Advanced Oxidation Protein Products Are Strongly Associated with the Serum Levels and Lipid Contents of Lipoprotein Subclasses in Healthy Volunteers and Patients with Metabolic Syndrome
Abstract
1. Introduction
2. Materials and Methods
2.1. Study Design, Participants, and Laboratory Procedures
2.2. Lipoprotein Profiling Using Nuclear Magnetic Resonance (NMR) Spectroscopy
2.3. Calculation of the Lipid Content of Lipoprotein Particles
2.4. Quantification of AOPPs
2.5. Statistical Analyses
3. Results
3.1. Patient Characteristics, Laboratory Data, and Serum Levels of AOPPs in HVs and Patients with MS
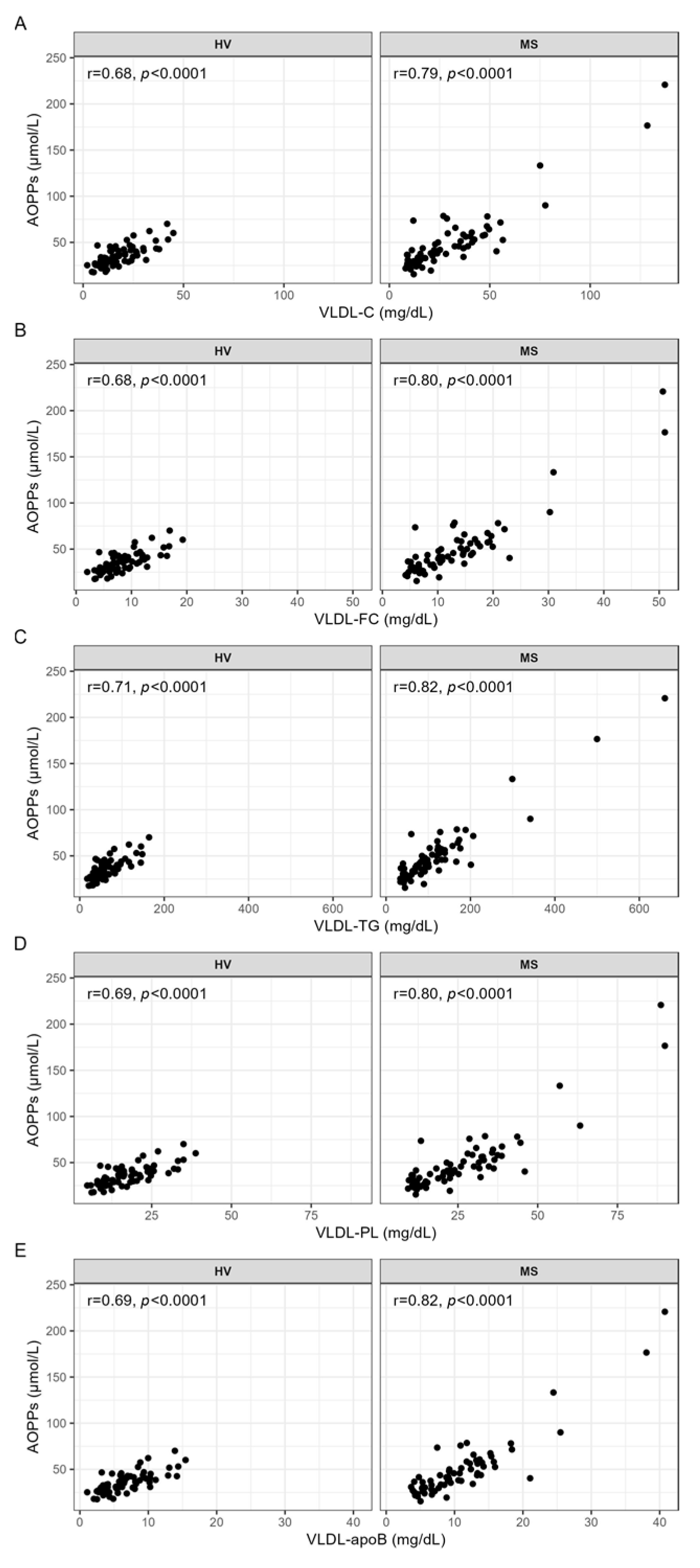
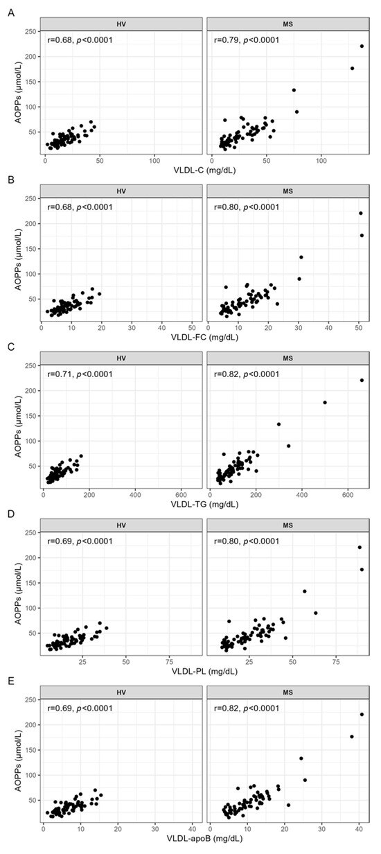
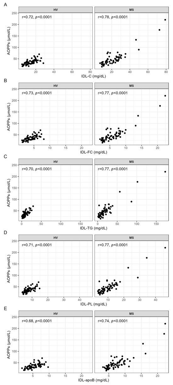
3.2. Correlation Analyses between AOPPs and the Serum Levels and Lipid Contents of VLDL
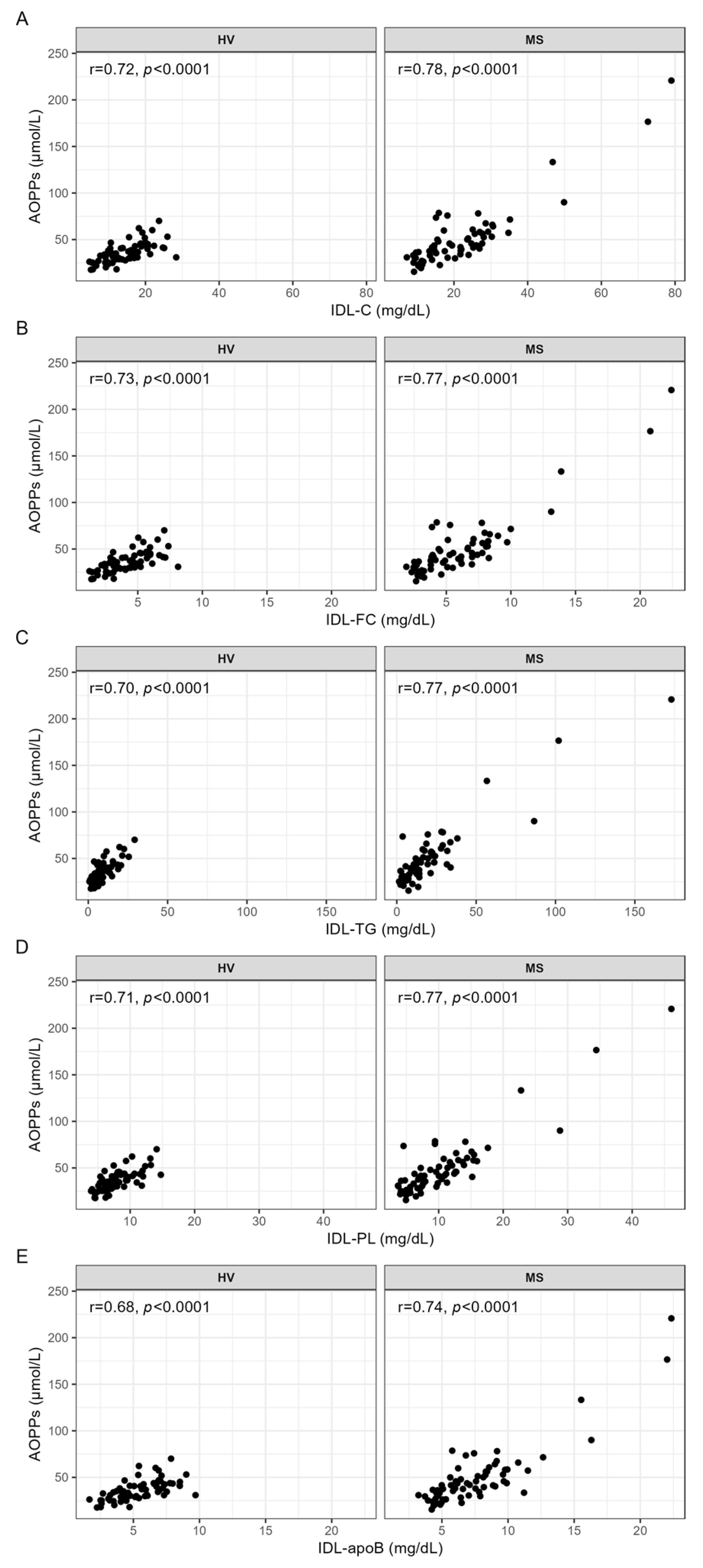
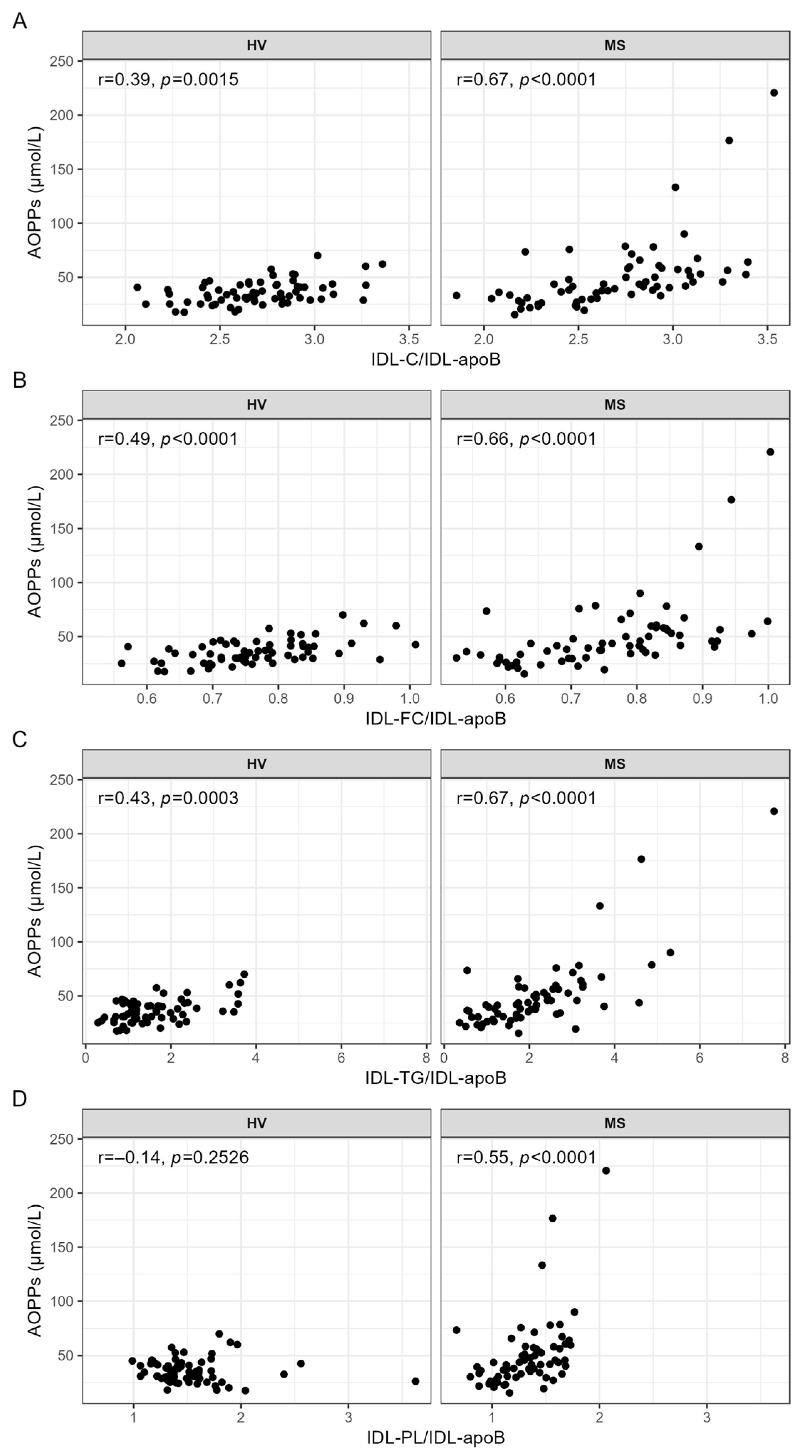
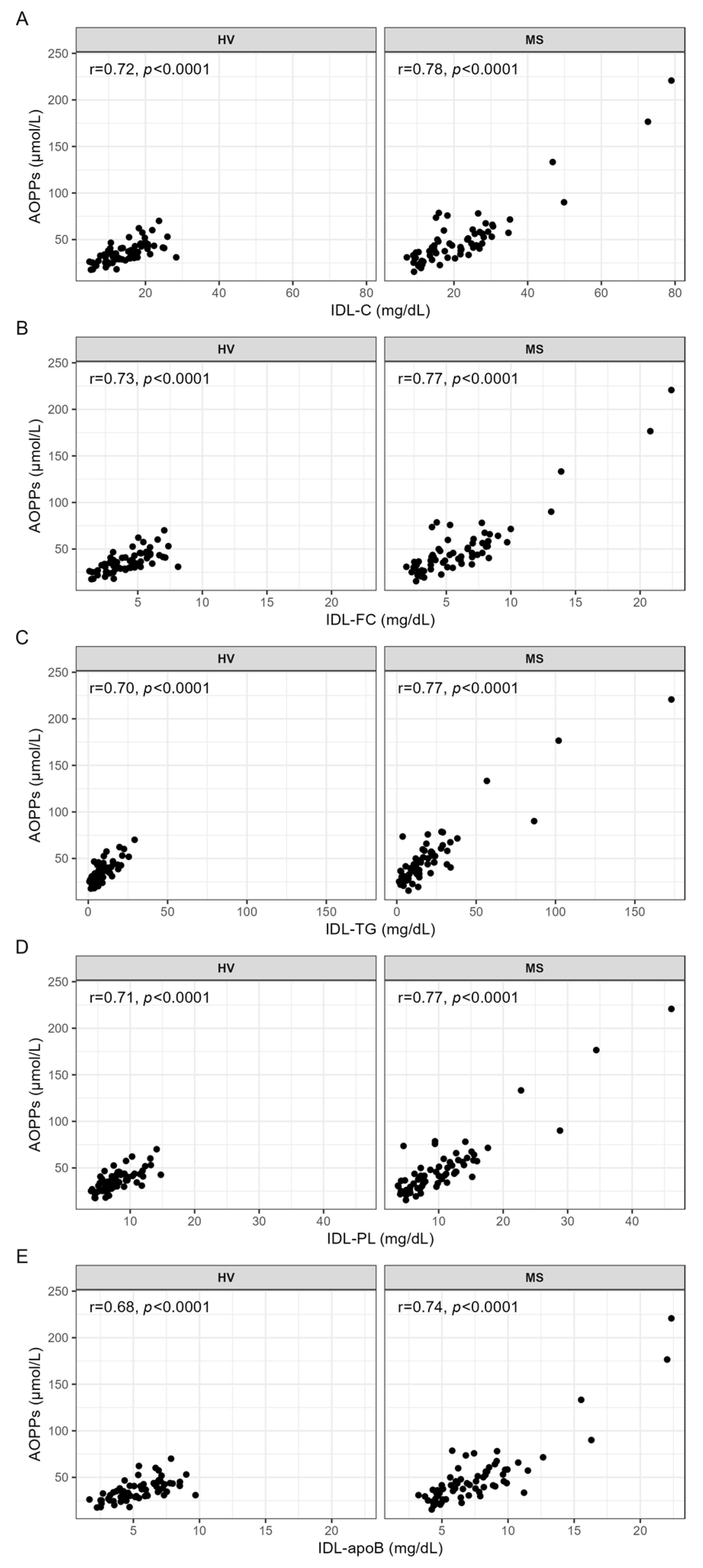
3.3. Correlation Analyses between AOPPs and the Serum Levels and Lipid Contents of IDL
3.4. Correlation Analyses between AOPPs and the Serum Levels of LDL
3.5. Correlation Analyses between AOPPs and the Lipid Content of LDL
3.6. Correlation Analyses between AOPPs and the Serum Levels of HDL
3.7. Correlation Analyses between AOPPs and the Lipid Contents of HDL Particles
3.8. Relative Contributions of Lipoprotein Parameters to Low and High AOPPs in HVs and Patients with MS
4. Discussion
5. Conclusions
Supplementary Materials
Author Contributions
Funding
Institutional Review Board Statement
Informed Consent Statement
Data Availability Statement
Conflicts of Interest
References
- Alberti, K.G.; Eckel, R.H.; Grundy, S.M.; Zimmet, P.Z.; Cleeman, J.I.; Donato, K.A.; Fruchart, J.C.; James, W.P.; Loria, C.M.; Smith, S.C., Jr.; et al. Harmonizing the metabolic syndrome: A joint interim statement of the International Diabetes Federation Task Force on Epidemiology and Prevention; National Heart, Lung, and Blood Institute; American Heart Association; World Heart Federation; International Atherosclerosis Society; and International Association for the Study of Obesity. Circulation 2009, 120, 1640–1645. [Google Scholar] [PubMed]
- Ford, E.S.; Mokdad, A.H.; Giles, W.H.; Brown, D.W. The metabolic syndrome and antioxidant concentrations: Findings from the Third National Health and Nutrition Examination Survey. Diabetes 2003, 52, 2346–2352. [Google Scholar] [CrossRef] [PubMed]
- Masenga, S.K.; Kabwe, L.S.; Chakulya, M.; Kirabo, A. Mechanisms of Oxidative Stress in Metabolic Syndrome. Int. J. Mol. Sci. 2023, 24, 7898. [Google Scholar] [CrossRef]
- Monserrat-Mesquida, M.; Quetglas-Llabres, M.; Capo, X.; Bouzas, C.; Mateos, D.; Pons, A.; Tur, J.A.; Sureda, A. Metabolic Syndrome is Associated with Oxidative Stress and Proinflammatory State. Antioxidants 2020, 9, 236. [Google Scholar] [CrossRef] [PubMed]
- Roberts, C.K.; Sindhu, K.K. Oxidative stress and metabolic syndrome. Life Sci. 2009, 84, 705–712. [Google Scholar] [CrossRef] [PubMed]
- Colak, E.; Pap, D. The role of oxidative stress in the development of obesity and obesity-related metabolic disorders. J. Med. Biochem. 2021, 40, 1. [Google Scholar] [CrossRef] [PubMed]
- Venturini, D.; Simao, A.N.; Dichi, I. Advanced oxidation protein products are more related to metabolic syndrome components than biomarkers of lipid peroxidation. Nutr. Res. 2015, 35, 759–765. [Google Scholar] [CrossRef]
