Purification of Phenolic Compounds from Camellia polyodonta Flower: Composition Analysis, Antioxidant Property, and Hypolipidemic Activity In Vitro and In Vivo
Abstract
1. Introduction
2. Materials and Methods
2.1. Materials
2.2. Chemicals and Reagents
2.3. Preparation of Crude Camellia polyodonta Flower Extract
2.4. Pretreatment of Macroporous Resins
2.5. Enrichment of Phenolics by Resin Column
2.6. Determination of Total Phenolic Content
2.7. Determination of Total Flavonoid Content
2.8. Determination of Total Proanthocyanidin Content
2.9. Determination of Antioxidant Activity
2.10. Compositional Analysis of Purified Fraction
2.11. Evaluation of In Vitro Hypolipidemic Activity
2.11.1. Bile-Acid-Binding Capacity
2.11.2. Pancreatic Lipase Inhibitory Effect
2.12. Hypolipidemic Activity In Vivo
2.12.1. Caenorhabditis Elegans Strains and Maintenance
2.12.2. Oil Red O (ORO) Staining and Triglyceride (TG) Content
3. Results and Discussion
3.1. Total Phenolic, Flavonoid, and Proanthocyanidin Contents
3.2. Quantification of Phenolic Compounds
3.3. Antioxidant Activity
3.4. Hypolipidemic Activity of CPFP and Its Fractions In Vitro
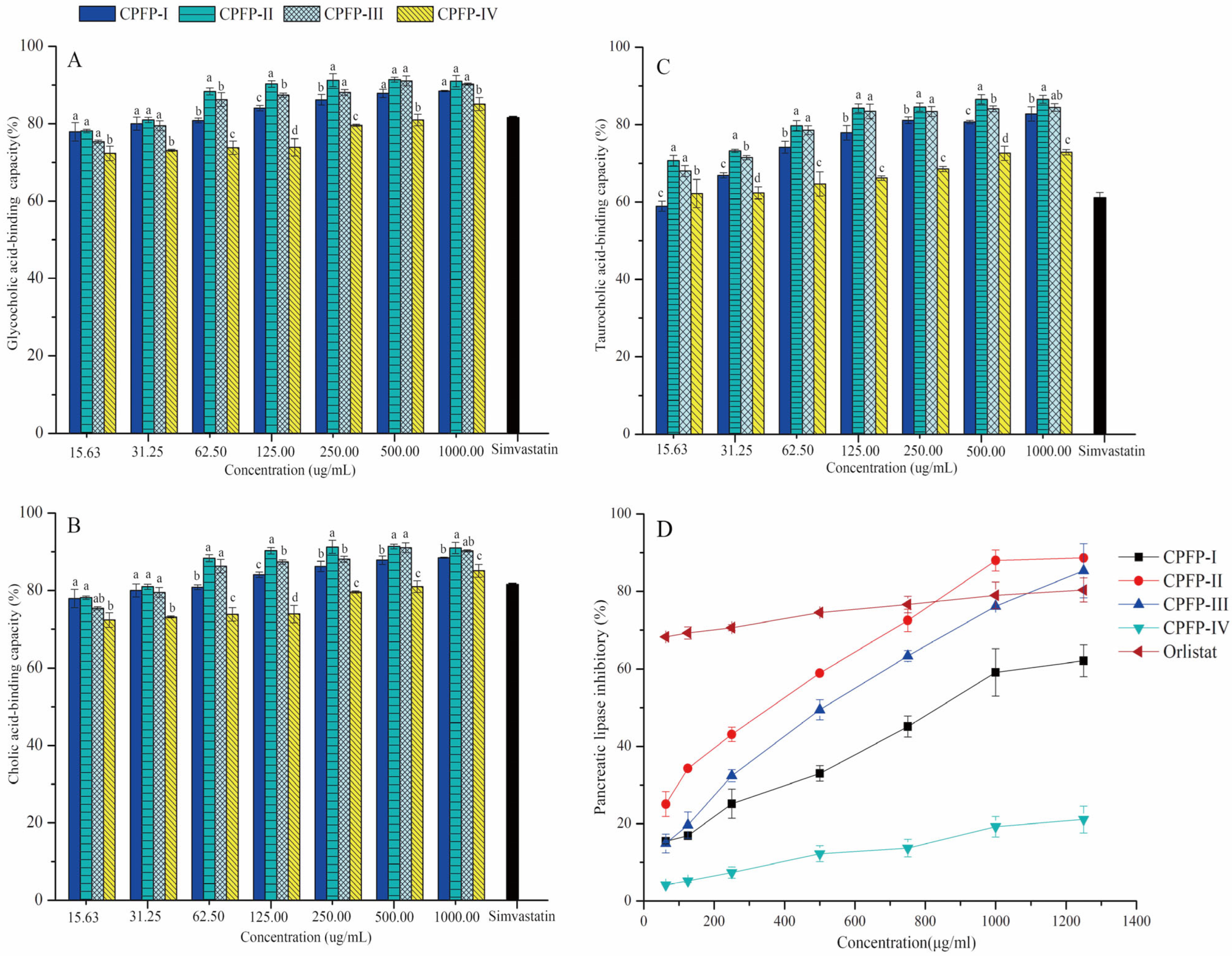
3.4.1. Bile-acid-Binding Capacity
3.4.2. Inhibition of Pancreatic Lipase
3.5. Evaluation of Hypolipidemic Efficacy In Vivo in a C. elegans Model
4. Conclusions
Supplementary Materials
Author Contributions
Funding
Data Availability Statement
Acknowledgments
Conflicts of Interest
References
- Moini Jazani, A.; Karimi, A.; Nasimi Doost Azgomi, R. The potential role of saffron (Crocus sativus L.) and its components in oxidative stress in diabetes mellitus: A systematic review. Clin. Nutr. Espen. 2022, 48, 148–157. [Google Scholar] [CrossRef] [PubMed]
- Song, D.X.; Jiang, J.G. Hypolipidemic components from medicine food homology species used in China: Pharmacological and health effects. Arch. Med. Res. 2018, 48, 569–581. [Google Scholar] [CrossRef] [PubMed]
- Parhofer, K.G. The treatment of disorders of lipid metabolism. Dtsch. Ärzteblatt Int. 2016, 113, 261. [Google Scholar] [CrossRef] [PubMed]
- Feng, L.J.; Yu, C.H.; Ying, K.J.; Hua, J.; Dai, X.Y. Hypolipidemic and antioxidant effects of total flavonoids of Perilla Frutescens leaves in hyperlipidemia rats induced by high-fat diet. Food Res. Int. 2010, 44, 404–409. [Google Scholar] [CrossRef]
