Sustainable Fertilization with Ramial Chipped Wood Enhances Antioxidant Profiles in Tomato Varieties: An Untargeted Metabolomics Approach
Abstract
1. Introduction
2. Materials and Methods
2.1. Chemicals and Reagents
2.2. Field Experiment and Plant Material
2.3. Experimental Design
2.4. Tomato Sampling
2.5. Methanolic Extraction
2.6. Metabolomic Profiling by High-Resolution Mass Spectrometry (UHPLC-QToF-MS)
2.7. Post-Acquisition Data Analysis
2.8. Statistics
3. Results and Discussion
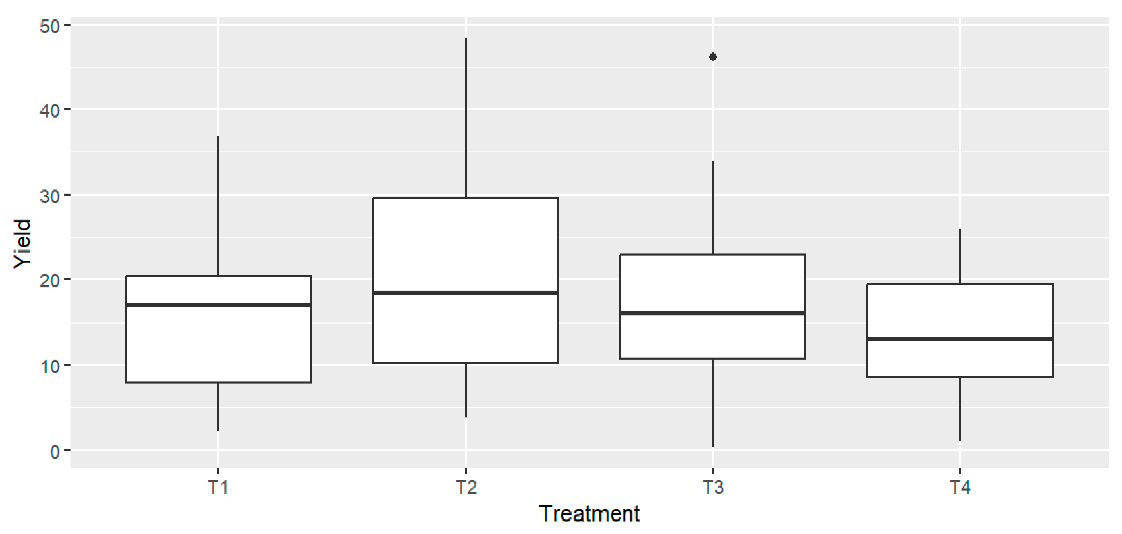
3.1. Tomato Yield
3.2. Phytochemical Variations Among the Tomato Varieties
3.3. Effects of Fertilization Treatments on the Phytochemical Composition of Tomato Varieties
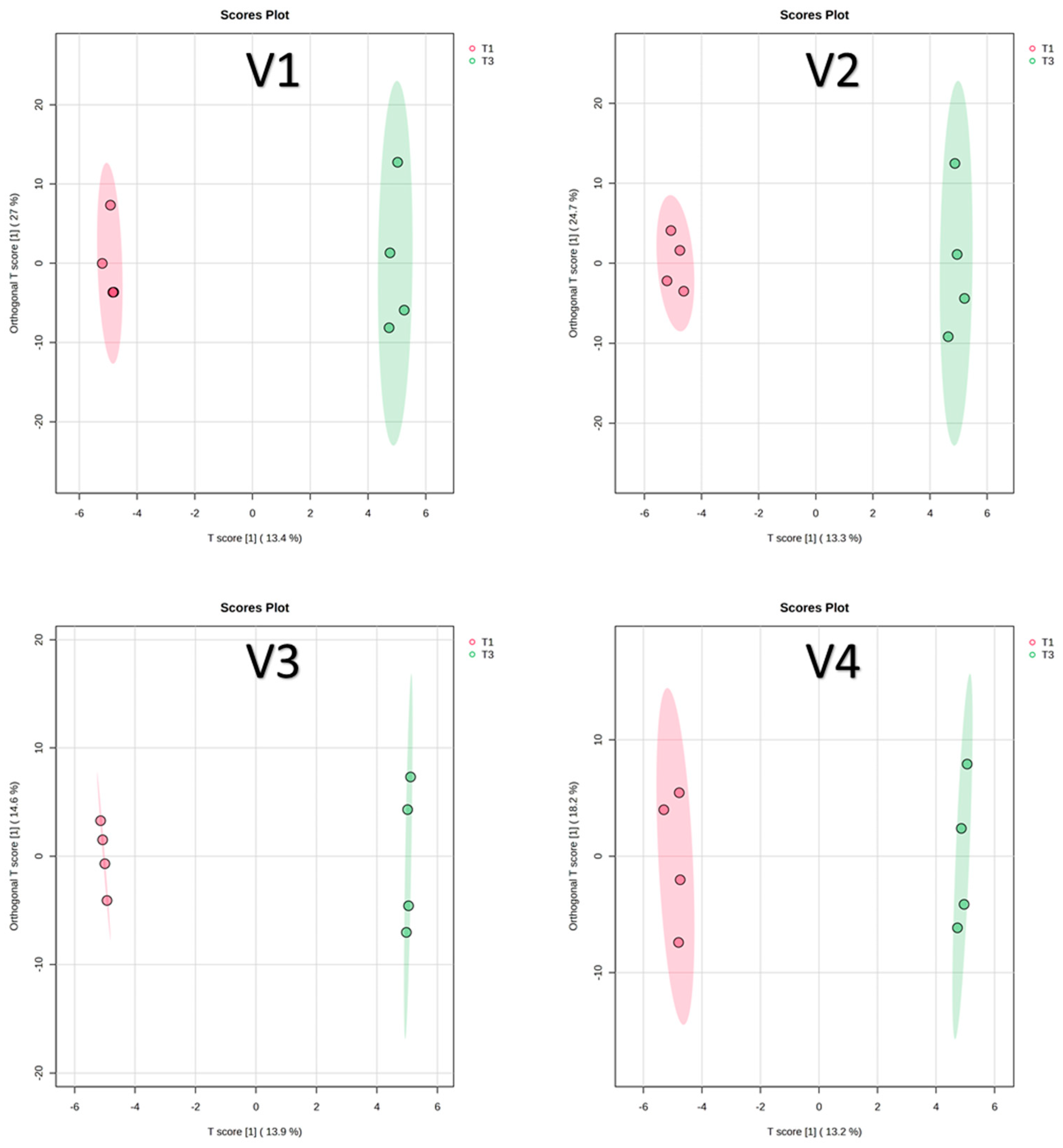
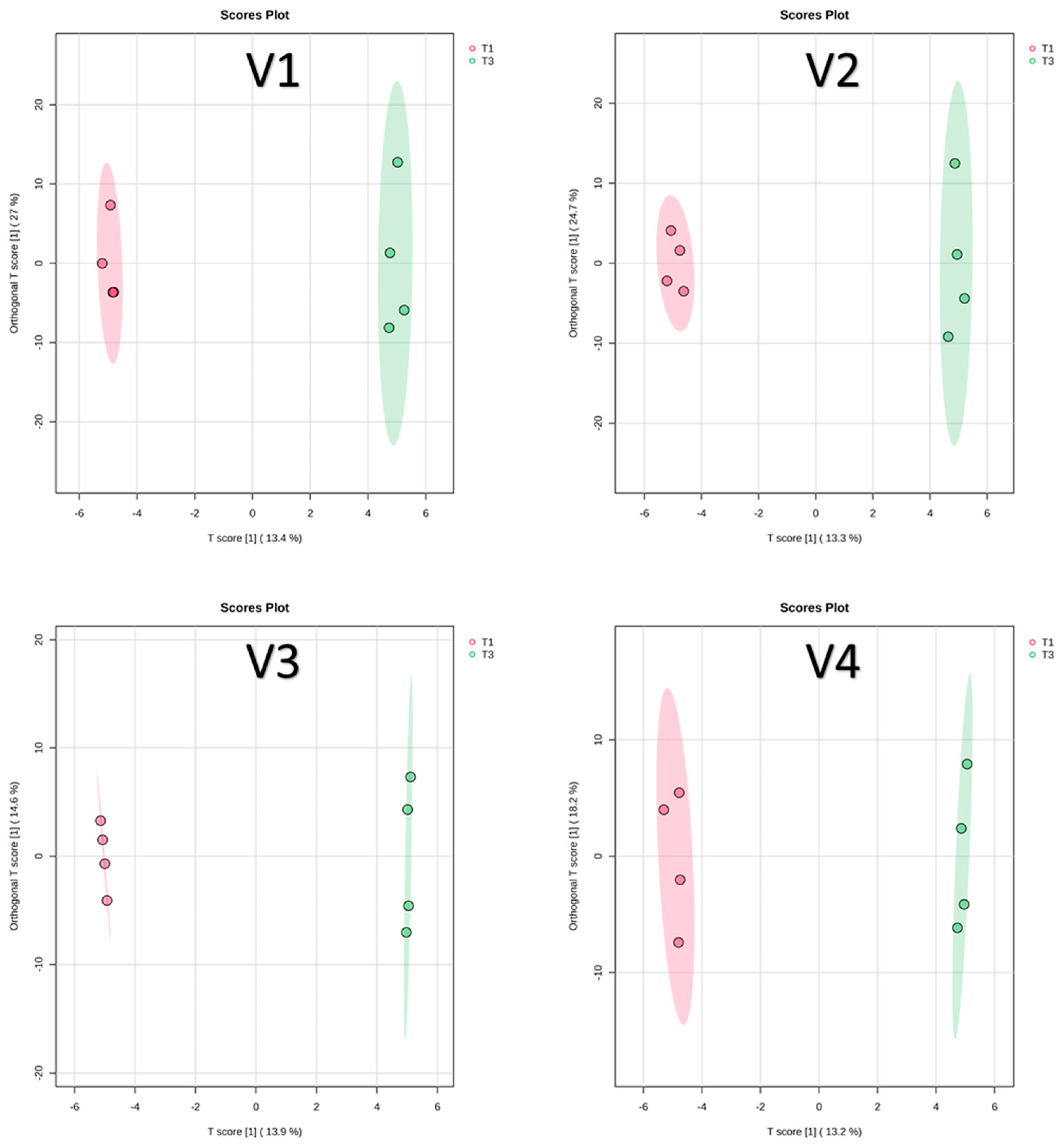
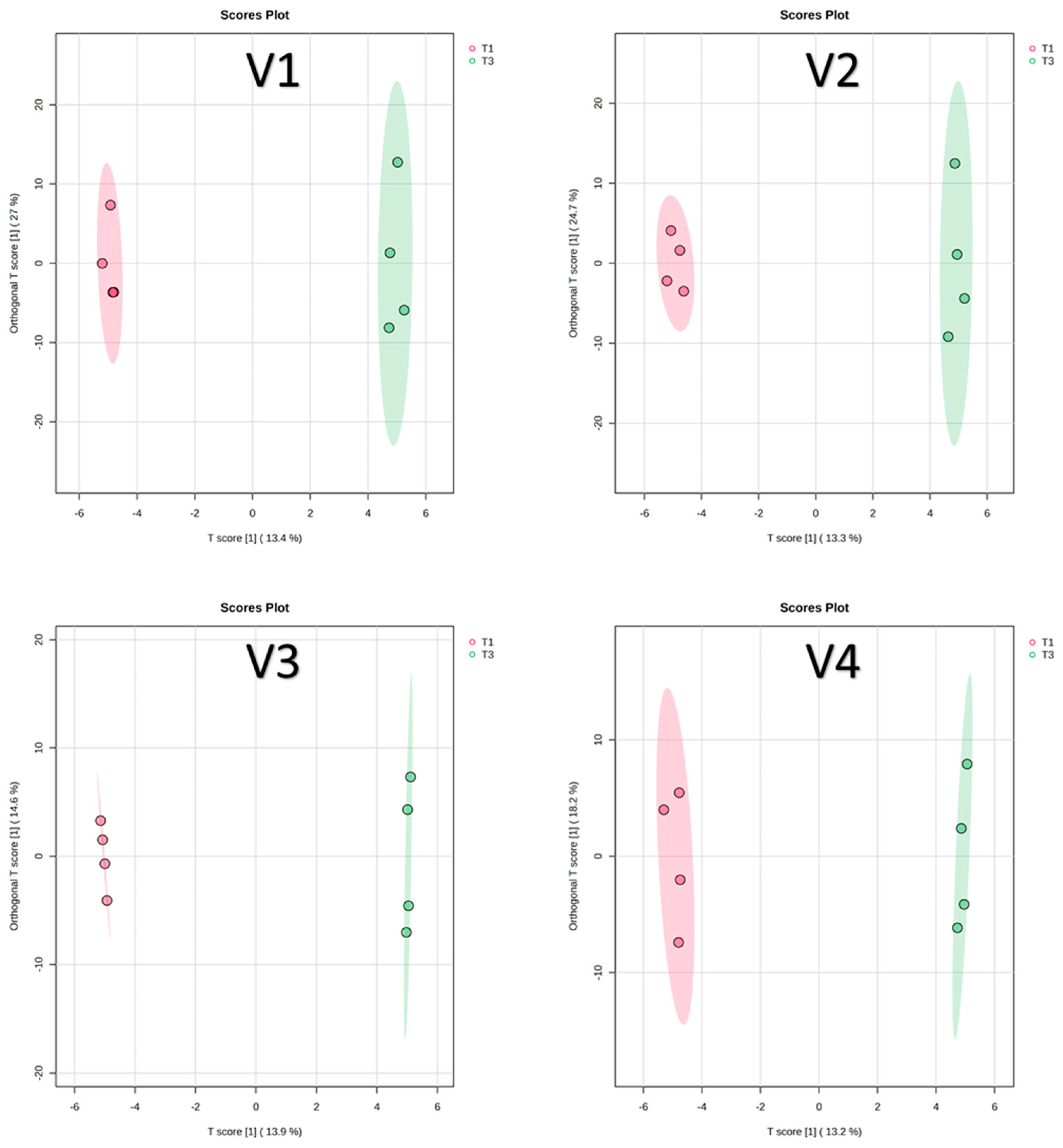
3.3.1. Effect of Using Ramial Chipped Wood (T3) Versus Commercial Woody Residue Compost (T1) on Tomato Varieties
3.3.2. Effect of Woody Residue Versus Commercial Nitrogen-Rich Pellets on Tomato Fruit Composition
4. Conclusions
Supplementary Materials
Author Contributions
Funding
Institutional Review Board Statement
Informed Consent Statement
Data Availability Statement
Acknowledgments
Conflicts of Interest
References
- Geetha, P.; Indhu Rani, C. Post Harvest Technology and Value Addition of Tomatoes. Food Sci. Res. J. 2020, 11, 217–229. [Google Scholar] [CrossRef]
- Estruch, R.; Ros, E.; Salas-Salvadó, J.; Covas, M.-I.; Corella, D.; Arós, F.; Gómez-Gracia, E.; Ruiz-Gutiérrez, V.; Fiol, M.; Lapetra, J.; et al. Primary Prevention of Cardiovascular Disease with a Mediterranean Diet Supplemented with Extra-Virgin Olive Oil or Nuts. N. Engl. J. Med. 2018, 378, e314. [Google Scholar] [CrossRef]
- Vallverdú-Queralt, A.; Regueiro, J.; Rinaldi De Alvarenga, J.F.; Torrado, X.; Lamuela-Raventos, R.M. Home Cooking and Phenolics: Effect of Thermal Treatment and Addition of Extra Virgin Olive Oil on the Phenolic Profile of Tomato Sauces. J. Agric. Food Chem. 2014, 62, 3314–3320. [Google Scholar] [CrossRef]
- Vallverdú-Queralt, A.; Medina-Remón, A.; Martínez-Huélamo, M.; Jáuregui, O.; Andres-Lacueva, C.; Lamuela-Raventos, R.M. Phenolic Profile and Hydrophilic Antioxidant Capacity as Chemotaxonomic Markers of Tomato Varieties. J. Agric. Food Chem. 2011, 59, 3994–4001. [Google Scholar] [CrossRef] [PubMed]
