Abstract
High-density lipoproteins (HDL) exist in various subclasses, with smaller HDL particles possessing the highest anti-oxidative and anti-inflammatory properties. Understanding the role of these specific subclasses in chronic kidney disease (CKD) could provide valuable insights into disease progression and potential therapeutic targets. In the present study, we assessed HDL subclass composition in 463 patients with CKD stage 2–4 using nuclear magnetic resonance spectroscopy. Over a mean follow-up period of 5.0 years, 18.6% of patients died. Compared to survivors, deceased patients exhibited significantly lower levels of cholesterol, ApoA-I, and ApoA-II within the small and extra-small (XS) HDL subclasses. Multivariable Cox regression analysis, adjusted for traditional cardiovascular and renal risk factors, demonstrated that reduced levels of XS-HDL-cholesterol, XS-HDL-ApoA-I, and XS-HDL-ApoA-II were independently associated with an increased risk of mortality. Furthermore, receiver operating characteristic analysis identified XS-HDL-ApoA-II as the most potent prognostic marker for mortality. In conclusion, reduced small and XS-HDL subclasses, especially XS-HDL-ApoA-II, are strongly associated with increased all-cause mortality risk in CKD patients. Assessment of HDL subclass distribution could provide valuable clinical information and help identify patients at high risk.
Keywords:
HDL subclasses; chronic kidney disease; survival; lipoproteins; mortality; apolipoproteins 1. Introduction
Chronic kidney disease (CKD) is a significant global health concern associated with a multitude of complications, including cardiovascular disease and accelerated aging [1,2]. Beyond traditional risk factors, CKD patients often exhibit biochemical abnormalities like endothelial dysfunction and inflammation, which contribute to increased morbidity and mortality [3,4,5,6]. Early detection and comprehensive management are crucial to mitigate these risks and improve patient outcomes.
HDL is continuously remodeled in the bloodstream, resulting in a heterogeneous group of particles with diverse characteristics [7,8,9]. Traditionally considered a cholesterol transporter, HDL is now recognized for its multifaceted roles, encompassing cholesterol efflux capacity, antioxidant effects, anti-inflammatory actions, and immune-regulatory activities [7,10,11,12]. Small, dense HDL particles demonstrate a greater protective potential than larger particles, exhibiting enhanced cholesterol efflux capacity, stronger antioxidant properties, and more potent anti-inflammatory activities [13,14,15].
Although CKD patients have high cardiovascular risks, neither HDL-cholesterol levels nor HDL cholesterol efflux capacity predict events in this group [16]. Traditional cardiovascular risk factors only partially explain the increased disease incidence in CKD, as atherosclerosis may play a diminished role in advanced CKD. Kidney dysfunction is associated with changes in HDL maturation, in part through decreased lecithin cholesterol acyltransferase activity [17,18,19]. Subsequently, HDL levels are often reduced, and the lipoproteins exhibit structural and functional alterations [20,21,22,23]. These changes lead to the loss of key HDL properties, including its ability to promote cholesterol efflux from peripheral cells, as well as its vasodilatory, anti-inflammatory, and immunomodulatory activities [24,25,26,27,28,29]. Collectively, these alterations may contribute to the elevated cardiovascular and non-cardiovascular mortality observed in patients with CKD. As HDL particles vary in size and protein content, studying HDL subclass composition may help to clarify the link between HDL, cardiovascular disease, and high CKD-associated mortality.
In this study, we conducted a comprehensive analysis of HDL subclasses and their compositional characteristics to determine whether specific alterations in HDL subclasses are associated with adverse outcomes in CKD patients.
2. Materials and Methods
2.1. Study Design and Patients
The CARE FOR HOMe (Cardiovascular and Renal Outcome in CKD 2–4 Patients—The Fourth Homburg Evaluation) study is a prospective cohort study that originally enrolled 526 patients with CKD severity stages G2–G4, determined by the estimated glomerular filtration rate (eGFR) at baseline. Of these, 463 patients were included in our analysis based on the availability of sufficient serum material for performing lipoprotein profiling using NMR measurements. The study aimed to identify risk factors for CKD progression and to identify high-risk patients for cardiovascular complications. All participants received treatment at the renal outpatient clinic of the Saarland University Medical Centre in Homburg, Germany.
Exclusion criteria for the study included individuals with acute kidney injury, transplant recipients, pregnant women, those under 18 years of age, patients receiving systemic immunosuppressive medications, and patients with evident infections. Baseline fasting blood samples and a spot urine sample were collected from participants. A standardized questionnaire was administered to gather data on medical history, current medications, smoking status, and diabetes mellitus prevalence. The presence of cardiovascular disease was confirmed through a review of medical records, which included histories of coronary artery angioplasty, stenting, bypass surgery, myocardial infarction, carotid endarterectomy, stenting, non-traumatic lower extremity amputation, lower limb artery procedures, and major stroke.
Participants were invited to undergo annual follow-up examinations at the study center. The primary endpoint for these analyses was all-cause mortality, while additional endpoints had been described in previous studies [18,30].
2.2. Lipoprotein Profiling Using NMR Spectroscopy
Blood serum samples for NMR spectroscopy analysis were prepared as described previously [31,32]. The NMR spectra were obtained using a Bruker 600 MHz Avance Neo NMR spectrometer (Bruker, Rheinstetten, Germany). Lipoprotein quantification was performed using the Bruker IVDr Lipoprotein Subclass Analysis (B.I.LISA™) method. This process involves sending the raw NMR spectral data to a Bruker online server, which analyzes the data and returns 112 lipoprotein parameters. These parameters include parameters such as free and total cholesterol, triglyceride levels, and total phospholipid content across the main classes and subclasses of VLDL, IDL, LDL, and HDL, along with concentrations of proteins like ApoA-I, ApoA-II, and ApoB.
