Olive Leaf Extracts from Three Italian Olive Cultivars Exposed to Drought Stress Differentially Protect Cells against Oxidative Stress
Abstract
1. Introduction
2. Materials and Methods
2.1. Materials
Leaf Sampling and Stress Condition
2.2. Determination of the Antioxidant Capacity and Polyphenol Content
2.3. Ferric Ion-Reducing Antioxidant Power (FRAP)
2.4. Folin–Ciocalteu Method
2.5. Leaf Metabolite Extraction and Ultra-High-Performance Liquid Chromatography–Mass Spectrometry
2.6. Cell Viability Test by WST-1 Assay
2.7. ROS Production
2.8. Permeation of Antioxidants Contained in OLE across Excised Rat Intestine
2.9. Statistical Analysis
3. Results
3.1. Antioxidant Capacity and Polyphenol Content
3.2. OLE Phenolic Characterization
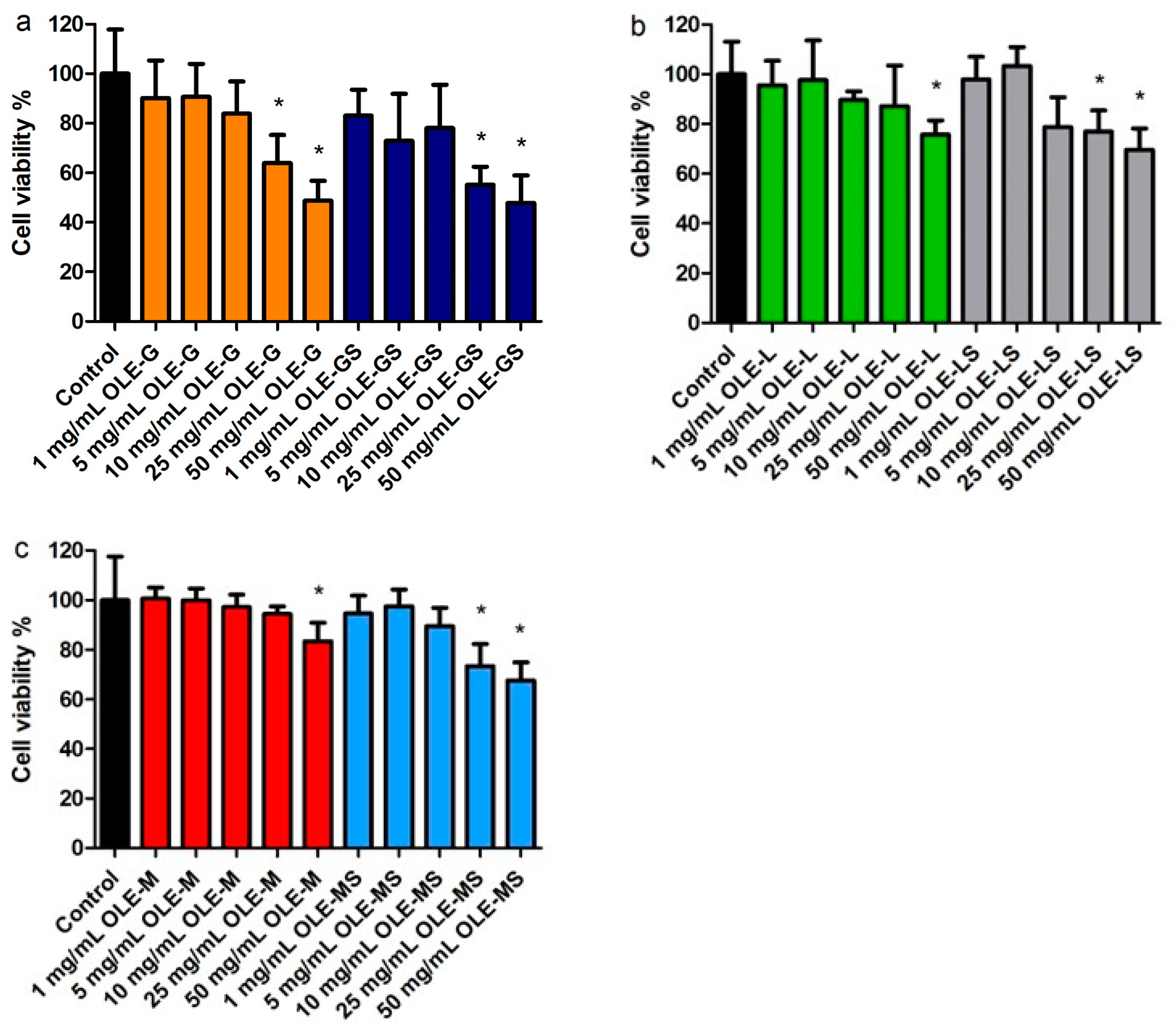
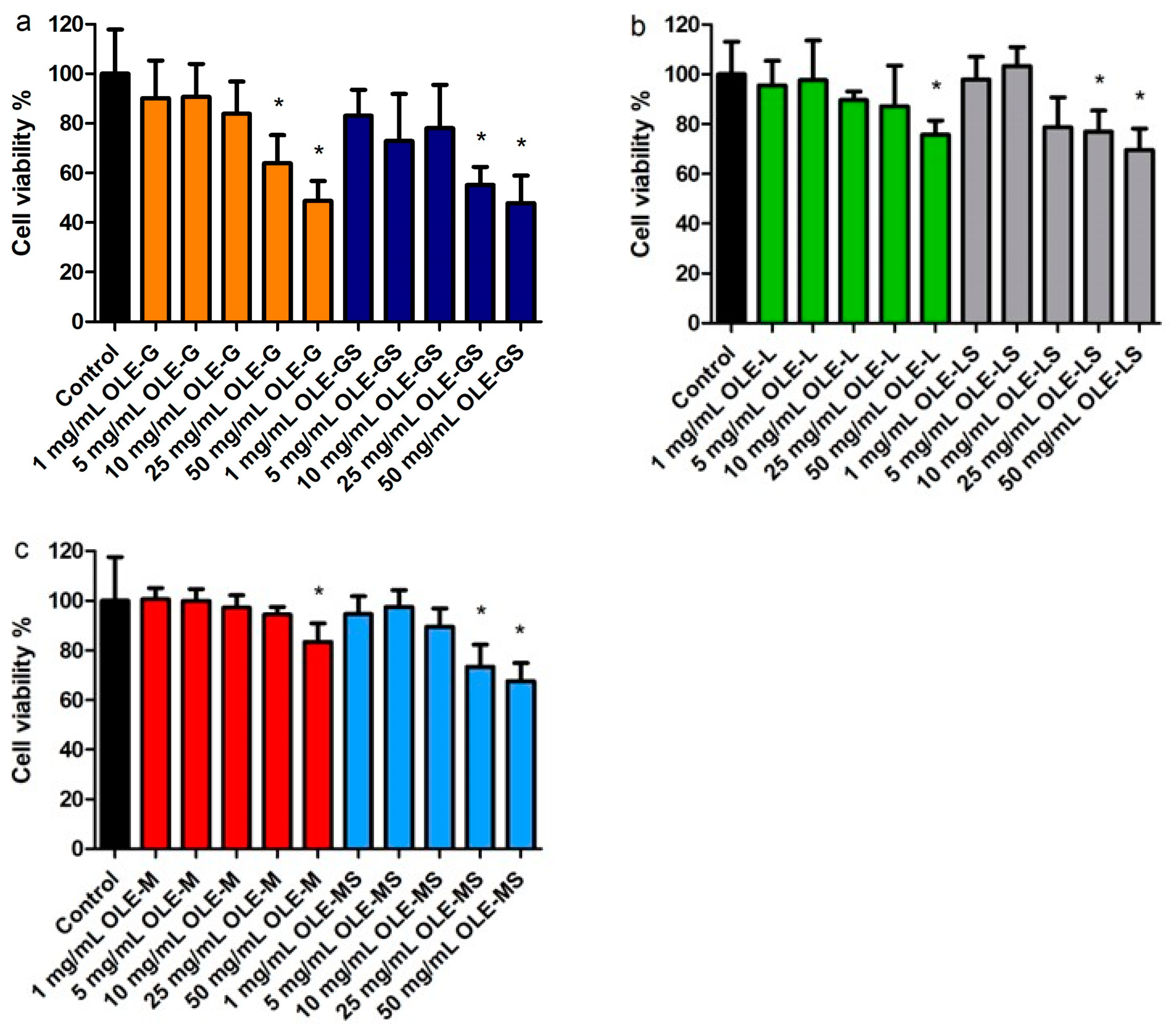
3.3. Cell Viability Test
3.4. OLE Protective Effect from Oxidative Stress
3.5. OLE Antioxidant Activity as Assessed by ROS Production
3.6. Permeation of Antioxidants Contained in OLEs across Excised Rat Intestine
4. Discussion
5. Conclusions
Author Contributions
Funding
Institutional Review Board Statement
Informed Consent Statement
Data Availability Statement
Acknowledgments
Conflicts of Interest
References
- Talhaoui, N.; Taamalli, A.; Gómez-Caravaca, A.M.; Fernández-Gutiérrez, A.; Segura-Carretero, A. Phenolic Compounds in Olive Leaves: Analytical Determination, Biotic and Abiotic Influence, and Health Benefits. Food Res. Int. 2015, 77, 92–108. [Google Scholar] [CrossRef]
- Avraamides, M.; Fatta, D. Resource Consumption and Emissions from Olive Oil Production: A Life Cycle Inventory Case Study in Cyprus. J. Clean. Prod. 2008, 16, 809–821. [Google Scholar] [CrossRef]
- Guinda, Á.; Castellano, J.M.; Santos-Lozano, J.M.; Delgado-Hervás, T.; Gutiérrez-Adánez, P.; Rada, M. Determination of Major Bioactive Compounds from Olive Leaf. LWT-Food Sci. Technol. 2015, 64, 431–438. [Google Scholar] [CrossRef]
- Selim, S.; Albqmi, M.; Al-Sanea, M.M.; Alnusaire, T.S.; Almuhayawi, M.S.; AbdElgawad, H.; Al Jaouni, S.K.; Elkelish, A.; Hussein, S.; Warrad, M.; et al. Valorizing the Usage of Olive Leaves, Bioactive Compounds, Biological Activities, and Food Applications: A Comprehensive Review. Front. Nutr. 2022, 9, 1008349. [Google Scholar] [CrossRef] [PubMed]