- Martí, R.; Roselló, S.; Cebolla-Cornejo, J. Tomato as a Source of Carotenoids and Polyphenols Targeted to Cancer Prevention. Cancers 2016, 8, 58. [Google Scholar] [CrossRef] [PubMed]
- Ganugi, P.; Fiorini, A.; Tabaglio, V.; Capra, F.; Zengin, G.; Bonini, P.; Caffi, T.; Puglisi, E.; Trevisan, M.; Lucini, L. The Functional Profile and Antioxidant Capacity of Tomato Fruits Are Modulated by the Interaction between Microbial Biostimulants, Soil Properties, and Soil Nitrogen Status. Antioxidants 2023, 12, 520. [Google Scholar] [CrossRef] [PubMed]
- Chen, X.; Li, H.; Zhang, B.; Deng, Z. The Synergistic and Antagonistic Antioxidant Interactions of Dietary Phytochemical Combinations. Crit. Rev. Food Sci. Nutr. 2021, 62, 5658–5677. [Google Scholar] [CrossRef]
- Rodríguez-Ortiz, J.C.; Díaz-Flores, P.E.; Zavala-Sierra, D. Organic vs Conventional Fertilization: Soil Nutrient Availability, Production, and Quality of Tomato Fruit. Water Air Soil Pollut. 2022, 233, 87. [Google Scholar] [CrossRef]
- González-Coria, J.; Lozano-Castellón, J.; Jaime-Rodríguez, C.; Olmo-Cunillera, A.; Laveriano-Santos, E.P.; Pérez, M.; Lamuela-Raventós, R.M.; Puig, J.; Vallverdú-Queralt, A.; Romanyà, J. The Effects of Differentiated Organic Fertilization on Tomato Production and Phenolic Content in Traditional and High-Yielding Varieties. Antioxidants 2022, 11, 2127. [Google Scholar] [CrossRef]
- Eyhorn, F.; Muller, A.; Reganold, J.P.; Frison, E.; Herren, H.R.; Luttikholt, L.; Mueller, A.; Sanders, J.; Scialabba, N.E.H.; Seufert, V.; et al. Sustainability in Global Agriculture Driven by Organic Farming. Nat. Sustain. 2019, 2, 253–255. [Google Scholar] [CrossRef]
- Andrés, P.; Doblas-Miranda, E.; Rovira, P.; Bonmatí, A.; Ribas, À.; Mattana, S.; Romanyà, J. Research for AGRI Committee. Agricultural Potential in Carbon Sequestration. Humus Content of Land Used for Agriculture and CO2 Storage; European Parliament, Policy Department for Structural and Cohesion Policies: Brussels, Belgium, 2022; Volume 103, pp. 655–699. [Google Scholar]
