Oxidative Stress-Related Biomarkers in Inflammatory Bowel Disease: Dual Tools for Remission Assessment and Prediction of Treatment Outcome
Abstract
1. Introduction
2. Materials and Methods
2.1. Study Design
2.2. Inclusion Criteria
2.3. Exclusion Criteria
2.4. Biomarker Measurements
2.5. Disease Activity Assessment
2.6. Disease Remission Criteria
2.7. Statistical Analysis
3. Results
3.1. Patient Baseline Characteristics
3.2. Profiling and Clustering of Oxidative Stress-Related Biomarkers
3.3. Clinical Outcomes and Associations with Oxidative Stress-Related Biomarkers
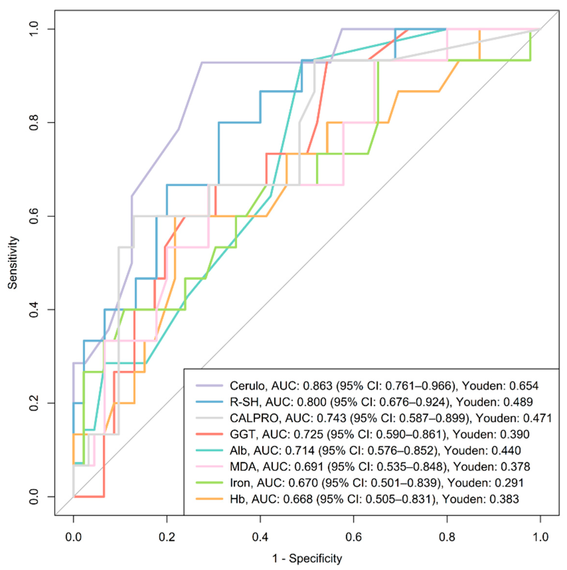
3.4. Diagnostic Performance of Oxidative Stress-Related Biomarkers for Remission Assessment at the Final Follow-Up
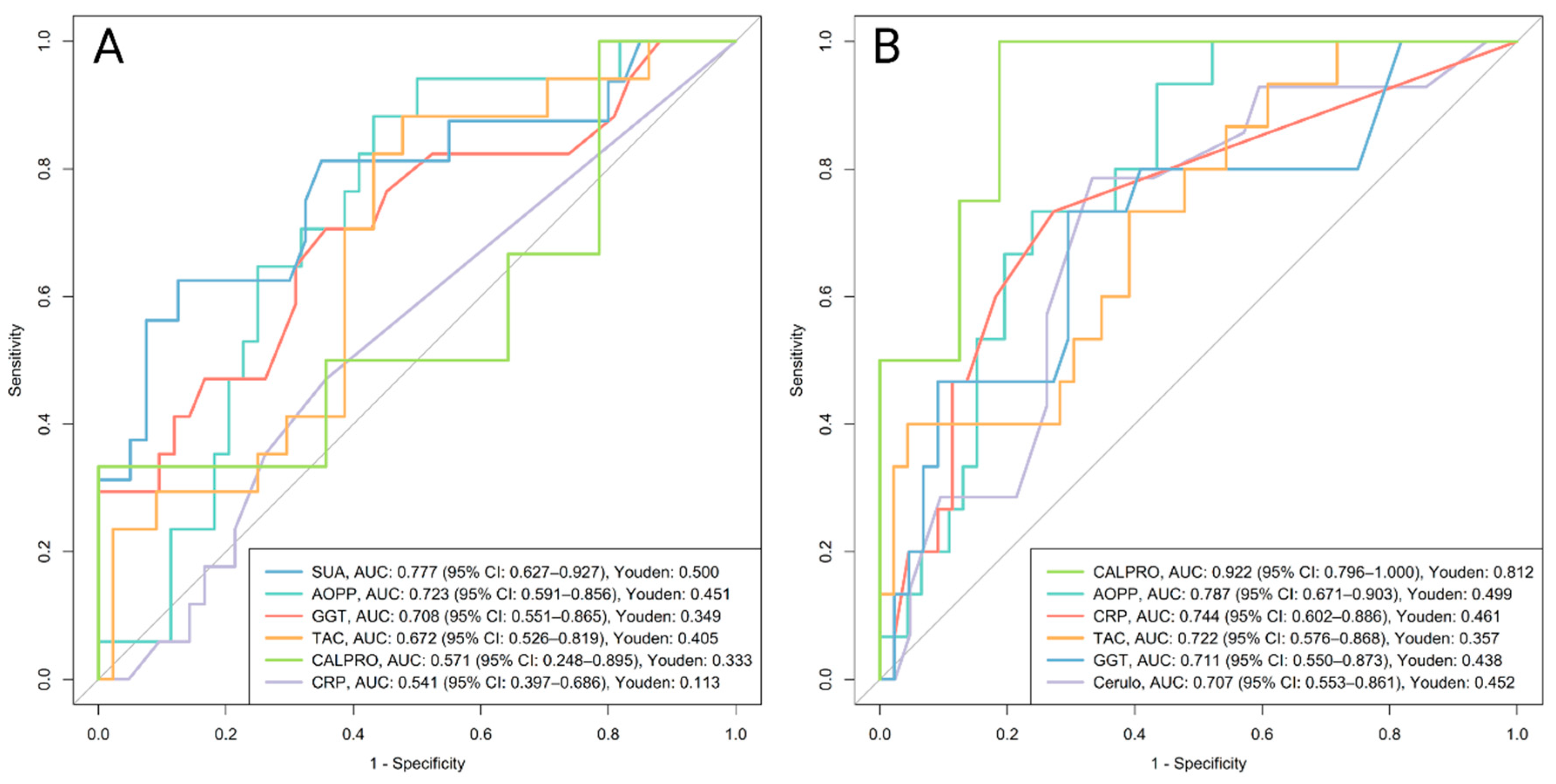
3.5. Predictive Performance of Oxidative Stress-Related Biomarkers for Remission Assessment at the Final Follow-Up
3.5.1. Prediction Based on Post-Induction Visit 2 Biomarkers
Clinical Remission
Biochemical Remission Based on CRP
3.5.2. Prediction Based on Baseline Biomarkers (Visit 1)
Clinical Remission
Biochemical Remission Based on CRP
3.6. Principal Component Analysis (PCA) and Logistic Regression
3.7. Improving Diagnostic Performance Through Biomarker Combinations
4. Discussion
4.1. Diagnostic Performance of Oxidative Stress-Related Biomarkers
4.1.1. Clinical, Biochemical (Calprotectin) and Endoscopic Remission
4.1.2. Biochemical (CRP) Remission
4.2. Oxidative Stress-Related Biomarkers as Predictors of Treatment Outcome
4.3. PCA and Logistic Regression
4.4. Limitations
5. Conclusions
Supplementary Materials
Author Contributions
Funding
Institutional Review Board Statement
Informed Consent Statement
Data Availability Statement
Acknowledgments
Conflicts of Interest
Abbreviations
| AOPP | Advanced oxidation protein products |
| AUC | Area under the receiver operating characteristic curve |
| CD | Crohn’s disease |
| CI | Confidence interval |
| CRP | C-reactive protein |
| GGT | Gamma-glutamyl transferase |
| IBD | Inflammatory bowel disease |
| IQR | Interquartile range |
| MDA | Malondialdehyde |
| R-SH | Plasma free thiols |
| SUA | Serum uric acid |
| TAC | Total antioxidant capacity |
| UC | Ulcerative colitis |
References
- Abraham, C.; Cho, J.H. Inflammatory Bowel Disease. N. Engl. J. Med. 2009, 361, 2066–2078. [Google Scholar] [CrossRef]
- Xavier, R.J.; Podolsky, D.K. Unravelling the Pathogenesis of Inflammatory Bowel Disease. Nature 2007, 448, 427–434. [Google Scholar] [CrossRef]
- Bourgonje, A.R.; Feelisch, M.; Faber, K.N.; Pasch, A.; Dijkstra, G.; van Goor, H. Oxidative Stress and Redox-Modulating Therapeutics in Inflammatory Bowel Disease. Trends Mol. Med. 2020, 26, 1034–1046. [Google Scholar] [CrossRef]
- Pizzino, G.; Irrera, N.; Cucinotta, M.; Pallio, G.; Mannino, F.; Arcoraci, V.; Squadrito, F.; Altavilla, D.; Bitto, A. Oxidative Stress: Harms and Benefits for Human Health. Oxid. Med. Cell. Longev. 2017, 2017, 8416763. [Google Scholar] [CrossRef]