- Tarchoune, I.; Sgherri, C.; Eddouzi, J.; Zinnai, A.; Quartacci, M.F.; Zarrouk, M. Olive Leaf Addition Increases Olive Oil Nutraceutical Properties. Molecules 2019, 24, 545. [Google Scholar] [CrossRef] [PubMed]
- Erbay, Z.; Icier, F. The Importance and Potential Uses of Olive Leaves. Food Rev. Int. 2010, 26, 319–334. [Google Scholar] [CrossRef]
- De la Ossa, J.G.; Felice, F.; Azimi, B.; Salsano, J.E.; Digiacomo, M.; Macchia, M.; Danti, S.; Di Stefano, R. Waste Autochthonous Tuscan Olive Leaves (Olea europaea Var. Olivastra seggianese) as Antioxidant Source for Biomedicine. Int. J. Mol. Sci. 2019, 20, 5918. [Google Scholar] [CrossRef]
- Ranieri, M.; Mise, A.D.; Difonzo, G.; Centrone, M.; Venneri, M.; Pellegrino, T.; Russo, A.; Mastrodonato, M.; Caponio, F.; Valenti, G.; et al. Green Olive Leaf Extract (OLE) Provides Cytoprotection in Renal Cells Exposed to Low Doses of Cadmium. PLoS ONE 2019, 14, e0214159. [Google Scholar] [CrossRef]
- Allegretta, C.; Difonzo, G.; Caponio, F.; Tamma, G.; Laselva, O. Olive Leaf Extract (OLE) as a Novel Antioxidant That Ameliorates the Inflammatory Response in Cystic Fibrosis. Cells 2023, 12, 1764. [Google Scholar] [CrossRef]
- Ortega-García, F.; Peragón, J. The Response of Phenylalanine Ammonia-Lyase, Polyphenol Oxidase and Phenols to Cold Stress in the Olive Tree (Olea europaea L. Cv. Picual). J. Sci. Food Agric. 2009, 89, 1565–1573. [Google Scholar] [CrossRef]
- Borjan, D.; Leitgeb, M.; Knez, Ž.; Hrnčič, M.K. Microbiological and Antioxidant Activity of Phenolic Compounds in Olive Leaf Extract. Molecules 2020, 25, 5946. [Google Scholar] [CrossRef] [PubMed]
- Šamec, D.; Karalija, E.; Šola, I.; Vujčić Bok, V.; Salopek-Sondi, B. The Role of Polyphenols in Abiotic Stress Response: The Influence of Molecular Structure. Plants 2021, 10, 118. [Google Scholar] [CrossRef] [PubMed]
- Diaz-Espejo, A.; Fernández, J.E.; Torres-Ruiz, J.M.; Rodriguez-Dominguez, C.M.; Perez-Martin, A.; Hernandez-Santana, V. The Olive Tree under Water Stress. In Water Scarcity and Sustainable Agriculture in Semiarid Environment: Tools, Strategies, and Challenges for Woody Crops; Elsevier: Amsterdam, The Netherlands, 2018; pp. 439–479. ISBN 978-0-12-813164-0. [Google Scholar]