- Lahmar, R.; Ruellan, A. Soil Degradation in the Mediterranean Region and Cooperative Strategies. Cah. Agric. 2007, 16, 318–323. [Google Scholar] [CrossRef]
- Aguilera, E.; Lassaletta, L.; Sanz-cobena, A.; Garnier, J.; Vallejo, A. The Potential of Organic Fertilizers and Water Management to Reduce N2O Emissions in Mediterranean Climate Cropping Systems. A Review. Agric. Ecosyst. Environ. 2013, 164, 32–52. [Google Scholar] [CrossRef]
- Panagos, P.; Ballabio, C.; Poesen, J.; Lugato, E.; Scarpa, S.; Montanarella, L.; Borrelli, P. A Soil Erosion Indicator for Supporting Agricultural, Environmental and Climate Policies in the European Union. Remote Sens. 2020, 12, 1365. [Google Scholar] [CrossRef]
- Ferreira, C.S.; Seifollahi-aghmiuni, S.; Destouni, G.; Ghajarnia, N.; Kalantari, Z. Soil Degradation in the European Mediterranean Region: Processes, Status and Consequences. Sci. Total Environ. 2022, 805, 150106. [Google Scholar] [CrossRef]
- Maréchal, A.; Panagos, P.; Jones, A.; Arias Navarro, C.; Ballabio, C.; Belitrandi, D.; Breure, T.; De Medici, D.; De Rosa, D.; Fendrich, A.; et al. EUSO Annual Bulletin, EUR 31506 EN; Publications Office of the European Union: Luxembourg, 2023; ISBN 978-92-68-03434-7. [Google Scholar] [CrossRef]
- Zaman, K.; Moemen, M.A. Energy Consumption, Carbon Dioxide Emissions and Economic Development: Evaluating Alternative and Plausible Environmental Hypothesis for Sustainable Growth. Renew. Sustain. Energy Rev. 2017, 74, 1119–1130. [Google Scholar] [CrossRef]
- Quirós, R.; Halog, A.; Muñoz, P. Environmental Assessment of Two Irrigation Systems in an Organic Tomato Crop System Under Manure Compost Fertilization: A Sustainable Circular Economy Approach. Circ. Econ. Sustain. 2022, 2, 1445–1462. [Google Scholar] [CrossRef]
- Robert, N.; Tanguy, M.; Riss, J.; Gallois, R. Effects of Ramial Chipped Wood Amendments on Weed Control, Soil Properties and Tomato Crop Yield. Acta Hortic. 2014, 1018, 383–390. [Google Scholar] [CrossRef]
- Lal, R. Geoderma Food Security Impacts of the “4 per Thousand” Initiative. Geoderma 2020, 374, 114427. [Google Scholar] [CrossRef]
- Tonfack, L.B.; Bernadac, A.; Youmbi, E.; Mbouapouognigni, V.P.; Ngueguim, M.; Akoa, A. Impact of Organic and Inorganic Fertilizers on Tomato Vigor, Yield and Fruit Composition under Tropical Andosol Soil Conditions. Fruits 2009, 64, 167–177. [Google Scholar] [CrossRef]