- Birben, E.; Sahiner, U.M.; Sackesen, C.; Erzurum, S.; Kalayci, O. Oxidative Stress and Antioxidant Defense. World Allergy Organ. J. 2012, 5, 9–19. [Google Scholar] [CrossRef]
- Halliwell, B.; Gutteridge, J.M.C. Free Radicals in Biology and Medicine; Oxford University Press: Oxford, UK, 2015; ISBN 978-0-19-871748-5. [Google Scholar]
- Tratenšek, A.; Locatelli, I.; Grabnar, I.; Drobne, D.; Vovk, T. Oxidative Stress-Related Biomarkers as Promising Indicators of Inflammatory Bowel Disease Activity: A Systematic Review and Meta-Analysis. Redox Biol. 2024, 77, 103380. [Google Scholar] [CrossRef] [PubMed]
- Le Berre, C.; Ricciuto, A.; Peyrin-Biroulet, L.; Turner, D. Evolving Short- and Long-Term Goals of Management of Inflammatory Bowel Diseases: Getting It Right, Making It Last. Gastroenterology 2022, 162, 1424–1438. [Google Scholar] [CrossRef] [PubMed]
- Turner, D.; Ricciuto, A.; Lewis, A.; D’Amico, F.; Dhaliwal, J.; Griffiths, A.M.; Bettenworth, D.; Sandborn, W.J.; Sands, B.E.; Reinisch, W.; et al. STRIDE-II: An Update on the Selecting Therapeutic Targets in Inflammatory Bowel Disease (STRIDE) Initiative of the International Organization for the Study of IBD (IOIBD): Determining Therapeutic Goals for Treat-to-Target Strategies in IBD. Gastroenterology 2021, 160, 1570–1583. [Google Scholar] [CrossRef] [PubMed]
- Katsanos, K.H.; Papadakis, K.A. Inflammatory Bowel Disease: Updates on Molecular Targets for Biologics. Gut Liver 2017, 11, 455–463. [Google Scholar] [CrossRef]
- Taylor, E.L.; Armstrong, K.R.; Perrett, D.; Hattersley, A.T.; Winyard, P.G. Optimisation of an Advanced Oxidation Protein Products Assay: Its Application to Studies of Oxidative Stress in Diabetes Mellitus. Oxid. Med. Cell. Longev. 2015, 2015, 496271. [Google Scholar] [CrossRef]
- Taylan, E.; Resmi, H. The Analytical Performance of a Microplate Method for Total Sulfhydryl Measurement in Biological Samples. Turk. J. Biochem.-TURK Biyokim. Derg. 2010, 35, 275–278. [Google Scholar]
- Czauderna, M.; Kowalczyk, J.; Marounek, M. The Simple and Sensitive Measurement of Malondialdehyde in Selected Specimens of Biological Origin and Some Feed by Reversed Phase High Performance Liquid Chromatography. J. Chromatogr. B Analyt. Technol. Biomed. Life. Sci. 2011, 879, 2251–2258. [Google Scholar] [CrossRef] [PubMed]
- Daperno, M.; D’Haens, G.; Van Assche, G.; Baert, F.; Bulois, P.; Maunoury, V.; Sostegni, R.; Rocca, R.; Pera, A.; Gevers, A.; et al. Development and Validation of a New, Simplified Endoscopic Activity Score for Crohn’s Disease: The SES-CD. Gastrointest. Endosc. 2004, 60, 505–512. [Google Scholar] [CrossRef]
- Schroeder, K.W.; Tremaine, W.J.; Ilstrup, D.M. Coated Oral 5-Aminosalicylic Acid Therapy for Mildly to Moderately Active Ulcerative Colitis. N. Engl. J. Med. 1987, 317, 1625–1629. [Google Scholar] [CrossRef]