- Jiménez-Herrera, R.; Pacheco-López, B.; Peragón, J. Water stress, irrigation and concentrations of pentacyclic triterpenes and phenols in Olea europaea L. cv. Picual Olive Trees. Antioxidants 2019, 8, 294. [Google Scholar] [CrossRef] [PubMed]
- Ennajeh, M.; Vadel, A.M.; Khemira, H. Osmoregulation and osmoprotection in the leaf cells of two olive cultivars subjected to severe water deficit. Acta Physiol. Plant. 2009, 31, 711–721. [Google Scholar] [CrossRef]
- Mechri, B.; Tekaya, M.; Hammami, M.; Chehab, H. Effects of Drought Stress on Phenolic Accumulation in Greenhouse-Grown Olive Trees (Olea europaea). Biochem. Syst. Ecol. 2020, 92, 104112. [Google Scholar] [CrossRef]
- Cesare, M.M.; Felice, F.; Conti, V.; Cerri, L.; Zambito, Y.; Romi, M.; Cai, G.; Cantini, C.; Di Stefano, R. Impact of Peels Extracts from an Italian Ancient Tomato Variety Grown under Drought Stress Conditions on Vascular Related Dysfunction. Molecules 2021, 26, 4289. [Google Scholar] [CrossRef]
- Irakli, M.; Chatzopoulou, P.; Ekateriniadou, L. Optimization of Ultrasound-Assisted Extraction of Phenolic Compounds: Oleuropein, Phenolic Acids, Phenolic Alcohols and Flavonoids from Olive Leaves and Evaluation of Its Antioxidant Activities. Ind. Crops Prod. 2018, 124, 382–388. [Google Scholar] [CrossRef]
- Parri, S.; Romi, M.; Hoshika, Y.; Giovannelli, A.; Dias, M.C.; Piritore, F.C.; Cai, G.; Cantini, C. Morpho-Physiological Responses of Three Italian Olive Tree (Olea europaea L.) Cultivars to Drought Stress. Horticulturae 2023, 9, 830. [Google Scholar] [CrossRef]
- D’Agostino, N.; Taranto, F.; Camposeo, S.; Mangini, G.; Fanelli, V.; Gadaleta, S.; Miazzi, M.M.; Pavan, S.; di Rienzo, V.; Sabetta, W.; et al. GBS-Derived SNP Catalogue Unveiled Wide Genetic Variability and Geographical Relationships of Italian Olive Cultivars. Sci. Rep. 2018, 8, 15877. [Google Scholar] [CrossRef]
- de Pascali, M.; Vergine, M.; Sabella, E.; Aprile, A.; Nutricati, E.; Nicolì, F.; Buja, I.; Negro, C.; Miceli, A.; Rampino, P.; et al. Molecular Effects of Xylella Fastidiosa and Drought Combined Stress in Olive Trees. Plants 2019, 8, 437. [Google Scholar] [CrossRef]