- Zurawska-Plaksej, E.; Grzebyk, E.; Marciniak, D.; Szymanska-Chabowska, A.; Piwowar, A. Oxidatively modified forms of albumin in patients with risk factors of metabolic syndrome. J. Endocrinol. Investig. 2014, 37, 819–827. [Google Scholar] [CrossRef]
- Sebekova, K.; Boor, P.; Valachovicova, M.; Blazicek, P.; Parrak, V.; Babinska, K.; Heidland, A.; Krajcovicova-Kudlackova, M. Association of metabolic syndrome risk factors with selected markers of oxidative status and microinflammation in healthy omnivores and vegetarians. Mol. Nutr. Food Res. 2006, 50, 858–868. [Google Scholar] [CrossRef]
- Selmeci, L. Advanced oxidation protein products (AOPP): Novel uremic toxins, or components of the non-enzymatic antioxidant system of the plasma proteome? Free Radic. Res. 2011, 45, 1115–1123. [Google Scholar] [CrossRef]
- Ou, H.; Huang, Z.; Mo, Z.; Xiao, J. The Characteristics and Roles of Advanced Oxidation Protein Products in Atherosclerosis. Cardiovasc. Toxicol. 2017, 17, 1–12. [Google Scholar] [CrossRef] [PubMed]
- Piwowar, A. Advanced oxidation protein products. Part II. The significance of oxidation protein products in the pathomechanism of diabetes and its complications. Pol. Merkur. Lek. 2010, 28, 227–230. [Google Scholar]
- Selmeci, L.; Szekely, M.; Soos, P.; Seres, L.; Klinga, N.; Geiger, A.; Acsady, G. Human blood plasma advanced oxidation protein products (AOPP) correlates with fibrinogen levels. Free Radic. Res. 2006, 40, 952–958. [Google Scholar] [CrossRef]
- Bochi, G.V.; Torbitz, V.D.; de Campos, L.P.; Sangoi, M.B.; Fernandes, N.F.; Gomes, P.; Moretto, M.B.; Barbisan, F.; da Cruz, I.B.; Moresco, R.N. In Vitro Oxidation of Collagen Promotes the Formation of Advanced Oxidation Protein Products and the Activation of Human Neutrophils. Inflammation 2016, 39, 916–927. [Google Scholar] [CrossRef] [PubMed]
- Witko-Sarsat, V.; Friedlander, M.; Capeillere-Blandin, C.; Nguyen-Khoa, T.; Nguyen, A.T.; Zingraff, J.; Jungers, P.; Descamps-Latscha, B. Advanced oxidation protein products as a novel marker of oxidative stress in uremia. Kidney Int. 1996, 49, 1304–1313. [Google Scholar] [CrossRef] [PubMed]
- Liu, S.X.; Hou, F.F.; Guo, Z.J.; Nagai, R.; Zhang, W.R.; Liu, Z.Q.; Zhou, Z.M.; Zhou, M.; Xie, D.; Wang, G.B.; et al. Advanced oxidation protein products accelerate atherosclerosis through promoting oxidative stress and inflammation. Arterioscler. Thromb. Vasc. Biol. 2006, 26, 1156–1162. [Google Scholar] [CrossRef] [PubMed]
- Liang, M.; Wang, J.; Xie, C.; Yang, Y.; Tian, J.W.; Xue, Y.M.; Hou, F.F. Increased plasma advanced oxidation protein products is an early marker of endothelial dysfunction in type 2 diabetes patients without albuminuria 2. J. Diabetes 2014, 6, 417–426. [Google Scholar] [CrossRef]
- Skvarilova, M.; Bulava, A.; Stejskal, D.; Adamovska, S.; Bartek, J. Increased level of advanced oxidation products (AOPP) as a marker of oxidative stress in patients with acute coronary syndrome. Biomed. Pap. Med. Fac. Univ. Palacky Olomouc Czech Repub. 2005, 149, 83–87. [Google Scholar] [CrossRef]
- Zhao, Y.; Zhang, L.; Ouyang, X.; Jiang, Z.; Xie, Z.; Fan, L.; Zhu, D.; Li, L. Advanced oxidation protein products play critical roles in liver diseases. Eur. J. Clin. Investig. 2019, 49, e13098. [Google Scholar] [CrossRef]
