A Randomised, Double-Blind, Placebo-Controlled, Cross-Over Clinical Trial to Evaluate the Biological Effects and Safety of a Polyphenol Supplement on Healthy Ageing
Abstract
1. Introduction
2. Materials and Methods
2.1. Study Design
2.2. Eligibility Criteria
2.3. The Intervention
2.4. Procedures
2.5. Blinding
2.6. Outcome Measures: Blood Biomarker Assessments
2.7. Outcome Measures: Epigenetics
2.8. Statistical Analysis
3. Results
3.1. Study Cohort
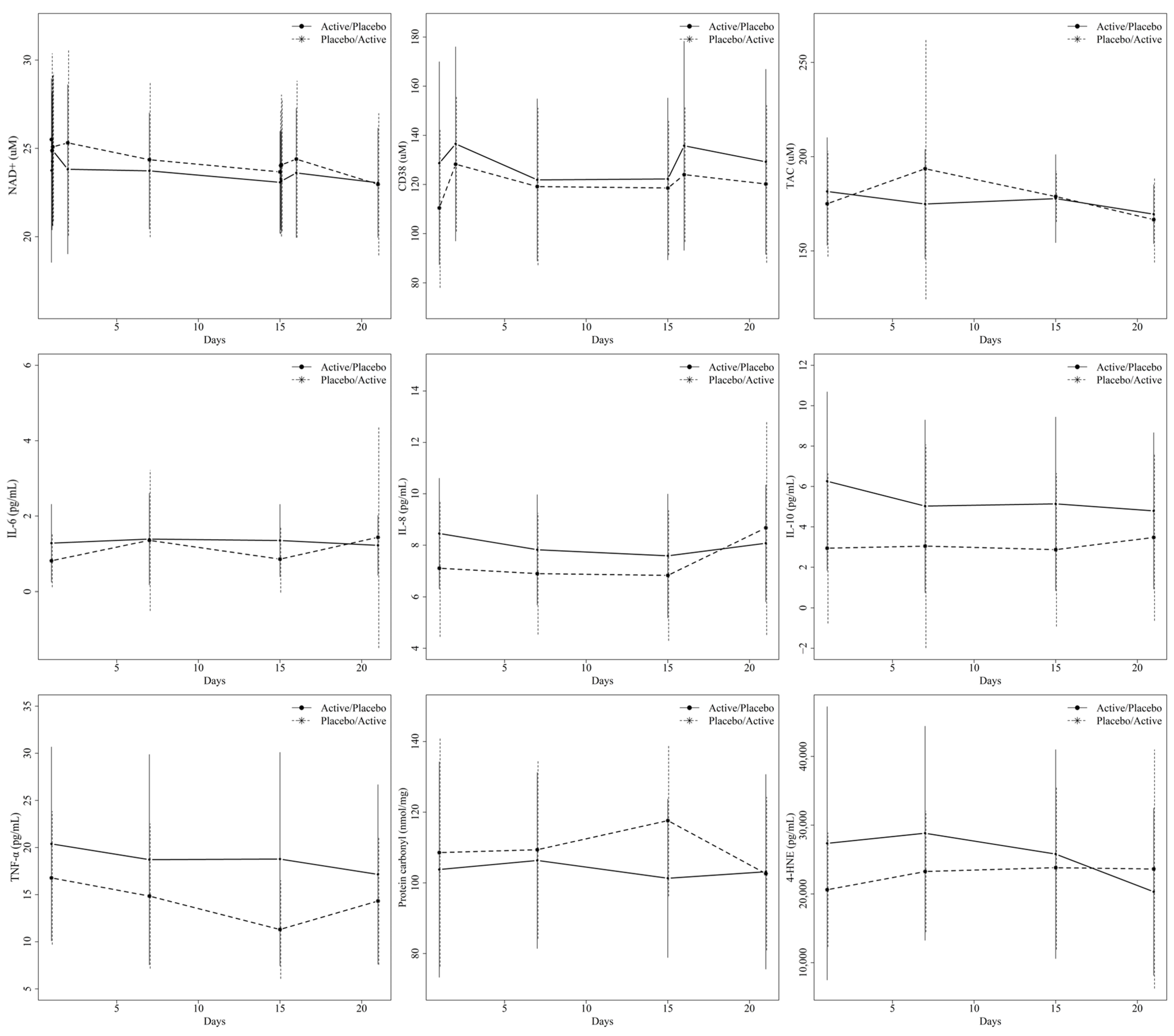
3.2. Outcomes: Blood Biomarker Assessments
3.3. Outcomes: Epigenetics
3.4. Safety and Tolerability
4. Discussion
5. Conclusions
Supplementary Materials
Author Contributions
Funding
Institutional Review Board Statement
Informed Consent Statement
Data Availability Statement
Acknowledgments
Conflicts of Interest
References
- Livingston, G.; Huntley, J.; Liu, K.Y.; Costafreda, S.G.; Selbæk, G.; Alladi, S.; Ames, D.; Banerjee, S.; Burns, A.; Brayne, C.; et al. Dementia prevention, intervention, and care: 2024 report of the Lancet standing Commission. Lancet 2024, 404, 572–628. [Google Scholar] [CrossRef] [PubMed]
- Guo, J.; Huang, X.; Dou, L.; Yan, M.; Shen, T.; Tang, W.; Li, J. Aging and aging-related diseases: From molecular mechanisms to interventions and treatments. Signal Transduct. Target. Ther. 2022, 7, 391. [Google Scholar] [CrossRef] [PubMed]
- Bhatti, G.K.; Reddy, A.P.; Reddy, P.H.; Bhatti, J.S. Lifestyle Modifications and Nutritional Interventions in Aging-Associated Cognitive Decline and Alzheimer’s Disease. Front. Aging Neurosci. 2019, 11, 369. [Google Scholar] [CrossRef] [PubMed]
- Mitchell, C.; Schneper, L.M.; Notterman, D.A. DNA methylation, early life environment, and health outcomes. Pediatr. Res. 2016, 79, 212–219. [Google Scholar] [CrossRef] [PubMed]
- Gao, L.; Liu, X.; Luo, X.; Lou, X.; Li, P.; Li, X.; Liu, X. Antiaging effects of dietary supplements and natural products. Front. Pharmacol. 2023, 14, 1192714. [Google Scholar] [CrossRef] [PubMed]
- Tuttolomondo, A.; Simonetta, I.; Daidone, M.; Mogavero, A.; Ortello, A.; Pinto, A. Metabolic and Vascular Effect of the Mediterranean Diet. Int. J. Mol. Sci. 2019, 20, 4716. [Google Scholar] [CrossRef] [PubMed]
- Dobroslavska, P.; Silva, M.L.; Vicente, F.; Pereira, P. Mediterranean Dietary Pattern for Healthy and Active Aging: A Narrative Review of an Integrative and Sustainable Approach. Nutrients 2024, 16, 1725. [Google Scholar] [CrossRef] [PubMed]
- Pollicino, F.; Veronese, N.; Dominguez, L.J.; Barbagallo, M. Mediterranean diet and mitochondria: New findings. Exp. Gerontol. 2023, 176, 112165. [Google Scholar] [CrossRef]