- Medina-Leyte, D.J.; Domínguez-Pérez, M.; Mercado, I.; Villarreal-Molina, M.T.; Jacobo-Albavera, L. Use of human umbilical vein endothelial cells (HUVEC) as a model to study cardiovascular disease: A review. Appl. Sci. 2020, 10, 938. [Google Scholar] [CrossRef]
- De la Ossa, J.G.; Fusco, A.; Azimi, B.; Esposito Salsano, J.; Digiacomo, M.; Coltelli, M.B.; De Clerck, K.; Roy, I.; Macchia, M.; Lazzeri, A.; et al. Immunomodulatory Activity of Electrospun Polyhydroxyalkanoate Fiber Scaffolds Incorporating Olive Leaf Extract. Appl. Sci. 2021, 11, 4006. [Google Scholar] [CrossRef]
- Benzie, I.F.; Strain, J.J. The Ferric Reducing Ability of Plasma (FRAP) as a Measure of “Antioxidant Power”: The FRAP Assay. Anal. Biochem. 1996, 239. [Google Scholar] [CrossRef] [PubMed]
- Singleton, V.L.; Rossi, J.A. Colorimetry of Total Phenolics with Phosphomolybdic-Phosphotungstic Acid Reagents. Am. J. Enol. Vitic. 1965, 16, 144–158. [Google Scholar] [CrossRef]
- Dias, M.C.; Figueiredo, C.; Pinto, D.C.G.A.; Freitas, H.; Santos, C.; Silva, A.M.S. Heat Shock and UV-B Episodes Modulate Olive Leaves Lipophilic and Phenolic Metabolite Profiles. Ind. Crops Prod. 2019, 133, 269–275. [Google Scholar] [CrossRef]
- Zambito, Y.; Colo, G.D. Thiolated Quaternary Ammonium–Chitosan Conjugates for Enhanced Precorneal Retention, Transcorneal Permeation and Intraocular Absorption of Dexamethasone. Eur. J. Pharm. Biopharm. 2010, 75, 194–199. [Google Scholar] [CrossRef]
- Zambito, Y.; Fogli, S.; Zaino, C.; Stefanelli, F.; Breschi, M.C.; Di Colo, G. Synthesis, Characterization and Evaluation of Thiolated Quaternary Ammonium-Chitosan Conjugates for Enhanced Intestinal Drug Permeation. Eur. J. Pharm. Sci. 2009, 38, 112–120. [Google Scholar] [CrossRef]
- Legen, I.; Salobir, M.; Kerč, J. Comparison of Different Intestinal Epithelia as Models for Absorption Enhancement Studies. Int. J. Pharm. 2005, 291, 183–188. [Google Scholar] [CrossRef]
- Espeso, J.; Isaza, A.; Lee, J.Y.; Sörensen, P.M.; Jurado, P.; Avena-Bustillos, R.D.J.; Olaizola, M.; Arboleya, J.C. Olive Leaf Waste Management. Front. Sustain. Food Syst. 2021, 5, 660582. [Google Scholar] [CrossRef]
