Dietary Total Antioxidant Capacity, a Diet Quality Index Predicting Mortality Risk in US Adults: Evidence from the NIH-AARP Diet and Health Study
Abstract
1. Introduction
2. Materials and Methods
2.1. Study Population
2.2. Assessment of Dietary Total Antioxidant Capacity
2.3. Case Ascertainment
2.4. Assessment of Confounding Variables
2.5. Statistical Analysis
3. Results
3.1. Baseline Characteristics
3.2. Antioxidant Intakes and TAC
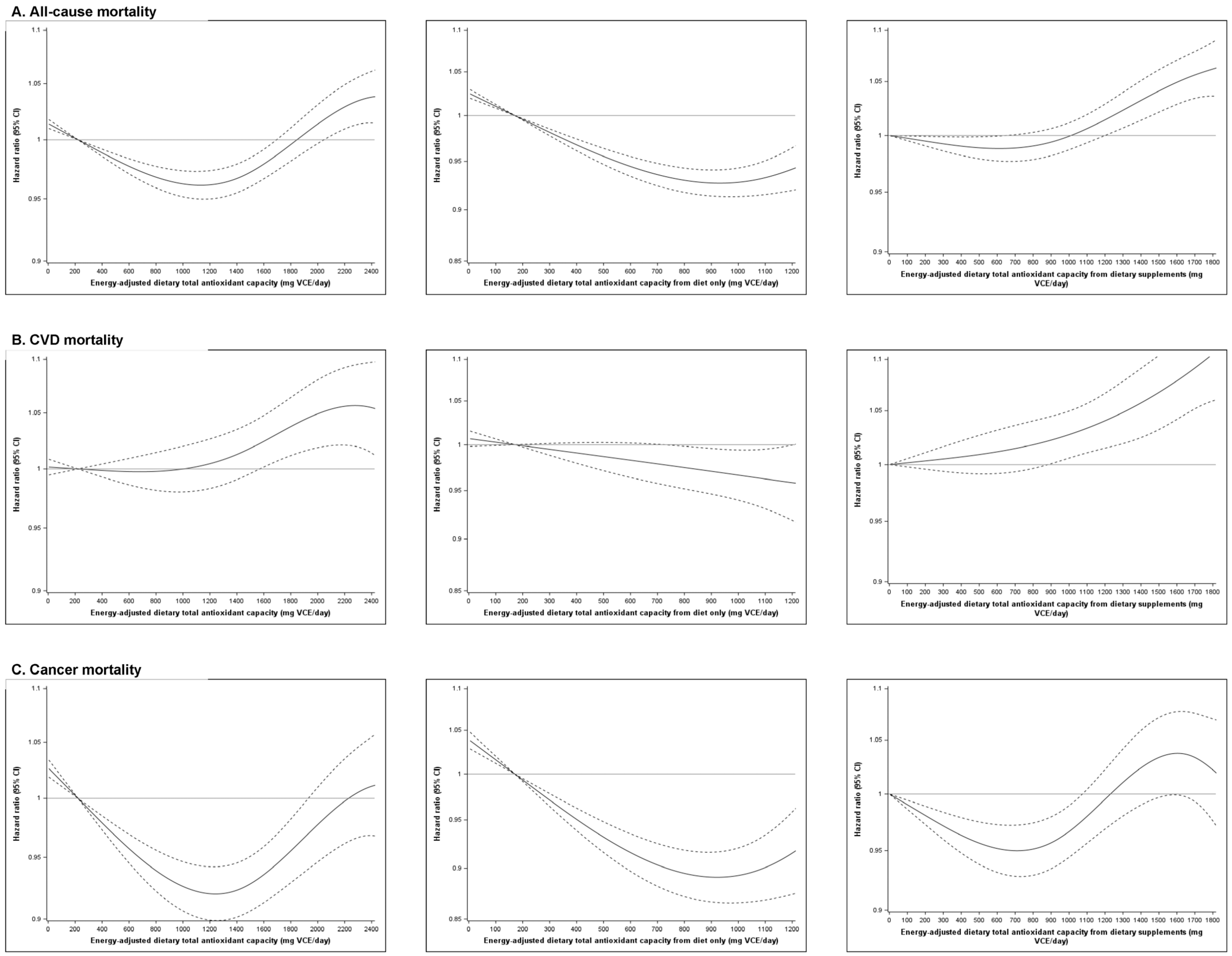
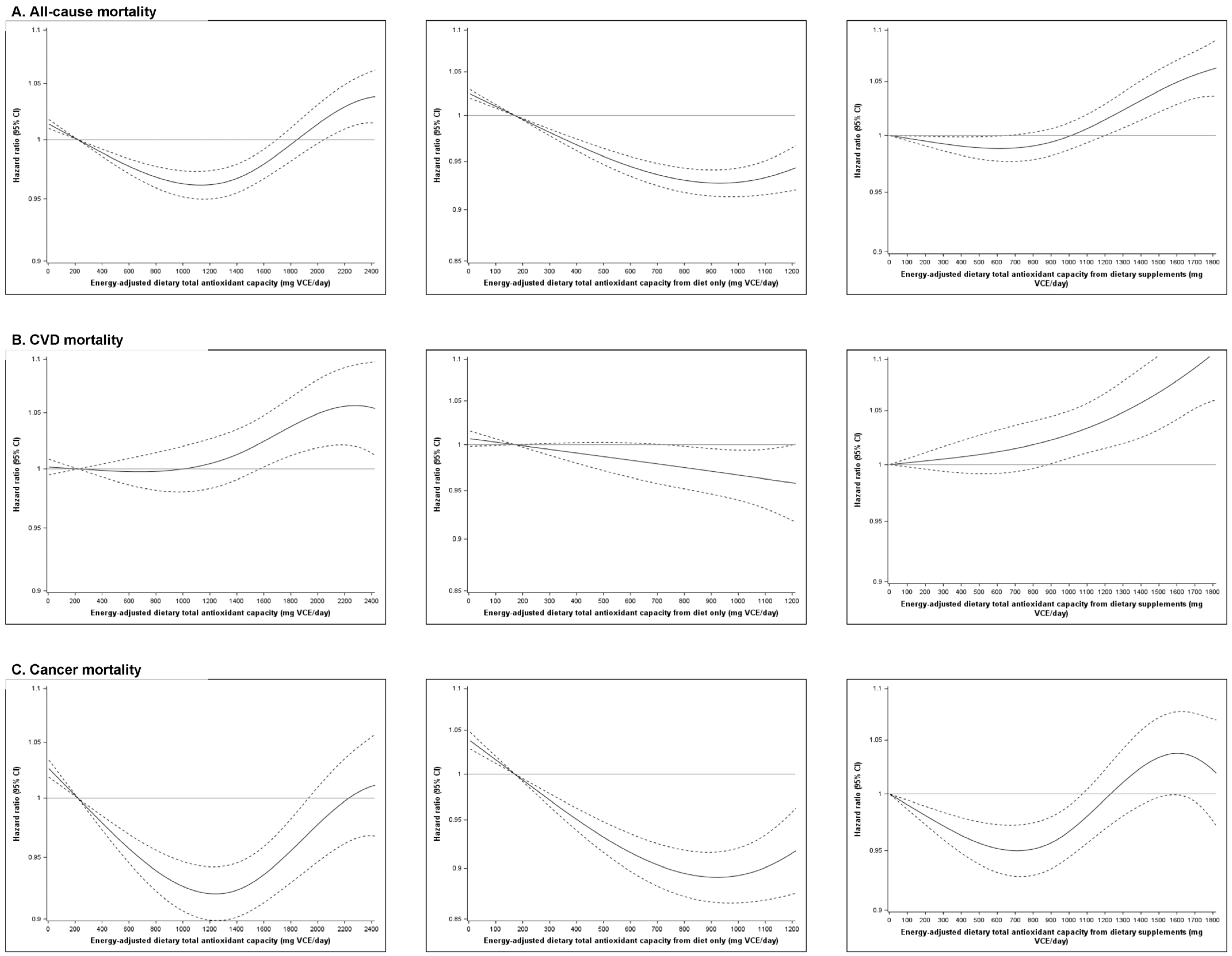
3.3. Association between Dietary TAC and Mortality
3.4. Stratified Analyses for Association between Dietary TAC from Diet Only and Mortality
4. Discussion
5. Conclusions
Author Contributions
Funding
Institutional Review Board Statement
Informed Consent Statement
Data Availability Statement
Acknowledgments
Conflicts of Interest
References
- Arulselvan, P.; Fard, M.T.; Tan, W.S.; Gothai, S.; Fakurazi, S.; Norhaizan, M.E.; Kumar, S.S. Role of Antioxidants and Natural Products in Inflammation. Oxid. Med. Cell. Longev. 2016, 2016, 5276130. [Google Scholar] [CrossRef] [PubMed]
- Da Costa, L.A.; Badawi, A.; El-Sohemy, A. Nutrigenetics and modulation of oxidative stress. Ann. Nutr. Metab. 2012, 60 (Suppl. S3), 27–36. [Google Scholar] [CrossRef] [PubMed]
- Agudo, A.; Cabrera, L.; Amiano, P.; Ardanaz, E.; Barricarte, A.; Berenguer, T.; Chirlaque, M.D.; Dorronsoro, M.; Jakszyn, P.; Larrañaga, N.; et al. Fruit and vegetable intakes, dietary antioxidant nutrients, and total mortality in Spanish adults: Findings from the Spanish cohort of the European Prospective Investigation into Cancer and Nutrition (EPIC-Spain). Am. J. Clin. Nutr. 2007, 85, 1634–1642. [Google Scholar] [CrossRef]
- Jayedi, A.; Rashidy-Pour, A.; Parohan, M.; Zargar, M.S.; Shab-Bidar, S. Dietary Antioxidants, Circulating Antioxidant Concentrations, Total Antioxidant Capacity, and Risk of All-Cause Mortality: A Systematic Review and Dose-Response Meta-Analysis of Prospective Observational Studies. Adv. Nutr. 2018, 9, 701–716. [Google Scholar] [CrossRef] [PubMed]
- Bondonno, N.P.; Dalgaard, F.; Kyrø, C.; Murray, K.; Bondonno, C.P.; Lewis, J.R.; Croft, K.D.; Gislason, G.; Scalbert, A.; Cassidy, A.; et al. Flavonoid intake is associated with lower mortality in the Danish Diet Cancer and Health Cohort. Nat. Commun. 2019, 10, 3651. [Google Scholar] [CrossRef]