- García-Casares, N.; Gallego Fuentes, P.; Barbancho, M.; López-Gigosos, R.; García-Rodríguez, A.; Gutiérrez-Bedmar, M. Alzheimer’s Disease, Mild Cognitive Impairment and Mediterranean Diet. A Systematic Review and Dose-Response Meta-Analysis. J. Clin. Med. 2021, 10, 4642. [Google Scholar] [CrossRef]
- Fu, J.; Tan, L.J.; Lee, J.E.; Shin, S. Association between the mediterranean diet and cognitive health among healthy adults: A systematic review and meta-analysis. Front. Nutr. 2022, 9, 946361. [Google Scholar] [CrossRef]
- Grundy, S.M. Obesity, metabolic syndrome, and cardiovascular disease. J. Clin. Endocrinol. Metab. 2004, 89, 2595–2600. [Google Scholar] [CrossRef]
- Kitada, M.; Araki, S.I.; Koya, D. The Role of CD38 in the Pathogenesis of Cardiorenal Metabolic Disease and Aging, an Approach from Basic Research. Cells 2023, 12, 595. [Google Scholar] [CrossRef]
- Piedra-Quintero, Z.L.; Wilson, Z.; Nava, P.; Guerau-de-Arellano, M. CD38: An Immunomodulatory Molecule in Inflammation and Autoimmunity. Front. Immunol. 2020, 11, 597959. [Google Scholar] [CrossRef]
- Deepika; Maurya, P.K. Health Benefits of Quercetin in Age-Related Diseases. Molecules 2022, 27, 2498. [Google Scholar] [CrossRef]
- Gendrisch, F.; Esser, P.R.; Schempp, C.M.; Wölfle, U. Luteolin as a modulator of skin aging and inflammation. Biofactors 2021, 47, 170–180. [Google Scholar] [CrossRef] [PubMed]
- Bernatoniene, J.; Kopustinskiene, D.M. The Role of Catechins in Cellular Responses to Oxidative Stress. Molecules 2018, 23, 965. [Google Scholar] [CrossRef] [PubMed]
- Cao, Y.; Chen, J.; Ren, G.; Zhang, Y.; Tan, X.; Yang, L. Punicalagin Prevents Inflammation in LPS-Induced RAW264.7 Macrophages by Inhibiting FoxO3a/Autophagy Signaling Pathway. Nutrients 2019, 11, 2794. [Google Scholar] [CrossRef] [PubMed]
- Mariadoss, A.V.A.; Vinyagam, R.; Rajamanickam, V.; Sankaran, V.; Venkatesan, S.; David, E. Pharmacological Aspects and Potential Use of Phloretin: A Systemic Review. Mini Rev. Med. Chem. 2019, 19, 1060–1067. [Google Scholar] [CrossRef] [PubMed]
- Zhu, H.; Yan, Y.; Jiang, Y.; Meng, X. Ellagic Acid and Its Anti-Aging Effects on Central Nervous System. Int. J. Mol. Sci. 2022, 23, 937. [Google Scholar] [CrossRef] [PubMed]
- Heidary Moghaddam, R.; Samimi, Z.; Moradi, S.Z.; Little, P.J.; Xu, S.; Farzaei, M.H. Naringenin and naringin in cardiovascular disease prevention: A preclinical review. Eur. J. Pharmacol. 2020, 887, 173535. [Google Scholar] [CrossRef]
- Thomas, S.D.; Jha, N.K.; Jha, S.K.; Sadek, B.; Ojha, S. Pharmacological and Molecular Insight on the Cardioprotective Role of Apigenin. Nutrients 2023, 15, 385. [Google Scholar] [CrossRef] [PubMed]