The Bruker IVDr Lipoprotein Subclass Analysis identifies four HDL subclasses (HDL-1 to HDL-4 sorted according to increasing density and decreasing size, respectively). The density ranges for these subclasses are defined as follows: HDL-1 ranges from 1.063 to 1.100 kg/L, HDL-2 from 1.100 to 1.112 kg/L, HDL-3 ranges from 1.112 to 1.125 kg/L, and HDL-4 from 1.125 to 1.210 kg/L. For simplicity, the subclasses have been labeled as L-HDL (HDL-1), M-HDL (HDL-2), S-HDL (HDL-3), and XS-HDL (HDL-4).
2.3. Statistical Analyses
Patients were stratified into two groups based on whether they reached the endpoint of all-cause mortality during the follow-up period. Clinical characteristics of the groups were compared using one-way ANOVA, the Wilcoxon rank sum test, and Pearson’s Chi-squared test and were summarized using mean (SD) for normally distributed variables and median (Q1, Q3) for variables with skewed distributions. Categorical variables are presented as the number of patients (percentage).
For Cox regression analyses, HDL subclass parameters were standardized, and hazard ratios were expressed per increase of 1 standard deviation (SD). Receiver operating characteristic (ROC) curve analysis was conducted to evaluate the prognostic ability of HDL-related parameters. A significance level of 0.05 was assumed. The statistical analysis was carried out using R version 4.4.1, Graphpad Prism version 10.2.2., and SPSS Statistics 26.
3. Results
3.1. Baseline Characteristics of the Study Cohort
In our study cohort, 463 CKD patients were included. The clinical characteristics are shown in Table 1. The mean age of all patients was 65 (12) years, and 39% were female. Most of the patients were within CKD stages 3a (32.6%) and 3b (28.1%). Among the patients, 33% had prevalent CVD, while the prevalence of diabetes mellitus was 39%. In Supplementary Table S1, the clinical characteristics of CKD patients stratified by CKD severity stage are presented.
Table 1.
Baseline clinical characteristics of the study cohort.
We stratified patients of the CARE FOR HOMe study based on their survival status during the follow-up period. During a mean follow-up time of 5.0 ± 2.2 years, 86 patients (18.6%) reached the endpoint of all-cause mortality. Deceased patients were significantly older (72 (9) vs. 63 (12), p < 0.001) and predominantly male (74% vs. 58%, p = 0.005). The groups also differed in baseline eGFR, CRP levels, smoking status, and diastolic blood pressure. Additionally, the prevalence of CVD and diabetes mellitus was higher in the patients who died, with both conditions affecting more than fifty percent of this group. There were no significant differences in the use of statins or other lipid-lowering medications between the two groups. With a median BMI of 30.1 (26.8–33.4), the majority of patients were overweight or obese. However, there were no significant differences in BMI between patients who survived and those who were deceased. Both LDL- and HDL-cholesterol levels were lower in patients who reached the endpoint, which also corresponded to reduced levels of plasma total cholesterol. There was no significant difference in baseline triglyceride levels between patient groups.
3.2. HDL Subclass Parameters from Lipoprotein Profiling Using NMR Spectroscopy in CKD Patients
Lipoprotein profiling by NMR spectroscopy allows the analysis of compositional parameters within HDL subclasses, ranging from large (L-) to extra-small (XS-) HDL. We observed significant differences in the cholesterol content of S- and XS-HDL particles (Figure 1). In addition, the levels of ApoA-I and ApoA-II were also reduced in S- and XS-HDL-subclasses in patients who died during the follow-up period.
Figure 1.
Differences in baseline HDL-subclasses among CKD patients, categorized by survival during the follow-up period. The endpoint was defined as all-cause mortality. (A) depicts variations in HDL-associated cholesterol levels among subclasses, while (B,C) illustrates the respective ApoA-I and ApoA-II levels. Statistical differences between the groups were evaluated using the Wilcoxon rank sum test. Data are displayed as Tukey boxplots, with outliers indicated by black dots. Apo, Apolipoproteins.
3.3. HDL-Related Parameters and the Risk of Mortality in Patients with CKD
To examine the associations between HDL subclass parameters and mortality risk in CKD, we conducted univariable Cox regression analyses on the evaluated HDL subclass parameters (Figure 2). Notably, parameters of the S- and XS-HDL subclasses demonstrated a strong inverse association with mortality risk, with XS-HDL-ApoA-II exhibiting the most significant association (HR 0.50 per 1 SD increase, 95% CI 0.40, 0.62, p < 0.001). Total HDL-ApoA-I and HDL-ApoA-II levels were also inversely associated with the risk of all-cause mortality.
Figure 2.
Cox-regression analyses of HDL-related parameters with all-cause mortality. Hazard ratios (HR) per 1 standard deviation (SD) increase. Significant associations are highlighted in red.
