Structural Characterization of Foxtail Millet (Setaria italica) Polysaccharides and Evaluation of Its Antioxidant and Immunostimulatory Activities
Abstract
1. Introduction
2. Materials and Methods
2.1. Materials and Reagents
2.2. Extraction, Refinement, and Purification of Polysaccharides
2.3. Purity Assessment and Molecular Weight Determinationacce
2.4. Monosaccharide Composition Analysis
2.5. FT-IR Spectroscopy of FM-D1
2.6. SEM Analysis of FM-D1
2.7. Methylation Analysis
2.8. NMR Spectroscopy
2.9. Antioxidant Activity of FM-D1 In Vitro
2.10. Assays of Immunomodulatory Activity of FM-D1
2.10.1. Cell Culture and Proliferation Activity Assay of RAW264.7
2.10.2. Assays for NO Production and Cytokine Secretion
2.11. Statistical Analysis
3. Results
3.1. Extraction and Purification Analysis
3.1.1. Ion Purification
3.1.2. Gel Column Chromatography
3.2. Purity Identification and Molecular Weight Determination
3.3. Monosaccharide Analysis
3.4. FI-IR Analysis
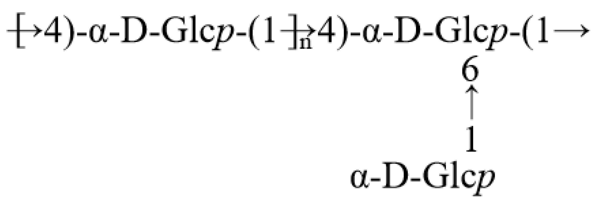
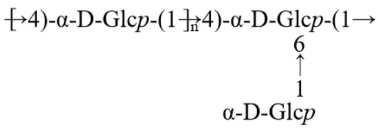
3.5. Analysis of Glycosidic Bond Types of FM-D1
3.6. NMR Analysis
3.7. Surface Feature Analysis
3.8. Antioxidant Activity of FM-D1
3.8.1. DPPH Radical Scavenging Activity
3.8.2. ABTS Radical Scavenging Activity
3.8.3. Total Antioxidant Capacity
3.9. Evaluation of Immunomodulatory Activity
3.9.1. Effect of FM-D1 on Activity of RAW264.7 Cells
3.9.2. Effect of FM-D1 on NO Production of RAW264. 7 Cells
3.9.3. Effect of FM-D1 on Secretion of TNF-α, IL-1β, and IL-6 from RAW264.7 Cells
4. Discussion
5. Conclusions
Supplementary Materials
Author Contributions
Funding
Institutional Review Board Statement
Informed Consent Statement
Data Availability Statement
Acknowledgments
Conflicts of Interest
References
- Hutabarat, D.J.C.; Bowie, V.A. Bioactive compounds in foxtail millet (Setaria italica)-extraction, biochemical activity, and health functional: A Review. IOP Conf. Ser. Earth Environ. Sci. 2022, 998, 012060. [Google Scholar] [CrossRef]
- Ma, K.; Zhao, X.; Lu, B.; Wang, Y.; Yue, Z.; Zhang, L.; Diao, X.; Yuan, X. Effect of Ecological Factors on Nutritional Quality of Foxtail Millet (Setaria italica L.). Agronomy 2024, 14, 387. [Google Scholar] [CrossRef]
- Arora, L.; Aggarwal, R.; Dhaliwal, I.; Gupta, O.P.; Kaushik, P. Assessment of sensory and nutritional attributes of foxtail millet-based food products. Front. Nutr. 2023, 10, 1146545. [Google Scholar] [CrossRef] [PubMed]
- Lin, H.C.; Sheu, S.Y.; Sheen, L.Y.; Sheu, P.W.; Chiang, W.; Kuo, T.F. The gastroprotective effect of the foxtail millet and adlay processing product against stress-induced gastric mucosal lesions in rats. J. Tradit. Complement. Med. 2020, 10, 336–344. [Google Scholar] [CrossRef]
- Lin, T.; Fan, G.; Zhou, Z.; Xie, C. Production of Foxtail-Millet-Based Composite Antioxidant Nutritive Flour Using Coarse Grains and Fruit Flour. J. Food Process. Preserv. 2023, 2023, 6447991. [Google Scholar] [CrossRef]