- Li, W.Q.; Li, J.; Liu, W.X.; Wu, L.J.; Qin, J.Y.; Lin, Z.W.; Liu, X.Y.; Luo, S.Y.; Wu, Q.H.; Xie, X.F.; et al. Isorhamnetin: A Novel Natural Product Beneficial for Cardiovascular Disease. Curr. Pharm. Des. 2022, 28, 2569–2582. [Google Scholar] [CrossRef] [PubMed]
- Tajik, N.; Tajik, M.; Mack, I.; Enck, P. The potential effects of chlorogenic acid, the main phenolic components in coffee, on health: A comprehensive review of the literature. Eur. J. Nutr. 2017, 56, 2215–2244. [Google Scholar] [CrossRef]
- Noor, S.; Mohammad, T.; Rub, M.A.; Raza, A.; Azum, N.; Yadav, D.K.; Hassan, M.I.; Asiri, A.M. Biomedical features and therapeutic potential of rosmarinic acid. Arch. Pharm. Res. 2022, 45, 205–228. [Google Scholar] [CrossRef] [PubMed]
- Mattioli, R.; Francioso, A.; Mosca, L.; Silva, P. Anthocyanins: A Comprehensive Review of Their Chemical Properties and Health Effects on Cardiovascular and Neurodegenerative Diseases. Molecules 2020, 25, 3809. [Google Scholar] [CrossRef] [PubMed]
- Dabeek, W.M.; Marra, M.V. Dietary Quercetin and Kaempferol: Bioavailability and Potential Cardiovascular-Related Bioactivity in Humans. Nutrients 2019, 11, 2288. [Google Scholar] [CrossRef] [PubMed]
- Cos, P.; De Bruyne, T.; Hermans, N.; Apers, S.; Berghe, D.V.; Vlietinck, A.J. Proanthocyanidins in health care: Current and new trends. Curr. Med. Chem. 2004, 11, 1345–1359. [Google Scholar] [CrossRef] [PubMed]
- Chen, M.; Chen, Z.; Huang, D.; Sun, C.; Xie, J.; Chen, T.; Zhao, X.; Huang, Y.; Li, D.; Wu, B.; et al. Myricetin inhibits TNF-α-induced inflammation in A549 cells via the SIRT1/NF-κB pathway. Pulm. Pharmacol. Ther. 2020, 65, 102000. [Google Scholar] [CrossRef]
- Silva, D.; Baião, D.D.S.; Ferreira, V.F.; Paschoalin, V.M.F. Betanin as a multipath oxidative stress and inflammation modulator: A beetroot pigment with protective effects on cardiovascular disease pathogenesis. Crit. Rev. Food Sci. Nutr. 2022, 62, 539–554. [Google Scholar] [CrossRef]
- Al-Khayri, J.M.; Sahana, G.R.; Nagella, P.; Joseph, B.V.; Alessa, F.M.; Al-Mssallem, M.Q. Flavonoids as Potential Anti-Inflammatory Molecules: A Review. Molecules 2022, 27, 2901. [Google Scholar] [CrossRef] [PubMed]
- Schaur, R.J.; Siems, W.; Bresgen, N.; Eckl, P.M. 4-Hydroxy-nonenal-A Bioactive Lipid Peroxidation Product. Biomolecules 2015, 5, 2247–2337. [Google Scholar] [CrossRef] [PubMed]
- Li, Y.; Zhao, T.; Li, J.; Xia, M.; Li, Y.; Wang, X.; Liu, C.; Zheng, T.; Chen, R.; Kan, D.; et al. Oxidative Stress and 4-hydroxy-2-nonenal (4-HNE): Implications in the Pathogenesis and Treatment of Aging-related Diseases. J. Immunol. Res. 2022, 2022, 2233906. [Google Scholar] [CrossRef]
