease: Risk factor, paradox, and impact of weight loss. J. Am. Coll. Cardiol. 2009, 53, 1925–19324. [Google Scholar] [CrossRef] [PubMed]
- Carr, M.C. The emergence of the metabolic syndrome with menopause. J. Clin. Endocrinol. Metab. 2003, 88, 2404–2411. [Google Scholar] [CrossRef] [PubMed]
- Liu, Y.; Liang, Z.; Li, X.; Xiong, J. Association between BMI trajectories and metabolic syndrome in postmenopausal women: A cross-sectional study from NHANES 1999–2018. BMC Public Health 2025, 26, 121. [Google Scholar] [CrossRef]
- Ley, C.J.; Lees, B.; Stevenson, J.C. Sex- and menopause-associated changes in body-fat distribution. Am. J. Clin. Nutr. 1992, 55, 950–954. [Google Scholar] [CrossRef]
- Anatoliotakis, N.; Deftereos, S.; Bouras, G.; Giannopoulos, G.; Tsounis, D.; Angelidis, C.; Kaoukis, A.; Stefanadis, C. Myeloperoxidase: Expressing inflammation and oxidative stress in cardiovascular disease. Curr. Top. Med. Chem. 2013, 13, 115–138. [Google Scholar] [CrossRef]
- Lefkowitz, D.L.; Mone, J.; Lefkowitz, S.S. Myeloperoxidase: The Good, the Bad, and the Ugly. Curr. Immunol. Rev. 2010, 6, 123–129. [Google Scholar] [CrossRef]
- Davies, M.J. Myeloperoxidase: Mechanisms, reactions and inhibition as a therapeutic strategy in inflammatory diseases. Pharmacol. Ther. 2021, 218, 107685. [Google Scholar] [CrossRef] [PubMed]
- Zimetti, F.; Adorni, M.P.; Marsillach, J.; Marchi, C.; Trentini, A.; Valacchi, G.; Cervellati, C. Connection between the Altered HDL Antioxidant and Anti-Inflammatory Properties and the Risk to Develop Alzheimer’s Disease: A Narrative Review. Oxid. Med. Cell Longev. 2021, 2021, 6695796. [Google Scholar] [CrossRef]
- Ndrepepa, G. Myeloperoxidase—A bridge linking inflammation and oxidative stress with cardiovascular disease. Clin. Chim. Acta 2019, 493, 36–51. [Google Scholar] [CrossRef]
- Kolodziej, A.R.; Abo-Aly, M.; Elsawalhy, E.; Campbell, C.; Ziada, K.M.; Abdel-Latif, A. Prognostic Role of Elevated Myeloperoxidase in Patients with Acute Coronary Syndrome: A Systemic Review and Meta-Analysis. Mediat. Inflamm. 2019, 2019, 2872607. [Google Scholar] [CrossRef] [PubMed]
- Nicholls, S.J.; Hazen, S.L. Myeloperoxidase and Cardiovascular Disease. Arter. Thromb. Vasc. Biol. 2005, 25, 1102–1111. [Google Scholar] [CrossRef]
- Üllen, A.; Singewald, E.; Konya, V.; Fauler, G.; Reicher, H.; Nusshold, C.; Hammer, A.; Kratky, D.; Heinemann, A.; Holzer, P.; et al. Myeloperoxidase-Derived Oxidants Induce Blood-Brain Barrier Dysfunction In Vitro and In Vivo. PLoS ONE 2013, 8, e64034. [Google Scholar] [CrossRef] [PubMed]
- Tzikas, S.; Schlak, D.; Sopova, K.; Gatsiou, A.; Stakos, D.; Stamatelopoulos, K.; Stellos, K.; Laske, C. Increased Myeloperoxidase Plasma Levels in Patients with Alzheimer’s Disease. J. Alzheimers Dis. 2014, 39, 557–564. [Google Scholar] [CrossRef]
- Nicholls, S.J.; Zheng, L.; Hazen, S.L. Formation of Dysfunctional High-Density Lipoprotein by Myeloperoxidase. Trends Cardiovasc. Med. 2005, 15, 212–219. [Google Scholar] [CrossRef]
- Gray, E.; Thomas, T.L.; Betmouni, S.; Scolding, N.; Love, S. Elevated myeloperoxidase activity in white matter in multiple sclerosis. Neurosci. Lett. 2008, 444, 195–198. [Google Scholar] [CrossRef]