- Ning, N.; Han, J.J. Progress on lipids-decreasing components from traditional Chinese medicine. Asia-Pac. Tradit. Med. 2013, 9, 82–86. [Google Scholar]
- Son, I.S.; Kim, J.H.; Sohn, H.Y. Antioxidative and hypolipidemic effects of diosgenin, a steroidal saponin of yam (Dioscorea spp.), on high-cholesterol fed rats. Biosci. Biotechnol. Biochem. 2007, 71, 3063–3071. [Google Scholar] [CrossRef] [PubMed]
- Lin, J.C.; Cen, B.H.; Jiang, W.N.; Liu, P.F.; Liang, Y.L.; Dong, Y.F. Research progress on active ingredients of lipid-lowering chinese traditional medicine. Modern Distance Educ. Chin. Tradit. Med. 2013, 11, 164–165. [Google Scholar]
- Gong, Z.; Gong, L.; Lv, P.Y.; Zhang, J.M.; Zhang, C.Y.; Dong, C.J.; Luo, M.; Zhang, J. The effect of total flavonoids from bergamot on blood lipid and atherosclerosis related risk factors in hyperlipidemia rabbits. Chin. J. Microcirc. 2016, 99, 18–21. [Google Scholar]
- Wang, A.Q.; Gao, R.; Liu, J.H. The effect of teapol on the blood pressure, blood sugar and blood lip-id of rat with left ventricle pachynsis caused by high fat high salt-fructose. Mod. Hosp. 2012, 12, 41–44. [Google Scholar]
- Gutiérrez-Grijalva, E.P.; Zamudio-Sosa, V.E.; Contreras-Angulo, L.A.; Leyva-López, N.; Heredia, J.B. Bioaccessibility of Phenolic Compounds from Mistletoe Infusions and Effect of In Vitro Digestion on Its Antioxidant and Pancreatic Lipase Inhibitory Activity. Foods 2022, 11, 3319. [Google Scholar] [CrossRef]
- Luan, F.; Zeng, J.S.; Yang, Y.; He, X.R.; Wang, B.J.; Gao, Y.B.; Zeng, N. Recent advances in Camellia oleifera Abel: A review of nutritional constituents, biofunctional properties, and potential industrial applications. J. Funct. 2020, 75, 104242. [Google Scholar] [CrossRef]
- Zheng, L.F.; Chen, L.; Li, J.; Liang, L.; Fan, Y.W.; Qiu, L.Y.; Deng, Z.Y. Two kaempferol glycosides separated from Camellia oleifera meal by high-speed countercurrent chromatography and their possible application for antioxidation. J. Food Sci. 2019, 84, 2805–2811. [Google Scholar] [CrossRef] [PubMed]
- Ye, Y.; Guo, Y.; Luo, Y.T. Anti-inflammatory and analgesic activities of a novel biflavonoid from shells of Camellia oleifera. Int. J. Mol. Sci. 2012, 13, 12401–12411. [Google Scholar] [CrossRef]
- Di, T.M.; Yang, S.L.; Du, F.Y.; Zhao, L.; Li, X.H.; Xia, T.; Zhang, X.F. Oleiferasaponin A2, a novel saponin from Camellia oleifera Abel. seeds, inhibits lipid accumulation of HepG2 cells through regulating fatty acid metabolism. Molecules 2018, 23, 3296. [Google Scholar] [CrossRef] [PubMed]