- Berner, A.; Hildermann, I.; Fließbach, A.; Pfiffner, L.; Niggli, U.; Mäder, P. Crop Yield and Soil Fertility Response to Reduced Tillage under Organic Management. Soil Tillage Res. 2008, 101, 89–96. [Google Scholar] [CrossRef]
- Yanar, D.; Lu, N.G.Ğ.; Yanar, Y.; Aydin, M.; Çakmak, P. Effect of Different Organic Fertilizers on Yield and Fruit Quality of Indeterminate Tomato (Lycopersicon Esculentum). Sci. Res. Essays 2011, 6, 3623–3628. [Google Scholar] [CrossRef]
- Barthès, B.G.; Manlay, R.J.; Porte, O. Effects of Ramial Wood Amendments on Crops and Soil: A Synthesis of Experimental Results. Cah. Agric. 2010, 19, 280–287. [Google Scholar] [CrossRef]
- Soumare, M.D.; Mnkeni, P.N.S.; Khouma, M. Effects of Casuarina Equisetifolia Composted Litter and Ramial-Wood Chips on Tomato Growth and Soil Properties in Niayes, Senegal. Biol. Agric. Hortic. 2002, 20, 111–123. [Google Scholar] [CrossRef]
- Bouranis, D.L.; Venieraki, A.; Chorianopoulou, S.N.; Katinakis, P. Impact of Elemental Sulfur on the Rhizospheric Bacteria of Durum Wheat Crop Cultivated on a Calcareous Soil. Plants 2019, 8, 379. [Google Scholar] [CrossRef]
- González-Coria, J.; Ioan, M.-D.; Hohmann, P.; Segarra, G.; Pérez-Llorca, M.; Pérez, M.; Vallverdú-Queralt, A.; Romanyà, J. Early-Stage Effects of Carbon-Rich Soil Amendments Stimulate Retention-Related Nitrogen Genes While Maintaining Nitrogen and Yield Levels. Soil Tillage Res. 2025, 254, 106729. [Google Scholar] [CrossRef]
- Pérez-Llorca, M.; Jaime-Rodríguez, C.; González-Coria, J.; Lamuela-Raventós, R.M.; Pérez, M.; Vallverdú-Queralt, A.; Hernández, R.; Chantry, O.; Romanyà, J. Increasing Soil Organic Matter and Short-Term Nitrogen Availability by Combining Ramial Chipped Wood with a Crop Rotation Starting with Sweet Potato. Agric. Ecosyst. Environ. 2025, 392, 109740. [Google Scholar] [CrossRef]
- Carravedo Fantova, M. Variedades Autóctonas de Tomates de Aragón; C.I.T.A.: Zaragoza, Spain, 2006; ISBN 84-7753-436-5. [Google Scholar]
