Effect of Different Interstocks on Fruit Quality, Amino Acids, and Antioxidant Capacity in ‘Yuanxiaochun’ Citrus
Abstract
1. Introduction
2. Materials and Methods
2.1. Plant Material and Experimental Location
2.2. Test Sample Collection and Processing
2.3. Fruit Sensory Evaluation
2.4. Determination of Standardized Quality Parameters
2.5. Determination of Sugar/Acid Components of Fruit Pulp and Calculation of Sugar/Acid Ratio
2.6. Fruit Sweetness Calculation and Fruit Flavor Evaluation
2.7. Determination and Evaluation of Fruit Amino Acid Components
2.8. Determination of Phenolic Components in Fruits
2.9. Determination of Total Antioxidant Capacity of Fruits
2.10. Statistical Analysis
3. Results
3.1. Effects of Different Interstocks on Standard Quality Parameters of ‘Yuanxiaochun’ Fruit
3.2. Effects of Different Interstocks on Sugar and Acid Components and Flavor Indices of ‘Yuanxiaochun’ Fruits
3.2.1. Sugar Components
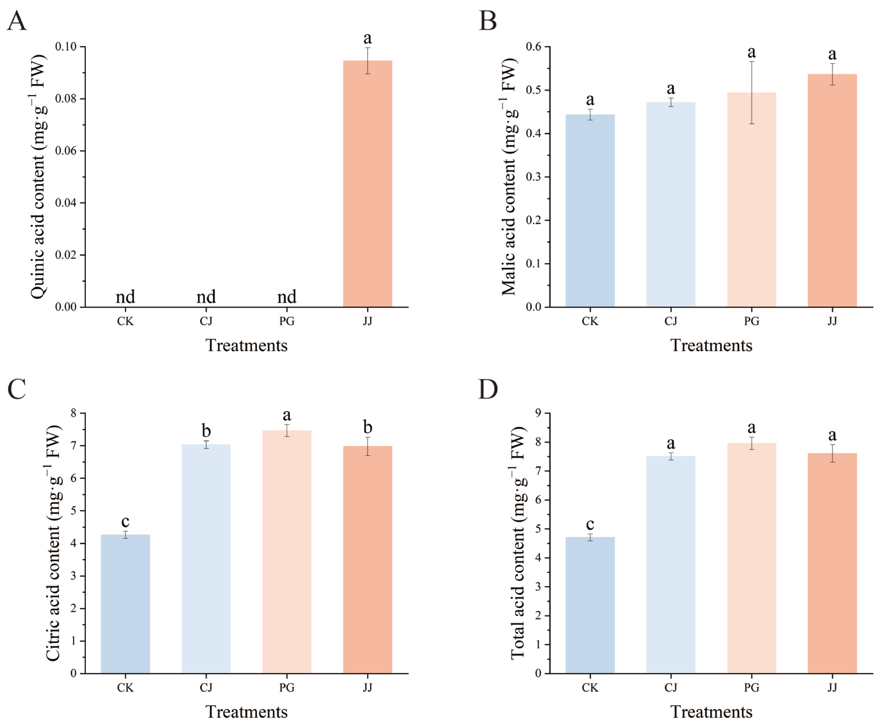
3.2.2. Acid Components
3.2.3. Sugar/Acid Ratio, Sweetness and Flavor
3.3. Effect of Different Interstocks on Amino Acids in ‘Yuanxiaochun’ Fruits
3.4. Effects of Different Interstocks on Phenolic Components and Antioxidant Capacity of ‘Yuanxiaochun’ Fruits
3.4.1. Phenolic Components
3.4.2. Total Antioxidant Capacity
3.4.3. Correlation Analysis of Total Antioxidant Activity with Phenolics
4. Discussion
4.1. Interstocks Give Fruits Different Sweetness and Flavor by Affecting Their Sugar and Organic Acid Content
4.2. Interstock Affects Fruit Flavor by Regulating Amino Acid Content
4.3. Interstocks Confer Different Antioxidant Capacity to Fruits by Influencing Phenolic Species and Content
5. Conclusions
Supplementary Materials
Author Contributions
Funding
Institutional Review Board Statement
Informed Consent Statement
Data Availability Statement
Acknowledgments
Conflicts of Interest
References
- Pei, Y.; He, C.X.; Liu, H.L.; Shen, G.P.; Feng, J.H. Compositional Analysis of Four Kinds of Citrus Fruits with an NMR-Based Method for Understanding Nutritional Value and Rational Utilization: From Pericarp to Juice. Molecules 2022, 27, 2579. [Google Scholar] [CrossRef]
- Wang, T.; Xiong, B.; Tan, L.; Yang, Y.; Zhang, Y.; Ma, M.; Xu, Y.; Liao, L.; Sun, G.; Liang, D.; et al. Effects of interstocks on growth and photosynthetic characteristics in ‘Yuanxiaochun’ Citrus seedlings. Funct. Plant Biol. 2020, 47, 977–987. [Google Scholar] [CrossRef]
- Yuan, M.; Zhang, C.B.; Li, Y.F.; Jang, C.L.; Chun, C.P.; Peng, L.Z. Effects and cost comparison of different interstock sprout inhibition and removal treatments in top grafted citrus trees. J. Fruit Sci. 2018, 35, 711–717. [Google Scholar]