- Khanna, R.; Zou, G.; D’Haens, G.; Feagan, B.G.; Sandborn, W.J.; Vandervoort, M.K.; Rolleri, R.L.; Bortey, E.; Paterson, C.; Forbes, W.P.; et al. A Retrospective Analysis: The Development of Patient Reported Outcome Measures for the Assessment of Crohn’s Disease Activity. Aliment. Pharmacol. Ther. 2015, 41, 77–86. [Google Scholar] [CrossRef]
- Jairath, V.; Khanna, R.; Zou, G.Y.; Stitt, L.; Mosli, M.; Vandervoort, M.K.; D’Haens, G.; Sandborn, W.J.; Feagan, B.G.; Levesque, B.G. Development of Interim Patient-Reported Outcome Measures for the Assessment of Ulcerative Colitis Disease Activity in Clinical Trials. Aliment. Pharmacol. Ther. 2015, 42, 1200–1210. [Google Scholar] [CrossRef] [PubMed]
- Lin, J.-F.; Chen, J.-M.; Zuo, J.-H.; Yu, A.; Xiao, Z.-J.; Deng, F.-H.; Nie, B.; Jiang, B. Meta-Analysis: Fecal Calprotectin for Assessment of Inflammatory Bowel Disease Activity. Inflamm. Bowel Dis. 2014, 20, 1407–1415. [Google Scholar] [CrossRef] [PubMed]
- Guidi, L.; Marzo, M.; Andrisani, G.; Felice, C.; Pugliese, D.; Mocci, G.; Nardone, O.; De Vitis, I.; Papa, A.; Rapaccini, G.; et al. Faecal Calprotectin Assay after Induction with Anti-Tumour Necrosis Factor α Agents in Inflammatory Bowel Disease: Prediction of Clinical Response and Mucosal Healing at One Year. Dig. Liver Dis. 2014, 46, 974–979. [Google Scholar] [CrossRef]
- Hanžel, J.; Zdovc, J.; Kurent, T.; Sever, N.; Javornik, K.; Tuta, K.; Koželj, M.; Smrekar, N.; Novak, G.; Štabuc, B.; et al. Peak Concentrations of Ustekinumab After Intravenous Induction Therapy Identify Patients with Crohn’s Disease Likely to Achieve Endoscopic and Biochemical Remission. Clin. Gastroenterol. Hepatol. 2021, 19, 111–118.e10. [Google Scholar] [CrossRef]
- Youden, W.J. Index for Rating Diagnostic Tests. Cancer 1950, 3, 32–35. [Google Scholar] [CrossRef]
- Mandrekar, J.N. Receiver Operating Characteristic Curve in Diagnostic Test Assessment. J. Thorac. Oncol. 2010, 5, 1315–1316. [Google Scholar] [CrossRef]
- Çorbacıoğlu, Ş.K.; Aksel, G. Receiver Operating Characteristic Curve Analysis in Diagnostic Accuracy Studies: A Guide to Interpreting the Area under the Curve Value. Turk. J. Emerg. Med. 2023, 23, 195–198. [Google Scholar] [CrossRef]
- DeLong, E.R.; DeLong, D.M.; Clarke-Pearson, D.L. Comparing the Areas under Two or More Correlated Receiver Operating Characteristic Curves: A Nonparametric Approach. Biometrics 1988, 44, 837–845. [Google Scholar] [CrossRef] [PubMed]
- Benjamini, Y.; Hochberg, Y. Controlling the False Discovery Rate: A Practical and Powerful Approach to Multiple Testing. J. R. Stat. Soc. Ser. B Methodol. 1995, 57, 289–300. [Google Scholar] [CrossRef]
- Kaiser, H.F. The Application of Electronic Computers to Factor Analysis. Educ. Psychol. Meas. 1960, 20, 141–151. [Google Scholar] [CrossRef]
- Mantovani, A.; Garlanda, C. Humoral Innate Immunity and Acute-Phase Proteins. N. Engl. J. Med. 2023, 388, 439–452. [Google Scholar] [CrossRef]
- Gruys, E.; Toussaint, M.J.M.; Niewold, T.A.; Koopmans, S.J. Acute Phase Reaction and Acute Phase Proteins. J. Zhejiang Univ. Sci. B 2005, 6, 1045–1056. [Google Scholar] [CrossRef] [PubMed]