- Beer, F.; Weinert, C.H.; Wellmann, J.; Hillebrand, S.; Ley, J.P.; Soukup, S.T.; Kulling, S.E. Comprehensive Metabolome Characterization of Leaves, Internodes, and Aerial Roots of Vanilla Planifolia by Untargeted LC–MS and GC × GC–MS. Phytochem. Anal. 2025, 36, 30–51. [Google Scholar] [CrossRef]
- Salek, R.M.; Steinbeck, C.; Viant, M.R.; Goodacre, R.; Dunn, W.B. The Role of Reporting Standards for Metabolite Annotation and Identification in Metabolomic Studies. Gigascience 2013, 2, 13. [Google Scholar] [CrossRef]
- Tsugawa, H.; Ikeda, K.; Takahashi, M.; Satoh, A.; Mori, Y.; Uchino, H.; Okahashi, N.; Yamada, Y.; Tada, I.; Bonini, P.; et al. A Lipidome Atlas in MS-DIAL 4. Nat. Biotechnol. 2020, 38, 1159–1163. [Google Scholar] [CrossRef] [PubMed]
- Pang, Z.; Lu, Y.; Zhou, G.; Hui, F.; Xu, L.; Viau, C.; Spigelman, A.F.; MacDonald, P.E.; Wishart, D.S.; Li, S.; et al. MetaboAnalyst 6.0: Towards a Unified Platform for Metabolomics Data Processing, Analysis and Interpretation. Nucleic Acids Res. 2024, 52, W398–W406. [Google Scholar] [CrossRef]
- Ercolano, M.R.; Carli, P.; Soria, A.; Cascone, A.; Fogliano, V.; Frusciante, L.; Barone, A. Biochemical, Sensorial and Genomic Profiling of Traditional Italian Tomato Varieties. Euphytica 2008, 164, 571–582. [Google Scholar] [CrossRef]
- Bontempo, L.; van Leeuwen, K.A.; Paolini, M.; Holst Laursen, K.; Micheloni, C.; Prenzler, P.D.; Ryan, D.; Camin, F. Bulk and Compound-Specific Stable Isotope Ratio Analysis for Authenticity Testing of Organically Grown Tomatoes. Food Chem. 2020, 318, 126426. [Google Scholar] [CrossRef]
- PlantCyc Orientin and Isoorientin Biosynthesis I. Available online: https://pmn.plantcyc.org/pathway?orgid=SWEETCHERRY&id=PWY-7188 (accessed on 13 January 2025).
- Lozano-Castellón, J.; Laveriano-Santos, E.P.; Abuhabib, M.M.; Pozzoli, C.; Pérez, M.; Vallverdú-Queralt, A.; Lamuela-Raventós, R.M. Proven Traceability Strategies Using Chemometrics for Organic Food Authenticity. Trends Food Sci. Technol. 2024, 147, 104430. [Google Scholar] [CrossRef]
- Muñoz, P.; Huenchuguala, S.; Paris, I.; Segura-Aguilar, J. Dopamine Oxidation and Autophagy. Park. Dis. 2012, 2012, 920953. [Google Scholar] [CrossRef] [PubMed]
- Plantcyc Monoamine Oxidase. Available online: https://pmn.plantcyc.org/gene?orgid=TOMATO&id=MONOMER-13652 (accessed on 1 July 2024).