- Chen, S.; Liu, L.; Sun, X.; Liu, Y.; Song, T. Captopril restores endothelium-dependent relaxation induced by advanced oxidation protein products in rat aorta. J. Cardiovasc. Pharmacol. 2005, 46, 803–809. [Google Scholar] [CrossRef]
- Yuan, F.; Liu, S.X.; Tian, J.W. Advanced oxidation protein products induce reactive oxygen species production in endothelial cells. Di Yi Jun Yi Da Xue Xue Bao 2004, 24, 1350–1352. [Google Scholar]
- Marsche, G.; Frank, S.; Hrzenjak, A.; Holzer, M.; Dirnberger, S.; Wadsack, C.; Scharnagl, H.; Stojakovic, T.; Heinemann, A.; Oettl, K. Plasma-advanced oxidation protein products are potent high-density lipoprotein receptor antagonists in vivo. Circ. Res. 2009, 104, 750–757. [Google Scholar] [CrossRef] [PubMed]
- Codoner-Franch, P.; Tavarez-Alonso, S.; Murria-Estal, R.; Tortajada-Girbes, M.; Simo-Jorda, R.; Alonso-Iglesias, E. Elevated advanced oxidation protein products (AOPPs) indicate metabolic risk in severely obese children. Nutr. Metab. Cardiovasc. Dis. 2012, 22, 237–243. [Google Scholar] [CrossRef]
- Morelli, N.R.; Scavuzzi, B.M.; Miglioranza, L.; Lozovoy, M.A.B.; Simao, A.N.C.; Dichi, I. Metabolic syndrome components are associated with oxidative stress in overweight and obese patients. Arch. Endocrinol. Metab. 2018, 62, 309–318. [Google Scholar] [CrossRef] [PubMed]
- Klobucar, I.; Klobucar, L.; Lechleitner, M.; Trbusic, M.; Pregartner, G.; Berghold, A.; Habisch, H.; Madl, T.; Frank, S.; Degoricija, V. Associations between Endothelial Lipase and Apolipoprotein B-Containing Lipoproteins Differ in Healthy Volunteers and Metabolic Syndrome Patients. Int. J. Mol. Sci. 2023, 24, 10681. [Google Scholar] [CrossRef]
- Klobucar, I.; Stadler, J.T.; Klobucar, L.; Lechleitner, M.; Trbusic, M.; Pregartner, G.; Berghold, A.; Habisch, H.; Madl, T.; Marsche, G.; et al. Associations between Endothelial Lipase, High-Density Lipoprotein, and Endothelial Function Differ in Healthy Volunteers and Metabolic Syndrome Patients. Int. J. Mol. Sci. 2023, 24, 2073. [Google Scholar] [CrossRef] [PubMed]
- World Medical, A. World Medical Association Declaration of Helsinki: Ethical principles for medical research involving human subjects. JAMA 2013, 310, 2191–2194. [Google Scholar]
- Klobucar, I.; Degoricija, V.; Potocnjak, I.; Trbusic, M.; Pregartner, G.; Berghold, A.; Fritz-Petrin, E.; Habisch, H.; Madl, T.; Frank, S. HDL-apoA-II Is Strongly Associated with 1-Year Mortality in Acute Heart Failure Patients. Biomedicines 2022, 10, 1668. [Google Scholar] [CrossRef]
- Schilcher, I.; Stadler, J.T.; Lechleitner, M.; Hrzenjak, A.; Berghold, A.; Pregartner, G.; Lhomme, M.; Holzer, M.; Korbelius, M.; Reichmann, F.; et al. Endothelial Lipase Modulates Paraoxonase 1 Content and Arylesterase Activity of HDL. Int. J. Mol. Sci. 2021, 22, 719. [Google Scholar] [CrossRef]
- Bagyura, Z.; Takacs, A.; Kiss, L.; Dosa, E.; Vadas, R.; Nguyen, T.D.; Dinya, E.; Soos, P.; Szelid, Z.; Lang, O.; et al. Level of advanced oxidation protein products is associated with subclinical atherosclerosis. BMC Cardiovasc. Disord. 2022, 22, 5. [Google Scholar] [CrossRef]