- Ha, K.; Sakaki, J.R.; Chun, O.K. Nutrient Adequacy Is Associated with Reduced Mortality in US Adults. J. Nutr. 2021, 151, 3214–3222. [Google Scholar] [CrossRef]
- Chen, Z.; Huang, Y.; Cao, D.; Qiu, S.; Chen, B.; Li, J.; Bao, Y.; Wei, Q.; Han, P.; Liu, L. Vitamin C Intake and Cancers: An Umbrella Review. Front. Nutr. 2021, 8, 812394. [Google Scholar] [CrossRef]
- Kim, Y.; Je, Y. Flavonoid intake and mortality from cardiovascular disease and all causes: A meta-analysis of prospective cohort studies. Clin. Nutr. ESPEN 2017, 20, 68–77. [Google Scholar] [CrossRef]
- Ivey, K.L.; Hodgson, J.M.; Croft, K.D.; Lewis, J.R.; Prince, R.L. Flavonoid intake and all-cause mortality. Am. J. Clin. Nutr. 2015, 101, 1012–1020. [Google Scholar] [CrossRef]
- Serafini, M.; Del Rio, D. Understanding the association between dietary antioxidants, redox status and disease: Is the Total Antioxidant Capacity the right tool? Redox Rep. 2004, 9, 145–152. [Google Scholar] [CrossRef]
- Floegel, A.; Kim, D.O.; Chung, S.J.; Song, W.O.; Fernandez, M.L.; Bruno, R.S.; Koo, S.I.; Chun, O.K. Development and validation of an algorithm to establish a total antioxidant capacity database of the US diet. Int. J. Food. Sci. Nutr. 2010, 61, 600–623. [Google Scholar] [CrossRef] [PubMed]
- Psaltopoulou, T.; Panagiotakos, D.B.; Pitsavos, C.; Chrysochoou, C.; Detopoulou, P.; Skoumas, J.; Stefanadis, C. Dietary antioxidant capacity is inversely associated with diabetes biomarkers: The ATTICA study. Nutr. Metab. Cardiovasc. Dis. 2011, 21, 561–567. [Google Scholar] [CrossRef] [PubMed]
- Cyuńczyk, M.; Zujko, M.E.; Jamiołkowski, J.; Zujko, K.; Łapińska, M.; Zalewska, M.; Kondraciuk, M.; Witkowska, A.M.; Kamiński, K.A. Dietary Total Antioxidant Capacity Is Inversely Associated with Prediabetes and Insulin Resistance in Bialystok PLUS Population. Antioxidants 2022, 11, 283. [Google Scholar] [CrossRef] [PubMed]
- Sheng, L.T.; Jiang, Y.W.; Pan, A.; Koh, W.P. Dietary total antioxidant capacity and mortality outcomes: The Singapore Chinese Health Study. Eur. J. Nutr. 2022, 61, 2375–2382. [Google Scholar] [CrossRef]
- Rautiainen, S.; Levitan, E.B.; Mittleman, M.A.; Wolk, A. Total antioxidant capacity of diet and risk of heart failure: A population-based prospective cohort of women. Am. J. Med. 2013, 126, 494–500. [Google Scholar] [CrossRef]
- Kim, K.; Vance, T.M.; Chen, M.H.; Chun, O.K. Dietary total antioxidant capacity is inversely associated with all-cause and cardiovascular disease death of US adults. Eur. J. Nutr. 2018, 57, 2469–2476. [Google Scholar] [CrossRef]