- Xiang, Z.Y.; Xia, C.; Feng, S.L.; Chen, T.; Zhou, L.J.; Liu, L.; Kong, Q.B.; Yang, H.Y.; Ding, C.B. Assessment of free and bound phenolics in the flowers and floral organs of two Camellia species flower and their antioxidant activities. Food Biosci. 2022, 49, 101905. [Google Scholar] [CrossRef]
- Wang, R.F.; Shi, X.; Li, K.K.; Bunker, A.; Li, C.M. Activity and potential mechanisms of action of persimmon tannins according to their structures: A review. Int. J. Biol. Macromol. 2023, 242, 125120. [Google Scholar] [CrossRef] [PubMed]
- Sun, Y.J.; Yang, K.; Zhang, X.; Li, L.F.; Zhang, H.X.; Zhou, L.; Liang, J.; Li, X. In vitro binding capacities, physicochemical properties and structural characteristics of polysaccharides fractionated from Passiflora edulis peel. Food Biosci. 2022, 50, 102016. [Google Scholar] [CrossRef]
- Chen, G.L.; Chen, S.G.; Xiao, Y.; Fu, N.L. Antioxidant capacities and total phenolic contents of 30 flowers. Ind. Crops Prod. 2018, 111, 430–445. [Google Scholar] [CrossRef]
- Hou, M.Y.; Zhang, L.B. Adsorption/desorption characteristics and chromatographic purification of polyphenols from Vernonia patula (Dryand.) Merr. using macroporous adsorption resin. Ind. Crop. Prod. 2021, 170, 113729. [Google Scholar] [CrossRef]
- Lu, R.H.; Qin, C.B.; Yang, F.; Zhang, W.Y.; Zhang, Y.R.; Yang, G.K.; Nie, G.X. Grape seed proanthocyanidin extract ameliorates hepatic lipid accumulation and inflammation in grass carp (Ctenopharyngodon idella). Fish Physiol. Biochem. 2020, 46, 1665–1677. [Google Scholar] [CrossRef]
- Ngoc, T.M.; Hung, T.M.; Thuong, P.T.; Kim, J.C.; Choi, J.S.; Bae, K.; Hattori, M.; Choi, C.S.; Lee, J.S.; Min, B.S. Antioxidative activities of galloyl glucopyranosides from the stem-bark of Juglans mandshurica. Biosci. Biotechnol. Biochem. 2008, 72, 2158–2163. [Google Scholar] [CrossRef] [PubMed]
- Pérez-Jiménez, J.; Arranz, S.; Tabernero, M.; Díaz-Rubio, M.E.; Serrano, J.; Goñi, I.; Saura-Calixto, F. Updated methodology to determine antioxidant capacity in plant foods, oils and beverages: Extraction, measurement and expression of results. Food Res. Int. 2008, 41, 274–285. [Google Scholar] [CrossRef]
- Hu, W.B.; Yang, Z.W.; Wang, W.J. Enzymolysis-ultrasonic assisted extraction of flavanoid from Cyclocarya paliurus (Batal) Iljinskaja: HPLC profile, antimicrobial and antioxidant activity. Ind. Crop Prod. 2019, 130, 615–626. [Google Scholar]