- Sakai, M.; Hirata, H.; Sayama, H.; Sekiguchi, K.; Itano, H.; Asai, T.; Dohra, H.; Hara, M.; Watanabe, N. Production of 2-Phenylethanol in Roses as the Dominant Floral Scent Compound from L-Phenylalanine by Two Key Enzymes, a PLP-Dependent Decarboxylase and a Phenylacetaldehyde Reductase. Biosci. Biotechnol. Biochem. 2007, 71, 2408–2419. [Google Scholar] [CrossRef]
- Mageroy, M.H.; Tieman, D.M.; Floystad, A.; Taylor, M.G.; Klee, H.J. A Solanum lycopersicum Catechol-O-Methyltransferase Involved in Synthesis of the Flavor Molecule Guaiacol. Plant J. 2012, 69, 1043–1051. [Google Scholar] [CrossRef]
- Toor, R.K.; Savage, G.P.; Heeb, A. Influence of Different Types of Fertilisers on the Major Antioxidant Components of Tomatoes. J. Food Compos. Anal. 2006, 19, 20–27. [Google Scholar] [CrossRef]
- Czech, A.; Szmigielski, M.; Sembratowicz, I. Nutritional Value and Antioxidant Capacity of Organic and Conventional Vegetables of the Genus Allium. Sci. Rep. 2022, 12, 18713. [Google Scholar] [CrossRef] [PubMed]
- Royer, M.; Larbat, R.; Le Bot, J.; Adamowicz, S.; Robin, C. Is the C:N Ratio a Reliable Indicator of C Allocation to Primary and Defence-Related Metabolisms in Tomato? Phytochemistry 2013, 88, 25–33. [Google Scholar] [CrossRef] [PubMed]
- Scharenbroch, B.C.; Watson, G.W. Wood Chips and Compost Improve Soil Quality and Increase Growth of Acer Rubrum and Betula Nigra in Compacted Urban Soil. Arboric. Urban For. 2014, 40, 319–331. [Google Scholar] [CrossRef]
- Larbat, R.; Paris, C.; Le Bot, J.; Adamowicz, S. Phenolic Characterization and Variability in Leaves, Stems and Roots of Micro-Tom and Patio Tomatoes, in Response to Nitrogen Limitation. Plant Sci. 2014, 224, 62–73. [Google Scholar] [CrossRef] [PubMed]





| T1 | T2 | T3 | T4 | |
|---|---|---|---|---|
| May 2021 | 12.8 Tn/ha of compost of woody plant residues rich in nitrogen (C/N ratio 15.3) (168 kg N/ha). | Control, no fertilizers | 15 kg/m2 of woody plant residues. | 7.5 kg/m2 of woody plant residues. |
| May to October 2021 | Sweet potato (Ipomoea batatas var Beauregard). | |||
| October 2021 to April 2022 | Spinach (Spinacia oleracea) and fava beans (Vicia faba). | |||
| May 2022 | Another application of compost. | 210 kg of nitrogen-rich organic fertilizer (C/N ratio 4). | 120 kg of nitrogen-rich fertilizer. | 120 kg of nitrogen-rich fertilizer. |
| May to August 2022 | Tomato (Solanum lycopersicum var Cornabel, Cuban Pepper, Corno andino and Roli Rosa). | |||
| Tomato Variety | Treatment | Average Tomato Yield ± SD | * n |
|---|---|---|---|
| Cornabel | T1 | 26.02 ± 7.62 | 4 |
| T2 | 32.65 ± 11.05 | 4 | |
| T3 | 28.30 ± 12.75 | 4 | |
| T4 | 16.44 ± 4.13 | 4 | |
| Cuban Pepper | T1 | 7.00 ± 1.85 | 4 |
| T2 | 9.46 ± 3.98 | 4 | |
| T3 | 4.32 ± 3.15 | 4 | |
| T4 | 5.82 ± 3.43 | 4 | |
| Corno Andino | T1 | 13.60 ± 7.30 | 4 |
| T2 | 13.15 ± 7.36 | 4 | |
| T3 | 14.03 ± 3.35 | 4 | |
| T4 | 10.57 ± 3.12 | 4 | |
| Roli Rosa | T1 | 13.71 ± 7.73 | 4 |
| T2 | 24.22 ± 7.17 | 4 | |
| T3 | 22.75 ± 7.94 | 4 | |
| T4 | 20.88 ± 4.58 | 4 |
| p Value | FDR | V1/V4 | V2/V4 | V3/V4 | |||||
|---|---|---|---|---|---|---|---|---|---|
| Class | Fold Change | log2(FC) | Fold Change | log2(FC) | Fold Change | log2(FC) | |||
| Eriodictyol | Flavonoids | 2.01 × 10−11 | 3.23 × 10−10 | 44.676 | 5.4814 | 57.623 | 5.8486 | 21.937 | 4.4553 |
| Naringenin glucoside | Flavonoids | 6.90 × 10−7 | 3.52 × 10−6 | 26.48 | 4.7268 | 8.3228 | 3.0571 | 3.4295 | 1.778 |
| Naringenin chalcone | Flavonoids | 7.59 × 10−15 | 2.64 × 10−13 | 26.099 | 4.7059 | 46.675 | 5.5446 | 24.969 | 4.6421 |
| Orobol (Isoluteolin) | Flavonoids | 6.97 × 10−8 | 5.20 × 10−7 | 24.323 | 4.6042 | 21.557 | 4.4301 | 13.354 | 3.7392 |
| Eriodictyol glucoside | Flavonoids | 0.0004988 | 0.0012411 | 19.373 | 4.276 | 2.1239 | 1.0867 | ||
| Epigallocatechin | Flavonoids | 4.33 × 10−6 | 1.56 × 10−5 | 11.28 | 3.4957 | 3.0995 | 1.632 | 2.5137 | 1.3298 |
| Phloretin | Flavonoids | 3.28 × 10−5 | 0.00010231 | 9.9355 | 3.3126 | 31.276 | 4.967 | 16.903 | 4.0792 |
| Isorhamnetin rutinoside | Flavonoids | 9.21 × 10−8 | 6.64 × 10−7 | 7.38 | 2.8836 | 6.5918 | 2.7207 | 7.9735 | 2.9952 |
| Naringenin | Flavonoids | 1.70 × 10−6 | 7.58 × 10−6 | 7.2215 | 2.8523 | 11.48 | 3.5211 | 9.5422 | 3.2543 |
| Tiliroside | Flavonoids | 0.002343 | 0.0047085 | 7.0406 | 2.8157 | 4.5574 | 2.1882 | 8.8628 | 3.1478 |