- Henning, T.; Weber, D. Redox biomarkers in dietary interventions and nutritional observation studies—From new insights to old problems. Redox Biol. 2021, 41, 101922. [Google Scholar] [CrossRef] [PubMed]
- Merra, G.; Noce, A.; Marrone, G.; Cintoni, M.; Tarsitano, M.G.; Capacci, A.; De Lorenzo, A. Influence of Mediterranean Diet on Human Gut Microbiota. Nutrients 2020, 13, 7. [Google Scholar] [CrossRef]
- Refn, M.R.; Andersen, M.M.; Kampmann, M.-L.; Tfelt-Hansen, J.; Sørensen, E.; Larsen, M.H.; Morling, N.; Børsting, C.; Pereira, V. Longitudinal changes and variation in human DNA methylation analysed with the Illumina MethylationEPIC BeadChip assay and their implications on forensic age prediction. Sci. Rep. 2023, 13, 21658. [Google Scholar] [CrossRef]
- Ye, Z.; Jiang, L.; Zhao, M.; Liu, J.; Dai, H.; Hou, Y.; Wang, Z. Epigenome-wide screening of CpG markers to develop a multiplex methylation SNaPshot assay for age prediction. Leg. Med. 2022, 59, 102115. [Google Scholar] [CrossRef] [PubMed]
- Yaskolka Meir, A.; Keller, M.; Hoffmann, A.; Rinott, E.; Tsaban, G.; Kaplan, A.; Zelicha, H.; Hagemann, T.; Ceglarek, U.; Isermann, B.; et al. The effect of polyphenols on DNA methylation-assessed biological age attenuation: The DIRECT PLUS randomized controlled trial. BMC Med. 2023, 21, 364. [Google Scholar] [CrossRef] [PubMed]
- Pan, M.H.; Lai, C.S.; Wu, J.C.; Ho, C.T. Epigenetic and disease targets by polyphenols. Curr. Pharm. Des. 2013, 19, 6156–6185. [Google Scholar] [CrossRef]
- Murashima, M.; Watanabe, S.; Zhuo, X.G.; Uehara, M.; Kurashige, A. Phase 1 study of multiple biomarkers for metabolism and oxidative stress after one-week intake of broccoli sprouts. Biofactors 2004, 22, 271–275. [Google Scholar] [CrossRef] [PubMed]
- Ferk, F.; Kundi, M.; Brath, H.; Szekeres, T.; Al-Serori, H.; Mišík, M.; Saiko, P.; Marculescu, R.; Wagner, K.H.; Knasmueller, S. Gallic Acid Improves Health-Associated Biochemical Parameters and Prevents Oxidative Damage of DNA in Type 2 Diabetes Patients: Results of a Placebo-Controlled Pilot Study. Mol. Nutr. Food Res. 2018, 62, 1700482. [Google Scholar] [CrossRef]




| Sites Analysed | Gene |
|---|---|
| cg10501210 | C1orf132 |
| cg24724428 | ELOVL2 |
| cg10804656 | Island (intergene) |
| cg10604476 | ICAM5 |
| cg11705975 | PRLHR |
| cg12934382 | GRM2 |
| cg07553761 | TRIM59 |
| cg16867657 | ELOVL2 |
| cg13108341 | DNAH9 |
| Active/Placebo | Placebo/Active | Total | |
|---|---|---|---|
| Sex | |||
| Female | 7 (46.7) | 9 (60.0) | 16 (53.3) |
| Male | 8 (53.3) | 6 (40.0) | 14 (46.7) |
| Age, years | 66.5 (8.2) | 67.5 (6.9) | 67.0 (7.5) |
| BMI, kg/m2 | 29.2 (3.4) | 28.2 (2.5) | 28.7 (3.0) |
| HbA1c, mmol/mol | 38.4 (3.5) | 41.7 (8.5) | 40.0 (6.6) |