- Glantzounis, G.K.; Tsimoyiannis, E.C.; Kappas, A.M.; Galaris, D.A. Uric Acid and Oxidative Stress. Curr. Pharm. Des. 2005, 11, 4145–4151. [Google Scholar] [CrossRef] [PubMed]
- Gherghina, M.-E.; Peride, I.; Tiglis, M.; Neagu, T.P.; Niculae, A.; Checherita, I.A. Uric Acid and Oxidative Stress—Relationship with Cardiovascular, Metabolic, and Renal Impairment. Int. J. Mol. Sci. 2022, 23, 3188. [Google Scholar] [CrossRef]
- Packer, M. Uric Acid Is a Biomarker of Oxidative Stress in the Failing Heart: Lessons Learned from Trials with Allopurinol and SGLT2 Inhibitors. J. Card. Fail. 2020, 26, 977–984. [Google Scholar] [CrossRef]
- Sautin, Y.Y.; Johnson, R.J. Uric Acid: The Oxidant-Antioxidant Paradox. Nucleosides Nucleotides Nucleic Acids 2008, 27, 608–619. [Google Scholar] [CrossRef]
- Kwon, O.C.; Han, K.; Park, M.-C. Higher Gamma-Glutamyl Transferase Levels Are Associated with an Increased Risk of Incident Systemic Sclerosis: A Nationwide Population-Based Study. Sci. Rep. 2023, 13, 21878. [Google Scholar] [CrossRef]
- Lee, D.-H.; Blomhoff, R.; Jacobs, D.R. Is Serum Gamma Glutamyltransferase a Marker of Oxidative Stress? Free Radic. Res. 2004, 38, 535–539. [Google Scholar] [CrossRef]
- Rogler, G.; Vavricka, S.; Schoepfer, A.; Lakatos, P.L. Mucosal Healing and Deep Remission: What Does It Mean? World J. Gastroenterol. WJG 2013, 19, 7552–7560. [Google Scholar] [CrossRef]
- Rosenberg, L.; Lawlor, G.O.; Zenlea, T.; Goldsmith, J.D.; Gifford, A.; Falchuk, K.R.; Wolf, J.L.; Cheifetz, A.S.; Robson, S.C.; Moss, A.C. Predictors of Endoscopic Inflammation in Patients with Ulcerative Colitis in Clinical Remission. Inflamm. Bowel Dis. 2013, 19, 779–784. [Google Scholar] [CrossRef] [PubMed]
- Bourgonje, A.R.; von Martels, J.Z.H.; Bulthuis, M.L.C.; van Londen, M.; Faber, K.N.; Dijkstra, G.; van Goor, H. Crohn’s Disease in Clinical Remission Is Marked by Systemic Oxidative Stress. Front. Physiol. 2019, 10, 499. [Google Scholar] [CrossRef] [PubMed]
- Zittan, E.; Kelly, O.B.; Gralnek, I.M.; Silverberg, M.S.; Hillary Steinhart, A. Fecal Calprotectin Correlates with Active Colonic Inflammatory Bowel Disease but Not with Small Intestinal Crohn’s Disease Activity. JGH Open Open Access J. Gastroenterol. Hepatol. 2018, 2, 201–206. [Google Scholar] [CrossRef]
- Calafat, M.; Cabré, E.; Mañosa, M.; Lobatón, T.; Marín, L.; Domènech, E. High Within-Day Variability of Fecal Calprotectin Levels in Patients with Active Ulcerative Colitis: What Is the Best Timing for Stool Sampling? Inflamm. Bowel Dis. 2015, 21, 1072–1076. [Google Scholar] [CrossRef] [PubMed]
- Bakhautdin, B.; Febbraio, M.; Goksoy, E.; de la Motte, C.A.; Gulen, M.F.; Childers, E.P.; Hazen, S.L.; Li, X.; Fox, P.L. Protective Role of Macrophage-Derived Ceruloplasmin in Inflammatory Bowel Disease. Gut 2013, 62, 209–219. [Google Scholar] [CrossRef]
- Goldstein, I.M.; Kaplan, H.B.; Edelson, H.S.; Weissmann, G. Ceruloplasmin. A Scavenger of Superoxide Anion Radicals. J. Biol. Chem. 1979, 254, 4040–4045. [Google Scholar] [CrossRef]