- Wang, T.; Jin, Z.H.; Yuan, Y.; Deng, L.J.; Sun, G.C.; He, S.Y.; Liao, L.; Wang, J.; Xiong, B.; Wang, Z.H. Interstock-Mediated Graft Incompatibility: Insights into Photosynthetic Pigments, Carbohydrates, Antioxidant Defense Systems, and Hormones Response Mechanisms in Citrus. Plants 2025, 14, 522. [Google Scholar] [CrossRef]
- Meimand, M.J.M.; Shamshiri, M.H. Effects of Rootstock and Interstock on Pollen Traits and FloweringSynchronization in Pistachio (Pistacia vera L.). Erwerbs-Obstbau 2019, 61, 267–271. [Google Scholar] [CrossRef]
- Gil-Izquierdo, A.; Riquelme, M.T.; Porras, I.; Ferreres, F. Effect of the Rootstock and Interstock Grafted in Lemon Tree (Citrus limon (L.) Burm.) on the Flavonoid Content of Lemon Juice. J. Agric. Food Chem. 2004, 52, 324–331. [Google Scholar] [CrossRef]
- Zhou, Y.Q.; Qin, S.J.; Ma, X.X.; Zhang, J.E.; Zhou, P.; Sun, M.; Wang, B.S.; Zhou, H.F.; Lyu, D.G. Effect of interstocks on the photosynthetic characteristics and carbon distribution of young apple trees during the vigorous growth period of shoots. Eur. J. Hortic. Sci. 2015, 80, 296–305. [Google Scholar] [CrossRef]
- Ji, J.H.; He, X.L.; Liu, H.T.; Li, Z.Y.; Zhou, S.S.; Zhang, X.Y.; Xu, J.Z.; Liang, B.W. Influence of dwarfing interstock on the tolerance and nutrient utilization efficiency of apple trees under drought stress. Sci. Hortic. 2023, 315, 12. [Google Scholar] [CrossRef]
- Yuan, J.C.; Cheng, C.G.; Zhao, D.Y.; Liu, S.T.; Li, E.M. Effects of different interstocks on the growth, yield, and fruit quality of Hanfu apple. Ying Yong Sheng Tai Xue Bao 2021, 32, 3145–3151. [Google Scholar]
- Liao, L.; Li, Y.J.; Bi, X.Y.; Xiong, B.; Wang, X.; Deng, H.H.; Zhang, M.F.; Sun, G.C.; Jin, Z.H.; Huang, Z.H.; et al. Transcriptome analysis of Harumi tangor fruits: Insights into interstock-mediated fruit quality. Front. Plant Sci. 2022, 13, 19. [Google Scholar] [CrossRef]
- Gonçalves, A.C.; Campos, G.; Alves, G.; Garcia-Viguera, C.; Moreno, D.A.; Silva, L.R. Physical and phytochemical composition of 23 Portuguese sweet cherries as conditioned by variety (or genotype). Food Chem. 2021, 335, 127637. [Google Scholar] [CrossRef]
- Li, W.B.; Wu, Z.Q.; Xu, Y.J.; Long, H.P.; Deng, Y.H.; Li, S.W.; Xi, Y.; Li, W.Q.; Cai, H.L.; Zhang, B.K.; et al. Emerging LC-MS/MS-based molecular networking strategy facilitates foodomics to assess the function, safety, and quality of foods: Recent trends and future perspectives. Trends Food Sci. Technol. 2023, 139, 12. [Google Scholar] [CrossRef]
- Stabler, D.; Power, E.F.; Borland, A.M.; Barnes, J.D.; Wright, G.A. A method for analysing small samples of floral pollen for free and protein-bound amino acids. Methods Ecol. Evol. 2018, 9, 430–438. [Google Scholar] [CrossRef] [PubMed]
