Modification Role of Dietary Antioxidants in the Association of High Red Meat Intake and Lung Cancer Risk: Evidence from a Cancer Screening Trial
Abstract
1. Introduction
2. Materials and Methods
2.1. Study Population
2.2. Assessment of Red Meat and Dietary Antioxidant Intake
2.3. Covariates Ascertainment
2.4. Case Ascertainment of Lung Cancer and Follow-Up
2.5. Statistical Analysis
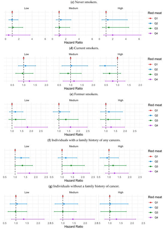
3. Results
4. Discussion
Strengths and Limitations
5. Conclusions
Supplementary Materials
Author Contributions
Funding
Institutional Review Board Statement
Informed Consent Statement
Data Availability Statement
Conflicts of Interest
Abbreviations
| CI | Confidence interval |
| DHQ | Dietary history questionnaire |
| fCDAI | Food-based composited dietary antioxidant index |
| g | Gram |
| HR | Hazard ratio |
| NCI | National Cancer Institute |
| NHANES | National Health and Nutrition Examination Survey |
| Q1-Q4 | Quartile 1-Quartile 4 |
| PLCO | Prostate, Lung, Colorectal, and Ovarian |
| RRR | Reduced rank regression |
References
- Thandra, K.C.; Barsouk, A.; Saginala, K.; Aluru, J.S.; Barsouk, A. Epidemiology of lung cancer. Contemp. Oncol. 2021, 25, 45–52. [Google Scholar] [CrossRef]
- ArulJothi, K.N.; Kumaran, K.; Senthil, S.; Nidhu, A.B.; Munaff, N.; Janitri, V.B.; Kirubakaran, R.; Singh, S.K.; Gupt, G.; Dua, K.; et al. Implications of reactive oxygen species in lung cancer and exploiting it for therapeutic interventions. Med. Oncol. 2022, 40, 43. [Google Scholar] [CrossRef] [PubMed]
- Kanwal, M.; Ding, X.J.; Cao, Y. Familial risk for lung cancer. Oncol. Lett. 2017, 13, 535–542. [Google Scholar] [CrossRef] [PubMed]
- Shankar, A.; Dubey, A.; Saini, D.; Singh, M.; Prasad, C.P.; Roy, S.; Bharati, S.J.; Rinki, M.; Singh, N.; Seth, T.; et al. Environmental and occupational determinants of lung cancer. Transl. Lung Cancer Res. 2019, 8, S31–S49. [Google Scholar] [CrossRef] [PubMed]
- Murphy, R.A.; Darvishian, M.; Qi, J.; Chen, Y.; Chu, Q.; Vena, J.; Dummer, T.J.B.; Le, N.; Sweeney, E.; DeClercq, V.; et al. Lifestyle factors and lung cancer risk among never smokers in the Canadian Partnership for Tomorrow’s Health (CanPath). Cancer Causes Control 2022, 33, 913–918. [Google Scholar] [CrossRef] [PubMed]
- Giromini, C.; Givens, D.I. Benefits and Risks Associated with Meat Consumption during Key Life Processes and in Relation to the Risk of Chronic Diseases. Foods 2022, 11, 2063. [Google Scholar] [CrossRef] [PubMed]
- Kelly, S.C.; Nelson, P.T.; Counts, S.E. Pontine Arteriolosclerosis and Locus Coeruleus Oxidative Stress Differentiate Resilience from Mild Cognitive Impairment in a Clinical Pathologic Cohort. J. Neuropathol. Exp. Neurol. 2021, 80, 325–335. [Google Scholar] [CrossRef] [PubMed]
- Haorah, J.; Zhou, L.; Wang, X.; Xu, G.; Mirvish, S.S. Determination of total N-nitroso compounds and their precursors in frankfurters, fresh meat, dried salted fish, sauces, tobacco, and tobacco smoke particulates. J. Agric. Food Chem. 2001, 49, 6068–6078. [Google Scholar] [CrossRef]
- Shams-White, M.M.; Brockton, N.T.; Mitrou, P.; Romaguera, D.; Brown, S.; Bender, A.; Kahle, L.L.; Reedy, J. Operationalizing the 2018 World Cancer Research Fund/American Institute for Cancer Research (WCRF/AICR) Cancer Prevention Recommendations: A Standardized Scoring System. Nutrients 2019, 11, 1572. [Google Scholar] [CrossRef]