- Ren, A.; Chen, L.; Zhao, W.; Shan, S.; Li, Z.; Tang, Z. Extraction optimization and structural characterization of soluble dietary fiber in foxtail millet and its inhibitory activities on colon cancer. J. Funct. Foods 2023, 107, 105659. [Google Scholar] [CrossRef]
- Sharma, S.; Saxena, D.C.; Riar, C.S. Antioxidant activity, total phenolics, flavonoids and antinutritional characteristics of germinated foxtail millet (Setaria italica). Cogent Food Agric. 2015, 1, 1081728. [Google Scholar] [CrossRef]
- Wang, H.; Fu, Y.; Zhao, Q.; Liu, Z.; Wang, C.; Xue, Y.; Shen, Q. Effects of heat-treated starch and protein from foxtail millet (Setaria italica) on type 2 diabetic mice. Food Chem. 2023, 404, 134735. [Google Scholar] [CrossRef]
- Zhong, W.; Mao, J.; Chen, S.; Mao, J. Antioxidant and anti-inflammatory activity of peptides from foxtail millet (Setaria italica) prolamins in HaCaT cells and RAW264. 7 murine macrophages. Food Biosci. 2020, 36, 100636. [Google Scholar]
- Ho, C.; Wang, Y.; Liu, X.; Zhou, Y.; Pak, U.; Sun, L. Structural characterization of water-soluble polysaccharides isolated from leaves of Hedera nepalensis. Chem. Biol. Technol. Agric. 2023, 10, 47. [Google Scholar] [CrossRef]
- Li, H.; Li, J.; Shi, H.; Li, C.; Huang, W.; Zhang, M.; Luo, Y.; Song, L.; Yu, R.; Zhu, J. Structural characterization and immunoregulatory activity of a novel acidic polysaccharide from Scapharca subcrenata. Int. J. Biol. Macromol. 2022, 210, 439–454. [Google Scholar] [CrossRef]
- Li, Y.R.; Liu, S.T.; Gan, Q.; Zhang, J.; Chen, N.; Han, C.F.; Geng, W.J.; Wang, B.X.; Han, N.; Jia, S.R.; et al. Four polysaccharides isolated from Poria cocos mycelium and fermentation broth supernatant possess different activities on regulating immune response. Int. J. Biol. Macromol. 2023, 226, 935–945. [Google Scholar] [CrossRef]
- Wang, J.; Cheng, X.; Li, T.; Song, M.; Wang, S.; Wen, T.; Zhu, Z. Structural characterization of polysaccharides from Dictyophora rubrovolvata mycelium and their immunostimulatory activity in RAW264.7 cells. Process Biochem. 2024, 139, 22–32. [Google Scholar] [CrossRef]
- Yang, X.; Wei, S.; Lu, X.; Qiao, X.; Simal-Gandara, J.; Capanoglu, E.; Woźniak, Ł.; Zou, L.; Cao, H.; Xiao, J.; et al. A neutral polysaccharide with a triple helix structure from ginger: Characterization and immunomodulatory activity. Food Chem. 2021, 350, 129261. [Google Scholar] [CrossRef]
- Cai, G.; Wu, C.; Zhu, T.; Peng, S.; Xu, S.; Hu, Y.; Liu, Z.; Yang, Y.; Wang, D. Structure of a Pueraria root polysaccharide and its immunoregulatory activity on T and B lymphocytes, macrophages, and immunosuppressive mice. Int. J. Biol. Macromol. 2023, 230, 123386. [Google Scholar] [CrossRef]
- Romanenko, A.S.; Lomovatskaya, L.A.; Shafikova, T.N.; Borovskii, G.B.; Krivolapova, N.V. Potato cell plasma membrane receptors to ring rot pathogen extracellular polysaccharides. J. Phytopathol. 2003, 151, 1–6. [Google Scholar] [CrossRef]
- Yu, Y.; Shen, M.; Song, Q.; Xie, J. Biological activities and pharmaceutical applications of polysaccharide from natural resources: A review. Carbohydr. Polym. 2018, 183, 91–101. [Google Scholar] [CrossRef]