- Maritati, M.; De Rito, G.; Rosta, V.; Cervellati, C.; Manfrinato, M.C.; Zanoli, G.A.; De Giorgio, R.; Guarino, M.; Costanzini, A.; Contini, C.; et al. Active myeloperoxidase: A promising biomarker to differentiate “acute” and “low-grade” peri-prosthetic joint infections from aseptic failures. Front Microbiol. 2024, 15, 1417049. [Google Scholar] [CrossRef] [PubMed]
- Aratani, Y. Myeloperoxidase: Its role for host defense, inflammation, and neutrophil function. Arch. Biochem. Biophys. 2018, 640, 47–52. [Google Scholar] [CrossRef] [PubMed]
- Brennan, M.L.; Anderson, M.M.; Shih, D.M.; Qu, X.D.; Wang, X.; Mehta, A.C.; Lim, L.L.; Shi, W.; Hazen, S.L.; Jacob, J.S.; et al. Increased atherosclerosis in myeloperoxidase-deficient mice. J. Clin. Invest. 2001, 107, 419–430. [Google Scholar] [CrossRef]
- Kubala, L.; Lu, G.; Baldus, S.; Berglund, L.; Eiserich, J.P. Plasma levels of myeloperoxidase are not elevated in patients with stable coronary artery disease. Clin. Chim. Acta 2008, 394, 59–62. [Google Scholar] [CrossRef]
- Chai, W.; Aylor, K.; Liu, Z.; Gan, L.M.; Michaëlsson, E.; Barrett, E. Inhibiting myeloperoxidase prevents onset and reverses established high-fat diet-induced microvascular insulin resistance. Am. J. Physiol.-Endocrinol. Metab. 2019, 317, E1063–E1069. [Google Scholar] [CrossRef]
- Qaddoumi, M.G.; Alanbaei, M.; Hammad, M.M.; Al Khairi, I.; Cherian, P.; Channanath, A.; Thanaraj, T.A.; Al-Mulla, F.; Abu-Farha, M.; Abubaker, J. Investigating the Role of Myeloperoxidase and Angiopoietin-like Protein 6 in Obesity and Diabetes. Sci. Rep. 2020, 10, 6170. [Google Scholar] [CrossRef]
- Manica, D.; Sandri, G.; da Silva, G.B.; Manica, A.; Bonadiman, B.d.S.R.; dos Santos, D.; Flores, É.M.M.; Bolzan, R.C.; Barcelos, R.C.S.; Tomazoni, F.; et al. Evaluation of the effects of metformin on antioxidant biomarkers and mineral levels in patients with type II diabetes mellitus: A cross-sectional study. J. Diabetes Complicat. 2023, 37, 108497. [Google Scholar] [CrossRef]
- Jornayvaz, F.R.; Brulhart-Meynet, M.C.; James, R.W. Myeloperoxidase and paraoxonase-1 in type 2 diabetic patients. Nutr. Metab. Cardiovasc. Dis. 2009, 19, 613–619. [Google Scholar] [CrossRef]
- Strzepa, A.; Pritchard, K.A.; Dittel, B.N. Myeloperoxidase: A new player in autoimmunity. Cell Immunol. 2017, 317, 1–8. [Google Scholar] [CrossRef]
- Geldeman, M.P.; Lefkowitz, D.L.; Lefkowitz, S.S.; Bollen, A.; Moguilevsky, N. Exposure of Macrophages to an Enzymatically Inactive Macrophage Mannose Receptor Ligand Augments KiIIing of Candida albicans. Exp. Biol. Med. 1998, 217, 81–88. [Google Scholar] [CrossRef]
- Huang, Y.; Wu, Z.; Riwanto, M.; Gao, S.; Levison, B.S.; Gu, X.; Fu, X.; Wagner, M.A.; Besler, C.; Gerstenecker, G.; et al. Myeloperoxidase, paraoxonase-1, and HDL form a functional ternary complex. J. Clin. Investig. 2013, 123, 3815–3828. [Google Scholar] [CrossRef]
- Davies, M.J.; Hawkins, C.L. The Role of Myeloperoxidase in Biomolecule Modification, Chronic Inflammation, and Disease. Antioxid. Redox Signal. 2020, 32, 957–981. [Google Scholar] [CrossRef]
