Synthesis and Biological Activity Assessment of 2-Styrylbenzothiazoles as Potential Multifunctional Therapeutic Agents
Abstract
1. Introduction
2. Materials and Methods
2.1. General
2.2. Chemistry
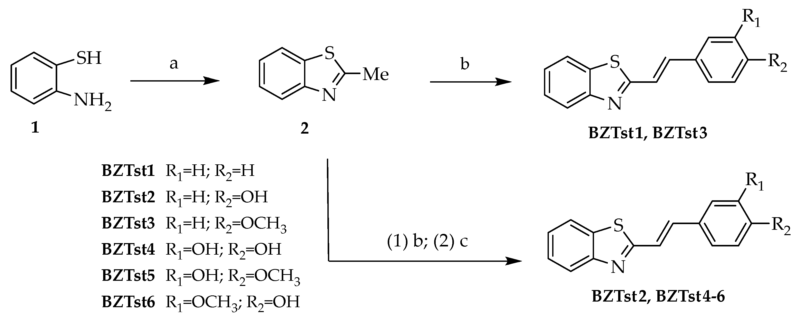
2.2.1. Synthesis of 2-Methylbenzo[d]thiazole (2)
2.2.2. General Procedure for the Synthesis of 2-Styrylbenzothiazoles BZTst1 and BZTst3
2.2.3. General Procedure for the Synthesis of 2-Styrylbenzothiazoles BZTst2, BZTst4–6
2.3. Photoprotective Activity
2.3.1. In Vitro Evaluation of Filtering Parameters of Compounds in Solution
2.3.2. In Vitro Evaluation of Filtering Parameters of Sunscreen Formulations
2.3.3. Photostability
2.4. Antioxidant Activity
2.4.1. DPPH Radical Scavenging Activity
2.4.2. Ferric Reducing Antioxidant Power (FRAP) Test
2.4.3. ORAC Assay
2.5. Antiproliferative Activity
Cell Growth Inhibition Assay
2.6. Anti-Inflammatory Activity
2.6.1. Lipid Mediator (LM) Formation in Primary Human Monocytes
2.6.2. 5-Lipoxygenase Inhibition in a Cell-Based Assay
2.6.3. 5-Lipoxygenase Inhibition in a Cell-Free Assay
2.6.4. ROS Production in PMNL
3. Results and Discussion
3.1. Chemistry
3.2. Antioxidant Activity
3.3. Evaluation of In Vitro UV-Filtering Parameters
3.3.1. UV-Filtering Parameters in Solution
3.3.2. UV-Filtering Parameters in Formula
3.3.3. Photostability
3.4. Antiproliferative Activity on Colo38 and HaCat
3.5. Anti-Inflammatory Activity
3.5.1. Screening for Modulation of LM Formation in Monocytes
3.5.2. 5-Lipoxygenase Inhibition in Cell-Free and Cell-Based Assays
3.5.3. ROS Production in Neutrophils
4. Conclusions
Supplementary Materials
Author Contributions
Funding
Institutional Review Board Statement
Informed Consent Statement
Data Availability Statement
Conflicts of Interest
References
- Graham, F.; Brady, G.F.; Kwan, R.; Bragazzi Cunha, J.; Jared, S.; Elenbaas, J.S.; Omary, M.B. Lamins and Lamin Associated Proteins in Gastrointestinal Health and Disease. Gastroenterology 2018, 154, 1602–1619.e1. [Google Scholar]
- Singh, H.; Agrawal, D.K. Recent advances in the development of active hybrid molecules in the treatment of cardiovascular diseases. Bioorg. Med. Chem. 2022, 62, 116706. [Google Scholar] [CrossRef] [PubMed]
- Kumar, N.; Kumar, V.; Anand, P.; Kumar, V.; Dwivedi, A.R.; Kumar, V. Advancements in the development of multi-target directed ligands for the treatment of Alzheimer’s disease. Bioorg. Med. Chem. 2022, 61, 116742. [Google Scholar] [CrossRef]
- Duarte, C.W.; Vaughan, L.K.; Mark Beasley, T.; Tiwari, H.K. Multifactorial Inheritance and Complex Diseases Reference Module. In Biomedical Sciences; Elsevier: Amsterdam, The Netherlands, 2014. [Google Scholar]
- Storr, T. Multifunctional compounds for the treatment of Alzheimer’s disease. Can. J. Chem. 2021, 99, 1–9. [Google Scholar] [CrossRef]
- Bansal, Y.; Silakari, O. Multifunctional Compounds: Smart Molecules for Multifactorial Diseases. Eur. J. Med. Chem. 2014, 76, 31–42. [Google Scholar] [CrossRef] [PubMed]