| Glucose, mmol/L | 6.4 (1.6) | 6.4 (1.9) | 6.4 (1.7) |
| Cholesterol | |||
| HDL, mmol/L | 1.3 (0.4) | 1.4 (0.3) | 1.4 (0.4) |
| LDL, mmol/L | 3.8 (1.5) | 4.0 (1.2) | 3.9 (1.4) |
| Active/Placebo | Placebo/Active | Total | |
|---|---|---|---|
| NAD+ (µM) | 23.8 (5.2) | 25.5 (4.9) | 24.6 (5.0) |
| CD38 (µM) | 128.7 (41.3) | 110.5 (32.4) | 119.6 (37.6) |
| TAC (µM) | 181.5 (28.6) | 175.0 (28.0) | 178.3 (28.0) |
| IL-6 (pg/mL) | 1.3 (1.0) | 0.8 (0.7) | 1.0 (0.9) |
| IL-8 (pg/mL) | 8.5 (2.2) | 7.1 (2.7) | 7.8 (2.5) |
| IL-10 (pg/mL) | 6.3 (4.4) | 2.9 (3.7) | 4.6 (4.3) |
| TNF-α (pg/mL) | 20.4 (10.3) | 16.8 (7.1) | 18.6 (8.9) |
| Protein carbonyl (nmol/mg) | 103.8 (30.5) | 108.6 (32.2) | 106.2 (30.9) |
| 4-HNE (pg/mL) | 27,367.1 (19,872.1) | 20,620.1 (8292.1) | 23,993.6 (15,349.5) |
| Baseline | At One Week | Difference | p-Value | Adj. p-Value | ||
|---|---|---|---|---|---|---|
| Main outcomes | ||||||
| NAD+ | Active | 23.7 (4.4) | 23.3 (3.6) | 0.4 (3.8) | 0.600 | 0.936 |
| Placebo | 24.3 (4.1) | 23.7 (3.8) | 0.6 (3.1) | 0.309 | 0.936 | |
| CD38 | Active | 123.6 (34.8) | 121.1 (31.9) | 2.6 (27.2) | 0.610 | 0.857 |
| Placebo | 116.4 (32.7) | 124.2 (34.7) | −7.8 (20.6) | 0.046 | 0.215 | |
| Secondary outcomes | ||||||
| TAC | Active | 180.2 (22.0) | 170.7 (25.9) | 9.5 (28.1) | 0.076 | 0.218 |
| Placebo | 176.4 (25.4) | 181.5 (50.8) | −5.2 (50.0) | 0.576 | 0.849 | |
| IL-6 | Active | 1.1 (1.0) | 1.4 (2.2) | −0.3 (2.1) | 0.368 | 0.611 |
| Placebo | 1.1 (0.9) | 1.3 (1.4) | −0.2 (1.6) | 0.479 | 0.611 | |
| IL-8 | Active | 7.6 (2.4) | 8.3 (3.3) | −0.6 (3.1) | 0.282 | 0.645 |
| Placebo | 7.3 (2.5) | 7.5 (2.4) | −0.1 (2.0) | 0.711 | 0.467 | |
| IL-10 | Active | 4.6 (4.4) | 4.3 (4.2) | 0.3 (2.6) | 0.510 | 0.223 |
| Placebo | 4 (4.1) | 3.9 (4.5) | 0.1 (1.3) | 0.606 | 0.223 | |
| TNF-α | Active | 15.8 (9.3) | 16.5 (9.3) | −0.7 (4.8) | 0.443 | 0.435 |
| Placebo | 17.8 (9.3) | 16 (8.6) | 1.8 (5.2) | 0.073 | 0.009 | |
| Protein carbonyl | Active | 110.7 (26.8) | 104.5 (23.0) | 6.2 (33.3) | 0.315 | 0.966 |
| Placebo | 104.9 (27.5) | 106.3 (26.1) | −1.3 (26.6) | 0.787 | 0.636 | |
| 4-HNE | Active | 25,593.8 (16,185.3) | 26,231.7 (16,413.5) | −637.9 (7937.9) | 0.663 | 0.074 |
| Placebo | 23,210.5 (12,309.6) | 21,791.1 (10,535.9) | 1419.3 (10,453.7) | 0.463 | 0.299 |
| NAD+ | CD38 | ||||
|---|---|---|---|---|---|
| Time | Treatment | Difference | p-Value | Difference | p-Value |
| T0 vs. T1 | Active | −0.50 (0.6) | 0.936 | - | - |
| T0 vs. T2 | Active | −0.82 (0.6) | 0.936 | - | - |
| T0 vs. T24 | Active | −0.32 (0.6) | 0.936 | −8.47 (5.4) | 0.215 |
| T0 vs. T1 | Placebo | 0.19 (0.6) | 0.943 | - | - |