- Trentini, A.; Rosta, V.; Spadaro, S.; Bellini, T.; Rizzo, P.; Sega, F.V.D.; Passaro, A.; Zuliani, G.; Gentili, V.; Campo, G.; et al. Development, optimization and validation of an absolute specific assay for active myeloperoxidase (MPO) and its application in a clinical context: Role of MPO-specific activity in coronary artery disease. Clin. Chem. Lab. Med. (CCLM) 2020, 58, 1749–1758. [Google Scholar] [CrossRef] [PubMed]
- Kullo, I.J. Clinical use of polygenic risk scores: Current status, barriers and future directions. Nat. Rev. Genet. 2025, 58, 1749–1758. [Google Scholar] [CrossRef]
- Zhang, J.; Zhang, Z.; Zhang, K.; Ge, X.; Sun, R.; Zhai, X. Early detection of type 2 diabetes risk: Limitations of current diagnostic criteria. Front Endocrinol. 2023, 14, 1260623. [Google Scholar] [CrossRef] [PubMed]
- Harlow, S.D.; Gass, M.; Hall, J.E.; Lobo, R.; Maki, P.; Rebar, R.W.; Sherman, S.; Sluss, P.M.; de Villiers, T.J. Executive summary of the Stages of Reproductive Aging Workshop + 10. Menopause 2012, 19, 387–395. [Google Scholar] [CrossRef] [PubMed]
- Cremonini, E.; Bonaccorsi, G.; Bergamini, C.M.; Castaldini, C.; Ferrazzini, S.; Capatti, A.; Massari, L.; Romani, A.; Marci, R.; Fila, E.; et al. Metabolic transitions at menopause: In post-menopausal females the increase in serum uric acid correlates with abdominal adiposity as assessed by DXA. Maturitas 2013, 75, 62–66. [Google Scholar] [CrossRef] [PubMed]
- Dandona, P.; Aljada, A.; Bandyopadhyay, A. Inflammation: The link between insulin resistance, obesity and diabetes. Trends Immunol. 2004, 25, 4–7. [Google Scholar] [CrossRef]
- Cervellati, C.; Zuliani, G.; Valacchi, G. OxInflammation in Alzheimer’s disease. Neural Regen. Res. 2023, 18, 2709–2710. [Google Scholar] [CrossRef]
- Arnhold, J. The Dual Role of Myeloperoxidase in Immune Response. Int. J. Mol. Sci. 2020, 21, 8057. [Google Scholar] [CrossRef]
- Guo, C.; Davies, M.J.; Hawkins, C.L. Role of thiocyanate in the modulation of myeloperoxidase-derived oxidant induced damage to macrophages. Redox Biol. 2020, 36, 101666. [Google Scholar] [CrossRef]
- Wang, Y.; Chen, X.Y.; Wang, K.; Li, S.; Zhang, X.Y. Myeloperoxidase polymorphism and coronary artery disease risk. Medicine 2017, 96, e7280. [Google Scholar] [CrossRef]
- Pulli, B.; Ali, M.; Forghani, R.; Schob, S.; Hsieh, K.L.C.; Wojtkiewicz, G.; Linnoila, J.J.; Chen, J.W. Measuring Myeloperoxidase Activity in Biological Samples. PLoS ONE 2013, 8, e67976. [Google Scholar] [CrossRef]
- Philipson, L.H. Harnessing heterogeneity in type 2 diabetes mellitus. Nat. Rev. Endocrinol. 2020, 16, 79–80. [Google Scholar] [CrossRef]
- Leslie, R.D.; Ma, R.C.W.; Franks, P.W.; Nadeau, K.J.; Pearson, E.R.; Redondo, M.J. Understanding diabetes heterogeneity: Key steps towards precision medicine in diabetes. Lancet Diabetes Endocrinol. 2023, 11, 848–860. [Google Scholar] [CrossRef] [PubMed]