- Makhoba, X.H.; Viegas, C., Jr.; Mosa, R.A.; Viegas, F.P.D.; Pooe, O.J. Potential Impact of the Multi-Target Drug Approach in the Treatment of Some Complex Diseases. Drug Des. Devel. Ther. 2020, 14, 3235–3249. [Google Scholar] [CrossRef] [PubMed]
- Keith, C.T.; Borisy, A.A.; Stockwell, B.R. Multicomponent Therapeutics for Networked Systems. Nat. Rev. Drug Discov. 2005, 4, 71–78. [Google Scholar] [CrossRef]
- Hohl, C.M.; Dankoff, J.; Colacone, A.; Afilalo, M. Polypharmacy, Adverse Drug-Related Events, and Potential Adverse Drug Interactions in Elderly Patients Presenting to an Emergency Department. Ann. Emerg. Med. 2001, 38, 666–671. [Google Scholar] [CrossRef]
- Reddy, A.S.; Zhang, S. Polypharmacology: Drug Discovery for the Future. Expert Rev. Clin. Pharmacol. 2013, 6, 41–47. [Google Scholar] [CrossRef]
- Morphy, R.; Kay, C.; Rankovic, Z. From Magic Bullets to Designed Multiple Ligands. Drug Discov. Today 2004, 9, 641–651. [Google Scholar] [CrossRef]
- Morphy, R.; Rankovic, Z. Designed Multiple Ligands. An Emerging Drug Discovery Paradigm. J. Med. Chem. 2005, 48, 6523–6543. [Google Scholar] [CrossRef] [PubMed]
- Cavalli, A.; Bolognesi, M.L.; Minarini, A.; Rosini, M.; Tumiatti, V.; Recanatini, M.; Melchiorre, C. Multi-Target-Directed Ligands to Combat Neurodegenerative Diseases. J. Med. Chem. 2008, 51, 347–372. [Google Scholar] [CrossRef] [PubMed]
- Radiation: Ultraviolet (UV) Radiation and Skin Cancer. Available online: https://www.who.int/news-room/questions-and-answers/item/radiation-ultraviolet-(uv)-radiation-and-skin-cancer (accessed on 13 December 2023).
- Blashill, A.J.; Nogg, K.; Aguilar, R.A.C.; Roesch, S.; Brady, J.; Corliss, H.L.; Pagoto, S.; Wells, K.J. Skin cancer risk behaviors in sexual minority men: A mixed methods approach. Health Psychol. 2024, 43, 462–475. [Google Scholar] [CrossRef] [PubMed]
- Kartsagoulis, A.; Faust, A.; Carroll, J.; Delano, A.; Healey, R.; Lautato, P.; Salo, M.; Li, H.; Chen, Y.; Lu, P.; et al. Molecular mechanisms of the effects of mulberry (Morus Rubra) extracts on UV-radiation and oxidative stress-induced skin cell damage. Physiology 2024, 39, S1. [Google Scholar] [CrossRef]
- Rhee, J.S.; Alex Matthews, B.; Neuburg, M.; Logan, B.R.; Burzynski, M.; Nattinger, A.B. The Skin Cancer Index: Clinical Responsiveness and Predictors of Quality of Life. Laryngoscope 2007, 117, 399–405. [Google Scholar] [CrossRef]
- Tang, X.; Yang, T.; Yu, D.; Xiong, H.; Zhang, S. Current insights and future perspectives of ultraviolet radiation (UV) exposure: Friends and foes to the skin and beyond the skin. Environ. Int. 2024, 185, 108535. [Google Scholar] [CrossRef]
- Bernard, J.J.; Gallo, R.L.; Krutmann, J. Photoimmunology: How ultraviolet radiation affects the immune system. Nat. Rev. Immunol. 2019, 19, 688–701. [Google Scholar] [CrossRef]
- Kamari, F.; Hallaj, S.; Dorosti, F.; Alinezhad, F.; Taleschian-Tabrizi, N.; Farhadi, F.; Aslani, H. Phototoxicity of environmental radiations in human lens: Revisiting the pathogenesis of UV-induced cataract. Graefes Arch. Clin. Exp. Ophthalmol. 2019, 257, 2065–2077. [Google Scholar] [CrossRef]