To assess these associations independently of other renal and cardiovascular risk factors, we performed multivariable Cox regression analyses on all parameters that showed significance in the univariable model, adjusting for multiple confounders (Table 2). In the first model, we adjusted for age, gender, BMI, and eGFR. Most parameters that were significantly associated with mortality risk in the univariable analyses remained significant after adjustment, except for total HDL-ApoA-I. After further adjustment for additional cardiovascular risk factors in Model 2, only the compositional parameters of the XS-HDL subclass—specifically cholesterol; ApoA-I; and ApoA-II—continued to demonstrate a significant inverse association with mortality risk. The strongest inverse association was observed for XS-HDL-ApoA-II (HR 0.69 per 1 SD increase, 95% CI 0.53–0.88, p = 0.003).
Table 2.
Multivariable Cox-regression analyses of HDL-related parameters with risk of death in CKD.
The association of XS-HDL parameters with other available endpoints of this study is shown in Supplementary Table S2.
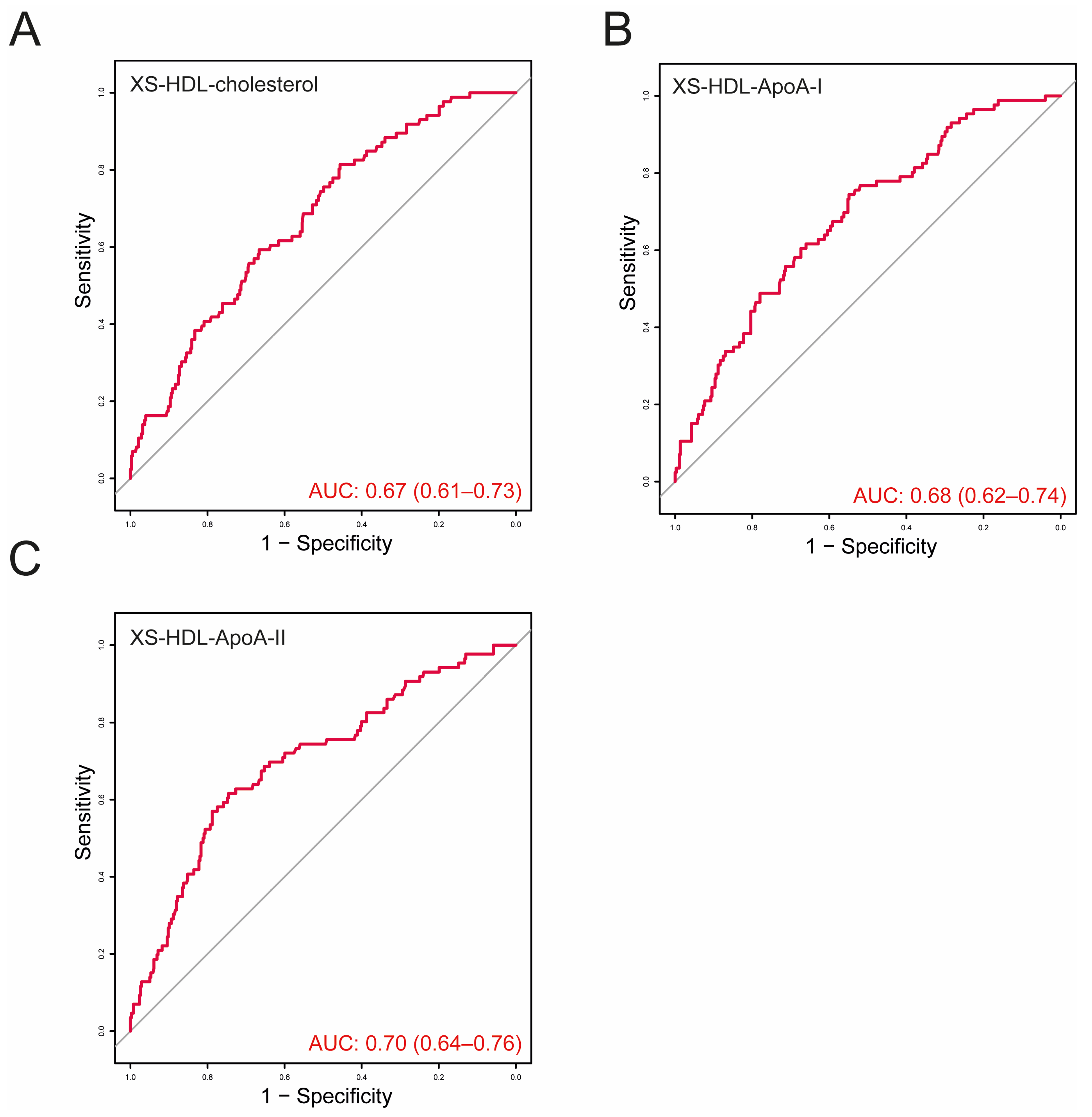
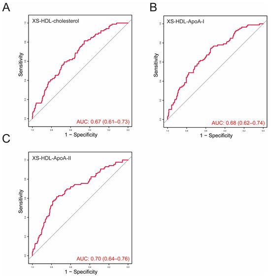
To evaluate the prognostic value of the significant variables identified in the Cox regression analyses for all-cause mortality in CKD patients, we conducted receiver operating characteristic (ROC) curve analyses (Figure 3). Notably, XS-HDL-ApoA-II exhibited the highest predictive potential, with an area under the curve (AUC) of 0.70 (0.64–0.76).
Figure 3.
Receiver operating characteristic (ROC) curves for predicting all-cause mortality in CKD patients based on (A) cholesterol, (B) ApoA-I, and (C) ApoA-II levels within the XS-HDL subclass.
In the present study cohort, 44 patients died as a result of a confirmed cardiovascular complication. However, when the causes of death were analyzed separately, no significant association was observed between XS-HDL parameters and cardiovascular mortality (Table 3).