- Maher, A.D.; Crockford, D.; Toft, H.; Malmodin, D.; Faber, J.H.; McCarthy, M.I.; Barrett, A.; Allen, M.; Walker, M.; Holmes, E.; et al. Optimization of human plasma 1H NMR spectroscopic data processing for high-throughput metabolic phenotyping studies and detection of insulin resistance related to type 2 diabetes. Anal. Chem. 2008, 80, 7354–7362. [Google Scholar] [CrossRef]
- Blaise, B.J.; Correia, G.D.S.; Haggart, G.A.; Surowiec, I.; Sands, C.; Lewis, M.R.; Pearce, J.T.M.; Trygg, J.; Nicholson, J.K.; Holmes, E.; et al. Statistical analysis in metabolic phenotyping. Nat. Protoc. 2021, 16, 4299–4326. [Google Scholar] [CrossRef] [PubMed]
- Pang, Z.; Chong, J.; Zhou, G.; de Lima Morais, D.A.; Chang, L.; Barrette, M.; Gauthier, C.; Jacques, P.E.; Li, S.; Xia, J. MetaboAnalyst 5.0: Narrowing the gap between raw spectra and functional insights. Nucleic Acids Res. 2021, 49, W388–W396. [Google Scholar] [CrossRef]
- Ginsberg, H.N.; Packard, C.J.; Chapman, M.J.; Boren, J.; Aguilar-Salinas, C.A.; Averna, M.; Ference, B.A.; Gaudet, D.; Hegele, R.A.; Kersten, S.; et al. Triglyceride-rich lipoproteins and their remnants: Metabolic insights, role in atherosclerotic cardiovascular disease, and emerging therapeutic strategies-a consensus statement from the European Atherosclerosis Society. Eur. Heart J. 2021, 42, 4791–4806. [Google Scholar] [CrossRef] [PubMed]
- Tribble, D.L.; Krauss, R.M.; Lansberg, M.G.; Thiel, P.M.; van den Berg, J.J. Greater oxidative susceptibility of the surface monolayer in small dense LDL may contribute to differences in copper-induced oxidation among LDL density subfractions. J. Lipid Res. 1995, 36, 662–671. [Google Scholar] [CrossRef]
- Tribble, D.L.; Rizzo, M.; Chait, A.; Lewis, D.M.; Blanche, P.J.; Krauss, R.M. Enhanced oxidative susceptibility and reduced antioxidant content of metabolic precursors of small, dense low-density lipoproteins. Am. J. Med. 2001, 110, 103–110. [Google Scholar] [CrossRef] [PubMed]
- Kontush, A.; Hubner, C.; Finckh, B.; Kohlschutter, A.; Beisiegel, U. How different constituents of low density lipoprotein determine its oxidizability by copper: A correlational approach. Free Radic. Res. 1996, 24, 135–147. [Google Scholar] [CrossRef]
- Boren, J.; Chapman, M.J.; Krauss, R.M.; Packard, C.J.; Bentzon, J.F.; Binder, C.J.; Daemen, M.J.; Demer, L.L.; Hegele, R.A.; Nicholls, S.J.; et al. Low-density lipoproteins cause atherosclerotic cardiovascular disease: Pathophysiological, genetic, and therapeutic insights: A consensus statement from the European Atherosclerosis Society Consensus Panel. Eur. Heart J. 2020, 41, 2313–2330. [Google Scholar] [CrossRef]
- De Graaf, J.; Hak-Lemmers, H.L.; Hectors, M.P.; Demacker, P.N.; Hendriks, J.C.; Stalenhoef, A.F. Enhanced susceptibility to in vitro oxidation of the dense low density lipoprotein subfraction in healthy subjects. Arterioscler. Thromb. 1991, 11, 298–306. [Google Scholar] [CrossRef]
- Tribble, D.L.; Holl, L.G.; Wood, P.D.; Krauss, R.M. Variations in oxidative susceptibility among six low density lipoprotein subfractions of differing density and particle size. Atherosclerosis 1992, 93, 189–199. [Google Scholar] [CrossRef]
- Tribble, D.L.; van den Berg, J.J.; Motchnik, P.A.; Ames, B.N.; Lewis, D.M.; Chait, A.; Krauss, R.M. Oxidative susceptibility of low density lipoprotein subfractions is related to their ubiquinol-10 and alpha-tocopherol content. Proc. Natl. Acad. Sci. USA 1994, 91, 1183–1187. [Google Scholar] [CrossRef] [PubMed]