- Ahmed, B.; Qadir, M.I.; Ghafoor, S. Malignant melanoma: Skin cancer-diagnosis, prevention, and treatment. Crit. Rev. Eukaryot. Gene Expr. 2020, 30, 291–297. [Google Scholar] [CrossRef]
- Modenese, A.; Korpinen, L.; Gobba, F. Solar radiation exposure and outdoor work: An underestimated occupational risk. Int. J. Environ. Res. Public Health 2018, 15, 2063. [Google Scholar] [CrossRef]
- Leiter, U.; Keim, U.; Garbe, C. Epidemiology of skin cancer: Update. Adv. Exp. Med. Biol. 2020, 1268, 123–139. [Google Scholar] [CrossRef] [PubMed]
- Seebode, C.; Lehmann, J.; Emmert, S. Photocarcinogenesis and skin cancer prevention strategies. Anticancer Res. 2016, 36, 1371–1378. [Google Scholar] [PubMed]
- Meyskens, F.L.; Farmer, P.; Fruehauf, J.P. Redox Regulation in Human Melanocytes and Melanoma. Pigment Cell Res. 2001, 14, 148–154. [Google Scholar] [CrossRef] [PubMed]
- Rünger, T.M.; Kappes, U.P. Mechanisms of Mutation Formation with Long-Wave Ultraviolet Light (UVA). Photodermatol. Photoimmunol. Photomed. 2008, 24, 2–10. [Google Scholar] [CrossRef]
- Kamiński, K.; Kazimierczak, U.; Kolenda, T. Oxidative Stress in Melanogenesis and Melanoma Development. Contemp. Oncol. 2022, 26, 1–7. [Google Scholar] [CrossRef]
- Chen, X.; Gresham, A.; Morrison, A.; Pentland, A.P. Oxidative Stress Mediates Synthesis of Cytosolic Phospholipase A2 after UVB Injury. Biochim. Biophys. Acta BBA—Lipids Lipid Metab. 1996, 1299, 23–33. [Google Scholar] [CrossRef]
- Krutmann, J. The Interaction of UVA and UVB Wavebands with Particular Emphasis on Signalling. Prog. Biophys. Mol. Biol. 2006, 92, 105–107. [Google Scholar] [CrossRef]
- McMillan, T.J.; Leatherman, E.; Ridley, A.; Shorrocks, J.; Tobi, S.E.; Whiteside, J.R. Cellular Effects of Long Wavelength UV Light (UVA) in Mammalian Cells. J. Pharm. Pharmacol. 2008, 60, 969–976. [Google Scholar] [CrossRef]
- Rhodes, L.E.; Gledhill, K.; Masoodi, M.; Haylett, A.K.; Brownrigg, M.; Thody, A.J.; Tobin, D.J.; Nicolaou, A. The Sunburn Response in Human Skin Is Characterized by Sequential Eicosanoid Profiles That May Mediate Its Early and Late Phases. FASEB J. Off. Publ. Fed. Am. Soc. Exp. Biol. 2009, 23, 3947–3956. [Google Scholar] [CrossRef]
- Sieniawska, D.; Proszowska, P.; Madoń, M.; Kotowicz, Z.; Orzeł, A.; Pich-Czekierda, A.; Sieniawska, J. Ultraviolet-Protective Clothing and Sunscreen: Sun-Protection for Healthy Skin. J. Educ. Health Sport. 2024, 71, 51237. [Google Scholar] [CrossRef]
- Baldisserotto, A.; Demurtas, M.; Lampronti, I.; Tacchini, M.; Moi, D.; Balboni, G.; Pacifico, S.; Vertuani, S.; Manfredini, S.; Onnis, V. Synthesis and Evaluation of Antioxidant and Antiproliferative Activity of 2-Arylbenzimidazoles. Bioorganic Chem. 2020, 94, 103396. [Google Scholar] [CrossRef] [PubMed]
