Serum CD5L Responds Positively to Selenium and Coenzyme Q10 Supplementation with Relation to Thyroid Hormones, Mortality, and Health-Related Quality-of-Life—A Sub-Analysis of a Double-Blind Randomised Placebo-Controlled Trial in Elderly Low in Selenium
Abstract
1. Introduction
2. Methods
2.1. Subjects
2.2. Ethical Approval
2.3. Blood Sampling
2.4. Determination of Selenium
2.5. Determination of CD5L
2.6. Determination of the Thyroid Hormones
2.7. Statistical Methods
3. Results
3.1. CD5L and Thyroid Hormones
3.2. CD5L and Inflammation
3.3. Effect of Intervention with Selenium and Coenzyme Q10 on CD5L Concentration
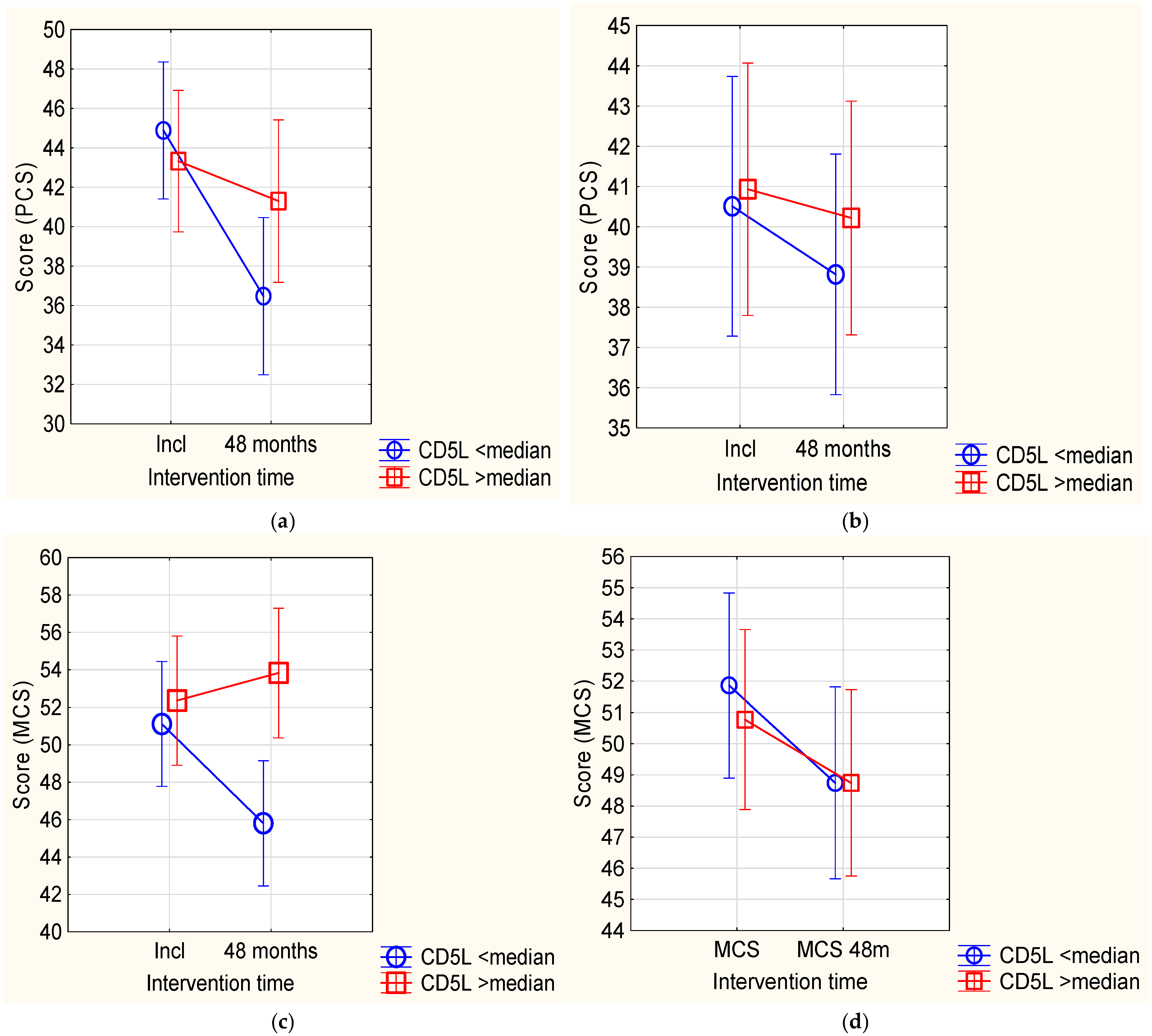
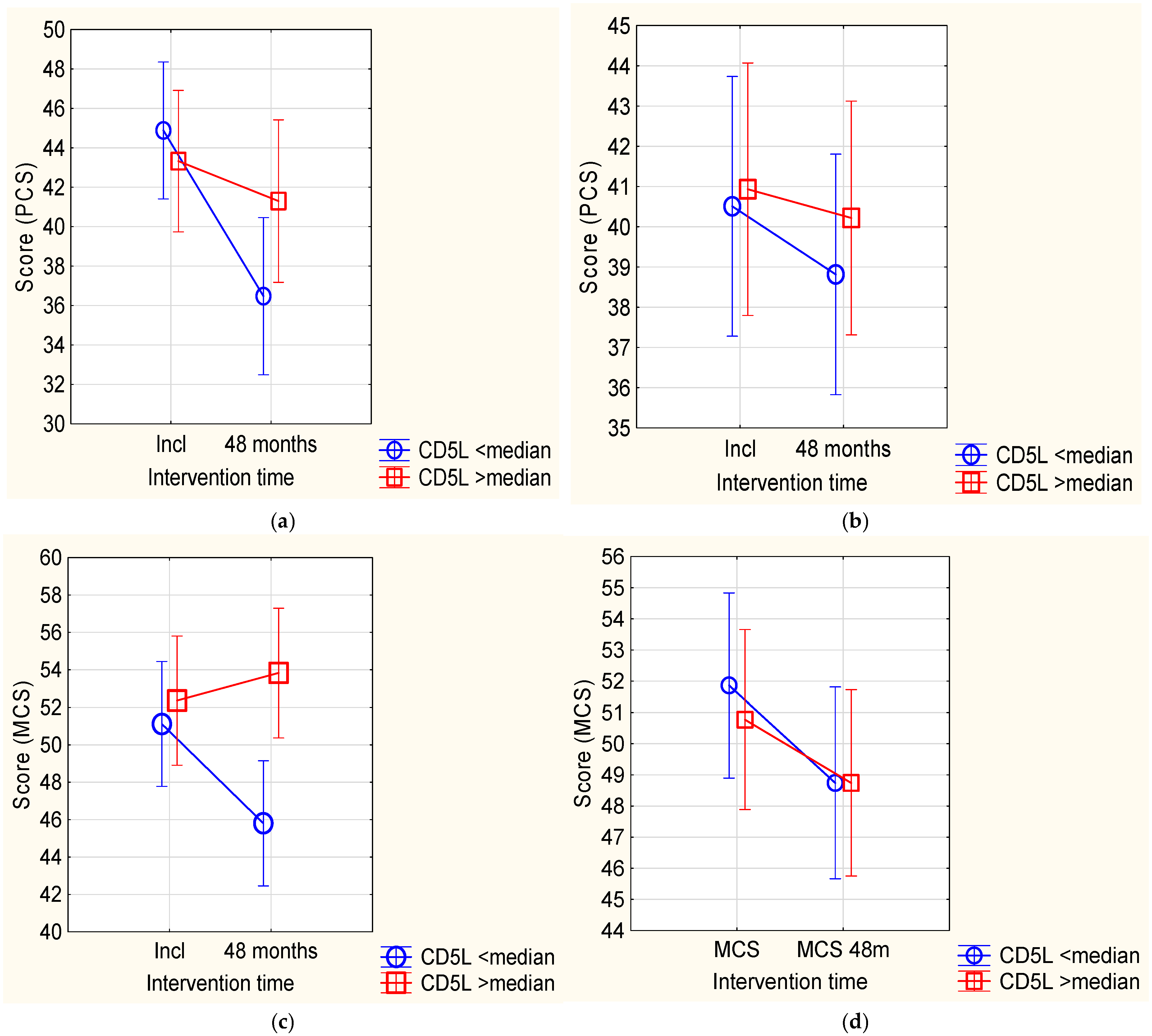
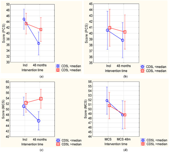
3.4. Relation Between CD5L and Health-Related Quality-of-Life and Effect of Supplementation with Selenium and Coenzyme Q10 on CD5L
3.5. Relation Between CD5L and Mortality Within 10 Years of Follow-Up
4. Discussion
5. Limitations
6. Conclusions
Author Contributions
Funding
Institutional Review Board Statement
Informed Consent Statement
Data Availability Statement
Conflicts of Interest
References
- Kohrle, J. Selenium in Endocrinology-Selenoprotein-Related Diseases, Population Studies, and Epidemiological Evidence. Endocrinology 2021, 162, bqaa228. [Google Scholar] [CrossRef] [PubMed]
- Aaseth, J.; Alexander, J.; Alehagen, U. Coenzyme Q10 supplementation—In ageing and disease. Mech. Ageing Dev. 2021, 197, 111521. [Google Scholar] [CrossRef] [PubMed]
- Kalen, A.; Appelkvist, E.L.; Dallner, G. Age-related changes in the lipid compositions of rat and human tissues. Lipids 1989, 24, 579–584. [Google Scholar] [CrossRef] [PubMed]
- Bullon, P.; Roman-Malo, L.; Marin-Aguilar, F.; Alvarez-Suarez, J.M.; Giampieri, F.; Battino, M.; Cordero, M.D. Lipophilic antioxidants prevent lipopolysaccharide-induced mitochondrial dysfunction through mitochondrial biogenesis improvement. Pharmacol. Res. 2015, 91, 1–8. [Google Scholar] [CrossRef]
- Xia, L.; Nordman, T.; Olsson, J.M.; Damdimopoulos, A.; Bjorkhem-Bergman, L.; Nalvarte, I.; Eriksson, L.C.; Arner, E.S.; Spyrou, G.; Bjornstedt, M. The mammalian cytosolic selenoenzyme thioredoxin reductase reduces ubiquinone. A novel mechanism for defense against oxidative stress. J. Biol. Chem. 2003, 278, 2141–2146. [Google Scholar] [CrossRef]