Table 3.
Multivariable Cox-regression analyses of HDL-subclass parameters with CVD-related mortality risk.
4. Discussion
The prevalence of CKD is increasing, making it the seventh leading cause of death worldwide [33,34]. This trend underscores the critical need for early detection and preventive strategies. While established biomarkers and predictive models are available to assess outcomes in CKD patients, accurate estimation remains challenging and is frequently associated with poor patient outcomes [35,36,37].
To our knowledge, this is the first study to investigate the relationship between HDL subclasses and mortality risk in CKD patients. We identified a robust association between low plasma levels of the XS-HDL subclass, particularly XS-HDL containing ApoA-II, and increased mortality risk. Notably, this association persisted even after adjusting for conventional cardiovascular and renal risk factors. In contrast, total HDL-cholesterol, total HDL-ApoA-I, and total HDL-ApoA-II were not independently associated with mortality; only the parameters of the small subclasses were linked to mortality risk. It is important to note that key biological activities of HDL subpopulations, including cholesterol efflux capacity, antioxidative activity against low-density lipoprotein oxidation, anti-inflammatory activity, and antiapoptotic activity in endothelial cells, are primarily associated with small, dense, protein-rich HDL particles. Particularly small, dense, protein-rich HDL may offer significant protection against oxidative damage from free radicals in the arterial intima, thereby inhibiting the formation of proinflammatory oxidized lipids [38].
In CKD, HDL particle maturation is impaired, as evidenced by reduced lecithin-cholesterol acyltransferase activity and compromised renal clearance of immature HDL particles [17,18,21,39]. This dysfunction significantly delays the conversion of pre-β-1 HDL to α-migrating HDL, leading to an accumulation of pre-β-1 particles [39]. We observed that the S- and XS-HDL subclasses were most strongly inversely associated with mortality risk in CKD patients. Notably, XS-HDL-ApoA-II demonstrated the strongest association, correlating with a 31% reduction in mortality risk for each 1-SD increase. ROC curve analyses further supported the prognostic value of XS-HDL-ApoA-II, with an AUC of 0.70.
In alignment with our findings, higher levels of total ApoA-II, rather than ApoA-I, have been associated with a lower risk of all-cause mortality in the German Diabetes Dialysis study [40]. Moreover, both ApoA-II and small HDL subclasses have been shown to predict mortality in patients with acute heart failure [32,41]. These findings suggest that the strong association between ApoA-II and reduced mortality risk may reflect a protective role of this protein.
Interestingly, when we analyzed causes of death separately, we found no significant association between XS-HDL parameters and cardiovascular mortality. This lack of association may be due to a shift in the type of CVD experienced by these patients, with a greater prevalence of non-atherosclerotic forms that are not responsive to alterations in lipoprotein metabolism. It is also notable that a substantial proportion of CKD patients die from non-cardiovascular causes, such as infections [42]. As a naturally occurring nanoparticle, HDL is capable of binding and neutralizing a range of harmful substances, including bacterial lipopolysaccharides. Furthermore, HDL has been demonstrated to possess antiviral properties, which inhibit viral invasion and replication [43]. Consistent with this hypothesis, low levels of small HDL particles have been linked to higher infectious disease mortality rates, such as sepsis [44]. Notably, ApoA-II may play a role in promoting the formation of these small HDL particles [45,46,47,48]. Recent evidence suggests that HDL particles containing both ApoA-I and ApoA-II have a wider range of particle sizes than those containing only ApoA-I, suggesting that ApoA-II is a major factor in HDL size heterogeneity [49]. Consequently, further research on ApoA-II-containing HDL particles is required. Furthermore, mass spectrometry analysis may potentially identify specific components of XS-HDL with enhanced prognostic value [50]. Specifically, the HDL lipidome significantly influences the biological function of HDL particles. In particular, the content of phosphatidylserine in small, dense HDL3 was observed to have positive correlations with metrics of HDL functionality [51].
While our study focused on prospective clinical outcomes, previous research on HDL particle size in CKD patients has primarily examined associations with prevalent cardiovascular disease [52,53]. For example, a recent study using ion mobility analysis (IMA) found that low levels of medium-sized HDL particles were associated with incident CVD, while other subclasses showed no association [53]. Another study using IMA in patients with type 1 diabetes found that XS HDL particle concentration was the strongest inverse predictor of coronary heart disease [54]. It is important to note that methodological differences between NMR and IMA to measure HDL subclasses differently may make it difficult to directly compare the results. NMR focuses on particle size distribution, whereas IMA assesses both size and charge.
We acknowledge some limitations of this study. The moderate sample size (n = 463) may have limited our ability to detect subtle differences, especially considering the diverse underlying conditions contributing to CKD. Moreover, mass spectrometry analysis of XS-HDL subclasses could potentially reveal further components of XS-HDL with enhanced prognostic value. Furthermore, the observational design precludes establishing definitive causal relationships.
A key strength of our study is its prospective design with a long follow-up period, allowing for a robust assessment of outcomes over time. Additionally, comprehensive baseline clinical characterization enabled effective control for potential confounding factors. Our findings prompt further exploration into the broader role of HDL beyond cardiovascular events, with the potential to uncover novel therapeutic strategies.
In conclusion, this prospective cohort study is the first to show that low levels of XS-HDL are strongly associated with an increased risk of all-cause mortality in CKD patients. Unlike total HDL-cholesterol, these XS-HDL markers offer significantly greater prognostic value, highlighting their potential as valuable tools for mortality risk prediction in this population.