- Djuidje, E.N.; Barbari, R.; Baldisserotto, A.; Durini, E.; Sciabica, S.; Balzarini, J.; Liekens, S.; Vertuani, S.; Manfredini, S. Benzothiazole Derivatives as Multifunctional Antioxidant Agents for Skin Damage: Structure-Activity Relationship of a Scaffold Bearing a Five-Membered Ring System. Antioxidants 2022, 11, 407. [Google Scholar] [CrossRef] [PubMed]
- Barbari, R.; Tupini, C.; Durini, E.; Gallerani, E.; Nicoli, F.; Lampronti, I.; Baldisserotto, A.; Manfredini, S. Design, Synthesis and Evaluation of New Multifunctional Benzothiazoles as Photoprotective, Antioxidant and Antiproliferative Agents. Molecules 2022, 28, 287. [Google Scholar] [CrossRef] [PubMed]
- Hati, S.; Sen, S. Cerium Chloride Catalyzed, 2-Iodoxybenzoic Acid Mediated Oxidative Dehydrogenation of Multiple Heterocycles at Room Temperature. Eur. J. Org. Chem. 2017, 2017, 1277–1280. [Google Scholar] [CrossRef]
- Hojerová, J.; Medovcíková, A.; Mikula, M. Photoprotective Efficacy and Photostability of Fifteen Sunscreen Products Having the Same Label SPF Subjected to Natural Sunlight. Int. J. Pharm. 2011, 408, 27–38. [Google Scholar] [CrossRef]
- Pessina, F.; Marazova, K.; Ninfali, P.; Avanzi, L.; Manfredini, S.; Sgaragli, G. In Vitro Neuroprotection by Novel Antioxidants in Guinea-Pig Urinary Bladder Subjected to Anoxia-Glucopenia/Reperfusion Damage. Naunyn. Schmiedebergs Arch. Pharmacol. 2004, 370, 521–528. [Google Scholar] [CrossRef]
- Baldisserotto, A.; Buso, P.; Radice, M.; Dissette, V.; Lampronti, I.; Gambari, R.; Manfredini, S.; Vertuani, S. Moringa Oleifera Leaf Extracts as Multifunctional Ingredients for “Natural and Organic” Sunscreens and Photoprotective Preparations. Molecules 2018, 23, 664. [Google Scholar] [CrossRef]
- Pein, H.; Ville, A.; Pace, S.; Temml, V.; Garscha, U.; Raasch, M.; Alsabil, K.; Viault, G.; Dinh, C.-P.; Guilet, D.; et al. Endogenous Metabolites of Vitamin E Limit Inflammation by Targeting 5-Lipoxygenase. Nat. Commun. 2018, 9, 3834. [Google Scholar] [CrossRef]
- Fischer, L.; Szella, D.; Rådmark, O.; Steinhilber, D.; Werz, O. Phosphorylation- and stimulus-dependent inhibition of cellular 5-lipoxygenase activity by nonredox-type inhibitors. FASEB J. 2003, 17, 949–951. [Google Scholar] [CrossRef]
- Katritzky, A.R.; Rees, C.W. Comprehensive Heterocyclic Chemistry, 1st ed.; Pergamon Press: New York, NY, USA, 1984; Volume 5, p. 278. [Google Scholar]
- Alam, M.N.; Bristi, N.J.; Rafiquzzaman, M. Review on in Vivo and in Vitro Methods Evaluation of Antioxidant Activity. Saudi Pharm. J. 2013, 21, 143–152. [Google Scholar] [CrossRef]
- Gulcin, İ. Antioxidants and Antioxidant Methods: An Updated Overview. Arch. Toxicol. 2020, 94, 651–715. [Google Scholar] [CrossRef]
- Diffey, B.L.; Robson, J. A New Substrate to Measure Sunscreen Protection Factors throughout the Ultraviolet Spectrum. J. Soc. Cosmet. Chem. 1989, 40, 127–133. [Google Scholar]
- Sunscreen Drug Products for Over-the-Counter Human Use. Federal Register. Available online: https://www.federalregister.gov/documents/2019/02/26/2019-03019/sunscreen-drug-products-for-over-the-counter-human-use (accessed on 14 December 2023).