- Mirzadeh, M.; Arianejad, M.R.; Khedmat, L. Antioxidant, antiradical, and antimicrobial activities of polysaccharides obtained by microwave-assisted extraction method: A review. Carbohydr. Polym. 2020, 229, 115421. [Google Scholar] [CrossRef]
- Ye, G.; Li, J.; Zhang, J.; Liu, H.; Ye, Q.; Wang, Z. Structural characterization and antitumor activity of a polysaccharide from Dendrobium wardianum. Carbohydr. Polym. 2021, 269, 118253. [Google Scholar] [CrossRef]
- Chen, X.; Li, X.; Sun-Waterhouse, D.; Zhu, B.; You, L.; Hileuskaya, K. Polysaccharides from Sargassum fusiforme after UV/H2O2 degradation effectively ameliorate dextran sulfate sodium-induced colitis. Food Funct. 2021, 12, 11747–11759. [Google Scholar] [CrossRef]
- Hu, J.; Yao, W.; Chang, S.; You, L.; Zhao, M.; Cheung, P.C.K.; Hileuskaya, K. Structural characterization and anti-photoaging activity of a polysaccharide from Sargassum fusiforme. Food Res. Int. 2022, 157, 111267. [Google Scholar] [CrossRef]
- Pan, Y.; Lin, Z. Anti-aging effect of Ganoderma (Lingzhi) with health and fitness. In Ganoderma and Health: Pharmacology and Clinical Application; Springer: Singapore, 2019; Volume 1182, pp. 299–309. [Google Scholar]
- Bo, S.; Zhang, M.; Dan, M. The traditional use, structure, and immunostimulatory activity of bioactive polysaccharides from traditional Chinese root medicines: A review. Heliyon 2023, 10, e23593. [Google Scholar] [CrossRef]
- Chen, X.; Zhang, J.; Wang, Y.; Hu, Q.; Zhao, R.; Zhong, L.; Zhan, Q.; Zhao, L. Structure and immunostimulatory activity studies on two novel Flammulina velutipes polysaccharides: Revealing potential impacts of →6)-α-d-Glc p (1→ on the TLR-4/MyD88/NF-κB pathway. Food Funct. 2024, 15, 3507–3521. [Google Scholar] [CrossRef]
- Guo, M.Z.; Meng, M.; Duan, S.Q.; Feng, C.C.; Wang, C.L. Structure characterization, physicochemical property and immunomodulatory activity on RAW264.7 cells of a novel triple-helix polysaccharide from Craterellus cornucopioides. Int. J. Biol. Macromol. 2019, 126, 796–804. [Google Scholar] [CrossRef]
- Ge, Y.; Palanisamy, S.; Kwon, M.H.; Kou, F.; Uthamapriya, R.A.; Lee, D.J.; Jeong, D.; Bao, H.; You, S.G. Angelica gigas polysaccharide induces CR3-mediated macrophage activation and the cytotoxicity of natural killer cells against HCT-116 cells via NF-κB and MAPK signaling pathways. Int. J. Biol. Macromol. 2024, 263, 130320. [Google Scholar] [CrossRef]
- Huang, H.; Yang, X.; Li, W.; Han, Q.; Xu, Z.; Xia, W.; Wu, M.; Zhang, W. Structural characterization and immunomodulatory activity of an arabinogalactan from Jasminum sambac (L.) Aiton tea processing waste. Int. J. Biol. Macromol. 2023, 235, 123816. [Google Scholar] [CrossRef]
- Wang, H.; Yuan, M.; Li, G.; Tao, Y.; Wang, X.; Ke, S.; Zhuang, M.; Wang, A.; Zhou, Z. Chemical characterization, antioxidant and immunomodulatory activities of acetylated polysaccharides from Cyperus esculentus. Food Chem. 2023, 427, 136734. [Google Scholar] [CrossRef]