- Karlsson, H.; Kontush, A.; James, R.W. Functionality of HDL: Antioxidation and detoxifying effects. Handb. Exp. Pharmacol. 2015, 224, 207–228. [Google Scholar]
- Soran, H.; Schofield, J.D.; Durrington, P.N. Antioxidant properties of HDL. Front. Pharmacol. 2015, 6, 222. [Google Scholar] [CrossRef]
- Kontush, A.; Chantepie, S.; Chapman, M.J. Small, dense HDL particles exert potent protection of atherogenic LDL against oxidative stress. Arterioscler. Thromb. Vasc. Biol. 2003, 23, 1881–1888. [Google Scholar] [CrossRef] [PubMed]
- Kontush, A.; Therond, P.; Zerrad, A.; Couturier, M.; Negre-Salvayre, A.; de Souza, J.A.; Chantepie, S.; Chapman, M.J. Preferential sphingosine-1-phosphate enrichment and sphingomyelin depletion are key features of small dense HDL3 particles: Relevance to antiapoptotic and antioxidative activities. Arterioscler. Thromb. Vasc. Biol. 2007, 27, 1843–1849. [Google Scholar] [CrossRef]
- Hansel, B.; Giral, P.; Nobecourt, E.; Chantepie, S.; Bruckert, E.; Chapman, M.J.; Kontush, A. Metabolic syndrome is associated with elevated oxidative stress and dysfunctional dense high-density lipoprotein particles displaying impaired antioxidative activity. J. Clin. Endocrinol. Metab. 2004, 89, 4963–4971. [Google Scholar] [CrossRef] [PubMed]
- Camont, L.; Lhomme, M.; Rached, F.; Le Goff, W.; Negre-Salvayre, A.; Salvayre, R.; Calzada, C.; Lagarde, M.; Chapman, M.J.; Kontush, A. Small, dense high-density lipoprotein-3 particles are enriched in negatively charged phospholipids: Relevance to cellular cholesterol efflux, antioxidative, antithrombotic, anti-inflammatory, and antiapoptotic functionalities. Arterioscler. Thromb. Vasc. Biol. 2013, 33, 2715–2723. [Google Scholar] [CrossRef]
- Stadler, J.T.; Marsche, G. Dietary Strategies to Improve Cardiovascular Health: Focus on Increasing High-Density Lipoprotein Functionality. Front. Nutr. 2021, 8, 761170. [Google Scholar] [CrossRef]
- Stadler, J.T.; van Poppel, M.N.M.; Christoffersen, C.; Hill, D.; Wadsack, C.; Simmons, D.; Desoye, G.; Marsche, G.; Dali Core Investigator Group. Gestational Hypertension and High-Density Lipoprotein Function: An Explorative Study in Overweight/Obese Women of the DALI Cohort. Antioxidants 2022, 12, 68. [Google Scholar] [CrossRef]
- Stadler, J.T.; Marsche, G. Obesity-Related Changes in High-Density Lipoprotein Metabolism and Function. Int. J. Mol. Sci. 2020, 21, 8985. [Google Scholar] [CrossRef]
- Stadler, J.T.; Lackner, S.; Morkl, S.; Trakaki, A.; Scharnagl, H.; Borenich, A.; Wonisch, W.; Mangge, H.; Zelzer, S.; Meier-Allard, N.; et al. Obesity Affects HDL Metabolism, Composition and Subclass Distribution. Biomedicines 2021, 9, 242. [Google Scholar] [CrossRef] [PubMed]
- Nobecourt, E.; Jacqueminet, S.; Hansel, B.; Chantepie, S.; Grimaldi, A.; Chapman, M.J.; Kontush, A. Defective antioxidative activity of small dense HDL3 particles in type 2 diabetes: Relationship to elevated oxidative stress and hyperglycaemia. Diabetologia 2005, 48, 529–538. [Google Scholar] [CrossRef] [PubMed]
- Kontush, A.; de Faria, E.C.; Chantepie, S.; Chapman, M.J. A normotriglyceridemic, low HDL-cholesterol phenotype is characterised by elevated oxidative stress and HDL particles with attenuated antioxidative activity. Atherosclerosis 2005, 182, 277–285. [Google Scholar] [CrossRef] [PubMed]