- Verheugen, G. Commission Recommendation of 22 September 2006 on the Efficacy of Sunscreen Products and the Claims Made Relating Thereto. Off. J. Eur. Union 2006, 265, 39–43. [Google Scholar]
- Garoli, D.; Pelizzo, M.G.; Bernardini, B.; Nicolosi, P.; Alaibac, M. Sunscreen Tests: Correspondence between in Vitro Data and Values Reported by the Manufacturers. J. Dermatol. Sci. 2008, 52, 193–204. [Google Scholar] [CrossRef] [PubMed]
- Indrayanto, G.; Putra, G.S.; Suhud, F. Chapter Six—Validation of in-Vitro Bioassay Methods: Application in Herbal Drug Research. In Profiles of Drug Substances, Excipients and Related Methodology; Al-Majed, A.A., Ed.; Academic Press: Cambridge, MA, USA, 2021; Volume 46, pp. 273–307. [Google Scholar] [CrossRef]
- Werz, O.; Steinhilber, D. Development of 5-Lipoxygenase Inhibitors--Lessons from Cellular Enzyme Regulation. Biochem. Pharmacol. 2005, 70, 327–333. [Google Scholar] [CrossRef] [PubMed]
- Werz, O. Inhibition of 5-Lipoxygenase Product Synthesis by Natural Compounds of Plant Origin. Planta Med. 2007, 73, 1331–1357. [Google Scholar] [CrossRef]
- Huang, R.; Zhao, L.; Chen, H.; Yin, R.-H.; Li, C.-Y.; Zhan, Y.-Q.; Zhang, J.-H.; Ge, C.; Yu, M.; Yang, X.-M. Megakaryocytic Differentiation of K562 Cells Induced by PMA Reduced the Activity of Respiratory Chain Complex IV. PLoS ONE 2014, 9, e96246. [Google Scholar] [CrossRef]
- Weitzel, F.; Wendel, A. Selenoenzymes Regulate the Activity of Leukocyte 5-Lipoxygenase via the Peroxide Tone. J. Biol. Chem. 1993, 268, 6288–6292. [Google Scholar] [CrossRef]






| Compound | Ar![]() | DPPH a Inhibition % | FRAP a (µmolTE/g) | ORAC a (µmolTE/g) |
|---|---|---|---|---|
| BZTst1 | ![]() | <LOQ b | 331.15 ± 6.29 | <LOQ b |
| BZTst2 | ![]() | 26.70 ± 0.83 | 1122.44 ± 25.14 | 11,614.64 ± 1184.06 |
| BZTst3 | ![]() | <LOQ b | 178.71 ± 8.17 | 1077.84 ± 98.52 |
| BZTst4 | ![]() | 88.54 ± 0.47 (10.46 ± 0.27) | 5673.33 ± 86.42 | <LOQ b |
| BZTst5 | ![]() | 46.88 ± 0.60 | 788.09 ± 14.46 | <LOQ b |
| BZTst6 | ![]() | 18.86 ± 0.11 c | 3262.22 ± 7.86 | 19,027.54 ± 46.67 |
| Ferulic Acid | ![]() | (9.90 ± 0.70) | 6872.60 ± 10.70 | 15,906.40 ± 14.20 |
| Compound | ʎmax (nm) | Ɛ (dm3 mol−1 cm−1) |
|---|---|---|
| BZTst1 | 335.0 | 34,075.83 |
| BZTst2 | 354.4 | 30,835.44 |
| BZTst3 | 351.0 | 35,125.63 |
| BZTst4 | 363.3 | 22,070.71 |
| BZTst5 | 358.0 | 22,513.37 |
| BZTst6 | 361.2 | 16,871.66 |
| PBSA | 304.5 | 23,881.86 |
| Compound | SPF | UVAPF | UVA/UVB | ʎc a (nm) |
|---|---|---|---|---|
| BZTst1 | 13.88 | 7.08 | 0.96 | 364 |
| BZTst2 | 2.59 | 5.69 | 1.46 | 384 |
| BZTst3 | 2.26 | 3.07 | 1.59 | 378 |
| BZTst4 | 3.87 | 7.65 | 1.47 | 389 |
| BZTst5 | 2.91 | 2.70 | 0.93 | 384 |
| BZTst6 | 3.43 | 14.13 | 1.96 | 388 |
| PBSA | 1.91 | 1.13 | 0.67 | 357 |
| Compound | %SPFeff. | %UVAPfeff. |
|---|---|---|
| BZTst1 | 99.14 | 54.38 |
| BZTst2 | 104.43 | 95.96 |
| BZTst3 | 103.21 | 152.12 |
| BZTst4 | 104.02 | 101.57 |
| BZTst5 | 100.00 | 106.30 |
| BZTst6 | 93.59 | 80.75 |
| PBSA | 103.66 | 100.00 |
| Compound | Colo38 (IC50, µM) a | HaCat (IC50, µM) a | SI |
|---|---|---|---|
| BZTst1 | 85.64 ± 2.76 | >100 | >1.17 |
| BZTst2 | 79.83 ± 4.70 | 85.78 ± 17.88 | 1.07 |
| BZTst3 | >100 | > 100 | - |
| BZTst4 | 58.06 ± 12.10 | 80.19 ± 24.70 | 1.38 |