- Alehagen, U.; Alexander, J.; Aaseth, J.O.; Larsson, A.; Opstad, T.B. Supplementation with selenium and coenzyme Q(10) in an elderly Swedish population low in selenium—Positive effects on thyroid hormones, cardiovascular mortality, and quality of life. BMC Med. 2024, 22, 191. [Google Scholar] [CrossRef]
- Duntas, L.H. Reassessing Selenium for the Management of Hashimoto’s Thyroiditis: The Selini Shines Bright for Autoimmune Thyroiditis Patients. Thyroid 2024, 34, 292–294. [Google Scholar] [CrossRef]
- Miyazaki, T.; Hirokami, Y.; Matsuhashi, N.; Takatsuka, H.; Naito, M. Increased susceptibility of thymocytes to apoptosis in mice lacking AIM, a novel murine macrophage-derived soluble factor belonging to the scavenger receptor cysteine-rich domain superfamily. J. Exp. Med. 1999, 189, 413–422. [Google Scholar] [CrossRef]
- Kuwata, K.; Watanabe, H.; Jiang, S.Y.; Yamamoto, T.; Tomiyama-Miyaji, C.; Abo, T.; Miyazaki, T.; Naito, M. AIM inhibits apoptosis of T cells and NKT cells in Corynebacterium-induced granuloma formation in mice. Am. J. Pathol. 2003, 162, 837–847. [Google Scholar] [CrossRef]
- Martinez, V.G.; Escoda-Ferran, C.; Tadeu Simoes, I.; Arai, S.; Orta Mascaro, M.; Carreras, E.; Martinez-Florensa, M.; Yelamos, J.; Miyazaki, T.; Lozano, F. The macrophage soluble receptor AIM/Api6/CD5L displays a broad pathogen recognition spectrum and is involved in early response to microbial aggression. Cell. Mol. Immunol. 2014, 11, 343–354. [Google Scholar] [CrossRef]
- Sarrias, M.R.; Rosello, S.; Sanchez-Barbero, F.; Sierra, J.M.; Vila, J.; Yelamos, J.; Vives, J.; Casals, C.; Lozano, F. A role for human Sp alpha as a pattern recognition receptor. J. Biol. Chem. 2005, 280, 35391–35398. [Google Scholar] [CrossRef] [PubMed]
- Yang, H.; Luo, Y.; Lai, X. The comprehensive role of apoptosis inhibitor of macrophage (AIM) in pathological conditions. Clin. Exp. Immunol. 2023, 212, 184–198. [Google Scholar] [CrossRef] [PubMed]
- Amezaga, N.; Sanjurjo, L.; Julve, J.; Aran, G.; Perez-Cabezas, B.; Bastos-Amador, P.; Armengol, C.; Vilella, R.; Escola-Gil, J.C.; Blanco-Vaca, F.; et al. Human scavenger protein AIM increases foam cell formation and CD36-mediated oxLDL uptake. J. Leukoc. Biol. 2014, 95, 509–520. [Google Scholar] [CrossRef] [PubMed]