Supplementary Materials
The following supporting information can be downloaded at: https://www.mdpi.com/article/10.3390/antiox13121511/s1; Table S1: Clinical characteristics of CKD patients stratified by CKD severity stage. Table S2: Cox-regression analyses of XS-HDL parameters with clinical endpoints in CKD.
Author Contributions
Conceptualization, J.T.S. and G.M.; methodology, H.H. and T.M.; software, A.B.; formal analysis, J.T.S. and A.B.; investigation, J.T.S., A.P. and H.H.; resources, G.M. and T.M.; data curation, I.E.E. and G.H.H.; writing—original draft preparation, J.T.S. and G.M.; writing—review and editing, A.B., A.P., I.E.E., H.H., T.M. and G.H.H.; visualization, J.T.S. and A.B.; supervision, G.M.; project administration, G.H.H.; funding acquisition, G.M. and T.M. All authors have read and agreed to the published version of the manuscript.
Funding
This work was supported by the Austrian Science Fund (FWF) [Grant DOI 10.55776/DOC129, 10.55776/DOC130, 10.55776/W1226, and 10.55776/COE14] (doc. funds RESPImmun) and ApoA-I Mimetic Peptide Lipid Assemblies [Grant-DOI: 10.55776/I5703], the Austrian Research Promotion Agency (FFG) Grants 870454 and 912192; the Integrative Metabolism Research Center Graz; the Austrian Infrastructure Program 2016/2017; the Styrian Government (Zukunftsfonds, doc.funds program); the City of Graz; and BioTechMed-Graz (Flagship project DYNIMO). The Care for HOMe study was supported by a grant from the Else Kröner-Fresenius-Stiftung. For open access purposes, the author has applied a CC BY public copyright license to any author-accepted manuscript version arising from this submission.
Institutional Review Board Statement
This study was conducted in accordance with the Declaration of Helsinki and was approved by the local Ethics Committee of the Medical Association of Saarland (Faktoreistraße 4, 66111 Saarbrücken, Germany; Ethics Committee Code: 08/10, approved 10 November 2011). All patients provided written informed consent.
Informed Consent Statement
Informed consent was obtained from all subjects involved in the study. All patients gave their written informed consent (21–523 ex 09/10).
Data Availability Statement
Data are contained within the article and Supplementary Material.
Acknowledgments
We thank the participants of the CARE FOR HOMe Study.
Conflicts of Interest
The authors declare no conflicts of interest.
References
- Weinstein, J.R.; Anderson, S. The Aging Kidney: Physiological Changes. Adv. Chronic Kidney Dis. 2010, 17, 302–307. [Google Scholar] [CrossRef] [PubMed]
- Go, A.S.; Chertow, G.M.; Fan, D.; McCulloch, C.E.; Hsu, C. Chronic Kidney Disease and the Risks of Death, Cardiovascular Events, and Hospitalization. N. Engl. J. Med. 2004, 351, 1296–1305. [Google Scholar] [CrossRef] [PubMed]
- Kohagura, K. The Public Health Impact of Hypertension and Diabetes: A Powerful Tag Team for the Development of Chronic Kidney Disease. Hypertens. Res. 2023, 46, 339–340. [Google Scholar] [CrossRef] [PubMed]
- Magagnoli, L.; Cozzolino, M.; Caskey, F.J.; Evans, M.; Torino, C.; Porto, G.; Szymczak, M.; Krajewska, M.; Drechsler, C.; Stenvinkel, P.; et al. Association between CKD-MBD and Mortality in Older Patients with Advanced CKD—Results from the EQUAL Study. Nephrol. Dial. Transplant. 2023, 38, 2562–2575. [Google Scholar] [CrossRef] [PubMed]
- Sarnak, M.J.; Jaber, B.L. Mortality Caused by Sepsis in Patients with End-Stage Renal Disease Compared with the General Population. Kidney Int. 2000, 58, 1758–1764. [Google Scholar] [CrossRef]
- Powe, N.R.; Jaar, B.; Furth, S.L.; Hermann, J.; Briggs, W. Septicemia in Dialysis Patients: Incidence, Risk Factors, and Prognosis. Kidney Int. 1999, 55, 1081–1090. [Google Scholar] [CrossRef]
- von Eckardstein, A.; Nordestgaard, B.G.; Remaley, A.T.; Catapano, A.L. High-Density Lipoprotein Revisited: Biological Functions and Clinical Relevance. Eur. Heart J. 2023, 44, 1394–1407. [Google Scholar] [CrossRef]
- Rohatgi, A.; Westerterp, M.; von Eckardstein, A.; Remaley, A.; Rye, K.-A. HDL in the 21st Century: A Multifunctional Roadmap for Future HDL Research. Circulation 2021, 143, 2293–2309. [Google Scholar] [CrossRef]