- Lescinsky, H.; Afshin, A.; Ashbaugh, C.; Bisignano, C.; Brauer, M.; Ferrara, G.; Hay, S.I.; He, J.; Iannucci, V.; Marczak, L.B.; et al. Health effects associated with consumption of unprocessed red meat: A Burden of Proof study. Nat. Med. 2022, 28, 2075–2082. [Google Scholar] [CrossRef]
- Wu, T.; Shinde, R.; Castro, R.; Pierce, J.P. Interrelationship of Seasons with Inflammation, Red Meat, Fruit, and Vegetable Intakes, Cardio-Metabolic Health, and Smoking Status among Breast Cancer Survivors. J. Clin. Med. 2021, 10, 636. [Google Scholar] [CrossRef]
- Wu, T.; Sonoda, S.; Liu, H. Unprocessed red meat intakes are associated with increased inflammation, triglycerides and HDL cholesterol in past smokers. Nutr. Diet. 2020, 77, 182–188. [Google Scholar] [CrossRef]
- Kim, S.Y.; Wie, G.A.; Cho, Y.A.; Kang, H.H.; Ryu, K.A.; Yoo, M.K.; Jun, S.; Kim, S.A.; Ha, K.; Kim, J.; et al. The Role of Red Meat and Flavonoid Consumption on Cancer Prevention: The Korean Cancer Screening Examination Cohort. Nutrients 2017, 9, 938. [Google Scholar] [CrossRef] [PubMed]
- Yang, J.; Qian, S.; Na, X.; Zhao, A. Association between Dietary and Supplemental Antioxidants Intake and Lung Cancer Risk: Evidence from a Cancer Screening Trial. Antioxidants 2023, 12, 338. [Google Scholar] [CrossRef]
- Petcu, C.D.; Mihai, O.D.; Tăpăloagă, D.; Gheorghe-Irimia, R.A.; Pogurschi, E.N.; Militaru, M.; Borda, C.; Ghimpețeanu, O.M. Effects of Plant-Based Antioxidants in Animal Diets and Meat Products: A Review. Foods 2023, 12, 1334. [Google Scholar] [CrossRef]
- Xue, X.J.; Gao, Q.; Qiao, J.H.; Zhang, J.; Xu, C.P.; Liu, J. Red and processed meat consumption and the risk of lung cancer: A dose-response meta-analysis of 33 published studies. Int. J. Clin. Exp. Med. 2014, 7, 1542–1553. [Google Scholar]
- Bellavia, A.; Stilling, F.; Wolk, A. High red meat intake and all-cause cardiovascular and cancer mortality: Is the risk modified by fruit and vegetable intake? Am. J. Clin. Nutr. 2016, 104, 1137–1143. [Google Scholar] [CrossRef] [PubMed]
- Mangione, C.M.; Barry, M.J.; Nicholson, W.K.; Cabana, M.; Chelmow, D.; Coker, T.R.; Davis, E.M.; Donahue, K.E.; Doubeni, C.A.; Jaén, C.R.; et al. Vitamin, Mineral, and Multivitamin Supplementation to Prevent Cardiovascular Disease and Cancer: US Preventive Services Task Force Recommendation Statement. JAMA 2022, 327, 2326–2333. [Google Scholar] [CrossRef] [PubMed]
- Middha, P.; Weinstein, S.J.; Männistö, S.; Albanes, D.; Mondul, A.M. β-carotene supplementation and lung cancer incidence in the alpha-tocopherol, beta-carotene cancer prevention study: The role of tar and nicotine. Nicotine Tob. Res. 2019, 21, 1045–1050. [Google Scholar] [CrossRef]
- Miller, V.; Reedy, J.; Cudhea, F.; Zhang, J.; Shi, P.; Erndt-Marino, J.; Coates, J.; Micha, R.; Webb, P.; Mozaffarian, D. Global, regional, and national consumption of animal-source foods between 1990 and 2018: Findings from the Global Dietary Database. Lancet Planet Health 2022, 6, e243–e256. [Google Scholar] [CrossRef]
- Wright, M.E.; Mayne, S.T.; Stolzenberg-Solomon, R.Z.; Li, Z.; Pietinen, P.; Taylor, P.R.; Virtamo, J.; Albanes, D. Development of a comprehensive dietary antioxidant index and application to lung cancer risk in a cohort of male smokers. Am. J. Epidemiol. 2004, 160, 68–76. [Google Scholar] [CrossRef] [PubMed]