- Hayes, J.E.; Allen, P.; Brunton, N.; O’Grady, M.N.; Kerry, J.P. Phenolic composition and in vitro antioxidant capacity of four commercial phytochemical products: Olive leaf extract (Olea europaea L.), lutein, sesamol and ellagic acid. Food Chem. 2011, 126, 948–955. [Google Scholar] [CrossRef]
- Liu, F.; Ng, T.B. Antioxidative and free radical scavenging activities of selected medicinal herbs. Life Sci. 2000, 66, 725–735. [Google Scholar] [CrossRef] [PubMed]
- Niu, Y.; Xie, Z.; Hao, J.; Yao, W.; Yue, J.; Yu, L. Preparation of succinylated derivatives of psyllium and their physicochemical and bile acid-binding properties. Food Chem. 2012, 132, 1025–1032. [Google Scholar] [CrossRef]
- Lin, J.; Lin-Shiau, S. Mechanisms of hypolipidemic and anti-obesity effects of tea and tea polyphenols. Mol. Nutr. Food Res. 2006, 50, 211–217. [Google Scholar] [CrossRef]
- Naumann, S.; Haller, D.; Eisner, P.; Schweiggert-Weisz, U. Mechanisms of Interactions between Bile Acids and Plant Compounds—A Review. Int. J. Mol. Sci. 2020, 21, 6495. [Google Scholar] [CrossRef] [PubMed]
- Hamauzu, Y.; Suwannachot, J. Non-extractable polyphenols and in vitro bile acid-binding capacity of dried persimmon (Diospyros kaki) fruit. Food Chem. 2019, 293, 127–133. [Google Scholar] [CrossRef]
- Thilavech, T.; Adisakwattana, S. Cyanidin-3-rutinoside acts as a natural inhibitor of intestinal lipid digestion and absorption. BMC Complement. Altern. Med. 2019, 19, 242. [Google Scholar] [CrossRef]
- He, Q.; Lv, Y.; Yao, K. Effects of tea polyphenols on the activities of α-amylase, pepsin, trypsin and lipase. Food Chem. 2007, 101, 1178–1182. [Google Scholar] [CrossRef]
- Fernandes, A.C.F.; Martins, I.M.; Moreira, D.K.T.; Macedo, G.A. Use of agro-industrial residues as potent antioxidant, antiglycation agents, and α-amylase and pancreatic lipase inhibitory activity. J. Food Process Pres. 2020, 44, 14397. [Google Scholar] [CrossRef]
- Cai, S.B.; Wang, O.; Wang, M.Q.; He, J.F.; Wang, Y.; Zhang, D.; Zhou, F.; Ji, B.P. In Vitro Inhibitory Effect on Pancreatic Lipase Activity of Subfractions from Ethanol Extracts of Fermented Oats (Avena sativa L.) and Synergistic Effect of Three Phenolic Acids. J. Agric. Food Chem. 2012, 60, 7245–7251. [Google Scholar] [CrossRef]
- Xu, J.; Wang, W.; Du, M.; He, C.; Du, X. A Comparative Analysis of Inhibitory Effect of Different Levels of Ya’an Tibetan Tea on Lipase. J. Phys. Conf. Ser. 2020, 1549, 032047. [Google Scholar] [CrossRef]