- Peters, K.E.; Davis, W.A.; Ito, J.; Winfield, K.; Stoll, T.; Bringans, S.D.; Lipscombe, R.J.; Davis, T.M.E. Identification of Novel Circulating Biomarkers Predicting Rapid Decline in Renal Function in Type 2 Diabetes: The Fremantle Diabetes Study Phase II. Diabetes Care 2017, 40, 1548–1555. [Google Scholar] [CrossRef]
- Tarazon, E.; Corbacho-Alonso, N.; Barderas, M.G.; Gil-Cayuela, C.; Garcia-Manzanares, M.; Feijoo-Bandin, S.; Lago, F.; Gonzalez-Juanatey, J.R.; Martinez-Dolz, L.; Portoles, M.; et al. Plasma CD5L and non-invasive diagnosis of acute heart rejection. J. Heart Lung Transplant. 2020, 39, 257–266. [Google Scholar] [CrossRef]
- Yang, H.; Luo, Y.; Lai, X. CD5L induces inflammation and survival in RA-FLS through ERK1/2 MAPK pathway. Autoimmunity 2024, 57, 2201412. [Google Scholar] [CrossRef]
- Nock, S.; Johann, K.; Harder, L.; Wirth, E.K.; Renko, K.; Hoefig, C.S.; Kracke, V.; Hackler, J.; Engelmann, B.; Rauner, M.; et al. CD5L Constitutes a Novel Biomarker for Integrated Hepatic Thyroid Hormone Action. Thyroid 2020, 30, 908–923. [Google Scholar] [CrossRef]
- Asaad, S.; Chillon, T.S.; Filipowicz, D.; Wilms, B.; Strenge, F.; Szczepanek-Parulska, E.; Minich, W.B.; Meyhofer, S.M.; Marquardt, J.U.; Mittag, J.; et al. Serum CD5L as potential biomarker of thyroid hormone status during pregnancy. Biofactors 2024, 51, e2123. [Google Scholar] [CrossRef]
- Alehagen, U.; Johansson, P.; Bjornstedt, M.; Rosen, A.; Dahlstrom, U. Cardiovascular mortality and N-terminal-proBNP reduced after combined selenium and coenzyme Q10 supplementation: A 5-year prospective randomized double-blind placebo-controlled trial among elderly Swedish citizens. Int. J. Cardiol. 2013, 167, 1860–1866. [Google Scholar] [CrossRef]
- Alexander, J.; Alehagen, U.; Larsson, A.; Aaseth, J. Selenium in clinical medicine and medical biochemistry. Klin. Biokem. I Nord. 2019, 31, 12–19. [Google Scholar]
- Alehagen, U.; Lindahl, T.L.; Aaseth, J.; Svensson, E.; Johansson, P. Levels of sP-selectin and hs-CRP Decrease with Dietary Intervention with Selenium and Coenzyme Q10 Combined: A Secondary Analysis of a Randomized Clinical Trial. PLoS ONE 2015, 10, e0137680. [Google Scholar] [CrossRef] [PubMed]
- Alehagen, U.; Aaseth, J.; Alexander, J.; Svensson, E.; Johansson, P.; Larsson, A. Less fibrosis in elderly subjects supplemented with selenium and coenzyme Q10-A mechanism behind reduced cardiovascular mortality? Biofactors 2018, 44, 137–147. [Google Scholar] [CrossRef] [PubMed]