- Yu, Y.C.; Paragomi, P.; Wang, R.; Jin, A.; Schoen, R.E.; Sheng, L.T.; Pan, A.; Koh, W.P.; Yuan, J.M.; Luu, H.N. Composite dietary antioxidant index and the risk of colorectal cancer: Findings from the Singapore Chinese Health Study. Int. J. Cancer 2022, 150, 1599–1608. [Google Scholar] [CrossRef] [PubMed]
- Oken, M.M.; Hocking, W.G.; Kvale, P.A.; Andriole, G.L.; Buys, S.S.; Church, T.R.; Crawford, E.D.; Fouad, M.N.; Isaacs, C.; Reding, D.J.; et al. Screening by chest radiograph and lung cancer mortality: The Prostate, Lung, Colorectal, and Ovarian (PLCO) randomized trial. JAMA 2011, 306, 1865–1873. [Google Scholar] [CrossRef] [PubMed]
- Gnagnarella, P.; Maisonneuve, P.; Bellomi, M.; Rampinelli, C.; Bertolotti, R.; Spaggiari, L.; Palli, D.; Veronesi, G. Red meat, Mediterranean diet and lung cancer risk among heavy smokers in the COSMOS screening study. Ann. Oncol. 2013, 24, 2606–2611. [Google Scholar] [CrossRef] [PubMed]
- Yang, W.S.; Wong, M.Y.; Vogtmann, E.; Tang, R.Q.; Xie, L.; Yang, Y.S.; Wu, Q.J.; Zhang, W.; Xiang, Y.B. Meat consumption and risk of lung cancer: Evidence from observational studies. Ann. Oncol. 2012, 23, 3163–3170. [Google Scholar] [CrossRef] [PubMed]
- Cross, A.J.; Leitzmann, M.F.; Gail, M.H.; Hollenbeck, A.R.; Schatzkin, A.; Sinha, R. A prospective study of red and processed meat intake in relation to cancer risk. PLoS Med. 2007, 4, e325. [Google Scholar] [CrossRef]
- Macho-González, A.; Garcimartín, A.; López-Oliva, M.E.; Bastida, S.; Benedí, J.; Ros, G.; Nieto, G.; Sánchez-Muniz, F.J. Can Meat and Meat-Products Induce Oxidative Stress? Antioxidants 2020, 9, 638. [Google Scholar] [CrossRef]
- Lobo, V.; Patil, A.; Phatak, A.; Chandra, N. Free radicals, antioxidants and functional foods: Impact on human health. Pharmacogn. Rev. 2010, 4, 118–126. [Google Scholar] [CrossRef] [PubMed]
- Van Hecke, T.; Van Camp, J.; De Smet, S. Oxidation During Digestion of Meat: Interactions with the Diet and Helicobacter pylori Gastritis, and Implications on Human Health. Compr. Rev. Food Sci. Food Saf. 2017, 16, 214–233. [Google Scholar] [CrossRef]
- Omaye, A.T.; Omaye, S.T. Caveats for the Good and Bad of Dietary Red Meat. Antioxidants 2019, 8, 544. [Google Scholar] [CrossRef]
- Venturelli, S.; Leischner, C.; Helling, T.; Renner, O.; Burkard, M.; Marongiu, L. Minerals and Cancer: Overview of the Possible Diagnostic Value. Cancers 2022, 14, 1256. [Google Scholar] [CrossRef] [PubMed]
- Zhang, Y.; Song, M.; Mucci, L.A.; Giovannucci, E.L. Zinc supplement use and risk of aggressive prostate cancer: A 30-year follow-up study. Eur. J. Epidemiol. 2022, 37, 1251–1260. [Google Scholar] [CrossRef] [PubMed]
- Maares, M.; Haase, H. A Guide to Human Zinc Absorption: General Overview and Recent Advances of In Vitro Intestinal Models. Nutrients 2020, 12, 762. [Google Scholar] [CrossRef] [PubMed]
- Toledano, J.M.; Puche-Juarez, M.; Moreno-Fernandez, J.; Ochoa, J.J.; Diaz-Castro, J. Antioxidant and Immune-Related Implications of Minerals in COVID-19: A Possibility for Disease Prevention and Management. Antioxidants 2023, 12, 1104. [Google Scholar] [CrossRef] [PubMed]
- Linda, M.O.K.; Gemma, T.; Rachel, R.H.; Paul, M.; Mark, W.; Sanne, A.E.P. Smoking as a risk factor for lung cancer in women and men: A systematic review and meta-analysis. BMJ Open 2018, 8, e021611. [Google Scholar] [CrossRef]