- Li, J.; Wang, Y.; Ji, J.; Cao, L.; Bai, Y.; Gao, J. Structural characterization and immunomodulatory activity of a glucan from Radix Codonopsis. J. Funct. Foods 2021, 83, 104537. [Google Scholar] [CrossRef]
- Zhang, H.; Li, C.; Lai, P.F.; Chen, J.; Xie, F.; Xia, Y.; Ai, L. Fractionation, chemical characterization and immunostimulatory activity of β-glucan and galactoglucan from Russula vinosa Lindblad. Carbohydr. Polym. 2021, 256, 117559. [Google Scholar] [CrossRef]
- Zhu, A.; Tang, L.; Fu, Q.; Xu, M.; Chen, J. Optimization of alkali extraction of polysaccharides from foxtail millet and its antioxidant activities in vitro. J. Food Biochem. 2015, 39, 708–717. [Google Scholar] [CrossRef]
- Hao, L.M.; Zhang, J.C.; Wu, T.Y.; Jian, Z.; Lu, J.K.; Wang, Q.Z. Purification and characterization of schizophyllan from Schizophyllum commune. Eng. Sci. 2013, 11, 88–92. [Google Scholar]
- DuBois, M.; Gilles, K.A.; Hamilton, J.K.; Rebers, P.T.; Smith, F. Colorimetric method for determination of sugars and related substances. Anal. Chem. 1956, 28, 350–356. [Google Scholar] [CrossRef]
- Nielsen, S.S. Phenol-sulfuric acid method for total carbohydrates. In Food Analysis Laboratory Manual; Springer: Boston, MA, USA, 2010; pp. 47–53. [Google Scholar]
- Chen, P.; You, Q.; Li, X.; Chang, Q.; Zhang, Y.; Zheng, B.; Zeng, H. Polysaccharide fractions from Fortunella margarita affect proliferation of Bifidobacterium adolescentis ATCC 15703 and undergo structural changes following fermentation. Int. J. Biol. Macromol. 2019, 123, 1070–1078. [Google Scholar] [CrossRef]
- Ma, Y.; Wang, Z.; Arifeen, M.Z.U.; Xue, Y.; Yuan, S.; Liu, C. Structure and bioactivity of polysaccharide from a subseafloor strain of Schizophyllum commune 20R-7-F01. Int. J. Biol. Macromol. 2022, 222, 610–619. [Google Scholar] [CrossRef]
- Wang, Y.; Guo, M. Purification and structural characterization of polysaccharides isolated from Auricularia cornea var. Li. Carbohydr. Polym. 2020, 230, 115680. [Google Scholar] [CrossRef]
- Ciucanu, I.; Kerek, F. A simple and rapid method for the permethylation of carbohydrates. Carbohydr. Res. 1984, 131, 209–217. [Google Scholar] [CrossRef]
- Tada, R.; Harada, T.; Nagi-Miura, N.; Adachi, Y.; Nakajima, M.; Yadomae, T.; Ohno, N. NMR characterization of the structure of a β-(1→3)-D-glucan isolate from cultured fruit bodies of Sparassis crispa. Carbohydr. Res. 2007, 342, 2611–2618. [Google Scholar] [CrossRef]
- Wu, Z.; Li, H.; Wang, Y.; Yang, D.; Tan, H.; Zhan, Y.; Yang, Y.; Luo, Y.; Chen, G. Optimization extraction, structural features and antitumor activity of polysaccharides from Z. jujuba cv. Ruoqiangzao seeds. Int. J. Biol. Macromol. 2019, 135, 1151–1161. [Google Scholar] [CrossRef]
- Pellegrini, N.; Serafini, M.; Salvatore, S.; Rio, D.D.; Bianchi, M.; Brighenti, F. Total antioxidant capacity of spices, dried fruits, nuts, pulses, cereals and sweets consumed in Italy assessed by three different in vitro assays. Mol. Nutr. Food Res. 2006, 50, 1030–1038. [Google Scholar] [CrossRef]