- Brock, T.J.; Browse, J.; Watts, J.L. Fatty acid desaturation and the regulation of adiposity in Caenorhabditis elegans. Genetics 2007, 176, 865–875. [Google Scholar] [CrossRef]
- Mccue, P.; Kwon, Y.; Shetty, K. Anti-diabetic and anti-hypertensive potential of sprouted and solid-state bioprocessed soya beans. Asia Pac. J. Clin. Nutr. 2005, 14, 145–152. [Google Scholar] [PubMed]
- Larissa, T.T.; Ypolyte, W.C.; Armel, T.F.; Gaëlle, M.T.D.; Dieudonné, K. Impact of two processing methods on the antioxidant, hypolipidemic and hypoglycaemic capacities of Irvingia gabonensis (wild mango) almonds. Food Chem. Adv. 2023, 2, 100264. [Google Scholar] [CrossRef]
- Yan, J.; Yang, L.; Bao, N.; Wang, B.; Chen, L.; Lui, J. Luteolin reduces fat storage in Caenorhabditis elegans by promoting the central serotonin pathway. Food Funct. 2020, 11, 730–740. [Google Scholar]




| Mass of Dried Residue (mg) | TPC (mg GAE/g DW) | TFC (mg CE/g DW) | TPAC (mg PB2E/g DW) | |
|---|---|---|---|---|
| CPFP-I | 168.45 ± 35.00 c | 648.41 ± 5.72 c | 322.36 ± 6.23 c | 120.97 ± 11.14 c |
| CPFP-II | 994.50 ± 156.69 a | 909.27 ± 45.83 a | 658.36 ± 56.40 a | 136.81 ± 6.10 b |
| CPFP-III | 674.30 ± 117.38 b | 846.78 ± 17.83 b | 426.14 ± 15.85 b | 175.56 ± 4.16 a |
| CPFP-IV | 163.65 ± 6.01 c | 259.28 ± 4.04 d | 112.51 ± 4.59 d | 53.80 ± 1.70 d |
| CPFP-V | 148.45 ± 11.95 c | 17.43 ± 0.39 e | 7.49 ± 0.42 e | 4.49 ± 0.31 e |
| CPFP | - | 257.77 ± 8.50 d | 153.06 ± 20.08 d | 45.32 ± 0.45 d |
| Phenolic Compounds | CPFP-I | CPFP-II | CPFP-III | CPFP-IV | CPFP-V | CPFP |
|---|---|---|---|---|---|---|
| Gallic acid | 3.03 ± 0.00 a | 1.63 ± 0.00 c | 2.16 ± 0.03 b | - | - | 0.29 ± 0.01 d |
| Procyanidin B1 | 16.24 ± 0.32 a | 1.98 ± 0.03 b | - | - | - | 0.73 ± 0.04 c |
| (+) catechin | 81.35 ± 0.32 a | 21.19 ± 0.13 b | - | - | - | 6.39 ± 0.29 c |
| Procyanidin B2 | 16.52 ± 0.12 b | 73.52 ± 4.92 a | 5.13 ± 0.05 c | - | - | 10.02 ± 0.45 bc |
| Procyanidin B4 | 49.74 ± 0.79 b | 101.58 ± 1.67 a | - | - | - | 20.75 ± 0.87 c |
| Epicatechin | 37.58 ± 1.26 b | 143.26 ± 3.04 a | 4.08 ± 0.07 d | - | - | 26.51 ± 1.18 c |
| Procyanidin C1 | 2.13 ± 0.03 d | 44.95 ± 1.20 a | 12.56 ± 0.63 b | - | - | 10.53 ± 0.48 c |
| Rutin | - | - | 3.10 ± 0.05 a | 0.59 ± 0.05 b | - | 0.37 ± 0.02 c |
| Isoquercitrin | - | - | 3.08 ± 0.08 a | 2.33 ± 0.10 b | - | 0.36 ± 0.02 c |