- Xiong, B.; Li, Q.; Yao, J.F.; Zheng, W.; Ou, Y.H.; He, Y.Y.; Liao, L.; Wang, X.; Deng, H.H.; Zhang, M.F.; et al. Transcriptome and UPLC-MS/MS reveal mechanisms of amino acid biosynthesis in sweet orange ‘Newhall’ after different rootstocks grafting. Front. Plant Sci. 2023, 14, 15. [Google Scholar] [CrossRef]
- Babazadeh-Darjazi, B.; Jaimand, K. The Effect of Rootstocks on the Peel Phenolic Compounds of Satsuma mandarin (Citrus unshiu). J. Med. Plants By-Prod. 2018, 7, 199–208. [Google Scholar]
- Raveh, E.; Saban, T.; Zipi, H.; Beit-Yannai, E. Influence of rootstock and scion on antioxidant capacity of juice from new pomelo and mandarin varieties. J. Sci. Food Agric. 2009, 89, 1825–1830. [Google Scholar] [CrossRef]
- Morales, J.; Salvador, A.; Besada, C.; Navarro, P.; Bermejo, A. Physico-chemical, sensorial and nutritional quality during the harvest season of ‘Tango’ mandarins grafted onto Carrizo Citrange and Forner-Alcaide no. 5. Food Chem. 2021, 339, 127781. [Google Scholar] [CrossRef] [PubMed]
- Sun, J.; Sun, L.; Nie, Z.; Xu, J.; Huang, X.; Ke, F. The study on quality changes during the fruit development and maturation process of ‘Yuanxiaochun’ citrus. Zhejiang Citrus 2022, 39, 18–20. [Google Scholar]
- Plotto, A.; Baldwin, E.; McCollum, G.; Manthey, J.; Narciso, J.; Irey, M. Effect of liberibacter infection (Huanglongbing or “Greening” Disease) of citrus on orange juice flavor quality by sensory evaluation. J. Food Sci. 2010, 75, S220–S230. [Google Scholar] [CrossRef]
- Chen, K.; Chen, L.; Zhong, G.; Hong, Q. The heredity of fruit shape in citrus. J. Southwest Agric. Univ. 1994, 16, 120–123. [Google Scholar]
- Wang, T.; Xiong, B.; Zheng, Z.; Qin, Z.; Deng, L.; Zheng, W.; Zhang, M.; Sun, G.; He, S.; Wang, J.; et al. Natural variation confers ‘Aiyuan 38’ citrus mutant a new color and unique flavor. Int. J. Mol. Sci. 2023, 24, 8816. [Google Scholar] [CrossRef]
- Kelebek, H.; Selli, S. Identification of phenolic compositions and the antioxidant capacity of mandarin juices and wines. J. Food Sci. Technol.-Mysore 2014, 51, 1094–1101. [Google Scholar] [CrossRef]
- Zahir, S.; Yahaya, O.K.M.; Omar, A.F. Correlating the natural color of tropical fruit juice with its pH. Color Res. Appl. 2021, 46, 467–476. [Google Scholar] [CrossRef]
- Cao, J.K.; Jang, W.B.; Zhao, Y.M. Guidelines for Postharvest Physiological and Biochemical Experiments on Fruits and Vegetables; China Light Industry Press: Beijing, China, 2007. [Google Scholar]
- Sulaiman, S.F.; Sajak, A.A.B.; Ooi, K.L.; Supriatno; Seow, E.M. Effect of solvents in extracting polyphenols and antioxidants of selected raw vegetables. J. Food Compos. Anal. 2011, 24, 506–515. [Google Scholar] [CrossRef]
- Molan, A.L.; Flanagan, J.; Wei, W.; Moughan, P.J. Selenium-containing green tea has higher antioxidant and prebiotic activities than regular green tea. Food Chem. 2009, 114, 829–835. [Google Scholar] [CrossRef]