- Liu, A.J.; Song, W.; Yang, N.; Liu, Y.J.; Zhang, G.R. Cartilage polysaccharide induces apoptosis in human leukemia K562 cells. Cell Biol. Toxicol. 2007, 23, 465–476. [Google Scholar] [CrossRef]
- Yu, Q.; Nie, S.P.; Li, W.J.; Zheng, W.Y.; Yin, P.E.; Gong, D.M.; Xie, M.Y. Macrophage immunomodulatory activity of a purified polysaccharide isolated from Ganoderma atrum. Phytother. Res. 2013, 27, 186–191. [Google Scholar] [CrossRef]
- Tabarsa, M.; You, S.; Abedi, M.; Ahmadian, N.; Li, C.; Talapphet, N. The activation of RAW264. 7 murine macrophage and natural killer cells by glucomannogalactan polysaccharides from Tornabea scutellifera. Carbohydr. Polym. 2019, 219, 368–377. [Google Scholar] [CrossRef]
- Yang, B.; Zhao, M.; Shi, J.; Yang, N.; Jiang, Y. Effect of ultrasonic treatment on the recovery and DPPH radical scavenging activity of polysaccharides from longan fruit pericarp. Food Chem. 2008, 106, 685–690. [Google Scholar] [CrossRef]
- Huang, H.; Huang, G. Extraction, separation, modification, structural characterization, and antioxidant activity of plant polysaccharides. Chem. Biol. Drug Des. 2020, 96, 1209–1222. [Google Scholar] [CrossRef]
- Chen, F.; Huang, G. Extraction, derivatization and antioxidant activity of bitter gourd polysaccharide. Int. J. Biol. Macromol. 2019, 141, 14–20. [Google Scholar] [CrossRef]
- Yang, Y.; Qiu, Z.; Li, L.; Vidyarthi, S.K.; Zheng, Z.; Zhang, R. Structural characterization and antioxidant activities of one neutral polysaccharide and three acid polysaccharides from Ziziphus jujuba cv. Hamidazao: A comparison. Carbohydr. Polym. 2021, 261, 117879. [Google Scholar] [CrossRef]
- Zhang, Z.; Guo, L.; Yan, A.; Feng, L.; Wan, Y. Fractionation, structure and conformation characterization of polysaccharides from Anoectochilus roxburghii. Carbohydr. Polym. 2020, 231, 115688. [Google Scholar] [CrossRef]
- Wang, G.; Yan, X.; Yang, X.; Feng, L.; Pang, H.; Zhang, R.; Zhang, Y. Structural characterization and immunomodulatory activity of an acidic polysaccharide from walnut green husk. J. Funct. Foods 2023, 110, 105877. [Google Scholar] [CrossRef]
- Zhang, Q.; Xu, Y.; Lv, J.; Cheng, M.; Wu, Y.; Cao, K.; Zhang, X.; Mou, X.; Fan, Q. Structure characterization of two functional polysaccharides from Polygonum multiflorum and its immunomodulatory. Int. J. Biol. Macromol. 2018, 113, 195–204. [Google Scholar] [CrossRef]
- Zheng, Q.; Chen, J.; Yuan, Y.; Zhang, X.; Li, L.; Zhai, Y.; Gong, X.; Li, B. Structural characterization, antioxidant, and anti-inflammatory activity of polysaccharides from Plumula nelumbinis. Int. J. Biol. Macromol. 2022, 212, 111–112. [Google Scholar] [CrossRef]
- Bai, Y.; Jia, X.; Huang, F.; Zhang, R.; Dong, L.; Liu, L.; Zhang, M. Structural elucidation, anti-inflammatory activity and intestinal barrier protection of longan pulp polysaccharide LPIIa. Carbohydr. Polym. 2020, 246, 116532. [Google Scholar] [CrossRef]