- Kashino, I.; Mizoue, T.; Serafini, M.; Akter, S.; Sawada, N.; Ishihara, J.; Kotemori, A.; Inoue, M.; Yamaji, T.; Goto, A.; et al. Higher Dietary Non-enzymatic Antioxidant Capacity Is Associated with Decreased Risk of All-Cause and Cardiovascular Disease Mortality in Japanese Adults. J. Nutr. 2019, 149, 1967–1976. [Google Scholar] [CrossRef]
- Zhong, G.C.; Pu, J.Y.; Wu, Y.L.; Yi, Z.J.; Wan, L.; Wang, K.; Hao, F.B.; Zhao, Y.; Gong, J.P. Total Antioxidant Capacity and Pancreatic Cancer Incidence and Mortality in the Prostate, Lung, Colorectal, and Ovarian Cancer Screening Trial. Cancer Epidemiol. Biomark. Prev. 2020, 29, 1019–1028. [Google Scholar] [CrossRef]
- Vance, T.M.; Wang, Y.; Su, L.J.; Fontham, E.T.; Steck, S.E.; Arab, L.; Bensen, J.T.; Mohler, J.L.; Chen, M.H.; Chun, O.K. Dietary Total Antioxidant Capacity is Inversely Associated with Prostate Cancer Aggressiveness in a Population-Based Study. Nutr. Cancer 2016, 68, 214–224. [Google Scholar] [CrossRef]
- Lucas, A.L.; Bosetti, C.; Boffetta, P.; Negri, E.; Tavani, A.; Serafini, M.; Polesel, J.; Serraino, D.; La Vecchia, C.; Rossi, M. Dietary total antioxidant capacity and pancreatic cancer risk: An Italian case-control study. Br. J. Cancer 2016, 115, 102–107. [Google Scholar] [CrossRef]
- Pantavos, A.; Ruiter, R.; Feskens, E.F.; de Keyser, C.E.; Hofman, A.; Stricker, B.H.; Franco, O.H.; Kiefte-de Jong, J.C. Total dietary antioxidant capacity, individual antioxidant intake and breast cancer risk: The Rotterdam Study. Int. J. Cancer 2015, 136, 2178–2186. [Google Scholar] [CrossRef] [PubMed]
- Das, A.; Hsu, M.S.H.; Rangan, A.; Hirani, V. Dietary or supplemental intake of antioxidants and the risk of mortality in older people: A systematic review. Nutr. Diet. 2021, 78, 24–40. [Google Scholar] [CrossRef] [PubMed]
- Wang, Y.; Yang, M.; Lee, S.G.; Davis, C.; Masterjohn, C.; Kenny, A.; Bruno, R.S.; Chun, O.K. Total Antioxidant Capacity: A Useful Tool in Assessing Antioxidant Intake Status. In Natural Compounds as Inducers of Cell Death; Diederich, M., Noworyta, K., Eds.; Springer: Amsterdam, The Netherlands, 2012; Volume 1, pp. 265–292. [Google Scholar]
- Chun, O.K.; Chung, S.J.; Song, W.O. Urinary isoflavones and their metabolites validate the dietary isoflavone intakes in US adults. J. Am. Diet. Assoc. 2009, 109, 245–254. [Google Scholar] [CrossRef]