- Schilcher, I.; Ledinski, G.; Radulovic, S.; Hallstrom, S.; Eichmann, T.; Madl, T.; Zhang, F.; Leitinger, G.; Kolb-Lenz, D.; Darnhofer, B.; et al. Endothelial lipase increases antioxidative capacity of high-density lipoprotein. Biochim. Biophys. Acta Mol. Cell Biol. Lipids 2019, 1864, 1363–1374. [Google Scholar] [CrossRef]
- James, R.W.; Hochstrasser, D.; Tissot, J.D.; Funk, M.; Appel, R.; Barja, F.; Pellegrini, C.; Muller, A.F.; Pometta, D. Protein heterogeneity of lipoprotein particles containing apolipoprotein A-I without apolipoprotein A-II and apolipoprotein A-I with apolipoprotein A-II isolated from human plasma. J. Lipid Res. 1988, 29, 1557–1571. [Google Scholar] [CrossRef]
- Rosenson, R.S.; Brewer, H.B., Jr.; Chapman, M.J.; Fazio, S.; Hussain, M.M.; Kontush, A.; Krauss, R.M.; Otvos, J.D.; Remaley, A.T.; Schaefer, E.J. HDL measures, particle heterogeneity, proposed nomenclature, and relation to atherosclerotic cardiovascular events. Clin. Chem. 2011, 57, 392–410. [Google Scholar] [CrossRef]
- Miljkovic, M.; Stefanovic, A.; Simic-Ogrizovic, S.; Vekic, J.; Bogavac-Stanojevic, N.; Cerne, D.; Kocbek, P.; Marc, J.; Jelic-Ivanovic, Z.; Spasojevic-Kalimanovska, V.; et al. Association of Dyslipidemia, Oxidative Stress, and Inflammation With Redox Status in VLDL, LDL, and HDL Lipoproteins in Patients With Renal Disease. Angiology 2018, 69, 861–870. [Google Scholar] [CrossRef]





| AOPPs (μmol/L) | ||||
|---|---|---|---|---|
| HV (N = 65) | MS (N = 65) | |||
| Variable (mg/dL) | r | p | r | p |
| LDL-C | 0.26 | 0.0395 | 0.04 | 0.7305 |
| LDL1-C | −0.03 | 0.8415 | 0.00 | 0.9841 |
| LDL2-C | −0.30 | 0.0152 | −0.30 | 0.0156 |
| LDL3-C | −0.08 | 0.5151 | −0.29 | 0.0181 |
| LDL4-C | 0.39 | 0.0011 | −0.15 | 0.2323 |
| LDL5-C | 0.55 | <0.0001 | 0.23 | 0.0658 |
| LDL6-C | 0.46 | 0.0001 | 0.72 | <0.0001 |
| LDL-FC | 0.14 | 0.2657 | −0.06 | 0.6482 |
| LDL1-FC | 0.00 | 0.9920 | 0.07 | 0.5599 |
| LDL2-FC | −0.33 | 0.0074 | −0.23 | 0.0632 |
| LDL3-FC | −0.22 | 0.0835 | −0.27 | 0.0288 |
| LDL4-FC | 0.27 | 0.0311 | −0.17 | 0.1678 |
| LDL5-FC | 0.48 | 0.0001 | 0.16 | 0.1947 |
| LDL6-FC | 0.36 | 0.0032 | 0.70 | <0.0001 |
| LDL-TG | 0.53 | <0.0001 | 0.65 | <0.0001 |
| LDL1-TG | 0.41 | 0.0008 | 0.55 | <0.0001 |
| LDL2-TG | 0.12 | 0.3380 | 0.22 | 0.0732 |
| LDL3-TG | 0.00 | 0.9866 | −0.07 | 0.5641 |
| LDL4-TG | 0.49 | <0.0001 | 0.26 | 0.0335 |
| LDL5-TG | 0.58 | <0.0001 | 0.63 | <0.0001 |
| LDL6-TG | 0.33 | 0.0077 | 0.71 | <0.0001 |
| LDL-PL | 0.23 | 0.0604 | −0.02 | 0.8738 |
| LDL1-PL | −0.02 | 0.8717 | −0.02 | 0.8937 |
| LDL2-PL | −0.30 | 0.0136 | −0.34 | 0.0053 |
| LDL3-PL | −0.10 | 0.4451 | −0.31 | 0.0117 |
| LDL4-PL | 0.40 | 0.0008 | −0.14 | 0.2602 |
| LDL5-PL | 0.54 | <0.0001 | 0.20 | 0.1044 |
| LDL6-PL | 0.39 | 0.0012 | 0.70 | <0.0001 |
| LDL-apoB | 0.41 | 0.0007 | 0.33 | 0.0084 |
| LDL1-apoB | 0.00 | 0.9700 | 0.06 | 0.6062 |
| LDL2-apoB | −0.23 | 0.0660 | −0.21 | 0.0912 |
| LDL3-apoB | −0.02 | 0.8483 | −0.25 | 0.0480 |
| LDL4-apoB | 0.47 | 0.0001 | −0.05 | 0.6826 |
| LDL5-apoB | 0.58 | <0.0001 | 0.34 | 0.0056 |
| LDL6-apoB | 0.52 | <0.0001 | 0.76 | <0.0001 |
| AOPPs (μmol/L) | ||||
|---|---|---|---|---|
| HV (N = 65) | MS (N = 65) | |||
| r | p | r | p | |
| LDL-C/LDL-apoB | −0.49 | <0.0001 | −0.65 | <0.0001 |