- Schindhelm, R.K.; Alssema, M.; Diamant, M.; Teerlink, T.; Dekker, J.M.; Kok, A.; Kostense, P.J.; Nijpels, G.; Heine, R.J.; Scheffer, P.G. Comparison of two consecutive fat-rich and carbohydrate-rich meals on postprandial myeloperoxidase response in females with and without type 2 diabetes mellitus. Metabolism 2008, 57, 262–267. [Google Scholar] [CrossRef] [PubMed]
- Gorudko, I.V.; Kostevich, V.A.; Sokolov, A.V.; Shamova, E.V.; Buko, I.V.; Konstantinova, E.E.; Vasiliev, V.B.; Cherenkevich, S.N.; Panasenko, O.M. Functional Activity of Neutrophils in Diabetes Mellitus and Coronary Heart Disease: Role of Myeloperoxidase in the Development of Oxidative Stress. Bull. Exp. Biol. Med. 2012, 154, 23–26. [Google Scholar] [CrossRef]
- Peng, L.; Li, X.; Li, Y.; Zhao, W.; Nie, S.; Yu, H.; Qi, Y.; Qin, Y.; Zhang, H. Increased concentrations of myeloperoxidase in serum and serum extracellular vesicles are associated with type 2 diabetes mellitus. Clin. Chim. Acta 2021, 522, 70–76. [Google Scholar] [CrossRef]
- Wiersma, J.J.; Meuwese, M.C.; van Miert, J.N.I.; Kastelein, A.; Tijssen, J.G.P.; Piek, J.J.; Trip, M.D. Diabetes mellitus type 2 is associated with higher levels of myeloperoxidase. Med. Sci. Monit. 2008, 14, CR406–CR410. [Google Scholar]
- Zhang, R. Association Between Myeloperoxidase Levels and Risk of Coronary Artery Disease. JAMA 2001, 286, 2136. [Google Scholar] [CrossRef]
- Chen, Y.; Zhang, F.; Dong, L.; Shu, X. Long-term Prognostic Value of Myeloperoxidase on Acute Coronary Syndrome: A Meta-analysis. Arch. Med. Res. 2011, 42, 368–374. [Google Scholar] [CrossRef] [PubMed]
- Podrez, E.A.; Schmitt, D.; Hoff, H.F.; Hazen, S.L. Myeloperoxidase-generated reactive nitrogen species convert LDL into an atherogenic form in vitro. J. Clin. Investig. 1999, 103, 1547–1560. [Google Scholar] [CrossRef]
- Abu-Soud, H.M.; Hazen, S.L. Nitric Oxide Is a Physiological Substrate for Mammalian Peroxidases. J. Biol. Chem. 2000, 275, 37524–37532. [Google Scholar] [CrossRef]
- Song, P.; Xu, J.; Song, Y.; Jiang, S.; Yuan, H.; Zhang, X. Association of Plasma Myeloperoxidase Level with Risk of Coronary Artery Disease in Patients with Type 2 Diabetes. Dis Markers 2015, 2015, 761939. [Google Scholar] [CrossRef][Green Version]
- Chen, Q.; Chen, S.; Dai, Y.; Wang, X.; Ding, F.; Zhang, R.; Shen, W.; Hu, W.; Lu, L.; Pan, W. Serum MPO levels and activities are associated with angiographic coronary atherosclerotic plaque progression in type 2 diabetic patients. BMC Cardiovasc. Disord. 2022, 22, 496. [Google Scholar] [CrossRef] [PubMed]
- Uchimura, K.; Nagasaka, A.; Hayashi, R.; Makino, M.; Nagata, M.; Kakizawa, H.; Kobayashi, T.; Fujiwara, K.; Kato, T.; Iwase, K.; et al. Changes in Superoxide Dismutase Activities and Concentrations and Myeloperoxidase Activities in Leukocytes from Patients with Diabetes Mellitus. J. Diabetes Complicat. 1999, 13, 264–270. [Google Scholar] [CrossRef]
- Wu, X.; Zhu, L.; Zilbering, A.; Mahadev, K.; Motoshima, H.; Yao, J.; Goldstein, B.J. Hyperglycemia Potentiates H2O2 Production in Adipocytes and Enhances Insulin Signal Transduction: Potential Role for Oxidative Inhibition of Thiol-Sensitive Protein-Tyrosine Phosphatases. Antioxid. Redox Signal. 2005, 7, 526–537. [Google Scholar] [CrossRef] [PubMed]