- Liao, L.; Dong, T.T.; Qiu, X.; Rong, Y.; Wang, Z.H.; Zhu, J. Nitrogen nutrition is a key modulator of the sugar and organic acid content in citrus fruit. PLoS ONE 2019, 14, 18. [Google Scholar] [CrossRef] [PubMed]
- Wang, J.; Zhu, S.; Xu, C. Biochemistry; Higher Education Press: Beijing, China, 2002. [Google Scholar]
- Zhao, Z.; Sun, Y.; Huang, H. Research of soluble sugars and organic acids in apples of shandong. J. Shandong Agric. Univ. 1995, 26, 355–361. [Google Scholar]
- Liyanaarachchi, G.V.V.; Mahanama, K.R.R.; Somasiri, H.; Punyasiri, P.A.N. Development and validation of a method for direct, underivatized analysis of free amino acids in rice using liquid chromatography-tandem mass spectrometry. J. Chromatogr. A 2018, 1568, 131–139. [Google Scholar] [CrossRef] [PubMed]
- Thiele, B.; Hupert, M.; Santiago-Schubel, B.; Oldiges, M.; Hofmann, D. Direct analysis of underivatized amino acids in plant extracts by LC-MS/MS (Improved method). Methods Mol. Biol. 2019, 2030, 403–414. [Google Scholar]
- Schiffman, S.S.; Engelhard, H.H., 3rd. Taste of dipeptides. Physiol. Behav. 1976, 17, 523–535. [Google Scholar] [CrossRef] [PubMed]
- Schiffman, S.S.; Sennewald, K.; Gagnon, J. Comparison of taste qualities and thresholds of D- and L-amino acids. Physiol. Behav. 1981, 27, 51–59. [Google Scholar] [CrossRef]
- Gao, H.; Wang, W.P.; Xu, D.D.; Wang, P.; Zhao, Y.; Mazza, G.; Zhang, X. Taste-active indicators and their correlation with antioxidant ability during the Monascus rice vinegar solid-state fermentation process. J. Food Compos. Anal. 2021, 104, 8. [Google Scholar] [CrossRef]
- Huang, S.; Ye, S.; Xiong, B.; Liu, X.; Xu, Y.; Dong, Z.; Wang, Z. Study of different content of phenolic compounds in citrus pulps and peels. Food Ferment. Ind. 2018, 44, 241–247. [Google Scholar]
- Lin, M.; Xu, C.N.; Gao, X.Y.; Zhang, W.Q.; Yao, Z.L.; Wang, T.Y.; Feng, X.J.; Wang, Y. Comparative study on secondary metabolites from different citrus varieties in the production area of Zhejiang. Front. Nutr. 2023, 10, 16. [Google Scholar] [CrossRef]
- Xu, G.H.; Ye, X.Q.; Chen, J.C.; Liu, D.H. Effect of heat treatment on the phenolic compounds and antioxidant capacity of citrus peel extract. J. Agric. Food Chem. 2007, 55, 330–335. [Google Scholar] [CrossRef]
- Seeram, N.P.; Aviram, M.; Zhang, Y.; Henning, S.M.; Feng, L.; Dreher, M.; Heber, D. Comparison of antioxidant potency of commonly consumed polyphenol-rich beverages in the United States. J. Agric. Food Chem. 2008, 56, 1415–1422. [Google Scholar] [CrossRef]
- Iwaniak, A.; Minkiewicz, P.; Darewicz, M.; Sieniawski, K.; Starowicz, P. BIOPEP database of sensory peptides and amino acids. Food Res. Int. 2016, 85, 155–161. [Google Scholar] [CrossRef]