- Turell, L.; Radi, R.; Alvarez, B. The Thiol Pool in Human Plasma: The Central Contribution of Albumin to Redox Processes. Free Radic. Biol. Med. 2013, 65, 244–253. [Google Scholar] [CrossRef]
- Ungaro, R.; Babyatsky, M.W.; Zhu, H.; Freed, J.S. Protein-Losing Enteropathy in Ulcerative Colitis. Case Rep. Gastroenterol. 2012, 6, 177–182. [Google Scholar] [CrossRef]
- Vermeire, S.; Van Assche, G.; Rutgeerts, P. Laboratory Markers in IBD: Useful, Magic, or Unnecessary Toys? Gut 2006, 55, 426–431. [Google Scholar] [CrossRef]
- Koenig, G.; Seneff, S. Gamma-Glutamyltransferase: A Predictive Biomarker of Cellular Antioxidant Inadequacy and Disease Risk. Dis. Markers 2015, 2015, 818570. [Google Scholar] [CrossRef] [PubMed]
- Krzystek-Korpacka, M.; Kempiński, R.; Bromke, M.A.; Neubauer, K. Oxidative Stress Markers in Inflammatory Bowel Diseases: Systematic Review. Diagnostics 2020, 10, 601. [Google Scholar] [CrossRef] [PubMed]
- Du, L.; Zong, Y.; Li, H.; Wang, Q.; Xie, L.; Yang, B.; Pang, Y.; Zhang, C.; Zhong, Z.; Gao, J. Hyperuricemia and Its Related Diseases: Mechanisms and Advances in Therapy. Signal Transduct. Target. Ther. 2024, 9, 212. [Google Scholar] [CrossRef]
- Nimse, S.B.; Pal, D. Free Radicals, Natural Antioxidants, and Their Reaction Mechanisms. RSC Adv. 2015, 5, 27986–28006. [Google Scholar] [CrossRef]
- Santana, P.T.; Rosas, S.L.B.; Ribeiro, B.E.; Marinho, Y.; de Souza, H.S.P. Dysbiosis in Inflammatory Bowel Disease: Pathogenic Role and Potential Therapeutic Targets. Int. J. Mol. Sci. 2022, 23, 3464. [Google Scholar] [CrossRef]
- Witko-Sarsat, V.; Friedlander, M.; Capeillère-Blandin, C.; Nguyen-Khoa, T.; Nguyen, A.T.; Zingraff, J.; Jungers, P.; Descamps-Latscha, B. Advanced Oxidation Protein Products as a Novel Marker of Oxidative Stress in Uremia. Kidney Int. 1996, 49, 1304–1313. [Google Scholar] [CrossRef]
- Descamps-Latscha, B.; Witko-Sarsat, V.; Nguyen-Khoa, T.; Nguyen, A.T.; Gausson, V.; Mothu, N.; Cardoso, C.; Noël, L.-H.; Guérin, A.P.; London, G.M.; et al. Early Prediction of IgA Nephropathy Progression: Proteinuria and AOPP Are Strong Prognostic Markers. Kidney Int. 2004, 66, 1606–1612. [Google Scholar] [CrossRef] [PubMed]
- Halliwell, B. Understanding Mechanisms of Antioxidant Action in Health and Disease. Nat. Rev. Mol. Cell Biol. 2024, 25, 13–33. [Google Scholar] [CrossRef] [PubMed]








| Biomarker Median (IQR) | Visit 1: Baseline | Visit 2: Post-Induction (Week 6–12) | Visit 3: Final Follow-Up (Week 24–36) |
|---|---|---|---|
| Alb [g/L] | 43 (41–45), n = 73 | 45 (43–46), n = 71 | 45 (43–46), n = 59 |
| AOPP [µmol/L] | 146 (115–179), n = 76 | 135 (111–176), n = 75 | 143 (115–181), n = 60 |
| BILDIR [µmol/L] | 3 (2–5), n = 67 | 3 (2–4), n = 73 | 4 (3–6), n = 58 |
| Cerulo [g/L] | 0.28 (0.25–0.32), n = 70 | 0.27 (0.25–0.31), n = 58 | 0.26 (0.22–0.29), n = 54 |
| Ferritin [µg/L] | 66 (27–157), n = 72 | 59 (28–133), n = 70 | 49 (29–106), n = 59 |
| GGT [µkat/L] | 0.36 (0.25–0.58), n = 74 | 0.35 (0.26–0.56), n = 73 | 0.31 (0.23–0.51), n = 61 |