- Wang, Y.; Yang, M.; Lee, S.G.; Davis, C.G.; Koo, S.I.; Chun, O.K. Dietary total antioxidant capacity is associated with diet and plasma antioxidant status in healthy young adults. J. Acad. Nutr. Diet. 2012, 112, 1626–1635. [Google Scholar] [CrossRef] [PubMed]
- Wang, Y.; Yang, M.; Lee, S.G.; Davis, C.G.; Koo, S.I.; Fernandez, M.L.; Volek, J.S.; Chun, O.K. Diets high in total antioxidant capacity improve risk biomarkers of cardiovascular disease: A 9-month observational study among overweight/obese postmenopausal women. Eur. J. Nutr. 2014, 53, 1363–1369. [Google Scholar] [CrossRef] [PubMed]
- Kim, K.; Vance, T.M.; Chun, O.K. Greater Total Antioxidant Capacity from Diet and Supplements Is Associated with a Less Atherogenic Blood Profile in U.S. Adults. Nutrients 2016, 8, 15. [Google Scholar] [CrossRef]
- Ha, K.; Kim, K.; Sakaki, J.R.; Chun, O.K. Relative Validity of Dietary Total Antioxidant Capacity for Predicting All-Cause Mortality in Comparison to Diet Quality Indexes in US Adults. Nutrients 2020, 12, 1210. [Google Scholar] [CrossRef]
- Jun, S.; Chun, O.K.; Joung, H. Estimation of dietary total antioxidant capacity of Korean adults. Eur. J. Nutr. 2018, 57, 1615–1625. [Google Scholar] [CrossRef]
- Kim, S.; Song, Y.; Lee, J.E.; Jun, S.; Shin, S.; Wie, G.A.; Cho, Y.H.; Joung, H. Total Antioxidant Capacity from Dietary Supplement Decreases the Likelihood of Having Metabolic Syndrome in Korean Adults. Nutrients 2017, 9, 1055. [Google Scholar] [CrossRef]
- Kim, D.; Han, A.; Park, Y. Association of Dietary Total Antioxidant Capacity with Bone Mass and Osteoporosis Risk in Korean Women: Analysis of the Korea National Health and Nutrition Examination Survey 2008–2011. Nutrients 2021, 13, 1149. [Google Scholar] [CrossRef]
- Schatzkin, A.; Subar, A.F.; Thompson, F.E.; Harlan, L.C.; Tangrea, J.; Hollenbeck, A.R.; Hurwitz, P.E.; Coyle, L.; Schussler, N.; Michaud, D.S.; et al. Design and serendipity in establishing a large cohort with wide dietary intake distributions: The National Institutes of Health-American Association of Retired Persons Diet and Health Study. Am. J. Epidemiol. 2001, 154, 1119–1125. [Google Scholar] [CrossRef] [PubMed]
- Bhagwat, S.; Haytowitz, D.B.; Wasswa-Kintu, S. USDA’s Expanded Flavonoid Database for the Assessment of Dietary Intakes, Release 1.1; Nutrient Data Laboratory; Beltsville Human Nutrition Research Center; ARS; USDA: Beltsville, MD, USA, 2015.