| Apigenin | Flavonoids | 3.06 × 10−12 | 7.11 × 10−11 | 6.4713 | 2.6941 | 35.205 | 5.1377 | 27.615 | 4.7874 |
| Quercetin-rutinoside-glucoside | Flavonoids | 1.04 × 10−16 | 7.22 × 10−15 | 5.9906 | 2.5827 | 5.3633 | 2.4231 | ||
| Isoschaftoside | Flavonoids | 6.58 × 10−7 | 3.51 × 10−6 | 5.8309 | 2.5437 | 6.3154 | 2.6589 | 3.0446 | 1.6062 |
| Phloretin-xylosyl-glucoside | Flavonoids | 7.90 × 10−9 | 7.86 × 10−8 | 4.4239 | 2.1453 | 4.7253 | 2.2404 | 5.07 | 2.342 |
| Hispidulin | Flavonoids | 1.69 × 10−8 | 1.47 × 10−7 | 4.0792 | 2.0283 | 5.1687 | 2.3698 | 9.5069 | 3.249 |
| Luteolin-8-O-glucoside (orientin) | Flavonoids | 4.32 × 10−9 | 4.52 × 10−8 | 0.18491 | −2.4351 | 0.22792 | −2.1334 | 0.24266 | −2.043 |
| Phloretin glucoside | Flavonoids | 0.00020707 | 0.00054781 | 0.16024 | −2.6417 | ||||
| Kaempferol | Flavonoids | 0.0024796 | 0.0049356 | 0.12376 | −3.0144 | 0.18835 | −2.4085 | ||
| Luteolin | Flavonoids | 1.45 × 10−6 | 6.73 × 10−6 | 2.6764 | 1.4203 | 7.4521 | 2.8976 | 4.2352 | 2.0824 |
| Quercetin xyloside | Flavonoids | 0.00054223 | 0.0012829 | 2.9479 | 1.5597 | 4.0776 | 2.0277 | 2.4729 | 1.3062 |
| Kaempferol glucoside | Flavonoids | 0.008785 | 0.014927 | 4.0024 | 2.0009 | ||||
| Quercetin (Dihydrate) | Flavonoids | 4.03 × 10−5 | 0.00011698 | 0.27247 | −1.8758 | 0.2467 | −2.0192 | 2.4737 | −1.3067 |
| Cyanidin | Flavonoids | 1.10 × 10−9 | 1.35 × 10−8 | 0.26903 | −1.8941 | 0.22967 | −2.1224 | 0.27402 | −1.8677 |
| Quercetin diglucoside | Flavonoids | 1.18 × 10−13 | 3.53 × 10−12 | 0.27236 | −1.8764 | 0.17517 | −2.5132 | 0.22432 | −2.1564 |
| Isorhamnetin glucoside | Flavonoids | 0.0008438 | 0.0018564 | 2.8579 | 1.515 | 5.3633 | 2.4231 | 6.013 | 2.5881 |
| Kukoamine A | Amines | 3.28 × 10−5 | 0.00010231 | 31.832 | 4.9924 | 11.078 | 3.4697 | 4.8105 | 2.2662 |
| Serotonin | Amines | 3.74 × 10−12 | 7.82 × 10−11 | 7.5597 | 2.9183 | 2.6199 | 1.3895 | 2.7762 | 1.4731 |
| Dopamine | Amines | 1.07 × 10−7 | 6.97 × 10−7 | 7.2701 | 2.862 | 3.2964 | 1.7209 | 2.6482 | 1.405 |
| Feruloyl tyramine | Amines | 2.07 × 10−7 | 3.39 × 10−6 | 4.0428 | 2.0153 | ||||
| Hydroxy-methoxyphenylacetic acid (Homovanillic acid) | Phenols and organic acids | 1.44 × 10−8 | 1.31 × 10−7 | 36.069 | 5.1727 | 34.674 | 5.1158 | 41.205 | 5.3647 |
| Hydroxyphenylacetic acid | Phenols and organic acids | 9.37 × 10−7 | 4.55 × 10−6 | 16.299 | 4.0268 | 19.242 | 4.2662 | 18.108 | 4.1786 |
| Hydroxytyrosol | Phenols and organic acids | 1.94 × 10−6 | 8.11 × 10−6 | 5.4923 | 2.4574 | ||||
| Neochlorogenic acid | Phenols and organic acids | 1.26 × 10−7 | 7.97 × 10−7 | 4.7016 | 2.2332 | 2.1873 | 1.1291 | ||
| Chlorogenic acid (Hemihydrat) | Phenols and organic acids | 0.00055043 | 0.0012829 | 4.679 | 2.2262 | 5.0156 | 2.3264 | ||
| Glucovanillin | Carbohydrates | 1.37 × 10−9 | 1.59 × 10−8 | 9.6322 | 3.2679 | 8.9704 | 3.1652 | 6.0604 | 2.5994 |
| Cucurbitacin D | Triterpenes | 4.52 × 10−15 | 1.89 × 10−13 | 0.2066 | −2.2751 | 0.46474 | −1.1055 | 0.48138 | −1.0548 |
| Resveratrol | Stilbenoids | 1.15 × 10−15 | 6.03 × 10−14 | 3.7393 | 1.9028 | 26.1 | 4.706 | 3.4232 | 1.7753 |
| T1 Is the Compost and T3 Is Ramial Chipped Wood | |||
|---|---|---|---|
| Compound | Category | * Log2FC | VIP[t] OPLS-DA |
| Variety 1 (Cornabel) | |||
| p-Coumaric Acid | hydroxyl phenols | 1.146529 | 2.407687 |
| Nonanoic Acid | fatty acids | −0.9427 | 2.399184 |
| Abscisic acid | organic acids | 1.008865 | 2.381753 |
| Kestose | sugar | 0.154476 | 2.078115 |
| Trigonelline | alkaloids | 0.878093 | 2.055114 |
| Pantothenic acid | vitamin B | 0.417785 | 1.983722 |
| Isoschaftoside | flavonoid glycoside | 1.138413 | 1.984392 |
| Pyrrolidinone | heterocyclic organic comp | −1.21666 | 1.956484 |
| Erythronolactone | lactone | −0.43937 | 1.977656 |
| Glucovanillin | glycosides | 0.788786 | 1.965855 |
| Variety 2 (Cuban Pepper) | |||
| Quercetin diglucoside | flavonoids | −1.56143 | 2.130441 |
| Nonanoic acid | fatty acids | 0.53435 | 2.050532 |
| D-Saccharose | sugar | −0.69369 | 2.060782 |
| Isopentylamine | amines | 1.037912 | 2.059114 |
| Tomatin | carbohydrates | −1.25702 | 2.047888 |
| Indol carbaldehyde | indole | 1.326053 | 2.092906 |
| Hydroxy-methoxyphenyl acetic acid | organic acids | −0.99027 | 1.969829 |
| Anhydro sorbitol | sugar | −0.39654 | 2.010885 |
| Luteolin-8-C-glucoside | flavonoids | −1.90158 | 1.923035 |
| Variety 3 (Corno Andino) | |||
| Succinic acid | organic acids | 0.493492 | 2.460384 |