- Zhu, Q.; Jiang, Y.; Lin, S.; Wen, L.; Wu, D.; Zhao, M.; Chen, F.; Jia, Y.; Yang, B. Structural identification of (1→6)-α-D-glucan, a key responsible for the health benefits of longan, and evaluation of anticancer activity. Biomacromolecules 2013, 14, 1999–2003. [Google Scholar] [CrossRef]
- Cao, R.A.; Palanisamy, S.; Ma, N.; Talapphet, N.; Zhang, J.; Wang, C.; You, S. Extraction, structural characterization, and immunostimulatory activity of soluble non-starch polysaccharides of finger millet. Process Biochem. 2021, 111, 40–50. [Google Scholar] [CrossRef]
- Xiao, Z.; Yan, C.; Jia, C.; Li, Y.; Li, Y.; Li, J.; Yang, X.; Zhan, X.; Ma, C. Structural characterization of chia seed polysaccharides and evaluation of its immunomodulatory and antioxidant activities. Food Chem. X 2023, 20, 101011. [Google Scholar] [CrossRef]
- Jiang, Y.; Shang, Z.; Lv, X.; Du, M.; Ma, L.; Hou, G.; Chen, J.; Wang, C.; Zhao, F. Structure elucidation and antitumor activity of a water soluble polysaccharide from Hemicentrotus pulcherrimus. Carbohydr. Polym. 2022, 292, 119718. [Google Scholar] [CrossRef]
- Niu, H.; Song, D.; Sun, Y.; Zhang, W.; Mu, H.; Duan, J. Preparation and sulfation of an α-glucan from Actinidia chinensis roots and their potential activities. Int. J. Biol. Macromol. 2016, 92, 981–987. [Google Scholar] [CrossRef]
- Suo, S.K.; Zhao, Y.Q.; Wang, Y.M.; Pan, X.Y.; Chi, C.F.; Wang, B. Seventeen novel angiotensin converting enzyme (ACE) inhibitory peptides from the protein hydrolysate of Mytilus edulis: Isolation, identification, molecular docking study, and protective function on HUVECs. Food Funct. 2022, 13, 7831–7846. [Google Scholar] [CrossRef]
- Kang, M.C.; Kim, S.Y.; Kim, E.A.; Lee, J.H.; Kim, Y.S.; Yu, S.K.; Chae, J.B.; Choe, I.H.; Cho, J.H.; Jeon, Y.J. Antioxidant activity of polysaccharide purified from Acanthopanax koreanum Nakai stems in vitro and in vivo zebrafish model. Carbohydr. Polym. 2015, 127, 38–46. [Google Scholar] [CrossRef]
- Zhang, X.; Liu, L.; Lin, C. Isolation, structural characterization and antioxidant activity of a neutral polysaccharide from Sisal waste. Food Hydrocoll. 2014, 39, 10–18. [Google Scholar] [CrossRef]
- Schepetkin, I.A.; Quinn, M.T. Botanical polysaccharides: Macrophage immunomodulation and therapeutic potential. Int. Immunopharmacol. 2006, 6, 317–333. [Google Scholar] [CrossRef]
- Wang, M.; Yang, X.; Zhao, J.; Lu, C.; Zhu, W. Structural characterization and macrophage immunomodulatory activity of a novel polysaccharide from Smilax glabra Roxb. Carbohydr. Polym. 2017, 156, 390–402. [Google Scholar] [CrossRef] [PubMed]
- Yu, X.; Yang, X.; Cui, B.; Wang, L.; Ren, G. Antioxidant and immunoregulatory activity of alkali-extractable polysaccharides from North American ginseng. Int. J. Biol. Macromol. 2014, 65, 357–361. [Google Scholar] [CrossRef] [PubMed]
- Naugler, W.E.; Karin, M. The wolf in sheep’s clothing: The role of interleukin-6 in immunity, inflammation and cancer. Trends Mol. Med. 2008, 14, 109–119. [Google Scholar] [CrossRef] [PubMed]