- Caliri, A.W.; Tommasi, S.; Besaratinia, A. Relationships among smoking, oxidative stress, inflammation, macromolecular damage, and cancer. Mutat. Res. Rev. Mutat. Res. 2021, 787, 108365. [Google Scholar] [CrossRef] [PubMed]
- Fagbohun, O.F.; Gillies, C.R.; Murphy, K.P.J.; Rupasinghe, H.P.V. Role of Antioxidant Vitamins and Other Micronutrients on Regulations of Specific Genes and Signaling Pathways in the Prevention and Treatment of Cancer. Int. J. Mol. Sci. 2023, 24, 6092. [Google Scholar] [CrossRef] [PubMed]
- Astori, E.; Garavaglia, M.L.; Colombo, G.; Landoni, L.; Portinaro, N.M.; Milzani, A.; Dalle-Donne, I. Antioxidants in smokers. Nutr. Res. Rev. 2022, 35, 70–97. [Google Scholar] [CrossRef] [PubMed]
- Kim, J.A.; Jang, J.H.; Lee, S.Y. An Updated Comprehensive Review on Vitamin A and Carotenoids in Breast Cancer: Mechanisms, Genetics, Assessment, Current Evidence, and Future Clinical Implications. Nutrients 2021, 13, 3162. [Google Scholar] [CrossRef]
- Bolton-Smith, C.; Casey, C.E.; Gey, K.F.; Smith, W.C.; Tunstall-Pedoe, H. Antioxidant vitamin intakes assessed using a food-frequency questionnaire: Correlation with biochemical status in smokers and non-smokers. Br. J. Nutr. 1991, 65, 337–346. [Google Scholar] [CrossRef]
- Subar, A.F.; Thompson, F.E.; Kipnis, V.; Midthune, D.; Hurwitz, P.; McNutt, S.; McIntosh, A.; Rosenfeld, S. Comparative validation of the Block, Willett, and National Cancer Institute food frequency questionnaires: The Eating at America’s Table Study. Am. J. Epidemiol. 2001, 154, 1089–1099. [Google Scholar] [CrossRef] [PubMed]
- Moatkhef, F.; Ismail, H.; Agamy, N.; Aborhyem, S. Quantitative determination of selenium in the most common food items sold in Egypt. J. Egypt. Public. Health Assoc. 2020, 95, 15. [Google Scholar] [CrossRef]
- Keck, A.-S.; Finley, J.W. Database values do not reflect selenium contents of grain, cereals, and other foods grown or purchased in the upper Midwest of the United States. Nutr. Res. 2006, 26, 17–22. [Google Scholar] [CrossRef]





| Overall (N = 95,647) | Quartile 1 (N = 23,912) | Quartile 2 (N = 23,912) | Quartile 3 (N = 23,912) | Quartile 4 (N = 23,911) | |
| Age, yr | 62.3 (5.3) | 63.1 (5.5) | 62.6 (5.3) | 62.3 (5.2) | 61.4 (5.0) |
| Female, n (%) | 49,066 (51.3) | 17,161 (71.8) | 14,510 (60.7) | 11,191 (46.8) | 6204 (25.9) |
| Intervention arm, n (%) | 48,998 (51.2) | 12,029 (50.3) | 12,207 (51.0) | 12,384 (51.8) | 12,378 (51.8) |
| Race, n (%) | |||||
| White, non-Hispanic | 87,255 (91.2) | 20,664 (86.4) | 21,933 (91.7) | 22,243 (93.0) | 22,415 (93.7) |
| Black, non-Hispanic | 3042 (3.2) | 1233 (5.2) | 717 (3.0) | 576 (2.4) | 516 (2.2) |
| Hispanic | 1396 (1.5) | 352 (1.5) | 303 (1.3) | 353 (1.5) | 388 (1.6) |
| Asian | 3327 (3.5) | 1505 (6.3) | 812 (3.4) | 589 (2.5) | 421 (1.8) |
| Pacific Islander | 439 (0.5) | 118 (0.5) | 106 (0.4) | 107 (0.4) | 108 (0.5) |
| American Indian | 188 (0.2) | 40 (0.2) | 41 (0.2) | 44 (0.2) | 63 (0.3) |
| Body mass index category, n (%) | |||||
| Underweight | 643 (0.7) | 286 (1.2) | 153 (0.6) | 119 (0.5) | 85 (0.4) |
| Normal | 32,277 (33.7) | 11,024 (46.1) | 8802 (36.8) | 7125 (29.8) | 5326 (22.3) |
| Overweight | 40,840 (42.7) | 8702 (36.4) | 10,005 (41.8) | 10,889 (45.5) | 11,244 (47.0) |
| Obese | 21,887 (22.9) | 3900 (16.3) | 4952 (20.7) | 5779 (24.2) | 7256 (30.3) |
| Education level, n (%) | |||||