| T0 vs. T2 | Placebo | 0.16 (0.6) | 0.943 | - | - |
| T0 vs. T24 | Placebo | −0.06 (0.6) | 0.963 | −16.88 (5.4) | 0.019 |
| Sequence | Side Effects Week 1 | Side Effects Week 2 |
|---|---|---|
| Active/Placebo | Bloated all week, stomach-ache morning of day 2, itchy skin every day from day 2 (cold with a temperature on days 4 and 5) | Loose stools, diarrhoea |
| Placebo/Active | Bloating, heartburn | Bloating, headache, temperature, nausea, diarrhoea |
Disclaimer/Publisher’s Note: The statements, opinions and data contained in all publications are solely those of the individual author(s) and contributor(s) and not of MDPI and/or the editor(s). MDPI and/or the editor(s) disclaim responsibility for any injury to people or property resulting from any ideas, methods, instructions or products referred to in the content. |
© 2024 by the authors. Licensee MDPI, Basel, Switzerland. This article is an open access article distributed under the terms and conditions of the Creative Commons Attribution (CC BY) license (https://creativecommons.org/licenses/by/4.0/).
Share and Cite
Chong, J.R.; de Lucia, C.; Tovar-Rios, D.A.; Castellanos-Perilla, N.; Collins, C.; Kvernberg, S.M.; Ballard, C.; Siow, R.C.; Aarsland, D. A Randomised, Double-Blind, Placebo-Controlled, Cross-Over Clinical Trial to Evaluate the Biological Effects and Safety of a Polyphenol Supplement on Healthy Ageing. Antioxidants 2024, 13, 995. https://doi.org/10.3390/antiox13080995
Chong JR, de Lucia C, Tovar-Rios DA, Castellanos-Perilla N, Collins C, Kvernberg SM, Ballard C, Siow RC, Aarsland D. A Randomised, Double-Blind, Placebo-Controlled, Cross-Over Clinical Trial to Evaluate the Biological Effects and Safety of a Polyphenol Supplement on Healthy Ageing. Antioxidants. 2024; 13(8):995. https://doi.org/10.3390/antiox13080995
Chicago/Turabian StyleChong, Joyce Ruifen, Chiara de Lucia, Diego Alejandro Tovar-Rios, Nicolas Castellanos-Perilla, Christopher Collins, Silje Meihack Kvernberg, Clive Ballard, Richard C. Siow, and Dag Aarsland. 2024. "A Randomised, Double-Blind, Placebo-Controlled, Cross-Over Clinical Trial to Evaluate the Biological Effects and Safety of a Polyphenol Supplement on Healthy Ageing" Antioxidants 13, no. 8: 995. https://doi.org/10.3390/antiox13080995
APA StyleChong, J. R., de Lucia, C., Tovar-Rios, D. A., Castellanos-Perilla, N., Collins, C., Kvernberg, S. M., Ballard, C., Siow, R. C., & Aarsland, D. (2024). A Randomised, Double-Blind, Placebo-Controlled, Cross-Over Clinical Trial to Evaluate the Biological Effects and Safety of a Polyphenol Supplement on Healthy Ageing. Antioxidants, 13(8), 995. https://doi.org/10.3390/antiox13080995