- Alehagen, U.; Alexander, J.; Aaseth, J.O.; Larsson, A.; Svensson, E.; Opstad, T.B. Effects of an Intervention with Selenium and Coenzyme Q10 on Five Selected Age-Related Biomarkers in Elderly Swedes Low in Selenium: Results That Point to an Anti-Ageing Effect-A Sub-Analysis of a Previous Prospective Double-Blind Placebo-Controlled Randomised Clinical Trial. Cells 2023, 12, 1773. [Google Scholar] [CrossRef] [PubMed]
- Alehagen, U.; Johansson, P.; Bjornstedt, M.; Rosen, A.; Post, C.; Aaseth, J. Relatively high mortality risk in elderly Swedish subjects with low selenium status. Eur. J. Clin. Nutr. 2016, 70, 91–96. [Google Scholar] [CrossRef]
- Johansson, P.; Dahlstrom, O.; Dahlstrom, U.; Alehagen, U. Improved Health-Related Quality of Life, and More Days out of Hospital with Supplementation with Selenium and Coenzyme Q10 Combined. Results from a Double Blind, Placebo-Controlled Prospective Study. J. Nutr. Health Aging 2015, 19, 870–877. [Google Scholar] [CrossRef]
- Dumitrescu, A.M.; Liao, X.H.; Abdullah, M.S.; Lado-Abeal, J.; Majed, F.A.; Moeller, L.C.; Boran, G.; Schomburg, L.; Weiss, R.E.; Refetoff, S. Mutations in SECISBP2 result in abnormal thyroid hormone metabolism. Nat. Genet. 2005, 37, 1247–1252. [Google Scholar] [CrossRef]
- Sun, Q.; Oltra, E.; Dijck-Brouwer, D.A.J.; Chillon, T.S.; Seemann, P.; Asaad, S.; Demircan, K.; Espejo-Oltra, J.A.; Sanchez-Fito, T.; Martin-Martinez, E.; et al. Autoantibodies to selenoprotein P in chronic fatigue syndrome suggest selenium transport impairment and acquired resistance to thyroid hormone. Redox Biol. 2023, 65, 102796. [Google Scholar] [CrossRef]
- Sanchez-Moral, L.; Rafols, N.; Martori, C.; Paul, T.; Tellez, E.; Sarrias, M.R. Multifaceted Roles of CD5L in Infectious and Sterile Inflammation. Int. J. Mol. Sci. 2021, 22, 4076. [Google Scholar] [CrossRef]
- Sanjurjo, L.; Aran, G.; Roher, N.; Valledor, A.F.; Sarrias, M.R. AIM/CD5L: A key protein in the control of immune homeostasis and inflammatory disease. J. Leukoc. Biol. 2015, 98, 173–184. [Google Scholar] [CrossRef]
- Becker, N.P.; Martitz, J.; Renko, K.; Stoedter, M.; Hybsier, S.; Cramer, T.; Schomburg, L. Hypoxia reduces and redirects selenoprotein biosynthesis. Metallomics 2014, 6, 1079–1086. [Google Scholar] [CrossRef]