| Hb [g/L] | 135 (125–146), n = 73 | 136 (125–149), n = 72 | 140 (128–152), n = 61 |
| Iron [µmol/L] | 14.5 (10.0–19.0), n = 73 | 15.7 (10.4–20.0), n = 74 | 16.7 (12.8–23.3), n = 61 |
| MDA [µmol/L] | 3.31 (2.90–3.77), n = 76 | 3.16 (2.80–3.93), n = 75 | 3.29 (2.96–3.76), n = 60 |
| R-SH [µmol/L] | 445 (386–511), n = 76 | 438 (381–485), n = 75 | 481 (420–545), n = 60 |
| SUA [µmol/L] | 293 (237–349), n = 70 | 294 (247–366), n = 64 | 311 (261–361), n = 54 |
| TAC [mM] | 1.62 (1.05–2.09), n = 76 | 1.40 (0.97–1.79), n = 75 | 1.49 (0.75–2.04), n = 61 |
| TBIL [µmol/L] | 10 (7–14), n = 67 | 10 (7–14), n = 73 | 9 (7–15), n = 58 |
| TIBC [µmol/L] | 50.3 (44.4–57.1), n = 72 | 51.1 (47.6–57.6), n = 69 | 52.9 (47.0–57.5), n = 58 |
| UIBC [µmol/L] | 34.7 (29.8–42.4), n = 72 | 35.9 (30.8–43.8), n = 71 | 33.1 (27.6–41.1), n = 59 |
| CALPRO [mg/kg] | 309 (77–702), n = 24 | 129 (38–371), n = 24 | 62 (28–143), n = 46 |
| CRP [mg/L] | 0 (0–6), n = 74 | 0 (0–4), n = 74 | 0 (0–0), n = 61 |
| Visit 1: Baseline | Visit 2: Post-Induction (Week 6–12) | Visit 3: Final Follow-Up (Week 24–36) | |
|---|---|---|---|
| Clinical remission, NR/NT (%) | 25/76 (32.9%) | 42/74 (56.8%) | 44/61 (72.1%) |
| CRP remission, NR/NT (%) | 44/74 (59.5%) | 55/74 (74.3%) | 46/61 (75.4%) |
| Calprotectin remission, NR/NT (%) | 7/24 (29.2%) | 11/24 (45.8%) | 30/46 (65.2%) |
| Endoscopic remission, NR/NT (%) | 0/39 (0%) | 3/11 (27.3%) | 15/32 (46.9%) |
| Biomarker | (A) Assessment of CRP Remission Based on Final Follow-Up Biomarker Measurements | (B) Prediction of CRP Remission Based on Visit 2 Biomarker Measurements | (C) Prediction of CRP Remission Based on Baseline Biomarker Measurements | |||||||||||||||
|---|---|---|---|---|---|---|---|---|---|---|---|---|---|---|---|---|---|---|
| NA/NR | AUC [95% CI] | Cutoff | SN [%] | SP [%] | p | NA/NR | AUC [95% CI] | Cutoff | SN [%] | SP [%] | p | NA/NR | AUC [95% CI] | Cutoff | SN [%] | SP [%] | p | |
| Alb [g/L] | 14/45 | 0.714 [0.576–0.852] | >45.5 | 92.9 | 51.1 | 0.048 | 14/43 | 0.708 [0.545–0.870] | >44.5 | 78.6 | 58.1 | 0.086 | 14/44 | 0.464 [0.291–0.637] | <42.5 | 71.4 | 34.1 | 0.868 |
| AOPP [µmol/L] | 15/45 | 0.552 [0.378–0.725] | <166 | 53.3 | 68.9 | 0.809 | 15/46 | 0.642 [0.462–0.822] | <176 | 53.3 | 82.6 | 0.290 | 15/46 | 0.787 [0.671–0.903] | <136 | 93.3 | 56.5 | 0.011 |
| BILDIR [µmol/L] | 15/43 | 0.536 [0.383–0.688] | <3.5 | 66.7 | 48.8 | 0.886 | 15/44 | 0.499 [0.341–0.658] | <2.5 | 73.3 | 31.8 | 1.000 | 12/40 | 0.583 [0.429–0.738] | <2.5 | 91.7 | 35 | 0.640 |
| Cerulo [g/L] | 14/40 | 0.863 [0.761–0.966] | <0.27 | 92.9 | 72.5 | <0.001 | 14/32 | 0.746 [0.571–0.920] | <0.3 | 57.1 | 84.4 | 0.049 | 14/42 | 0.707 [0.553–0.861] | <0.30 | 78.6 | 66.7 | 0.061 |
| Ferritin [µg/L] | 14/45 | 0.483 [0.273–0.692] | >15.5 | 21.4 | 95.6 | 0.887 | 14/43 | 0.478 [0.274–0.682] | >59.5 | 57.1 | 55.8 | 0.953 | 13/44 | 0.608 [0.411–0.806] | <166 | 46.2 | 86.4 | 0.514 |