- Kim, K.; Vance, T.M.; Chun, O.K. Estimated intake and major food sources of flavonoids among US adults: Changes between 1999–2002 and 2007–2010 in NHANES. Eur. J. Nutr. 2016, 55, 833–843. [Google Scholar] [CrossRef] [PubMed]
- GBD 2019 Cancer Risk Factors Collaborators. The global burden of cancer attributable to risk factors, 2010–2019: A systematic analysis for the Global Burden of Disease Study 2019. Lancet 2022, 400, 563–591. [Google Scholar] [CrossRef] [PubMed]
- Michaëlsson, K.; Wolk, A.; Melhus, H.; Byberg, L. Milk, Fruit and Vegetable, and Total Antioxidant Intakes in Relation to Mortality Rates: Cohort Studies in Women and Men. Am. J. Epidemiol. 2017, 185, 345–361. [Google Scholar] [CrossRef] [PubMed]
- Bastide, N.; Dartois, L.; Dyevre, V.; Dossus, L.; Fagherazzi, G.; Serafini, M.; Boutron-Ruault, M.C. Dietary antioxidant capacity and all-cause and cause-specific mortality in the E3N/EPIC cohort study. Eur. J. Nutr. 2017, 56, 1233–1243. [Google Scholar] [CrossRef]
- Henríquez-Sánchez, P.; Sánchez-Villegas, A.; Ruano-Rodríguez, C.; Gea, A.; Lamuela-Raventós, R.M.; Estruch, R.; Salas-Salvadó, J.; Covas, M.I.; Corella, D.; Schröder, H.; et al. Dietary total antioxidant capacity and mortality in the PREDIMED study. Eur. J. Nutr. 2016, 55, 227–236. [Google Scholar] [CrossRef]
- Parohan, M.; Anjom-Shoae, J.; Nasiri, M.; Khodadost, M.; Khatibi, S.R.; Sadeghi, O. Dietary total antioxidant capacity and mortality from all causes, cardiovascular disease and cancer: A systematic review and dose-response meta-analysis of prospective cohort studies. Eur. J. Nutr. 2019, 58, 2175–2189. [Google Scholar] [CrossRef]
- Yang, M.; Chung, S.J.; Chung, C.E.; Kim, D.O.; Song, W.O.; Koo, S.I.; Chun, O.K. Estimation of total antioxidant capacity from diet and supplements in US adults. Br. J. Nutr. 2011, 106, 254–263. [Google Scholar] [CrossRef]
- Myung, S.K.; Ju, W.; Cho, B.; Oh, S.W.; Park, S.M.; Koo, B.K.; Park, B.J. Efficacy of vitamin and antioxidant supplements in prevention of cardiovascular disease: Systematic review and meta-analysis of randomised controlled trials. BMJ 2013, 346, f10. [Google Scholar] [CrossRef]
- Czernichow, S.; Bertrais, S.; Blacher, J.; Galan, P.; Briançon, S.; Favier, A.; Safar, M.; Hercberg, S. Effect of supplementation with antioxidants upon long-term risk of hypertension in the SU.VI.MAX study: Association with plasma antioxidant levels. J. Hypertens. 2005, 23, 2013–2018. [Google Scholar] [CrossRef]
- Leopold, J.A. Antioxidants and coronary artery disease: From pathophysiology to preventive therapy. Coron. Artery Dis. 2015, 26, 176–183. [Google Scholar] [CrossRef] [PubMed]
- An, P.; Wan, S.; Luo, Y.; Luo, J.; Zhang, X.; Zhou, S.; Xu, T.; He, J.; Mechanick, J.I.; Wu, W.C.; et al. Micronutrient Supplementation to Reduce Cardiovascular Risk. J. Am. Coll. Cardiol. 2022, 80, 2269–2285. [Google Scholar] [CrossRef] [PubMed]
- Behrendt, I.; Eichner, G.; Fasshauer, M. Association of Antioxidants Use with All-Cause and Cause-Specific Mortality: A Prospective Study of the UK Biobank. Antioxidants 2020, 9, 1287. [Google Scholar] [CrossRef] [PubMed]
- Salari-Moghaddam, A.; Nouri-Majd, S.; Keshteli, A.H.; Emami, F.; Esmaillzadeh, A.; Adibi, P. Association between Dietary Total Antioxidant Capacity and Diet Quality in Adults. Front. Nutr. 2022, 9, 838752. [Google Scholar] [CrossRef]