- Jujic, A.; Molvin, J.; Holm Isholth, H.; Dieden, A.; Korduner, J.; Zaghi, A.; Nezami, Z.; Bergmann, A.; Schomburg, L.; Magnusson, M. Association between low selenoprotein P concentrations and anaemia in hospitalized heart failure patients. ESC Heart Fail. 2024, 11, 877–882. [Google Scholar] [CrossRef] [PubMed]
- Karmisholt, J.; Andersen, S. Detecting True Change in the Hospital Anxiety and Depression Scale, SF-36, and Hypothyroid Score when Monitoring Patients with Subclinical Hypothyroidism. Eur. Thyroid. J. 2019, 8, 144–151. [Google Scholar] [CrossRef] [PubMed]
- Lawton, R.I.; Sabatini, B.L.; Hochbaum, D.R. Longevity, demographic characteristics, and socio-economic status are linked to triiodothyronine levels in the general population. Proc. Natl. Acad. Sci. USA 2024, 121, e2308652121. [Google Scholar] [CrossRef] [PubMed]
- Garratt, A.M.; Stavem, K. Measurement properties and normative data for the Norwegian SF-36: Results from a general population survey. Health Qual. Life Outcomes 2017, 15, 51. [Google Scholar] [CrossRef]
- Oliveira, L.; Silva, M.C.; Gomes, A.P.; Santos, R.F.; Cardoso, M.S.; Novoa, A.; Luche, H.; Cavadas, B.; Amorim, I.; Gartner, F.; et al. CD5L as a promising biological therapeutic for treating sepsis. Nat. Commun. 2024, 15, 4119. [Google Scholar] [CrossRef]
- Demircan, K.; Bengtsson, Y.; Sun, Q.; Brange, A.; Vallon-Christersson, J.; Rijntjes, E.; Malmberg, M.; Saal, L.H.; Ryden, L.; Borg, A.; et al. Serum selenium, selenoprotein P and glutathione peroxidase 3 as predictors of mortality and recurrence following breast cancer diagnosis: A multicentre cohort study. Redox Biol. 2021, 47, 102145. [Google Scholar] [CrossRef]
- Demircan, K.; Bengtsson, Y.; Chillon, T.S.; Vallon-Christersson, J.; Sun, Q.; Larsson, C.; Malmberg, M.; Saal, L.H.; Ryden, L.; Borg, A.; et al. Matched analysis of circulating selenium with the breast cancer selenotranscriptome: A multicentre prospective study. J. Transl. Med. 2023, 21, 658. [Google Scholar] [CrossRef]





| Active Treatment n = 179 | Placebo n = 180 | p-Value | |
|---|---|---|---|
| Age years, mean (SD) | 77 (3.6) | 77 (3.4) | |
| Sex, Males/Females, n | 96/83 | 95/85 | |
| History | |||
| Smoking, n (%) | 16 (8.9) | 11 (6.1) | 0.31 |
| Hypertension, n (%) | 127 (70.9) | 133 (73.9) | 0.53 |
| IHD, n (%) | 35 (19.6) | 39 (21.7) | 0.62 |
| Diabetes, n (%) | 40 (22.3) | 38 (21.1) | 0.78 |
| NYHA class I, n (%) | 97 (54.2) | 88 (48.9) | 0.32 |