| Less than high school | 5554 (5.8) | 1149 (4.8) | 1282 (5.4) | 1382 (5.8) | 1741 (7.3) |
| High school or post-high school training | 34,515 (36.1) | 7928 (33.2) | 8684 (36.3) | 8788 (36.8) | 9115 (38.1) |
| Some college or more | 55,578 (58.1) | 14,835 (62.0) | 13,946 (58.3) | 13,742 (57.5) | 13,055 (54.6) |
| Marital status, n (%) | |||||
| Married | 75,124 (78.5) | 16,649 (69.6) | 18,818 (78.7) | 19,608 (82.0) | 20,049 (83.8) |
| Widowed, divorced, or separated | 17,501 (18.3) | 6253 (26.2) | 4401 (18.4) | 3653 (15.3) | 3194 (13.4) |
| Never married | 3022 (3.2) | 1010 (4.2) | 693 (2.9) | 651 (2.7) | 668 (2.8) |
| Smoke, pack-years | 18.0 (26.7) | 12.9 (22.1) | 15.6 (24.2) | 18.9 (27.1) | 24.5 (31.3) |
| Alcohol, drinks/day | 0.7 (1.9) | 0.4 (1.3) | 0.6 (1.6) | 0.8 (2.1) | 1.1 (2.4) |
| Family history of any cancer, n (%) | 53,402 (55.8) | 13,499 (56.5) | 13,631 (57.0) | 13,232 (55.3) | 13,040 (54.5) |
| Total energy intake, kcal/day | 1742 (735) | 1295 (517) | 1487 (507) | 1783 (567) | 2405 (782) |
| fCADI score | 0.0 (4.8) | −1.8 (4.4) | −1.4 (3.9) | 0.0 (4.0) | 3.2 (4.9) |
| Current supplement use, n (%) | 74,846 (78.3) | 20,157 (84.3) | 19,253 (80.5) | 18,360 (76.8) | 17,076 (71.4) |
| Categories of Red Meat Consumption by Quartile (g/day) | p-Trend | ||||
|---|---|---|---|---|---|
| 1 (<27) | 2 (27–48) | 3 (48–81) | 4 (>81) | ||
| Cases | 317 | 373 | 406 | 503 | |
| Person-Years | 287,600 | 287,429 | 285,212 | 281,951 | |
| Model 1 1 | 1 (ref) | 1.18 (1.01, 1.37) | 1.28 (1.10, 1.49) | 1.63 (1.41, 1.89) | <0.001 |
| Model 2 2 | 1 (ref) | 1.16 (1.00, 1.35) | 1.23 (1.06, 1.44) | 1.43 (1.20, 1.71) | <0.001 |
| Main Effect | Interaction Effect | ||||
|---|---|---|---|---|---|
| Red Meat | Hazard Ratio (95% CI) | Red Meat × fCDAI | Hazard Ratio (95% CI) | p-Interaction 2,3 | |
| Q1 | 1.00 (ref) | Q1 | Low | 1.00 (ref) | 0.773 |
| Q2 | 1.24 (1.01, 1.52) | Q2 | Medium | 0.91 (0.64, 1.29) | |
| High | 0.76 (0.50, 1.15) | ||||
| Q3 | 1.29 (1.03, 1.62) | Q3 | Medium | 0.94 (0.66, 1.33) | |
| High | 0.85 (0.57, 1.25) | ||||
| Q4 | 1.73 (1.29, 2.31) | Q4 | Medium | 0.81 (0.55, 1.19) | |
| High | 0.70 (0.47, 1.05) | ||||
| (1a) Dietary vitamin A. | |||||
| Main effect | Interaction effect | ||||
| Red meat | Hazard ratio (95% CI) | Red meat × dietary vitamin A | Hazard ratio (95% CI) | p-interaction | |
| Q1 | 1.00 (ref) | Q1 | Low | 1.00 (ref) | 0.494 |
| Q2 | 1.33 (1.06, 1.66) | Q2 | Medium | 0.73 (0.51, 1.04) | |
| High | 0.78 (0.53, 1.14) | ||||
| Q3 | 1.34 (1.06, 1.68) | Q3 | Medium | 0.74 (0.53, 1.05) | |
| High | 0.95 (0.66, 1.37) | ||||
| Q4 | 1.57 (1.22, 2.01) | Q4 | Medium | 0.75 (0.53, 1.05) | |
| High | 0.86 (0.61, 1.22) | ||||
| (1b) Supplemental vitamin A. | |||||
| Main effect | Interaction effect | ||||
| Red meat | Hazard ratio (95% CI) | Red meat × supplemental vitamin A | Hazard ratio (95% CI) | p-interaction | |
| Q1 | 1.00 (ref) | Q1 | Low | 1.00 (ref) | 0.636 |
| Q2 | 1.17 (0.89, 1.53) | Q2 | Medium | 1.05 (0.73, 1.53) | |
| High | 0.91 (0.63, 1.32) | ||||
| Q3 | 1.09 (0.83, 1.43) | Q3 | Medium | 1.31 (0.90, 1.89) | |
| High | 1.18 (0.82, 1.69) | ||||
| Q4 | 1.46 (1.11, 1.91) | Q4 | Medium | 1.01 (0.71, 1.43) | |
| High | 1.00 (0.71, 1.42) | ||||
| (1c) Total vitamin A. | |||||
| Main effect | Interaction effect | ||||