- Fazio, S.; Pamir, N. HDL Particle Size and Functional Heterogeneity. Circ. Res. 2016, 119, 704–707. [Google Scholar] [CrossRef]
- Trakaki, A.; Marsche, G. Current Understanding of the Immunomodulatory Activities of High-Density Lipoproteins. Biomedicines 2021, 9, 587. [Google Scholar] [CrossRef]
- Feingold, K.R.; Grunfeld, C. The Role of HDL in Innate Immunity. J. Lipid Res. 2011, 52, 1–3. [Google Scholar] [CrossRef] [PubMed]
- Grao-Cruces, E.; Lopez-Enriquez, S.; Martin, M.E.; Montserrat-de la Paz, S. High-Density Lipoproteins and Immune Response: A Review. Int. J. Biol. Macromol. 2022, 195, 117–123. [Google Scholar] [CrossRef] [PubMed]
- Asztalos, B.F.; Schaefer, E.J.; Horvath, K.V.; Yamashita, S.; Miller, M.; Franceschini, G.; Calabresi, L. Role of LCAT in HDL Remodeling: Investigation of LCAT Deficiency States. J. Lipid Res. 2007, 48, 592–599. [Google Scholar] [CrossRef] [PubMed]
- Kontush, A.; Chantepie, S.; Chapman, M.J. Small, Dense HDL Particles Exert Potent Protection of Atherogenic LDL against Oxidative Stress. Arterioscler. Thromb. Vasc. Biol. 2003, 23, 1881–1888. [Google Scholar] [CrossRef]
- Ashby, D.T.; Rye, K.-A.; Clay, M.A.; Vadas, M.A.; Gamble, J.R.; Barter, P.J. Factors Influencing the Ability of HDL to Inhibit Expression of Vascular Cell Adhesion Molecule-1 in Endothelial Cells. Arterioscler. Thromb. Vasc. Biol. 1998, 18, 1450–1455. [Google Scholar] [CrossRef]
- Bauer, L.; Kern, S.; Rogacev, K.S.; Emrich, I.E.; Zawada, A.; Fliser, D.; Heinemann, A.; Heine, G.H.; Marsche, G. HDL Cholesterol Efflux Capacity and Cardiovascular Events in Patients With Chronic Kidney Disease. J. Am. Coll. Cardiol. 2017, 69, 246–247. [Google Scholar] [CrossRef]
- Calabresi, L.; Simonelli, S.; Conca, P.; Busnach, G.; Cabibbe, M.; Gesualdo, L.; Gigante, M.; Penco, S.; Veglia, F.; Franceschini, G. Acquired Lecithin:Cholesterol Acyltransferase Deficiency as a Major Factor in Lowering Plasma HDL Levels in Chronic Kidney Disease. J. Intern. Med. 2015, 277, 552–561. [Google Scholar] [CrossRef]
- Stadler, J.T.; Bärnthaler, T.; Borenich, A.; Emrich, I.E.; Habisch, H.; Rani, A.; Holzer, M.; Madl, T.; Heine, G.H.; Marsche, G. Low LCAT Activity Is Linked to Acute Decompensated Heart Failure and Mortality in CKD Patients. J. Lipid Res. 2024, 65, 100624. [Google Scholar] [CrossRef]
- Rubinow, K.B.; Henderson, C.M.; Robinson-Cohen, C.; Himmelfarb, J.; de Boer, I.H.; Vaisar, T.; Kestenbaum, B.; Hoofnagle, A.N. Kidney Function Is Associated with an Altered Protein Composition of High-Density Lipoprotein. Kidney Int. 2017, 92, 1526–1535. [Google Scholar] [CrossRef]
- Marsche, G.; Heine, G.H.; Stadler, J.T.; Holzer, M. Current Understanding of the Relationship of HDL Composition, Structure and Function to Their Cardioprotective Properties in Chronic Kidney Disease. Biomolecules 2020, 10, 1348. [Google Scholar] [CrossRef]
- Holzer, M.; Schilcher, G.; Curcic, S.; Trieb, M.; Ljubojevic, S.; Stojakovic, T.; Scharnagl, H.; Kopecky, C.M.; Rosenkranz, A.R.; Heinemann, A.; et al. Dialysis Modalities and HDL Composition and Function. J. Am. Soc. Nephrol. 2015, 26, 2267–2276. [Google Scholar] [CrossRef] [PubMed]
- Xu, Z.; Yang, S.; Cui, L. Understanding the Heterogeneity and Dysfunction of HDL in Chronic Kidney Disease: Insights from Recent Reviews. BMC Nephrol. 2024, 25, 400. [Google Scholar] [CrossRef] [PubMed]
- Pavanello, C.; Ossoli, A. HDL and Chronic Kidney Disease. Atheroscler. Plus 2023, 52, 9–17. [Google Scholar] [CrossRef] [PubMed]
- Holzer, M.; Birner-Gruenberger, R.; Stojakovic, T.; El-Gamal, D.; Binder, V.; Wadsack, C.; Heinemann, A.; Marsche, G. Uremia Alters HDL Composition and Function. J. Am. Soc. Nephrol. 2011, 22, 1631–1641. [Google Scholar] [CrossRef]
- Jurek, A.; Turyna, B.; Kubit, P.; Klein, A. The Ability of HDL to Inhibit VCAM-1 Expression and Oxidized LDL Uptake Is Impaired in Renal Patients. Clin. Biochem. 2008, 41, 1015–1018. [Google Scholar] [CrossRef]
- Vaziri, N.D.; Moradi, H.; Pahl, M.V.; Fogelman, A.M.; Navab, M. In Vitro Stimulation of HDL Anti-Inflammatory Activity and Inhibition of LDL pro-Inflammatory Activity in the Plasma of Patients with End-Stage Renal Disease by an apoA-1 Mimetic Peptide. Kidney Int. 2009, 76, 437–444. [Google Scholar] [CrossRef]