| LDL1-C/LDL1-apoB | −0.14 | 0.2666 | −0.19 | 0.1236 |
| LDL2-C/LDL2-apoB | −0.51 | <0.0001 | −0.39 | 0.0016 |
| LDL3-C/LDL3-apoB | −0.39 | 0.0015 | −0.47 | 0.0001 |
| LDL4-C/LDL4-apoB | −0.37 | 0.0025 | −0.51 | <0.0001 |
| LDL5-C/LDL5-apoB | −0.24 | 0.0535 | −0.44 | 0.0003 |
| LDL6-C/LDL6-apoB | −0.27 | 0.0266 | −0.40 | 0.0011 |
| LDL-FC/LDL-apoB | −0.63 | <0.0001 | −0.71 | <0.0001 |
| LDL1-FC/LDL1-apoB | −0.12 | 0.3373 | −0.15 | 0.2379 |
| LDL2-FC/LDL2-apoB | −0.33 | 0.0081 | −0.06 | 0.6157 |
| LDL3-FC/LDL3-apoB | −0.48 | <0.0001 | −0.12 | 0.3210 |
| LDL4-FC/LDL4-apoB | −0.60 | <0.0001 | −0.31 | 0.0146 |
| LDL5-FC/LDL5-apoB | −0.68 | <0.0001 | −0.76 | <0.0001 |
| LDL6-FC/LDL6-apoB | −0.54 | <0.0001 | −0.75 | <0.0001 |
| LDL-TG/LDL-apoB | 0.28 | 0.0227 | 0.39 | 0.0016 |
| LDL1-TG/LDL1-apoB | 0.53 | <0.0001 | 0.51 | <0.0001 |
| LDL2-TG/LDL2-apoB | 0.42 | 0.0005 | 0.43 | 0.0005 |
| LDL3-TG/LDL3-apoB | −0.06 | 0.6281 | 0.30 | 0.0147 |
| LDL4-TG/LDL4-apoB | 0.21 | 0.0924 | 0.36 | 0.0038 |
| LDL5-TG/LDL5-apoB | 0.17 | 0.1756 | 0.48 | 0.0001 |
| LDL6-TG/LDL6-apoB | −0.30 | 0.0164 | −0.22 | 0.0772 |
| LDL-PL/LDL-apoB | −0.66 | <0.0001 | −0.81 | <0.0001 |
| LDL1-PL/LDL1-apoB | −0.33 | 0.0075 | −0.51 | <0.0001 |
| LDL2-PL/LDL2-apoB | −0.58 | <0.0001 | −0.63 | <0.0001 |
| LDL3-PL/LDL3-apoB | −0.57 | <0.0001 | −0.69 | <0.0001 |
| LDL4-PL/LDL4-apoB | −0.60 | <0.0001 | −0.68 | <0.0001 |
| LDL5-PL/LDL5-apoB | −0.65 | <0.0001 | −0.81 | <0.0001 |
| LDL6-PL/LDL6-apoB | −0.69 | <0.0001 | −0.79 | <0.0001 |
| AOPPs (μmol/L) | ||||
|---|---|---|---|---|
| HV (N = 65) | MS (N = 65) | |||
| Variable (mg/dL) | r | p | r | p |
| HDL-C | −0.55 | <0.0001 | −0.64 | <0.0001 |
| HDL1-C | −0.53 | <0.0001 | −0.05 | 0.6910 |
| HDL2-C | −0.53 | <0.0001 | −0.29 | 0.0177 |
| HDL3-C | −0.38 | 0.0017 | −0.45 | 0.0002 |
| HDL4-C | 0.01 | 0.9070 | −0.55 | <0.0001 |
| HDL-FC | −0.57 | <0.0001 | −0.45 | 0.0002 |
| HDL1-FC | −0.56 | <0.0001 | −0.20 | 0.1132 |
| HDL2-FC | −0.48 | 0.0001 | −0.31 | 0.0108 |
| HDL3-FC | −0.16 | 0.2175 | −0.38 | 0.0015 |
| HDL4-FC | 0.09 | 0.4816 | −0.40 | 0.0009 |
| HDL-TG | 0.27 | 0.0307 | 0.48 | 0.0001 |
| HDL1-TG | −0.11 | 0.3783 | 0.43 | 0.0004 |
| HDL2-TG | 0.22 | 0.0777 | 0.45 | 0.0002 |
| HDL3-TG | 0.46 | 0.0001 | 0.47 | 0.0001 |
| HDL4-TG | 0.61 | <0.0001 | 0.54 | <0.0001 |
| HDL-PL | −0.53 | <0.0001 | −0.54 | <0.0001 |
| HDL1-PL | −0.54 | <0.0001 | −0.16 | 0.2028 |
| HDL2-PL | −0.47 | 0.0001 | −0.21 | 0.0873 |
| HDL3-PL | −0.27 | 0.0284 | −0.41 | 0.0006 |
| HDL4-PL | 0.04 | 0.7253 | −0.59 | <0.0001 |
| HDL-apoA-I | −0.44 | 0.0003 | −0.45 | 0.0002 |
| HDL1-apoA-I | −0.53 | <0.0001 | −0.11 | 0.3726 |
| HDL2-apoA-I | −0.50 | <0.0001 | −0.28 | 0.0225 |
| HDL3-apoA-I | −0.27 | 0.0292 | −0.22 | 0.0779 |
| HDL4-apoA-I | 0.16 | 0.1998 | −0.45 | 0.0002 |
| HDL-apoA-II | 0.05 | 0.7215 | −0.10 | 0.4130 |
| HDL1-apoA-II | −0.46 | 0.0001 | 0.03 | 0.8264 |
| HDL2-apoA-II | −0.20 | 0.1130 | 0.13 | 0.3209 |
| HDL3-apoA-II | 0.20 | 0.1068 | 0.10 | 0.4126 |
| HDL4-apoA-II | 0.26 | 0.0391 | −0.32 | 0.0088 |
| AOPPs (μmol/L) | ||||
|---|---|---|---|---|
| HV (N = 65) | MS (N = 65) | |||
| Variable | r | p | r | p |
| HDL-C/HDL-apoA-I | −0.60 | <0.0001 | −0.57 | <0.0001 |
| HDL1-C/HDL1-apoA-I | 0.34 | 0.0056 | 0.17 | 0.1702 |