| Red meat | Hazard ratio (95% CI) | Red meat × total vitamin A | Hazard ratio (95% CI) | p-interaction | |
| Q1 | 1.00 (ref) | Q1 | Low | 1.00 (ref) | 0.068 |
| Q2 | 1.35 (1.07, 1.71) | Q2 | Medium | 0.84 (0.59, 1.19) | |
| High | 0.62 (0.42, 0.91) | ||||
| Q3 | 1.20 (0.94, 1.53) | Q3 | Medium | 1.05 (0.74, 1.49) | |
| High | 0.96 (0.67, 1.39) | ||||
| Q4 | 1.43 (1.12, 1.84) | Q4 | Medium | 1.10 (0.79, 1.54) | |
| High | 0.74 (0.53, 1.05) | ||||
| (2a) Dietary vitamin C. | |||||
| Main effect | Interaction effect | ||||
| Red meat | Hazard ratio (95% CI) | Red meat × dietary vitamin C | Hazard ratio (95% CI) | p-interaction | |
| Q1 | 1.00 (ref) | Q1 | Low | 1.00 (ref) | 0.394 |
| Q2 | 1.29 (1.03, 1.62) | Q2 | Medium | 0.98 (0.68, 1.41) | |
| High | 0.67 (0.46, 0.96) | ||||
| Q3 | 1.26 (0.99, 1.59) | Q3 | Medium | 1.09 (0.76, 1.56) | |
| High | 0.81 (0.57, 1.15) | ||||
| Q4 | 1.51 (1.18, 1.92) | Q4 | Medium | 0.97 (0.68, 1.37) | |
| High | 0.76 (0.55, 1.06) | ||||
| (2b) Supplemental vitamin C. | |||||
| Main effect | Interaction effect | ||||
| Red meat | Hazard ratio (95% CI) | Red meat × supplemental vitamin C | Hazard ratio (95% CI) | p-interaction | |
| Q1 | 1.00 (ref) | Q1 | Low | 1.00 (ref) | 0.854 |
| Q2 | 1.15 (0.88, 1.49) | Q2 | Medium | 0.93 (0.64, 1.34) | |
| High | 1.09 (0.75, 1.57) | ||||
| Q3 | 1.17 (0.90, 1.52) | Q3 | Medium | 1.05 (0.73, 1.51) | |
| High | 1.17 (0.82, 1.69) | ||||
| Q4 | 1.32 (1.01, 1.72) | Q4 | Medium | 1.13 (0.80, 1.59) | |
| High | 1.23 (0.87, 1.75) | ||||
| (2c) Total vitamin C. | |||||
| Main effect | Interaction effect | ||||
| Red meat | Hazard ratio (95% CI) | Red meat × total vitamin C | Hazard ratio (95% CI) | p-interaction | |
| Q1 | 1.00 (ref) | Q1 | Low | 1.00 (ref) | 0.575 |
| Q2 | 1.34 (1.04, 1.71) | Q2 | Medium | 0.68 (0.47, 1.00) | |
| High | 0.87 (0.61, 1.24) | ||||
| Q3 | 1.27 (0.99, 1.63) | Q3 | Medium | 0.89 (0.62, 1.29) | |
| High | 0.97 (0.68, 1.39) | ||||
| Q4 | 1.45 (1.12, 1.88) | Q4 | Medium | 0.87 (0.61, 1.23) | |
| High | 1.02 (0.73, 1.43) | ||||
| (3a) Dietary vitamin E. | |||||
| Main effect | Interaction effect | ||||
| Red meat | Hazard ratio (95% CI) | Red meat × dietary vitamin E | Hazard ratio (95% CI) | p-interaction | |
| Q1 | 1.00 (ref) | Q1 | Low | 1.00 (ref) | 0.770 |
| Q2 | 1.22 (0.99, 1.50) | Q2 | Medium | 0.97 (0.68, 1.37) | |
| High | 0.79 (0.53, 1.20) | ||||
| Q3 | 1.28 (1.02, 1.60) | Q3 | Medium | 0.89 (0.63, 1.26) | |
| High | 0.94 (0.64, 1.37) | ||||
| Q4 | 1.58 (1.21, 2.07) | Q4 | Medium | 0.89 (0.61, 1.28) | |
| High | 0.78 (0.53, 1.15) | ||||
| (3b) Supplemental vitamin E. | |||||
| Main effect | Interaction effect | ||||
| Red meat | Hazard ratio (95% CI) | Red meat × supplemental vitamin E | Hazard ratio (95% CI) | p-interaction | |
| Q1 | 1.00 (ref) | Q1 | Low | 1.00 (ref) | 0.247 |
| Q2 | 1.32 (1.01, 1.73) | Q2 | Medium | 0.92 (0.63, 1.35) | |
| High | 0.74 (0.51, 1.07) | ||||
| Q3 | 1.28 (0.98, 1.68) | Q3 | Medium | 1.19 (0.82, 1.73) | |
| High | 0.80 (0.56, 1.16) | ||||
| Q4 | 1.45 (1.10, 1.90) | Q4 | Medium | 1.19 (0.84, 1.70) | |
| High | 0.90 (0.64, 1.28) | ||||
| (3c) Total vitamin E. | |||||
| Main effect | Interaction effect | ||||
| Red meat | Hazard ratio (95% CI) | Red meat × total vitamin E | Hazard ratio (95% CI) | p-interaction | |
| Q1 | 1.00 (ref) | Q1 | Low | 1.00 (ref) | 0.045 |