| Number | Linkage Pattern | Derivative Name | Mass Fragments (m/z) | Retention Times (min) | Molecular Weight (Mw) | Molar Ratio (%) |
|---|---|---|---|---|---|---|
| 1 | t-Glc(p) | 1,5-di-O-acetyl-2,3,4,6-tetra-O-methyl glucitol | 87, 102, 118, 129, 145, 161, 162, 205 | 9.450 | 323 | 14.73 |
| 2 | 4-Glc(p) | 1,4,5-tri-O-acetyl-2,3,6-tri-O-methyl glucitol | 87, 102, 113, 118, 129, 162, 233 | 14.786 | 351 | 72.16 |
| 3 | 3,4-Glc(p) | 1,3,4,5-tetra-O-acetyl-2,6-di-O-methyl glucitol | 87, 118, 129, 143, 185, 203, 305 | 16.886 | 379 | 1.08 |
| 4 | 4,6-Glc(p) | 1,4,5,6-tetra-O-acetyl-2,3-di-O-methyl glucitol | 85, 102, 118, 127, 159, 162, 201, 261 | 19.017 | 379 | 12.02 |
| Code | Glycosyl Residues | Chemical Shifts (ppm) | |||||
|---|---|---|---|---|---|---|---|
| H1/C1 | H2/C2 | H3/C3 | H4/C4 | H5/C5 | H6/C6 | ||
| A | →4)-α-D-Glcp-(1→ | 5.31 | 3.51 | 3.89 | 3.57 | 3.75 | 3.84, 3.67 |
| 99.72 | 71.49 | 73.31 | 76.63 | 71.13 | 60.43 | ||
| B | α-D-Glcp-(1→ | 4.87 | 3.5 | 3.67 | 3.32 | 3.59 | 3.87, 3.75 |
| 98.53 | 71.71 | 72.83 | 69.27 | 72.67 | 60.38 | ||
| C | →4,6)-α-D-Glcp-(1→ | 5.27 | 3.53 | 3.87 | 3.74 | 3.53 | 3.83 |
| 99.96 | 71.84 | 74.48 | 76.78 | 73.96 | 67.93 | ||
Disclaimer/Publisher’s Note: The statements, opinions and data contained in all publications are solely those of the individual author(s) and contributor(s) and not of MDPI and/or the editor(s). MDPI and/or the editor(s) disclaim responsibility for any injury to people or property resulting from any ideas, methods, instructions or products referred to in the content. |
© 2025 by the authors. Licensee MDPI, Basel, Switzerland. This article is an open access article distributed under the terms and conditions of the Creative Commons Attribution (CC BY) license (https://creativecommons.org/licenses/by/4.0/).
Share and Cite
Zhang, H.; Peng, C.; Zhang, W.; Liu, H.; Liu, X.; Sun, C.; Cao, X. Structural Characterization of Foxtail Millet (Setaria italica) Polysaccharides and Evaluation of Its Antioxidant and Immunostimulatory Activities. Antioxidants 2025, 14, 113. https://doi.org/10.3390/antiox14010113
Zhang H, Peng C, Zhang W, Liu H, Liu X, Sun C, Cao X. Structural Characterization of Foxtail Millet (Setaria italica) Polysaccharides and Evaluation of Its Antioxidant and Immunostimulatory Activities. Antioxidants. 2025; 14(1):113. https://doi.org/10.3390/antiox14010113
Chicago/Turabian StyleZhang, Haiying, Chengyu Peng, Wei Zhang, Huatao Liu, Xiaodong Liu, Changqing Sun, and Xiaoning Cao. 2025. "Structural Characterization of Foxtail Millet (Setaria italica) Polysaccharides and Evaluation of Its Antioxidant and Immunostimulatory Activities" Antioxidants 14, no. 1: 113. https://doi.org/10.3390/antiox14010113
APA StyleZhang, H., Peng, C., Zhang, W., Liu, H., Liu, X., Sun, C., & Cao, X. (2025). Structural Characterization of Foxtail Millet (Setaria italica) Polysaccharides and Evaluation of Its Antioxidant and Immunostimulatory Activities. Antioxidants, 14(1), 113. https://doi.org/10.3390/antiox14010113