| GGT [µkat/L] | 15/46 | 0.725 [0.590–0.861] | <0.27 | 93.3 | 45.7 | 0.038 | 15/44 | 0.764 [0.632–0.895] | <0.395 | 73.3 | 75 | 0.021 | 15/44 | 0.711 [0.550–0.873] | <0.38 | 73.3 | 70.5 | 0.053 |
| Hb [g/L] | 15/46 | 0.668 [0.505–0.831] | >131 | 60 | 78.3 | 0.106 | 15/43 | 0.589 [0.395–0.784] | >128 | 53.3 | 72.1 | 0.588 | 15/44 | 0.533 [0.347–0.719] | >126.5 | 46.7 | 77.3 | 0.868 |
| Iron [µmol/L] | 15/46 | 0.670 [0.501–0.839] | >10.8 | 40 | 89.1 | 0.106 | 15/45 | 0.625 [0.444–0.806] | >14.75 | 66.7 | 64.4 | 0.322 | 14/44 | 0.541 [0.378–0.703] | <13.15 | 85.7 | 40.9 | 0.868 |
| MDA [µmol/L] | 15/45 | 0.691 [0.535–0.848] | <3.50 | 66.7 | 71.1 | 0.075 | 15/46 | 0.571 [0.395–0.747] | <3.00 | 80 | 45.7 | 0.708 | 15/46 | 0.495 [0.304–0.686] | <3.89 | 33.3 | 80.4 | 0.977 |
| R-SH [µmol/L] | 15/45 | 0.800 [0.676–0.924] | >468 | 80 | 68.9 | 0.003 | 15/46 | 0.545 [0.367–0.723] | <456 | 66.7 | 60.9 | 0.868 | 15/46 | 0.616 [0.445–0.787] | >473 | 80 | 43.5 | 0.449 |
| SUA [µmol/L] | 15/39 | 0.586 [0.402–0.771] | <310 | 66.7 | 53.8 | 0.538 | 14/37 | 0.519 [0.323–0.716] | <435 | 28.6 | 91.9 | 0.953 | 15/41 | 0.554 [0.368–0.741] | <278.5 | 73.3 | 51.2 | 0.837 |
| TAC [mM] | 15/46 | 0.487 [0.316–0.658] | <1.43 | 60 | 50 | 0.887 | 15/46 | 0.648 [0.490–0.806] | <1.59 | 60 | 67.4 | 0.290 | 15/46 | 0.722 [0.576–0.868] | <2.25 | 40 | 95.7 | 0.041 |
| TBIL [µmol/L] | 15/43 | 0.526 [0.371–0.680] | <6.5 | 93.3 | 20.9 | 0.886 | 15/44 | 0.495 [0.334–0.657] | <7.5 | 73.3 | 31.8 | 1.000 | 12/40 | 0.605 [0.450–0.761] | <8.5 | 83.3 | 45 | 0.521 |
| TIBC [µmol/L] | 13/45 | 0.529 [0.339–0.719] | >53.9 | 69.2 | 48.9 | 0.886 | 13/42 | 0.549 [0.357–0.740] | >50.5 | 69.2 | 50 | 0.868 | 13/44 | 0.503 [0.311–0.696] | <57 | 30.8 | 81.8 | 0.977 |
| UIBC [µmol/L] | 14/45 | 0.587 [0.415–0.758] | <31.5 | 71.4 | 48.9 | 0.538 | 14/43 | 0.521 [0.321–0.720] | <39.5 | 42.9 | 76.7 | 0.953 | 13/44 | 0.485 [0.291–0.679] | <34.8 | 53.8 | 56.8 | 0.977 |
| CALPRO [mg/kg] | 15/31 | 0.743 [0.587–0.899] | <125 | 60 | 87.1 | 0.038 | 6/15 | 0.722 [0.435–1.000] | <292 | 66.7 | 86.7 | 0.307 | 4/16 | 0.922 [0.796–1] | <528 | 100 | 81.2 | 0.041 |
| CRP [mg/L] | 15/46 | 1.000 [1.000–1.000] | <5 | 100 | 100 | <0.001 | 15/45 | 0.713 [0.572–0.854] | <2.5 | 60 | 84.4 | 0.021 | 15/44 | 0.744 [0.602–0.886] | <2.5 | 73.3 | 72.7 | 0.012 |
| Biomarker | PC1 (21.7%) | PC2 (19.2%) | PC3 (11.1%) | PC4 (9.5%) | PC5 (8.1%) |
|---|---|---|---|---|---|
| Alb | 0.3501 | 0.0146 | 0.2558 | 0.1738 | 0.0674 |
| AOPP | 0.3053 | −0.2069 | −0.3274 | 0.0635 | −0.0145 |
| Cerulo | −0.2787 | −0.092 | −0.3237 | 0.2937 | −0.2319 |
| Ferritin | 0.0585 | 0.37 | −0.322 | −0.1793 | −0.1903 |
| GGT | 0.0436 | 0.2148 | −0.4372 | 0.1315 | −0.1933 |
| Hb | 0.3722 | 0.1596 | −0.2402 | −0.3103 | 0.129 |
| Iron | 0.2868 | 0.36 | 0.2154 | 0.2532 | −0.2045 |
| MDA | −0.266 | −0.0338 | 0.1743 | −0.0876 | −0.6403 |
| R-SH | 0.4879 | −0.0601 | −0.0778 | 0.1895 | 0.021 |
| SUA | 0.2487 | −0.1293 | −0.1618 | −0.4382 | −0.4844 |
| TAC | 0.1319 | −0.2029 | −0.0291 | 0.5993 | −0.2879 |