- Denaxa, N.-K.; Damvakaris, T.; Roussos, P.A. Antioxidant Defense System in Young Olive Plants against Drought Stress and Mitigation of Adverse Effects through External Application of Alleviating Products. Sci. Hortic. 2020, 259, 108812. [Google Scholar] [CrossRef]
- Petridis, A.; Therios, I.; Samouris, G.; Koundouras, S.; Giannakoula, A. Effect of Water Deficit on Leaf Phenolic Composition, Gas Exchange, Oxidative Damage and Antioxidant Activity of Four Greek Olive (Olea europaea L.) Cultivars. Plant Physiol. Biochem. 2012, 60, 1–11. [Google Scholar] [CrossRef] [PubMed]
- Xie, P.; Huang, L.; Zhang, C.; Zhang, Y. Phenolic Compositions, and Antioxidant Performance of Olive Leaf and Fruit (Olea europaea L.) Extracts and Their Structure–Activity Relationships. J. Funct. Foods 2015, 16, 460–471. [Google Scholar] [CrossRef]
- Benavente-García, O.; Castillo, J.; Lorente, J.; Ortuño, A.; Del Rio, J.A. Antioxidant Activity of Phenolics Extracted from Olea europaea L. Leaves. Food Chem. 2000, 68, 457–462. [Google Scholar] [CrossRef]
- De Leonardis, A.; Macciola, V.; Lembo, G.; Aretini, A.; Nag, A. Studies on Oxidative Stabilisation of Lard by Natural Antioxidants Recovered from Olive-Oil Mill Wastewater. Food Chem. 2007, 100, 998–1004. [Google Scholar] [CrossRef]
- Babich, H.; Visioli, F. In Vitro Cytotoxicity to Human Cells in Culture of Some Phenolics from Olive Oil. Il Farm. 2003, 58, 403–407. [Google Scholar] [CrossRef]
- Vogel, P.; Kasper Machado, I.; Garavaglia, J.; Zani, V.T.; de Souza, D.; Morelo Dal Bosco, S. Polyphenols benefits of olive leaf (Olea europaea L.) to human health. Nutr. Hosp. 2014, 31, 1427–1433. [Google Scholar] [CrossRef]
- Cuffaro, D.; Pinto, D.; Silva, A.M.; Bertolini, A.; Bertini, S.; Saba, A.; Macchia, M.; Rodrigues, F.; Digiacomo, M. Insights into the Antioxidant/Antiradical Effects and In Vitro Intestinal Permeation of Oleocanthal and Its Metabolites Tyrosol and Oleocanthalic Acid. Molecules 2023, 28, 5150. [Google Scholar] [CrossRef]









| Rt (min.) | Compound | [M-H]–(m/z) | MS2 (m/z) Fragments | OLE-G | OLE-GS | OLE-L | OLE-LS | OLE-M | OLE-MS |