| Q2 | 1.41 (1.08, 1.82) | Q2 | Medium | 0.90 (0.62, 1.32) | |
| High | 0.63 (0.44, 0.91) | ||||
| Q3 | 1.32 (1.01, 1.71) | Q3 | Medium | 1.19 (0.82, 1.72) | |
| High | 0.70 (0.49, 1.01) | ||||
| Q4 | 1.47 (1.12, 1.92) | Q4 | Medium | 1.15 (0.81, 1.65) | |
| High | 0.83 (0.59, 1.17) | ||||
| (4a) Dietary zinc. | |||||
| Main effect | Interaction effect | ||||
| Red meat | Hazard ratio (95% CI) | Red meat × dietary zinc | Hazard ratio (95% CI) | p-interaction | |
| Q1 | 1.00 (ref) | Q1 | Low | 1.00 (ref) | 0.097 |
| Q2 | 1.17 (0.96, 1.42) | Q2 | Medium | 1.02 (0.71, 1.46) | |
| High | 0.91 (0.58, 1.43) | ||||
| Q3 | 1.34 (1.06, 1.70) | Q3 | Medium | 0.99 (0.69, 1.42) | |
| High | 0.77 (0.49, 1.17) | ||||
| Q4 | 2.18 (1.36, 3.51) | Q4 | Medium | 0.85 (0.49, 1.48) | |
| High | 0.50 (0.28, 0.90) | ||||
| (4b) Supplemental zinc. | |||||
| Main effect | Interaction effect | ||||
| Red meat | Hazard ratio (95% CI) | Red meat × supplemental zinc | Hazard ratio (95% CI) | p-interaction | |
| Q1 | 1.00 (ref) | Q1 | Low | 1.00 (ref) | 0.460 |
| Q2 | 1.02 (0.79, 1.33) | Q2 | Medium | 1.19 (0.82, 1.71) | |
| High | 1.20 (0.83, 1.74) | ||||
| Q3 | 1.04 (0.80, 1.34) | Q3 | Medium | 1.30 (0.91, 1.86) | |
| High | 1.38 (0.96, 1.97) | ||||
| Q4 | 1.25 (0.96, 1.62) | Q4 | Medium | 1.15 (0.82, 1.62) | |
| High | 1.42 (1.01, 1.99) | ||||
| (4c) Total zinc. | |||||
| Main effect | Interaction effect | ||||
| Red meat | Hazard ratio (95% CI) | Red meat × total zinc | Hazard ratio (95% CI) | p-interaction | |
| Q1 | 1.00 (ref) | Q1 | Low | 1.00 (ref) | 0.311 |
| Q2 | 1.22 (0.97, 1.53) | Q2 | Medium | 0.82 (0.58, 1.16) | |
| High | 1.08 (0.73, 1.60) | ||||
| Q3 | 1.11 (0.87, 1.41) | Q3 | Medium | 1.18 (0.83, 1.66) | |
| High | 1.27 (0.87, 1.85) | ||||
| Q4 | 1.46 (1.12, 1.91) | Q4 | Medium | 0.86 (0.60, 1.22) | |
| High | 1.14 (0.78, 1.66) | ||||
| (5a) Dietary magnesium. | |||||
| Main effect | Interaction effect | ||||
| Red meat | Hazard ratio (95% CI) | Red meat × dietary magnesium | Hazard ratio (95% CI) | p-interaction | |
| Q1 | 1.00 (ref) | Q1 | Low | 1.00 (ref) | 0.276 |
| Q2 | 1.22 (0.98, 1.52) | Q2 | Medium | 1.04 (0.74, 1.46) | |
| High | 0.75 (0.50, 1.12) | ||||
| Q3 | 1.39 (1.04, 1.78) | Q3 | Medium | 0.80 (0.56, 1.13) | |
| High | 0.85 (0.59, 1.24) | ||||
| Q4 | 1.31 (0.94, 1.81) | Q4 | Medium | 1.15 (0.76, 1.72) | |
| High | 1.01 (0.67, 1.53) | ||||
| (5b) Supplemental magnesium. | |||||
| Main effect | Interaction effect | ||||
| Red meat | Hazard ratio (95% CI) | Red meat × supplemental magnesium | Hazard ratio (95% CI) | p-interaction | |
| Q1 | 1.00 (ref) | Q1 | Low | 1.00 (ref) | 0.339 |
| Q2 | 1.08 (0.83, 1.40) | Q2 | Medium | 1.23 (0.85, 1.77) | |
| High | 1.00 (0.69, 1.44) | ||||
| Q3 | 1.11 (0.86, 1.44) | Q3 | Medium | 1.12 (0.78, 1.61) | |
| High | 1.31 (0.92, 1.86) | ||||
| Q4 | 1.28 (0.98, 1.67) | Q4 | Medium | 1.20 (0.85, 1.70) | |
| High | 1.27 (0.90, 1.80) | ||||
| (5c) Total magnesium. | |||||
| Main effect | Interaction effect | ||||
| Red meat | Hazard ratio (95% CI) | Red meat × total magnesium | Hazard ratio (95% CI) | p-interaction | |
| Q1 | 1.00 (ref) | Q1 | Low | 1.00 (ref) | 0.835 |
| Q2 | 1.31 (1.04, 1.64) | Q2 | Medium | 0.80 (0.56, 1.13) | |
| High | 0.84 (0.57, 1.23) | ||||
| Q3 | 1.27 (0.99, 1.62) | Q3 | Medium | 0.93 (0.66, 1.32) | |
| High | 0.98 (0.67, 1.42) | ||||