- Shamsudin, R.; Ling, C.S.; Ling, C.N.; Muda, N.; Hassan, O. Chemical composition of the jackfruit juice (artocarpus) cultivar J33 during storage. J. Appl. Sci. 2010, 9, 3202–3204. [Google Scholar] [CrossRef][Green Version]
- Zhang, G.H.; Guo, H.C. Effects of tomato and potato heterografting on photosynthesis, quality and yield of grafted parents. Hortic. Environ. Biotechnol. 2019, 60, 9–18. [Google Scholar] [CrossRef]
- Milosevic, T.; Milosevic, N. Fruit Size and Main Chemical Properties of European Plums (Prunus domestica L.) as Influenced by Grafting on Seedlings of Commercial Cultivars. Erwerbs-Obstbau 2022, 64, 183–190. [Google Scholar] [CrossRef]
- Xanthopoulou, A.; Tsaballa, A.; Ganopoulos, I.; Kapazoglou, A.; Avramidou, E.; Aravanopoulos, F.A.; Moysiadis, T.; Osathanunkul, M.; Tsaftaris, A.; Doulis, A.G.; et al. Ιntra-species grafting induces epigenetic and metabolic changes accompanied by alterations in fruit size and shape of Cucurbita pepo L. Plant Growth Regul. 2019, 87, 93–108. [Google Scholar] [CrossRef]
- Zhou, Y.; He, W.Z.; Zheng, W.L.; Tan, Q.L.; Xie, Z.Z.; Zheng, C.S.; Hu, C.X. Fruit sugar and organic acid were significantly related to fruit Mg of six citrus cultivars. Food Chem. 2018, 259, 278–285. [Google Scholar] [CrossRef]
- Xu, S.; Sun, X.X.; Lu, H.Z.; Yang, H.; Ruan, Q.S.; Huang, H.; Chen, M.L. Detecting and monitoring the flavor of tomato (Solanum lycopersicum) under the impact of postharvest handlings by physicochemical parameters and electronic nose. Sensors 2018, 18, 1847. [Google Scholar] [CrossRef]
- Wang, S.F.; Han, P.; Cui, G.L.; Wang, D.; Liu, S.S.; Zhao, Y. The NIR detection research of soluble solid content in watermelon based on SPXY algorithm. Spectrosc. Spectr. Anal. 2019, 39, 738–742. [Google Scholar]
- Rodgers, K.J. Non-protein amino acids and neurodegeneration: The enemy within. Exp. Neurol. 2014, 253, 192–196. [Google Scholar] [CrossRef]
- Lin, M.; Zhang, W.; Wang, T.; Ke, F.; Feng, X.; Yao, Z.; Xu, C. Study on the composition of free amino acid and the effects on fruit flavor quality in 15 hybrid citrus varieties. J. Fruit Sci. 2022, 39, 352–365. [Google Scholar]
- Diana, M.; Quílez, J.; Rafecas, M. Gamma-aminobutyric acid as a bioactive compound in foods: A review. J. Funct. Foods 2014, 10, 407–420. [Google Scholar] [CrossRef]
- Wong, W. Activating T cells with asparagine. Sci. Signal. 2021, 14, eabg8244. [Google Scholar] [CrossRef]
- Chen, Y.; Zhang, B.B.; Wang, B.W.; Zhang, M.A.; Fan, W.L.; Li, W.L. Effects of dietary arginine supplementation on production performance, serum biochemicals, antioxidant capacity, and immunity of laying Wulong geese. Poult. Sci. 2023, 102, 6. [Google Scholar] [CrossRef] [PubMed]
- Haminiuk, C.W.I.; Maciel, G.M.; Plata-Oviedo, M.S.V.; Peralta, R.M. Phenolic compounds in fruits—An overview. Int. J. Food Sci. Technol. 2012, 47, 2023–2044. [Google Scholar] [CrossRef]