| NYHA class II, n (%) | 49 (27.4) | 51 (28.3) | 0.84 |
| NYHA class III, n (%) | 32 (17.9) | 38 (21.1) | 0.44 |
| NYHA class IV, n (%) | 0 | 0 | |
| Unclassified, n (%) | 1 (0.5) | 3 (1.7) | |
| Medications | |||
| Beta blockers, n (%) | 62 (34.6) | 56 (31.1) | 0.48 |
| ACEI/ARB, n (%) | 39 (21.8) | 52 (28.9) | 0.12 |
| Diuretics, n (%) | 55 (30.7) | 71 (39.4) | 0.08 |
| Examinations | |||
| EF < 40%, n (%) | 12 (6.7) | 14 (7.8) | 0.69 |
| s-selenium pre-intervention µg/L, mean (SD) | 66.7 (16.0) | 66.3 (17.9) | 0.80 |
| Variable | β | Standard Error of β | B | Standard Error of B | T-Value | p-Value |
|---|---|---|---|---|---|---|
| Intercept | −1.76 | 2.41 | −0.73 | 0.47 | ||
| Age | 0.19 | 0.08 | 0.07 | 0.03 | 2.34 | 0.02 |
| Diabetes | −0.02 | 0.08 | −0.05 | 0.23 | −0.20 | 0.84 |
| NYHA 3 | −0.10 | 0.08 | −0.35 | 0.27 | −1.29 | 0.20 |
| Smoking | −0.15 | 0.08 | −0.93 | 0.48 | −1.91 | 0.06 |
| CRP | 0.15 | 0.08 | 0.01 | 0.006 | 1.88 | 0.045 |
| Hb < 120 g/L | −0.10 | 0.08 | −0.39 | 0.30 | −1.27 | 0.21 |
| fT3 | 0.22 | 0.09 | 0.24 | 0.10 | 2.46 | 0.01 |
| TSH | −0.17 | 0.08 | −0.23 | 0.11 | −2.12 | 0.04 |
| fT4 | −0.05 | 0.08 | −0.02 | 0.03 | −0.58 | 0.56 |
| Selenium, µg/L, incl | −0.05 | 0.08 | −0.004 | 0.006 | −0.60 | 0.55 |
| Effects | Sum of Squares | Degrees of Freedom | Mean Squares | F | p |
|---|---|---|---|---|---|
| Intercept | 10.39 | 1 | 10.39 | 10.27 | 0.002 |
| Smoking | 2.77 | 1 | 2.77 | 2.74 | 0.10 |
| IHD | 0.22 | 1 | 0.22 | 0.22 | 0.64 |
| Diabetes | 0.02 | 1 | 0.02 | 0.02 | 0.90 |
| Hb < 120 g/L | 6.70 | 1 | 6.70 | 6.63 | 0.01 |
| CRP | 3.1 | 1 | 3.1 | 3.1 | 0.09 |
| Selenium µg/L, incl. | 4.22 | 1 | 4.22 | 4.17 | 0.047 |
| EF < 40% | 0.90 | 1 | 0.90 | 0.90 | 0.35 |
| CD5L mg/L incl. | 50.15 | 1 | 50.15 | 49.61 | <0.0001 |
| Active treatment | 6.54 | 1 | 6.54 | 6.47 | 0.014 |
| Error | 48.52 | 48 | 1.01 |
| Variables | Hazard Ratio | 95%CI | p-Value |
|---|---|---|---|
| Age | 1.10 | 1.0–1.20 | 0.05 |
| Hypertension | 2.79 | 1.21–6.46 | 0.02 |
| Diabetes | 2.67 | 1.21–5.89 | 0.014 |
| IHD | 6.15 | 2.66–14.20 | <0.0001 |
| Obstr pulm dis | 0.44 | 0.14–1.32 | 0.14 |
| Hb < 120 g/L | 0.85 | 0.29–2.46 | 0.77 |
| EF < 40% | 0.73 | 0.23–2.32 | 0.59 |
| eGFR < 60 mL | 1.73 | 0.52–5.72 | 0.37 |
| CD5L Q1 < 2.68 mg/L | 2.24 | 1.02–4.91 | 0.04 |
| TSH, ulU/mL | 0.67 | 0.44–1.02 | 0.06 |
| fT3 Q1 < 2.28 pg/mL | 1.33 | 0.53–3.32 | 0.54 |