| 1,2,3,6-Tetragalloylglucose | 15.64 ± 0.34 b | 43.69 ± 0.77 a | 7.97 ± 0.23 c | |||
| Kaempferol-3-O-rutinoside | - | - | 3.77 ± 0.18 b | 6.63 ± 0.20 a | - | 0.53 ± 0.03 c |
| Astragaline | - | - | 0.92 ± 0.01 b | 4.26 ± 0.17 a | - | 0.25 ± 0.02 c |
| Quercitrin | - | - | 4.49 ± 0.08 b | 16.06 ± 1.32 a | - | 1.13 ± 0.10 c |
| Afzelin | 0.21 ± 0.01 c | 36.21 ± 0.09 a | - | 1.32 ± 0.06 b |
Disclaimer/Publisher’s Note: The statements, opinions and data contained in all publications are solely those of the individual author(s) and contributor(s) and not of MDPI and/or the editor(s). MDPI and/or the editor(s) disclaim responsibility for any injury to people or property resulting from any ideas, methods, instructions or products referred to in the content. |
© 2024 by the authors. Licensee MDPI, Basel, Switzerland. This article is an open access article distributed under the terms and conditions of the Creative Commons Attribution (CC BY) license (https://creativecommons.org/licenses/by/4.0/).
Share and Cite
Xiang, Z.; Liu, L.; Xu, Z.; Kong, Q.; Liang, H.; Feng, S.; Chen, T.; Zhou, L.; Yang, H.; Ding, C. Purification of Phenolic Compounds from Camellia polyodonta Flower: Composition Analysis, Antioxidant Property, and Hypolipidemic Activity In Vitro and In Vivo. Antioxidants 2024, 13, 662. https://doi.org/10.3390/antiox13060662
Xiang Z, Liu L, Xu Z, Kong Q, Liang H, Feng S, Chen T, Zhou L, Yang H, Ding C. Purification of Phenolic Compounds from Camellia polyodonta Flower: Composition Analysis, Antioxidant Property, and Hypolipidemic Activity In Vitro and In Vivo. Antioxidants. 2024; 13(6):662. https://doi.org/10.3390/antiox13060662
Chicago/Turabian StyleXiang, Zhuoya, Li Liu, Zhou Xu, Qingbo Kong, Heng Liang, Shiling Feng, Tao Chen, Lijun Zhou, Hongyu Yang, and Chunbang Ding. 2024. "Purification of Phenolic Compounds from Camellia polyodonta Flower: Composition Analysis, Antioxidant Property, and Hypolipidemic Activity In Vitro and In Vivo" Antioxidants 13, no. 6: 662. https://doi.org/10.3390/antiox13060662
APA StyleXiang, Z., Liu, L., Xu, Z., Kong, Q., Liang, H., Feng, S., Chen, T., Zhou, L., Yang, H., & Ding, C. (2024). Purification of Phenolic Compounds from Camellia polyodonta Flower: Composition Analysis, Antioxidant Property, and Hypolipidemic Activity In Vitro and In Vivo. Antioxidants, 13(6), 662. https://doi.org/10.3390/antiox13060662