| BZTst5 | >100 | 85.96 ± 40.73 | <1 |
| BZTst6 | 71.53 ± 14.17 | > 100 | >1.40 |
| Cisplatin | NT b | 2.00 ± 0.40 | - |
| [Cmp 13] c | 0.70 ± 0.06 | NT b | - |
| Cmp | 5-LO Residual Activity (PMNL, 10 µM) a | 5-LO PMNL IC50 (µM) b | 95% CI c |
|---|---|---|---|
| BZTst1 | 48.68 ± 10.21 | - | - |
| BZTst2 | 22.89 ± 14.63 | 2.90 | [1.3, 11.4] e |
| BZTst3 | 75.26 ± 19.73 | - | - |
| BZTst4 | 0.79 ± 0.49 | 0.70 | [0.55, 0.88] |
| BZTst5 | 73.95 ± 25.81 | - | - |
| BZTst6 | 7.11 ± 4.90 | 0.95 | [0.70, 1.28] |
| Zileuton d | 31.26 ± 12.69 | - | - |
| Cmp | 5-LO Residual Activity (Cell-Free, 10 µM) a | 5-LO Cell-Free IC50 (µM) b | 95% CI c |
|---|---|---|---|
| BZTst1 | 72.02 ± 20.43 | - | - |
| BZTst2 | 47.32 ± 20.18 | 9.26 | [4.88, 18.94] |
| BZTst3 | 46.73 ± 28.47 | - | - |
| BZTst4 | 6.85 ± 3.72 | 0.05 | [0.03, 0.06] |
| BZTst5 | 34.82 ± 18.39 | - | - |
| BZTst6 | 6.84 ± 3.38 | 0.33 | [0.17, 0.69] |
| Zileuton d | 28.64 ± 7.38 | - | - |
| Compound | ROS Production (% of Control) |
|---|---|
| BZTst1 | 124.78 ± 17.88 |
| BZTst2 | >150% a |
| BZTst3 | 108.70 ± 12.15 |
| BZTst4 | 53.81 ± 16.30 |
| BZTst5 | 99.62 ± 4.14 |
| BZTst6 | 62.50 ± 5.62 |
| DPI | 16.44 ± 2.14 |
Disclaimer/Publisher’s Note: The statements, opinions and data contained in all publications are solely those of the individual author(s) and contributor(s) and not of MDPI and/or the editor(s). MDPI and/or the editor(s) disclaim responsibility for any injury to people or property resulting from any ideas, methods, instructions or products referred to in the content. |
© 2024 by the authors. Licensee MDPI, Basel, Switzerland. This article is an open access article distributed under the terms and conditions of the Creative Commons Attribution (CC BY) license (https://creativecommons.org/licenses/by/4.0/).
Share and Cite
Barbari, R.; Bruggink, V.; Hofstetter, R.K.; Tupini, C.; Fagnani, S.; Baldini, E.; Durini, E.; Lampronti, I.; Vertuani, S.; Baldisserotto, A.; et al. Synthesis and Biological Activity Assessment of 2-Styrylbenzothiazoles as Potential Multifunctional Therapeutic Agents. Antioxidants 2024, 13, 1196. https://doi.org/10.3390/antiox13101196
Barbari R, Bruggink V, Hofstetter RK, Tupini C, Fagnani S, Baldini E, Durini E, Lampronti I, Vertuani S, Baldisserotto A, et al. Synthesis and Biological Activity Assessment of 2-Styrylbenzothiazoles as Potential Multifunctional Therapeutic Agents. Antioxidants. 2024; 13(10):1196. https://doi.org/10.3390/antiox13101196
Chicago/Turabian StyleBarbari, Riccardo, Vera Bruggink, Robert Klaus Hofstetter, Chiara Tupini, Sofia Fagnani, Erika Baldini, Elisa Durini, Ilaria Lampronti, Silvia Vertuani, Anna Baldisserotto, and et al. 2024. "Synthesis and Biological Activity Assessment of 2-Styrylbenzothiazoles as Potential Multifunctional Therapeutic Agents" Antioxidants 13, no. 10: 1196. https://doi.org/10.3390/antiox13101196
APA StyleBarbari, R., Bruggink, V., Hofstetter, R. K., Tupini, C., Fagnani, S., Baldini, E., Durini, E., Lampronti, I., Vertuani, S., Baldisserotto, A., Werz, O., & Manfredini, S. (2024). Synthesis and Biological Activity Assessment of 2-Styrylbenzothiazoles as Potential Multifunctional Therapeutic Agents. Antioxidants, 13(10), 1196. https://doi.org/10.3390/antiox13101196