| L-Asparagine | amino acids | −0.41132 | 2.265669 |
| Luteolin | flavonoids | 1.658417 | 2.19627 |
| Variety 4 (Roli Rosa) | |||
| Pyruvic acid | organic acids | 1.234785 | 2.450444 |
| Dihydroxybenzoic acid | organic acids | 0.916453 | 2.272568 |
| Apigenin | flavonoids | −2.2098 | 2.257424 |
| Hydroxyproline betaine | amino acids | 0.897212 | 2.155159 |
| Hydroxy-methoxyphenylacetic acid | organic acids | 0.92976 | 1.992463 |
| Adipic acid | organic acids | 0.971178 | 1.973279 |
| T2 Is the Control and T3 Is RCW | |||
|---|---|---|---|
| Compound | Category | * Log2FC | VIP[t] OPLS-DA |
| Variety 1 (Cornabel) | |||
| Gamma aminobutyric acid | amino acids | 0.50032 | 2.358385 |
| Iso-schaftoside | flavonoids | −1.2532 | 2.323798 |
| Succinic acid | organic acids | 0.454959 | 2.205357 |
| Eriodictyol glucoside | flavonoids | −1.66415 | 2.222554 |
| Dihydroxyphenyl lactic acid | hydroxyl phenols | 0.756158 | 2.183703 |
| Abscisic acid | organic acids | −0.67688 | 2.186506 |
| Feruloyl glucoside | glycosides | 1.086971 | 2.142704 |
| Lactic acid | organic acids | 0.940623 | 2.152517 |
| Isoferulic acid | hydroxyl phenols | 0.555847 | 2.054568 |
| Variety 2 (Cuban Pepper) | |||
| Malonyl-tryptophan | amino acids | 0.909838 | 2.455417 |
| Glucoheptonic acid lactone | lactones | 1.049061 | 2.069926 |
| Feruloyl tyramine | phenolic amines | 0.956465 | 2.032768 |
| Variety 3 (Corno Andino) | |||
| Indol carbaldehyde | heterocyclic indoles | −0.93623 | 2.456818 |
| Taxifolin | flavonoids | −1.79987 | 2.293026 |
| Methyl succinic acid | organic acids | −0.31006 | 1.991324 |
| Trigonelline | alkaloids | 0.788205 | 1.990487 |
| L-Tryptophan | amino acids | 0.265948 | 1.996145 |
| Tyramine | phenolic amines | 0.880057 | 1.97969 |
| L-Homoglutamic acid | amino acids | −0.43322 | 1.90232 |
| Quercetin dihydrate | flavonoids | −1.51721 | 1.93636 |
| L-lysine | amino acids | 0.450673 | 1.898549 |
| Variety 4 (Roli Rosa) | |||
| Erythronolactone | lactones | 0.547699 | 2.042465 |
| Erythrodiol | triterpenes | −1.27068 | 1.859939 |
| p-cumaroyl tyramin | phenolic amines | 1.492106 | 1.834817 |
| L-Glutamic acid | amino acid | −0.78378 | 1.85933 |
| Caffeic acid | hydroxyl phenols | 0.747991 | 1.777343 |
Disclaimer/Publisher’s Note: The statements, opinions and data contained in all publications are solely those of the individual author(s) and contributor(s) and not of MDPI and/or the editor(s). MDPI and/or the editor(s) disclaim responsibility for any injury to people or property resulting from any ideas, methods, instructions or products referred to in the content. |
© 2025 by the authors. Licensee MDPI, Basel, Switzerland. This article is an open access article distributed under the terms and conditions of the Creative Commons Attribution (CC BY) license (https://creativecommons.org/licenses/by/4.0/).
Share and Cite
Abuhabib, M.M.; Abarca-Rivas, C.; Lozano-Castellón, J.; Vallverdú-Queralt, A.; González-Coria, J.; Soukup, S.T.; Lamuela-Raventós, R.M.; Pérez, M.; Romanyà, J. Sustainable Fertilization with Ramial Chipped Wood Enhances Antioxidant Profiles in Tomato Varieties: An Untargeted Metabolomics Approach. Antioxidants 2025, 14, 1330. https://doi.org/10.3390/antiox14111330
Abuhabib MM, Abarca-Rivas C, Lozano-Castellón J, Vallverdú-Queralt A, González-Coria J, Soukup ST, Lamuela-Raventós RM, Pérez M, Romanyà J. Sustainable Fertilization with Ramial Chipped Wood Enhances Antioxidant Profiles in Tomato Varieties: An Untargeted Metabolomics Approach. Antioxidants. 2025; 14(11):1330. https://doi.org/10.3390/antiox14111330
Chicago/Turabian StyleAbuhabib, Mohamed M., Clara Abarca-Rivas, Julián Lozano-Castellón, Anna Vallverdú-Queralt, Johana González-Coria, Sebastian T. Soukup, Rosa M. Lamuela-Raventós, Maria Pérez, and Joan Romanyà. 2025. "Sustainable Fertilization with Ramial Chipped Wood Enhances Antioxidant Profiles in Tomato Varieties: An Untargeted Metabolomics Approach" Antioxidants 14, no. 11: 1330. https://doi.org/10.3390/antiox14111330
APA StyleAbuhabib, M. M., Abarca-Rivas, C., Lozano-Castellón, J., Vallverdú-Queralt, A., González-Coria, J., Soukup, S. T., Lamuela-Raventós, R. M., Pérez, M., & Romanyà, J. (2025). Sustainable Fertilization with Ramial Chipped Wood Enhances Antioxidant Profiles in Tomato Varieties: An Untargeted Metabolomics Approach. Antioxidants, 14(11), 1330. https://doi.org/10.3390/antiox14111330