|---|---|---|---|---|---|---|---|---|---|
| Secoiridoids | |||||||||
| 10.3 | Oleuropein aglicone | 377 | 197/153 | 1.140 ± 0.109 b | 0.596 ± 0.025 d | nd | 1.244 ± 0.022 b | 0.875 ± 0.024 c | 1.797 ± 0.005 a |
| 10.8 | Aldehydic form of decarboxyl elenolic acid | 215 | 197/153/ 171/185 | 0.475 ± 0.118 b | 0.752 ± 0.076 b | 4.314 ± 0.681 a | 0.708 ± 0.033 b | 0.653 ± 0.184 b | 0.973 ± 0.014 b |
| 14.4 | Oleuropein | 539 | 377/307/275 | 1.228 ± 0.276 c | 1.377 ± 0.106 c | nd | 8.095 ± 0.494 b | 1.661 ± 0.845 c | 24.897 ± 1.353 a |
| Flavonoids | |||||||||
| 11.9 | Dihydroquercetin | 303 | 285/177/ 125 | 2.506 ± 0.145 c | 2.722 ± 0.032 c | 2.655 ± 0.014 c | 2.391 ± 0.204 c | 3.430 ± 0.048 b | 5.279 ± 0.089 a |
| 12.1 | Luteolin-7-O-rutinoside | 593 | 447/285 | nd | nd | 2.584 ± 0.015 d | 4.261 ± 0.167 b | 3.008 ± 0.046 c | 10.366 ± 0.125 a |
| 12.1 | Luteolin-7-O-glucoside is. 1 | 447 | 287/285 | 2.029 ± 0.070 | 2.305 ± 0.171 | nd | nd | nd | nd |
| 12.4 | Apigenin-O-dideoxyhexoside-hexoxide | 449 | 269 | 1.826 ± 0.023 d | 1.726 ± 0.016 d | 2.628 ± 0.015 b | 2.992 ± 0.015 a | 2.250 ± 0.025 c | 2.479 ± 0.174 b |
| 12.8 | Apigenin-7-O-rutinoside is. 1 | 577 | 269 | 3.471 ± 0.125 c | 2.350 ± 0.050 e | 4.797 ± 0.090 b | 5.364 ± 0.071 a | 2.688 ± 0.023 d | 3.621 ± 0.047 c |
| 13.0 | Apigenin-7-O-rutinoside is. 2 | 577 | 269 | 2.485 ± 0.102 c | 2.099 ± 0.107 d | 2.849 ± 0.036 b | 3.296 ± 0.199 a | 2.283 ± 0.041 c | 2.979 ± 0.037 b |
| 13.3 | Luteolin-7-O-glucoside is. 2 | 447 | 285 | 3.737 ± 0.163 bc | 3.035 ± 0.462 bc | 2.762 ± 0.233 c | 6.135 ± 0.250 a | 4.039 ± 0.139 b | 7.161 ± 0.638 a |
| 13.5 | Chrysoeriol-7-O-glucoside | 461 | 299/446 | 2.198 ± 0.099 c | 1.669 ± 0.007 d | nd | nd | 2.840 ± 0.112 b | 4.111 ± 0.127 a |
| 13.9 | Luteolin-7-O-glucoside is. 3 | 447 | 285 | 2.215 ± 0.145 b | 1.741 ± 0.063 c | nd | nd | 2.506 ± 0.173 ab | 2.878 ± 0.187 a |
| 15.7 | Luteolin | 285 | 285 | 2.668 ± 0.018 c | 3.098 ± 0.290 c | 7.160 ± 0.197 a | 3.109 ± 0.014 c | 4.905 ± 0.119 b | 4.546 ± 0.200 b |
| 16.7 | Apigenin-7-O-rutinoside | 577 | 269 | 2.000 ± 0.004 c | 1.651 ± 0.078 d | 2.086 ± 0.034 c | 2.262 ± 0.019 b | 2.339 ± 0.073 b | 2.619 ± 0.046 a |