- Pandi, A.; Kalappan, V.M. Pharmacological and therapeutic applications of Sinapic acid—An updated review. Mol. Biol. Rep. 2021, 48, 3733–3745. [Google Scholar] [CrossRef] [PubMed]
- Barros, H.R.D.; Ferreira, T.; Genovese, M.I. Antioxidant capacity and mineral content of pulp and peel from commercial cultivars of citrus from Brazil. Food Chem. 2012, 134, 1892–1898. [Google Scholar] [CrossRef]
- Cano, A.; Hernández-Ruíz, J.; García-Cánovas, F.; Acosta, M.; Arnao, M.B. An end-point method for estimation of the total antioxidant activity in plant material. Phytochemical Analysis. 1998, 9, 196–202. [Google Scholar] [CrossRef]
- Magalhaes, L.M.; Segundo, M.A.; Reis, S.; Lima, J. Methodological aspects about in vitro evaluation of antioxidant properties. Anal. Chim. Acta 2008, 613, 1–19. [Google Scholar] [CrossRef] [PubMed]









| Treatments | Abbreviations |
|---|---|
| ‘Yuanxiaochun’/‘Trifoliate orange’ | CK |
| ‘Yuanxiaochun’/‘Harumi’/‘Trifoliate orange’ | CJ |
| ‘Yuanxiaochun’/‘Ponkan’/‘Trifoliate orange’ | PG |
| ‘Yuanxiaochun’/‘Marumi Kumquat’/‘Trifoliate orange’ | JJ |
Disclaimer/Publisher’s Note: The statements, opinions and data contained in all publications are solely those of the individual author(s) and contributor(s) and not of MDPI and/or the editor(s). MDPI and/or the editor(s) disclaim responsibility for any injury to people or property resulting from any ideas, methods, instructions or products referred to in the content. |
© 2025 by the authors. Licensee MDPI, Basel, Switzerland. This article is an open access article distributed under the terms and conditions of the Creative Commons Attribution (CC BY) license (https://creativecommons.org/licenses/by/4.0/).
Share and Cite
Wang, T.; Sun, G.; He, S.; Liao, L.; Xiong, B.; Wang, Z. Effect of Different Interstocks on Fruit Quality, Amino Acids, and Antioxidant Capacity in ‘Yuanxiaochun’ Citrus. Antioxidants 2025, 14, 1149. https://doi.org/10.3390/antiox14101149
Wang T, Sun G, He S, Liao L, Xiong B, Wang Z. Effect of Different Interstocks on Fruit Quality, Amino Acids, and Antioxidant Capacity in ‘Yuanxiaochun’ Citrus. Antioxidants. 2025; 14(10):1149. https://doi.org/10.3390/antiox14101149
Chicago/Turabian StyleWang, Tie, Guochao Sun, Siya He, Ling Liao, Bo Xiong, and Zhihui Wang. 2025. "Effect of Different Interstocks on Fruit Quality, Amino Acids, and Antioxidant Capacity in ‘Yuanxiaochun’ Citrus" Antioxidants 14, no. 10: 1149. https://doi.org/10.3390/antiox14101149
APA StyleWang, T., Sun, G., He, S., Liao, L., Xiong, B., & Wang, Z. (2025). Effect of Different Interstocks on Fruit Quality, Amino Acids, and Antioxidant Capacity in ‘Yuanxiaochun’ Citrus. Antioxidants, 14(10), 1149. https://doi.org/10.3390/antiox14101149