- Puchau, B.; Zulet, M.A.; de Echávarri, A.G.; Hermsdorff, H.H.; Martínez, J.A. Dietary total antioxidant capacity: A novel indicator of diet quality in healthy young adults. J. Am. Coll. Nutr. 2009, 28, 648–656. [Google Scholar] [CrossRef]
- Zujko, M.E.; Waśkiewicz, A.; Witkowska, A.M.; Cicha-Mikołajczyk, A.; Zujko, K.; Drygas, W. Dietary Total Antioxidant Capacity-A New Indicator of Healthy Diet Quality in Cardiovascular Diseases: A Polish Cross-Sectional Study. Nutrients 2022, 14, 3219. [Google Scholar] [CrossRef]
- Furukawa, S.; Fujita, T.; Shimabukuro, M.; Iwaki, M.; Yamada, Y.; Nakajima, Y.; Nakayama, O.; Makishima, M.; Matsuda, M.; Shimomura, I. Increased oxidative stress in obesity and its impact on metabolic syndrome. J. Clin. Investig. 2017, 114, 1752–1761. [Google Scholar] [CrossRef]
- van der Vaart, H.; Postma, D.S.; Timens, W.; ten Hacken, N.H. Acute effects of cigarette smoke on inflammation and oxidative stress: A review. Thorax 2004, 59, 713–721. [Google Scholar] [CrossRef]
- Nomura, A.; Hankin, J.; Rhoads, G. The reproducibility of dietary intake data in a prospective study of gastrointestinal cancer. Am. J. Clin. Nutr. 1976, 29, 1432–1436. [Google Scholar] [CrossRef]
- Newby, P.; Weismayer, C.; Akesson, A.; Tucker, K.; Wolk, A. Long-term stability of food patterns identified by use of factor analysis among Swedish women. J. Nutr. 2006, 136, 626–633. [Google Scholar] [CrossRef]
- Park, S.; Boushey, C.; Wilkens, L.; Haiman, C.; Le Marchand, L. High-quality diets associate with reduced risk of colorectal cancer: Analyses of diet quality indexes in the Multiethnic Cohort. Gastroenterology 2017, 153, 386–394. [Google Scholar] [CrossRef] [PubMed]
- Willett, W. Issues in Analysis and Presentation of Dietary Data. In Nutritional Epidemiology, 3rd ed.; Oxford University Press: New York, NY, USA, 2013; pp. 316–317. [Google Scholar]
- Wang, Y.; Yang, M.; Lee, S.G.; Davis, C.G.; Kenny, A.; Koo, S.I.; Chun, O.K. Plasma total antioxidant capacity is associated with dietary intake and plasma level of antioxidants in postmenopausal women. J. Nutr. Biochem. 2012, 23, 1725–1731. [Google Scholar] [CrossRef] [PubMed]

| Characteristics | Energy-Adjusted Dietary Total Antioxidant Capacity (Diet + Dietary Supplements) | |||||
|---|---|---|---|---|---|---|
| Quintile 1 (n = 93,746) | Quintile 2 (n = 93,747) | Quintile 3 (n = 93,747) | Quintile 4 (n = 93,747) | Quintile 5 (n = 93,746) | p Value | |
| Age (years) | 61.3 ± 5.4 1 | 61.6 ± 5.4 | 61.6 ± 5.4 | 61.7 ± 5.4 | 61.5 ± 5.3 | <0.0001 |
| BMI (kg/m2) | 27.5 ± 5.1 | 27.3 ± 5.0 | 27.2 ± 5.1 | 26.9 ± 5.0 | 26.5 ± 5.1 | <0.0001 |
| Energy intake (kcal/day) | 1688.7 ± 718.1 | 1782.2 ± 697.2 | 1850.7 ± 711.6 | 1833.2 ± 689.5 | 1639.0 ± 640.4 | <0.0001 |
| Sex | <0.0001 | |||||
| Male | 62,626 (66.8) | 58,054 (61.9) | 55,475 (59.2) | 53,540 (57.1) | 48,668 (51.9) | |
| Female | 31,120 (33.2) | 35,693 (38.1) | 38,272 (40.8) | 40,207 (42.9) | 45,078 (48.1) | |
| Race/ethnicity | <0.0001 | |||||
| Non-Hispanic White | 85,786 (93.0) | 86,061 (93.0) | 84,796 (91.7) | 84,936 (91.9) | 86,599 (93.5) | |
| Non-Hispanic Black | 3485 (3.8) | 3672 (4.0) | 4188 (4.5) | 3925 (4.3) | 2595 (2.8) | |
| Hispanic | 1791 (1.9) | 1643 (1.8) | 1886 (2.0) | 1828 (2.0) | 1735 (1.9) | |
| Other | 1196 (1.3) | 1184 (1.3) | 1624 (1.8) | 1722 (1.9) | 1668 (1.8) | |
| Education | <0.0001 | |||||
| Less than 11 years | 7431 (8.2) | 5792 (6.4) | 5426 (6.0) | 5284 (5.8) | 3673 (4.0) | |