| 17.4 | Apigenin | 269 | 269/225 | 2.612 ± 0.041 d | 2.010 ± 0.077 e | 5.982 ± 0.089 a | 3.956 ± 0.042 b | 2.884 ± 0.012 c | 2.701 ± 0.010 d |
| 17.8 | Diosmetin | 299 | 284 | 2.637 ± 0.028 c | 2.283 ± 0.049 d | 2.877 ± 0.020 b | 2.277 ± 0.005 d | 3.537 ± 0.047 a | 2.674 ± 0.014 c |
Disclaimer/Publisher’s Note: The statements, opinions and data contained in all publications are solely those of the individual author(s) and contributor(s) and not of MDPI and/or the editor(s). MDPI and/or the editor(s) disclaim responsibility for any injury to people or property resulting from any ideas, methods, instructions or products referred to in the content. |
© 2024 by the authors. Licensee MDPI, Basel, Switzerland. This article is an open access article distributed under the terms and conditions of the Creative Commons Attribution (CC BY) license (https://creativecommons.org/licenses/by/4.0/).
Share and Cite
Cerri, L.; Parri, S.; Dias, M.C.; Fabiano, A.; Romi, M.; Cai, G.; Cantini, C.; Zambito, Y. Olive Leaf Extracts from Three Italian Olive Cultivars Exposed to Drought Stress Differentially Protect Cells against Oxidative Stress. Antioxidants 2024, 13, 77. https://doi.org/10.3390/antiox13010077
Cerri L, Parri S, Dias MC, Fabiano A, Romi M, Cai G, Cantini C, Zambito Y. Olive Leaf Extracts from Three Italian Olive Cultivars Exposed to Drought Stress Differentially Protect Cells against Oxidative Stress. Antioxidants. 2024; 13(1):77. https://doi.org/10.3390/antiox13010077
Chicago/Turabian StyleCerri, Luca, Sara Parri, Maria Celeste Dias, Angela Fabiano, Marco Romi, Giampiero Cai, Claudio Cantini, and Ylenia Zambito. 2024. "Olive Leaf Extracts from Three Italian Olive Cultivars Exposed to Drought Stress Differentially Protect Cells against Oxidative Stress" Antioxidants 13, no. 1: 77. https://doi.org/10.3390/antiox13010077
APA StyleCerri, L., Parri, S., Dias, M. C., Fabiano, A., Romi, M., Cai, G., Cantini, C., & Zambito, Y. (2024). Olive Leaf Extracts from Three Italian Olive Cultivars Exposed to Drought Stress Differentially Protect Cells against Oxidative Stress. Antioxidants, 13(1), 77. https://doi.org/10.3390/antiox13010077