| TBIL | 0.1748 | 0.109 | 0.4936 | −0.187 | −0.252 |
| TIBC | 0.2477 | −0.4607 | 0.1056 | −0.034 | −0.1226 |
| UIBC | −0.023 | −0.5689 | −0.0736 | −0.1971 | 0.0542 |
| PC | Clinical Remission (n = 45) | CRP Remission (n = 45) | Calprotectin Remission (n = 36) | Endoscopic Remission (n = 26) | ||||||||||||
|---|---|---|---|---|---|---|---|---|---|---|---|---|---|---|---|---|
| NA/NR | OR | 95% CI | p | NA/NR | OR | 95% CI | p | NA/NR | OR | 95% CI | p | NA/NR | OR | 95% CI | p | |
| PC1 | 14/ 31 | 0.92 | 0.63, 1.34 | 0.658 | 13/ 32 | 1.77 | 1.11, 3.27 | 0.035 | 11/ 25 | 1.28 | 0.83, 2.14 | 0.458 | 14/ 12 | 0.69 | 0.29, 1.51 | 0.888 |
| PC2 | 14/ 31 | 1.14 | 0.77, 1.70 | 0.631 | 13/ 32 | 1.02 | 0.68, 1.52 | 0.918 | 11/ 25 | 1.1 | 0.73, 1.66 | 0.788 | 14/ 12 | 0.93 | 0.59, 1.46 | 0.952 |
| PC3 | 14/ 31 | 2.23 | 1.19, 4.94 | 0.025 | 13/ 32 | 1.87 | 1.03, 3.87 | 0.065 | 11/ 25 | 1.93 | 1.01, 4.50 | 0.115 | 14/ 12 | 1.02 | 0.56, 1.87 | 0.952 |
| PC4 | 14/ 31 | 1.31 | 0.75, 2.42 | 0.583 | 13/ 32 | 1.19 | 0.67, 2.19 | 0.691 | 11/ 25 | 2.13 | 1.03, 5.32 | 0.115 | 14/ 12 | 1.58 | 0.74, 3.87 | 0.888 |
| PC5 | 14/ 31 | 2.75 | 1.37, 6.60 | 0.015 | 13/ 32 | 2.51 | 1.26, 5.81 | 0.035 | 11/ 25 | 0.97 | 0.46, 1.99 | 0.936 | 14/ 12 | 1.09 | 0.49, 2.45 | 0.952 |
Disclaimer/Publisher’s Note: The statements, opinions and data contained in all publications are solely those of the individual author(s) and contributor(s) and not of MDPI and/or the editor(s). MDPI and/or the editor(s) disclaim responsibility for any injury to people or property resulting from any ideas, methods, instructions or products referred to in the content. |
© 2025 by the authors. Licensee MDPI, Basel, Switzerland. This article is an open access article distributed under the terms and conditions of the Creative Commons Attribution (CC BY) license (https://creativecommons.org/licenses/by/4.0/).
Share and Cite
Tratenšek, A.; Grabnar, I.; Drobne, D.; Vovk, T. Oxidative Stress-Related Biomarkers in Inflammatory Bowel Disease: Dual Tools for Remission Assessment and Prediction of Treatment Outcome. Antioxidants 2025, 14, 1183. https://doi.org/10.3390/antiox14101183
Tratenšek A, Grabnar I, Drobne D, Vovk T. Oxidative Stress-Related Biomarkers in Inflammatory Bowel Disease: Dual Tools for Remission Assessment and Prediction of Treatment Outcome. Antioxidants. 2025; 14(10):1183. https://doi.org/10.3390/antiox14101183
Chicago/Turabian StyleTratenšek, Armando, Iztok Grabnar, David Drobne, and Tomaž Vovk. 2025. "Oxidative Stress-Related Biomarkers in Inflammatory Bowel Disease: Dual Tools for Remission Assessment and Prediction of Treatment Outcome" Antioxidants 14, no. 10: 1183. https://doi.org/10.3390/antiox14101183
APA StyleTratenšek, A., Grabnar, I., Drobne, D., & Vovk, T. (2025). Oxidative Stress-Related Biomarkers in Inflammatory Bowel Disease: Dual Tools for Remission Assessment and Prediction of Treatment Outcome. Antioxidants, 14(10), 1183. https://doi.org/10.3390/antiox14101183