| High school graduate | 21,687 (23.9) | 19,172 (21.0) | 18,275 (20.1) | 17,631 (19.4) | 14,838 (16.3) | |
| Some college or other post-HS training | 31,917 (35.1) | 30,674 (33.6) | 30,723 (33.8) | 30,573 (33.7) | 30,986 (34.0) | |
| College graduate | 29,853 (32.9) | 35,588 (39.0) | 36,561 (40.2) | 37,310 (41.1) | 41,553 (45.6) | |
| Marital status | <0.0001 | |||||
| Married | 67,319 (72.6) | 66,503 (71.5) | 64,443 (69.3) | 63,113 (67.9) | 60,051 (64.5) | |
| Widowed, divorced, or separated | 21,492 (23.2) | 22,303 (24.0) | 24,036 (25.9) | 25,174 (27.1) | 28,129 (30.2) | |
| Unmarried | 3931 (4.2) | 4230 (4.6) | 4496 (4.8) | 4676 (5.0) | 4932 (5.3) | |
| Physical activity 2 | <0.0001 | |||||
| Never/rarely | 23,095 (25.0) | 17,286 (18.6) | 16,076 (17.4) | 14,875 (16.0) | 13,109 (14.1) | |
| 1–3 times/mo | 15,224 (16.5) | 13,361 (14.4) | 12,681 (13.7) | 11,664 (12.6) | 10,975 (11.8) | |
| 1–2 times/wk | 20,248 (21.9) | 21,030 (22.7) | 20,457 (22.1) | 20,217 (21.8) | 19,172 (20.6) | |
| 3–4 times/wk | 20,475 (22.2) | 24,709 (26.7) | 25,538 (27.6) | 26,681 (28.8) | 28,176 (30.3) | |
| ≥5 times/wk | 13,336 (14.4) | 16,338 (17.6) | 17,906 (19.3) | 19,273 (20.8) | 21,535 (23.2) | |
| Alcoholic beverage intake (g/day) 3 | <0.0001 | |||||
| None | 45,378 (48.4) | 43,092 (46.0) | 43,620 (46.5) | 43,563 (46.5) | 44,492 (47.5) | |
| Low | 21,907 (23.4) | 24,256 (25.9) | 25,013 (26.7) | 25,300 (27.0) | 25,245 (26.9) | |
| High | 26,461 (28.2) | 26,399 (28.2) | 25,114 (26.8) | 24,884 (26.5) | 24,009 (25.6) | |
| Smoking | <0.0001 | |||||
| Never | 27,304 (30.3) | 32,620 (36.2) | 34,740 (38.6) | 35,128 (38.9) | 34,667 (38.4) | |
| Former | 46,171 (51.3) | 46,963 (52.0) | 45,523 (50.5) | 45,511 (50.5) | 46,877 (51.9) | |
| Current | 16,532 (18.4) | 10,657 (11.8) | 9835 (10.9) | 9563 (10.6) | 8832 (9.8) | |
| History of heart disease | <0.0001 | |||||
| No | 80,430 (85.8) | 80,351 (85.7) | 80,781 (86.2) | 80,885 (86.3) | 81,261 (86.7) | |
| Yes | 13,316 (14.2) | 13,396 (14.3) | 12,966 (13.8) | 12,862 (13.7) | 12,485 (13.3) | |
| History of stroke | <0.0001 | |||||
| No | 91,455 (97.6) | 91,767 (97.9) | 91,792 (97.9) | 91,860 (98.0) | 92,094 (98.2) | |
| Yes | 2291 (2.4) | 1980 (2.1) | 1955 (2.1) | 1887 (2.0) | 1652 (1.8) | |
| History of diabetes | <0.0001 | |||||
| No | 83,932 (89.5) | 84,622 (90.3) | 85,179 (90.9) | 85,707 (91.4) | 86,758 (92.6) | |
| Yes | 9814 (10.5) | 9125 (9.7) | 8568 (9.1) | 8040 (8.6) | 6988 (7.5) | |
| Antioxidant | Energy-Adjusted Dietary Total Antioxidant Capacity (Diet + Dietary Supplements) | ||||
|---|---|---|---|---|---|
| Quintile 1 (n = 93,746) | Quintile 2 (n = 93,747) | Quintile 3 (n = 93,747) | Quintile 4 (n = 93,747) | Quintile 5 (n = 93,746) | |
| From diet | |||||
| Alpha-carotene (μg) | 589.7 ± 731.7 | 858.6 ± 1018.5 | 1012.8 ± 1209.6 | 1063.1 ± 1305.6 | 1117.9 ± 1418.1 |
| Beta-carotene (μg) | 2630.2 ± 2161 | 3786 ± 3043.7 | 4503.7 ± 3757 | 4705.9 ± 4178.3 | 4822.1 ± 4353.8 |
| Beta-cryptoxanthin (μg) | 90.1 ± 59.8 | 165.8 ± 93.4 | 221.1 ± 140.3 | 237 ± 189.5 | 224.1 ± 177.3 |
| Lutein + zeaxanthin (μg) | 1920.3 ± 1559.4 | 2728.6 ± 2278.8 | 3251.6 ± 2876 | 3371.8 ± 3221.8 | 3379.9 ± 3247.2 |
| Lycopene (μg) | 5568.7 ± 4430.5 | 6895.8 ± 5641.2 | 7705.9 ± 6984 | 7802.4 ± 7749.8 | 7426.8 ± 7454.4 |
| Vitamin E (mg) | 6.3 ± 3.1 | 7.1 ± 3.4 | 7.5 ± 3.5 | 7.5 ± 3.5 | 6.9 ± 3.3 |
| Vitamin C (mg) | 81.5 ± 38.5 | 136.2 ± 57.4 | 174.9 ± 87.2 | 184.6 ± 116.7 | 175.4 ± 109.4 |