- Zhang, C.; Yang, J.; Jennings, L.K. Leukocyte-Derived Myeloperoxidase Amplifies High-Glucose—Induced Endothelial Dysfunction Through Interaction With High-Glucose—Stimulated, Vascular Non—Leukocyte-Derived Reactive Oxygen Species. Diabetes 2004, 53, 2950–2959. [Google Scholar] [CrossRef]
- Cervellati, C.; Bonaccorsi, G.; Trentini, A.; Valacchi, G.; Sanz, J.M.; Squerzanti, M.; Spagnolo, M.; Massari, L.; Crivellari, I.; Greco, P.; et al. Paraoxonase, arylesterase and lactonase activities of paraoxonase-1 (PON1) in obese and severely obese females. Scand J. Clin. Lab. Invest. 2018, 78, 18–24. [Google Scholar] [CrossRef] [PubMed]
- Hertiš Petek, T.; Homšak, E.; Svetej, M.; Marčun Varda, N. Systemic Inflammation and Oxidative Stress in Childhood Obesity: Sex Differences in Adiposity Indices and Cardiovascular Risk. Biomedicines 2024, 13, 58. [Google Scholar] [CrossRef] [PubMed]
- Hof, A.; Landerer, M.; Peitsmeyer, P.; Herzog, R.; Alber, J.; Ahdab, M.; Nettersheim, F.S.; Mehrkens, D.; Geißen, S.; Braumann, S.; et al. Myeloperoxidase impacts vascular function by altering perivascular adipocytes’ secretome and phenotype in obesity. Cell Rep. Med. 2025, 6, 102087. [Google Scholar] [CrossRef] [PubMed]
- Tsai, M.; Shaw, H.; Li, Y.; Lin, M.; Lee, W.; Chan, K. Myeloperoxidase in chronic kidney disease: Role of visceral fat. Nephrology 2014, 19, 136–142. [Google Scholar] [CrossRef]
- Nath, M.; Bhattacharjee, K.; Choudhury, Y. Pleiotropic effects of anti-diabetic drugs: A comprehensive review. Eur. J. Pharmacol. 2020, 884, 173349. [Google Scholar] [CrossRef]



| Controls (n = 141) | T2DM (n = 53) | |
|---|---|---|
| Age (years) | 52 ± 11 | 56 ± 12 ** |
| Menopausal status, n (%) | 69 (49) | 39 (74) ** |
| Years since menopause | 8 (5–11) | 10 (4–13) |
| BMI, kg/m2 | 25 ± 4 | 34 ± 7 *** |
| Obesity, n (%) | 18 (13) | 37 (70) *** |
| Hypertension, n (%) | 23 (16) | 34 (65) *** |
| Clinical Chemistry Indicators | ||
| Total cholesterol, mg/dL | 232 ± 32 | 215 ± 54 * |
| HDL-C, mg/dL | 67 ± 13 | 55 ± 13 *** |
| Triglycerides, mg/dL | 75 (59–1001) | 127 (92–190) *** |
| LDL-C, mg/dL | 148 ± 32 | 132 ± 48 * |
| ApoA, mg/dL | 175 (158–201) | 151 (130–178) *** |
| ApoB, mg/dL | 93 ± 19 | 98 ± 31 |
| Glucose, mg/dL | 94 (89–99) | 126 (109–142) *** |
| HOMA-IR index | 1.1 (0.7–1.7) | 4.0 (2.5–7.0) *** |
| Variables | MPO Activity | MPO Concentration | MPO-Specific Activity |
|---|---|---|---|
| Metabolic biomarkers | |||
| Total Cholesterol, mg/dL | −0.239 ** | −0.043 | −0.230 ** |
| C-HDL, mg/dL | −0.166 * | 0.033 | −0.232 ** |
| Triglycerides, mg/dL | 0.076 | −0.137 | 0.100 |
| C-LDL, mg/dL | −0.237 ** | −0.055 | −0.260 ** |
| ApoA, mg/dL | −0.203 * | −0.045 | −0.194 * |
| ApoB, mg/dL | −0.148 | −0.075 | −0.076 |
| Glucose, mg/dL | 0.111 | −0.137 | 0.176 * |
| Insuline | 0.260 *** | −0.042 | 0.287 *** |
| HOMA-IR Index | 0.257 *** | −0.055 | 0.270 *** |
| Measures of body mass distribution | |||
| BMI (Kg/mq) | 0.305 *** | −0.057 | 0.293 *** |
| Body Fat Mass (Kg) | 0.164 * | −0.046 | 0.226 ** |
| Body Fat Mass (%) | 0.104 | −0.100 | 0.204 ** |