| Q4 | 1.42 (1.05, 1.91) | Q4 | Medium | 1.02 (0.70, 1.49) | |
| High | 0.98 (0.67, 1.45) | ||||
| (6a) Dietary selenium. | |||||
| Main effect | Interaction effect | ||||
| Red meat | Hazard ratio (95% CI) | Red meat × dietary selenium | Hazard ratio (95% CI) | p-interaction | |
| Q1 | 1.00 (ref) | Q1 | Low | 1.00 (ref) | 0.117 |
| Q2 | 1.29 (1.06, 1.57) | Q2 | Medium | 0.75 (0.53, 1.05) | |
| High | 0.83 (0.51, 1.35) | ||||
| Q3 | 1.51 (1.19, 1.93) | Q3 | Medium | 0.65 (0.46, 0.93) | |
| High | 0.81 (0.52, 1.28) | ||||
| Q4 | 1.43 (0.82, 2.52) | Q4 | Medium | 1.02 (0.55, 1.91) | |
| High | 0.90 (0.46, 1.75) | ||||
| (6b) Supplemental selenium. | |||||
| Main effect | Interaction effect | ||||
| Red meat | Hazard ratio (95% CI) | Red meat × supplemental selenium | Hazard ratio (95% CI) | p-interaction | |
| Q1 | 1.00 (ref) | Q1 | Low | 1.00 (ref) | 0.913 |
| Q2 | 1.11 (0.85, 1.44) | Q2 | Medium | 1.04 (0.72, 1.51) | |
| High | 1.11 (0.77, 1.60) | ||||
| Q3 | 1.24 (0.95, 1.62) | Q3 | Medium | 1.06 (0.74, 1.52) | |
| High | 0.99 (0.69, 1.42) | ||||
| Q4 | 1.48 (1.13, 1.94) | Q4 | Medium | 0.93 (0.65, 1.31) | |
| High | 1.06 (0.75, 1.50) | ||||
| (6c) Total selenium. | |||||
| Main effect | Interaction effect | ||||
| Red meat | Hazard ratio (95% CI) | Red meat × total selenium | Hazard ratio (95% CI) | p-interaction | |
| Q1 | 1.00 (ref) | Q1 | Low | 1.00 (ref) | 0.102 |
| Q2 | 1.24 (1.02, 1.51) | Q2 | Medium | 0.85 (0.60, 1.19) | |
| High | 0.87 (0.54, 1.39) | ||||
| Q3 | 1.51 (1.20, 1.91) | Q3 | Medium | 0.67 (0.47, 0.96) | |
| High | 0.87 (0.56, 1.35) | ||||
| Q4 | 1.29 (0.75, 2.23) | Q4 | Medium | 1.21 (0.66, 2.22) | |
| High | 1.05 (0.55, 2.01) | ||||
Disclaimer/Publisher’s Note: The statements, opinions and data contained in all publications are solely those of the individual author(s) and contributor(s) and not of MDPI and/or the editor(s). MDPI and/or the editor(s) disclaim responsibility for any injury to people or property resulting from any ideas, methods, instructions or products referred to in the content. |
© 2024 by the authors. Licensee MDPI, Basel, Switzerland. This article is an open access article distributed under the terms and conditions of the Creative Commons Attribution (CC BY) license (https://creativecommons.org/licenses/by/4.0/).
Share and Cite
Yang, J.; Na, X.; Li, Z.; Zhao, A. Modification Role of Dietary Antioxidants in the Association of High Red Meat Intake and Lung Cancer Risk: Evidence from a Cancer Screening Trial. Antioxidants 2024, 13, 799. https://doi.org/10.3390/antiox13070799
Yang J, Na X, Li Z, Zhao A. Modification Role of Dietary Antioxidants in the Association of High Red Meat Intake and Lung Cancer Risk: Evidence from a Cancer Screening Trial. Antioxidants. 2024; 13(7):799. https://doi.org/10.3390/antiox13070799
Chicago/Turabian StyleYang, Jiaqi, Xiaona Na, Zhihui Li, and Ai Zhao. 2024. "Modification Role of Dietary Antioxidants in the Association of High Red Meat Intake and Lung Cancer Risk: Evidence from a Cancer Screening Trial" Antioxidants 13, no. 7: 799. https://doi.org/10.3390/antiox13070799
APA StyleYang, J., Na, X., Li, Z., & Zhao, A. (2024). Modification Role of Dietary Antioxidants in the Association of High Red Meat Intake and Lung Cancer Risk: Evidence from a Cancer Screening Trial. Antioxidants, 13(7), 799. https://doi.org/10.3390/antiox13070799