Disclaimer/Publisher’s Note: The statements, opinions and data contained in all publications are solely those of the individual author(s) and contributor(s) and not of MDPI and/or the editor(s). MDPI and/or the editor(s) disclaim responsibility for any injury to people or property resulting from any ideas, methods, instructions or products referred to in the content. |
© 2025 by the authors. Licensee MDPI, Basel, Switzerland. This article is an open access article distributed under the terms and conditions of the Creative Commons Attribution (CC BY) license (https://creativecommons.org/licenses/by/4.0/).
Share and Cite
Alehagen, U.; Aaseth, J.O.; Opstad, T.B.; Larsson, A.; Asaad, S.; Schomburg, L.; Alexander, J. Serum CD5L Responds Positively to Selenium and Coenzyme Q10 Supplementation with Relation to Thyroid Hormones, Mortality, and Health-Related Quality-of-Life—A Sub-Analysis of a Double-Blind Randomised Placebo-Controlled Trial in Elderly Low in Selenium. Antioxidants 2025, 14, 366. https://doi.org/10.3390/antiox14030366
Alehagen U, Aaseth JO, Opstad TB, Larsson A, Asaad S, Schomburg L, Alexander J. Serum CD5L Responds Positively to Selenium and Coenzyme Q10 Supplementation with Relation to Thyroid Hormones, Mortality, and Health-Related Quality-of-Life—A Sub-Analysis of a Double-Blind Randomised Placebo-Controlled Trial in Elderly Low in Selenium. Antioxidants. 2025; 14(3):366. https://doi.org/10.3390/antiox14030366
Chicago/Turabian StyleAlehagen, Urban, Jan O. Aaseth, Trine B. Opstad, Anders Larsson, Sabrina Asaad, Lutz Schomburg, and Jan Alexander. 2025. "Serum CD5L Responds Positively to Selenium and Coenzyme Q10 Supplementation with Relation to Thyroid Hormones, Mortality, and Health-Related Quality-of-Life—A Sub-Analysis of a Double-Blind Randomised Placebo-Controlled Trial in Elderly Low in Selenium" Antioxidants 14, no. 3: 366. https://doi.org/10.3390/antiox14030366
APA StyleAlehagen, U., Aaseth, J. O., Opstad, T. B., Larsson, A., Asaad, S., Schomburg, L., & Alexander, J. (2025). Serum CD5L Responds Positively to Selenium and Coenzyme Q10 Supplementation with Relation to Thyroid Hormones, Mortality, and Health-Related Quality-of-Life—A Sub-Analysis of a Double-Blind Randomised Placebo-Controlled Trial in Elderly Low in Selenium. Antioxidants, 14(3), 366. https://doi.org/10.3390/antiox14030366