| Arms Fat Mass (Kg) | 0.179 * | −0.046 | 0.241 ** |
| Arms Fat Mass (%) | 0.040 | 0.027 | 0.056 |
| Legs Fat Mass (Kg) | 0.026 | −0.021 | 0.057 |
| Legs Fat Mass (%) | −0.171 * | −0.021 | −0.303 *** |
| Trunk fat mass (Kg) | 0.181 * | 0.079 | 0.260 ** |
| Trunk fat mass (%) | 0.167 * | −0.085 | 0.291 *** |
| Visceral Adipose Tissue Mass (Kg) | 0.181 * | −0.086 | 0.277 *** |
| Android/Gynoid Ratio | 0.236 * | −0.046 | 0.340 *** |
| Model Number | Explanatory Variables | Unstandardized Coefficients | Standard Error | Standardized Coefficients (β) | Adjusted R2 |
|---|---|---|---|---|---|
| 1 | Diabetes Android/gynoid ratio LDL-C | 0.244 0.416 −0.002 | 0.069 0.160 0.0001 | 0.281 ** 0.214 * −0.177 * | 0.216 *** |
| 2 | Diabetes LDL-C | 0.359 0.001 | 0.062 0.0002 | 0.423 *** −0.156 * | 0.192 *** |
| 3 | Diabetes LDL-C | 0.359 0.001 | 0.062 0.0002 | 0.385 *** −0.167 * | 0.192 *** |
Disclaimer/Publisher’s Note: The statements, opinions and data contained in all publications are solely those of the individual author(s) and contributor(s) and not of MDPI and/or the editor(s). MDPI and/or the editor(s) disclaim responsibility for any injury to people or property resulting from any ideas, methods, instructions or products referred to in the content. |
© 2026 by the authors. Licensee MDPI, Basel, Switzerland. This article is an open access article distributed under the terms and conditions of the Creative Commons Attribution (CC BY) license.
Share and Cite
Trentini, A.; Riccetti, R.; Sergi, D.; Sanz, J.M.; Spaggiari, R.; Rosta, V.; Mola, G.; Passaro, A., on behalf of the MEDIA HDL Research Group; Cervellati, C. Myeloperoxidase (MPO) Enzymatic Activity, but Not Its Protein Concentration, Is Associated with the Risk of Type 2 Diabetes in Females, Regardless of Obesity Status. Antioxidants 2026, 15, 130. https://doi.org/10.3390/antiox15010130
Trentini A, Riccetti R, Sergi D, Sanz JM, Spaggiari R, Rosta V, Mola G, Passaro A on behalf of the MEDIA HDL Research Group, Cervellati C. Myeloperoxidase (MPO) Enzymatic Activity, but Not Its Protein Concentration, Is Associated with the Risk of Type 2 Diabetes in Females, Regardless of Obesity Status. Antioxidants. 2026; 15(1):130. https://doi.org/10.3390/antiox15010130
Chicago/Turabian StyleTrentini, Alessandro, Raffaella Riccetti, Domenico Sergi, Juana Maria Sanz, Riccardo Spaggiari, Valentina Rosta, Gianmarco Mola, Angelina Passaro on behalf of the MEDIA HDL Research Group, and Carlo Cervellati. 2026. "Myeloperoxidase (MPO) Enzymatic Activity, but Not Its Protein Concentration, Is Associated with the Risk of Type 2 Diabetes in Females, Regardless of Obesity Status" Antioxidants 15, no. 1: 130. https://doi.org/10.3390/antiox15010130
APA StyleTrentini, A., Riccetti, R., Sergi, D., Sanz, J. M., Spaggiari, R., Rosta, V., Mola, G., Passaro, A., on behalf of the MEDIA HDL Research Group, & Cervellati, C. (2026). Myeloperoxidase (MPO) Enzymatic Activity, but Not Its Protein Concentration, Is Associated with the Risk of Type 2 Diabetes in Females, Regardless of Obesity Status. Antioxidants, 15(1), 130. https://doi.org/10.3390/antiox15010130