- Anderson, J.L.C.; Gautier, T.; Nijstad, N.; Tölle, M.; Schuchardt, M.; van der Giet, M.; Tietge, U.J.F. High Density Lipoprotein (HDL) Particles from End-Stage Renal Disease Patients Are Defective in Promoting Reverse Cholesterol Transport. Sci. Rep. 2017, 7, 41481. [Google Scholar] [CrossRef]
- Shroff, R.; Speer, T.; Colin, S.; Charakida, M.; Zewinger, S.; Staels, B.; Chinetti-Gbaguidi, G.; Hettrich, I.; Rohrer, L.; O’Neill, F.; et al. HDL in Children with CKD Promotes Endothelial Dysfunction and an Abnormal Vascular Phenotype. J. Am. Soc. Nephrol. 2014, 25, 2658. [Google Scholar] [CrossRef]
- Yamamoto, S.; Yancey, P.G.; Ikizler, T.A.; Jerome, W.G.; Kaseda, R.; Cox, B.; Bian, A.; Shintani, A.; Fogo, A.B.; Linton, M.F.; et al. Dysfunctional High-Density Lipoprotein in Patients With Chronic Hemodialysis. J. Am. Coll. Cardiol. 2012, 60, 2372–2379. [Google Scholar] [CrossRef]
- Emrich, I.E.; Zawada, A.M.; Martens-Lobenhoffer, J.; Fliser, D.; Wagenpfeil, S.; Heine, G.H.; Bode-Böger, S.M. Symmetric Dimethylarginine (SDMA) Outperforms Asymmetric Dimethylarginine (ADMA) and Other Methylarginines as Predictor of Renal and Cardiovascular Outcome in Non-Dialysis Chronic Kidney Disease. Clin. Res. Cardiol. 2018, 107, 201–213. [Google Scholar] [CrossRef]
- Streese, L.; Habisch, H.; Deiseroth, A.; Carrard, J.; Infanger, D.; Schmidt-Trucksäss, A.; Madl, T.; Hanssen, H. Lipoprotein Subclasses Independently Contribute to Subclinical Variance of Microvascular and Macrovascular Health. Molecules 2022, 27, 4760. [Google Scholar] [CrossRef]
- Klobučar, I.; Degoricija, V.; Potočnjak, I.; Trbušić, M.; Pregartner, G.; Berghold, A.; Fritz-Petrin, E.; Habisch, H.; Madl, T.; Frank, S. HDL-apoA-II Is Strongly Associated with 1-Year Mortality in Acute Heart Failure Patients. Biomedicines 2022, 10, 1668. [Google Scholar] [CrossRef]
- Francis, A.; Harhay, M.N.; Ong, A.C.M.; Tummalapalli, S.L.; Ortiz, A.; Fogo, A.B.; Fliser, D.; Roy-Chaudhury, P.; Fontana, M.; Nangaku, M.; et al. Chronic Kidney Disease and the Global Public Health Agenda: An International Consensus. Nat. Rev. Nephrol. 2024, 20, 473–485. [Google Scholar] [CrossRef]
- Borg, R.; Carlson, N.; Søndergaard, J.; Persson, F. The Growing Challenge of Chronic Kidney Disease: An Overview of Current Knowledge. Int. J. Nephrol. 2023, 2023, 9609266. [Google Scholar] [CrossRef]
- Lousa, I.; Reis, F.; Beirão, I.; Alves, R.; Belo, L.; Santos-Silva, A. New Potential Biomarkers for Chronic Kidney Disease Management—A Review of the Literature. Int. J. Mol. Sci. 2021, 22, 43. [Google Scholar] [CrossRef]
- Tummalapalli, L.; Nadkarni, G.N.; Coca, S.G. Biomarkers For Predicting Outcomes in Chronic Kidney Disease. Curr. Opin. Nephrol. Hypertens. 2016, 25, 480. [Google Scholar] [CrossRef]
- Maringhini, S.; Zoccali, C. Chronic Kidney Disease Progression—A Challenge. Biomedicines 2024, 12, 2203. [Google Scholar] [CrossRef]
- Kontush, A.; Chapman, M.J. Antiatherogenic Function of HDL Particle Subpopulations: Focus on Antioxidative Activities. Curr. Opin. Lipidol. 2010, 21, 312–318. [Google Scholar] [CrossRef]
- Kuchta, A.; Ćwiklińska, A.; Czaplińska, M.; Wieczorek, E.; Kortas-Stempak, B.; Gliwińska, A.; Dąbkowski, K.; Sałaga-Zaleska, K.; Mickiewicz, A.; Dębska-Ślizień, A.; et al. Plasma Levels of Preβ1-HDL Are Significantly Elevated in Non-Dialyzed Patients with Advanced Stages of Chronic Kidney Disease. Int. J. Mol. Sci. 2019, 20, 1202. [Google Scholar] [CrossRef]
- Silbernagel, G.; Genser, B.; Drechsler, C.; Scharnagl, H.; Grammer, T.B.; Stojakovic, T.; Krane, V.; Ritz, E.; Wanner, C.; März, W. HDL Cholesterol, Apolipoproteins, and Cardiovascular Risk in Hemodialysis Patients. J. Am. Soc. Nephrol. 2015, 26, 484. [Google Scholar] [CrossRef]
- Pammer, A.; Klobučar, I.; Stadler, J.T.; Meissl, S.; Habisch, H.; Madl, T.; Frank, S.; Degoricija, V.; Marsche, G. Impaired HDL Antioxidant and Anti-Inflammatory Functions Are Linked to Increased Mortality in Acute Heart Failure Patients. Redox Biol. 2024, 76, 103341. [Google Scholar] [CrossRef]