| HDL2-C/HDL2-apoA-I | −0.28 | 0.0222 | −0.02 | 0.8962 |
| HDL3-C/HDL3-apoA-I | −0.40 | 0.0009 | −0.52 | <0.0001 |
| HDL4-C/HDL4-apoA-I | −0.32 | 0.0091 | −0.63 | <0.0001 |
| HDL-FC/HDL-apoA-I | −0.59 | <0.0001 | −0.27 | 0.0279 |
| HDL1-FC/HDL1-apoA-I | 0.36 | 0.0035 | −0.09 | 0.4651 |
| HDL2-FC/HDL2-apoA-I | 0.06 | 0.6221 | −0.03 | 0.8004 |
| HDL3-FC/HDL3-apoA-I | 0.07 | 0.5528 | −0.19 | 0.1278 |
| HDL4-FC/HDL4-apoA-I | 0.00 | 0.9694 | −0.29 | 0.0206 |
| HDL-TG/HDL-apoA-I | 0.39 | 0.0012 | 0.66 | <0.0001 |
| HDL1-TG/HDL1-apoA-I | 0.55 | <0.0001 | 0.71 | <0.0001 |
| HDL2-TG/HDL2-apoA-I | 0.45 | 0.0001 | 0.70 | <0.0001 |
| HDL3-TG/HDL3-apoA-I | 0.54 | <0.0001 | 0.73 | <0.0001 |
| HDL4-TG/HDL4-apoA-I | 0.55 | <0.0001 | 0.69 | <0.0001 |
| HDL-PL/HDL-apoA-I | −0.52 | <0.0001 | −0.45 | 0.0002 |
| HDL1-PL/HDL1-apoA-I | 0.34 | 0.0056 | −0.13 | 0.3132 |
| HDL2-PL/HDL2-apoA-I | −0.25 | 0.0443 | 0.05 | 0.6656 |
| HDL3-PL/HDL3-apoA-I | −0.14 | 0.2657 | −0.31 | 0.0125 |
| HDL4-PL/HDL4-apoA-I | −0.25 | 0.0435 | −0.66 | <0.0001 |
Disclaimer/Publisher’s Note: The statements, opinions and data contained in all publications are solely those of the individual author(s) and contributor(s) and not of MDPI and/or the editor(s). MDPI and/or the editor(s) disclaim responsibility for any injury to people or property resulting from any ideas, methods, instructions or products referred to in the content. |
© 2024 by the authors. Licensee MDPI, Basel, Switzerland. This article is an open access article distributed under the terms and conditions of the Creative Commons Attribution (CC BY) license (https://creativecommons.org/licenses/by/4.0/).
Share and Cite
Klobučar, I.; Hofmann, L.; Habisch, H.; Lechleitner, M.; Klobučar, L.; Trbušić, M.; Pregartner, G.; Berghold, A.; Madl, T.; Frank, S.; et al. Advanced Oxidation Protein Products Are Strongly Associated with the Serum Levels and Lipid Contents of Lipoprotein Subclasses in Healthy Volunteers and Patients with Metabolic Syndrome. Antioxidants 2024, 13, 339. https://doi.org/10.3390/antiox13030339
Klobučar I, Hofmann L, Habisch H, Lechleitner M, Klobučar L, Trbušić M, Pregartner G, Berghold A, Madl T, Frank S, et al. Advanced Oxidation Protein Products Are Strongly Associated with the Serum Levels and Lipid Contents of Lipoprotein Subclasses in Healthy Volunteers and Patients with Metabolic Syndrome. Antioxidants. 2024; 13(3):339. https://doi.org/10.3390/antiox13030339
Chicago/Turabian StyleKlobučar, Iva, Lidija Hofmann, Hansjörg Habisch, Margarete Lechleitner, Lucija Klobučar, Matias Trbušić, Gudrun Pregartner, Andrea Berghold, Tobias Madl, Saša Frank, and et al. 2024. "Advanced Oxidation Protein Products Are Strongly Associated with the Serum Levels and Lipid Contents of Lipoprotein Subclasses in Healthy Volunteers and Patients with Metabolic Syndrome" Antioxidants 13, no. 3: 339. https://doi.org/10.3390/antiox13030339
APA StyleKlobučar, I., Hofmann, L., Habisch, H., Lechleitner, M., Klobučar, L., Trbušić, M., Pregartner, G., Berghold, A., Madl, T., Frank, S., & Degoricija, V. (2024). Advanced Oxidation Protein Products Are Strongly Associated with the Serum Levels and Lipid Contents of Lipoprotein Subclasses in Healthy Volunteers and Patients with Metabolic Syndrome. Antioxidants, 13(3), 339. https://doi.org/10.3390/antiox13030339