- Singh, A.K.; Acharya, A.; Carroll, K.; Lopes, R.D.; McCausland, F.R.; Mulloy, L.; Perkovic, V.; Solomon, S.; Waikar, S.S.; Wanner, C.; et al. Causes of Death in Patients with Chronic Kidney Disease: Insights from the ASCEND-D and ASCEND-ND Cardiovascular Outcomes Trials. Eur. Heart J. 2022, 43, ehac544.1053. [Google Scholar] [CrossRef]
- Rani, A.; Stadler, J.T.; Marsche, G. HDL-Based Therapeutics: A Promising Frontier in Combating Viral and Bacterial Infections. Pharmacol. Ther. 2024, 260, 108684. [Google Scholar] [CrossRef]
- Hamilton, F.; Pedersen, K.M.; Ghazal, P.; Nordestgaard, B.G.; Smith, G.D. Low Levels of Small HDL Particles Predict but Do Not Influence Risk of Sepsis. Crit. Care 2023, 27, 389. [Google Scholar] [CrossRef]
- Maïga, S.F.; Kalopissis, A.-D.; Chabert, M. Apolipoprotein A-II Is a Key Regulatory Factor of HDL Metabolism as Appears from Studies with Transgenic Animals and Clinical Outcomes. Biochimie 2014, 96, 56–66. [Google Scholar] [CrossRef]
- Florea, G.; Tudorache, I.F.; Fuior, E.V.; Ionita, R.; Dumitrescu, M.; Fenyo, I.M.; Bivol, V.G.; Gafencu, A.V. Apolipoprotein A-II, a Player in Multiple Processes and Diseases. Biomedicines 2022, 10, 1578. [Google Scholar] [CrossRef]
- Gao, X.; Yuan, S.; Jayaraman, S.; Gursky, O. Role of Apolipoprotein A-II in the Structure and Remodeling of Human High-Density Lipoprotein (HDL): Protein Conformational Ensemble on HDL. Biochemistry 2012, 51, 4633–4641. [Google Scholar] [CrossRef]
- Gomaraschi, M.; Sinagra, G.; Serdoz, L.V.; Pitzorno, C.; Fonda, M.; Cattin, L.; Calabresi, L.; Franceschini, G. The Plasma Concentration of Lpa-I:A-II Particles as a Predictor of the Inflammatory Response in Patients with ST-Elevation Myocardial Infarction. Atherosclerosis 2009, 202, 304–311. [Google Scholar] [CrossRef]
- Melchior, J.T.; Street, S.E.; Vaisar, T.; Hart, R.; Jerome, J.; Kuklenyik, Z.; Clouet-Foraison, N.; Thornock, C.; Bedi, S.; Shah, A.S.; et al. Apolipoprotein A-I Modulates HDL Particle Size in the Absence of Apolipoprotein A-II. J. Lipid Res. 2021, 62, 100099. [Google Scholar] [CrossRef]
- Shao, B.; Mathew, A.V.; Thornock, C.; Pennathur, S. Altered HDL Proteome Predicts Incident CVD in Chronic Kidney Disease Patients. J. Lipid Res. 2021, 62, 100135. [Google Scholar] [CrossRef]
- Camont, L.; Lhomme, M.; Rached, F.; Le Goff, W.; Nègre-Salvayre, A.; Salvayre, R.; Calzada, C.; Lagarde, M.; Chapman, M.J.; Kontush, A. Small, Dense High-Density Lipoprotein-3 Particles Are Enriched in Negatively Charged Phospholipids. Arterioscler. Thromb. Vasc. Biol. 2013, 33, 2715–2723. [Google Scholar] [CrossRef]
- Sørensen, I.M.H.; Bisgaard, L.S.; Bjergfelt, S.S.; Ballegaard, E.L.F.; Biering-Sørensen, T.; Landler, N.E.; Pedersen, T.X.; Kofoed, K.F.; Lange, T.; Feldt-Rasmussen, B.; et al. The Metabolic Signature of Cardiovascular Disease and Arterial Calcification in Patients with Chronic Kidney Disease. Atherosclerosis 2022, 350, 109–118. [Google Scholar] [CrossRef]
- Shao, B.; Afshinnia, F.; Mathew, A.V.; Ronsein, G.E.; Thornock, C.; Irwin, A.D.; Kansal, M.; Rao, P.S.; Dobre, M.; Al-Kindi, S.; et al. Low Concentrations of Medium-Sized HDL Particles Predict Incident CVD in Chronic Kidney Disease Patients. J. Lipid Res. 2023, 64, 100381. [Google Scholar] [CrossRef]
- Costacou, T.; Vaisar, T.; Miller, R.G.; Davidson, W.S.; Heinecke, J.W.; Orchard, T.J.; Bornfeldt, K.E. High-Density Lipoprotein Particle Concentration and Size Predict Incident Coronary Artery Disease Events in a Cohort With Type 1 Diabetes. J. Am. Heart Assoc. 2024, 13, e034763. [Google Scholar] [CrossRef]
Disclaimer/Publisher’s Note: The statements, opinions and data contained in all publications are solely those of the individual author(s) and contributor(s) and not of MDPI and/or the editor(s). MDPI and/or the editor(s) disclaim responsibility for any injury to people or property resulting from any ideas, methods, instructions or products referred to in the content. |
© 2024 by the authors. Licensee MDPI, Basel, Switzerland. This article is an open access article distributed under the terms and conditions of the Creative Commons Attribution (CC BY) license (https://creativecommons.org/licenses/by/4.0/).