| Flavonoids (mg) | 54.6 ± 25.3 | 103.4 ± 36.6 | 154.3 ± 62.5 | 179.7 ± 109.5 | 176.3 ± 117.5 |
| Flavonols | 11.9 ± 6.8 | 17.1 ± 8.2 | 22.4 ± 10.4 | 24.9 ± 14.3 | 24.5 ± 14.9 |
| Flavones | 0.6 ± 0.4 | 0.9 ± 0.6 | 1.1 ± 0.9 | 1.2 ± 1.0 | 1.2 ± 1.0 |
| Flavanones | 15.4 ± 14.4 | 34.8 ± 24.4 | 49.5 ± 37 | 53.8 ± 50.9 | 50.3 ± 47.6 |
| Flavan-3-ols | 19.5 ± 14.3 | 38.3 ± 29.7 | 65.6 ± 51.7 | 83.5 ± 86.7 | 83.7 ± 95.8 |
| Anthocyanidins | 6.8 ± 6.7 | 11.8 ± 10.9 | 15.3 ± 15.2 | 16.0 ± 17.2 | 16.1 ± 16.4 |
| Isoflavones | 0.4 ± 0.3 | 0.4 ± 0.3 | 0.4 ± 0.3 | 0.4 ± 0.3 | 0.3 ± 0.3 |
| From dietary supplements | |||||
| Beta-carotene (μg) | 166.1 ± 379.9 | 335.5 ± 527.3 | 494.6 ± 695.0 | 886.0 ± 1125.7 | 1525.8 ± 1626.4 |
| Vitamin E (a-TE) | 11.7 ± 40.7 | 29.4 ± 67.2 | 48.5 ± 83.6 | 93.7 ± 99.5 | 168.7 ± 119.9 |
| Vitamin C (mg) | 15.3 ± 29.6 | 40.1 ± 55.2 | 99.8 ± 129.7 | 351.6 ± 250 | 982.1 ± 420.8 |
| Total antioxidant capacity (mg VCE) | 205.0 ± 73.6 | 375.4 ± 79.7 | 574.6 ± 123.3 | 899.8 ± 182.1 | 1537.9 ± 379.9 |
| From diet | 186.4 ± 73.2 | 327.1 ± 97.4 | 461.4 ± 162.5 | 522.2 ± 273.6 | 509.0 ± 283.9 |
| From carotenoids | 4.5 ± 3.0 | 5.8 ± 3.9 | 6.6 ± 4.8 | 6.7 ± 5.4 | 6.5 ± 5.2 |
| From vitamin E | 1.7 ± 0.9 | 2.0 ± 0.9 | 2.1 ± 1.0 | 2.1 ± 1.0 | 1.9 ± 0.9 |
| From vitamin C | 81.5 ± 38.5 | 136.2 ± 57.4 | 174.9 ± 87.2 | 184.6 ± 116.7 | 175.4 ± 109.4 |
| From flavonoids | 98.8 ± 46.3 | 183.2 ± 73.6 | 277.9 ± 126.9 | 328.8 ± 222.2 | 325.2 ± 242.8 |
| From dietary supplements | 18.6 ± 33.8 | 48.3 ± 61.6 | 113.2 ± 136.8 | 377.6 ± 261.6 | 1028.8 ± 432.1 |
| From beta-carotene | 0.04 ± 0.10 | 0.08 ± 0.13 | 0.12 ± 0.18 | 0.22 ± 0.28 | 0.38 ± 0.41 |
| From vitamin E | 3.2 ± 11.2 | 8.1 ± 18.5 | 13.3 ± 23.0 | 25.8 ± 27.4 | 46.4 ± 33.0 |
| From vitamin C | 15.3 ± 29.6 | 40.1 ± 55.2 | 99.8 ± 129.7 | 351.6 ± 250 | 982.1 ± 420.8 |
| Energy-Adjusted Dietary Total Antioxidant Capacity (Diet + Dietary Supplements) | ||||||
|---|---|---|---|---|---|---|
| Quintile 1 (n = 93,746) | Quintile 2 (n = 93,747) | Quintile 3 (n = 93,747) | Quintile 4 (n = 93,747) | Quintile 5 (n = 93,746) | p for Trend | |
| Median (range) | 221.2 (8.9–303) | 378.9 (303–462.4) | 564.9 (462.4–707.8) | 893.7 (707.8–1132.4) | 1543.3 (1132.4–5926.6) | |
| All-cause mortality | ||||||
| Model 1 1 | 1.00 | 0.88 (0.87–0.89) | 0.85 (0.84–0.86) | 0.85 (0.84–0.86) | 0.83 (0.82–0.84) | <0.0001 |
| Model 2 2 | 1.00 | 0.96 (0.94–0.97) | 0.95 (0.94–0.96) | 0.96 (0.95–0.97) | 0.97 (0.96–0.99) | 0.1688 |
| CVD mortality | ||||||
| Model 1 | 1.00 | 0.90 (0.88–0.92) | 0.88 (0.86–0.90) | 0.88 (0.86–0.90) | 0.87 (0.86–0.89) | <0.0001 |
| Model 2 | 1.00 | 0.97 (0.95–0.996) | 0.98 (0.95–1.00) | 0.99 (0.97–1.01) | 1.02 (0.99–1.04) | 0.0043 |
| Cancer mortality | ||||||
| Model 1 | 1.00 | 0.85 (0.83–0.87) | 0.83 (0.81–0.85) | 0.82 (0.80–0.84) | 0.80 (0.78–0.82) | <0.0001 |
| Model 2 | 1.00 | 0.93 (0.91–0.95) | 0.92 (0.90–0.95) | 0.92 (0.89–0.94) | 0.93 (0.90–0.95) | <0.0001 |
| Energy-adjusted total antioxidant capacity from diet only | ||||||
| Quintile 1 (n = 93,746) | Quintile 2 (n = 93,747) | Quintile 3 (n = 93,747) | Quintile 4 (n = 93,747) | Quintile 5 (n = 93,746) | p for trend | |
| Median (range) | 170.6 (8–225.4) | 272 (225.4–316.3) | 362.5 (316.3–414.4) | 477.6 (414.4–562.8) | 709.4 (562.8–3908.3) | |
| All-cause mortality | ||||||
| Model 1 | 1.00 | 0.85 (0.84–0.86) | 0.81 (0.80–0.82) | 0.80 (0.79–0.81) | 0.80 (0.79–0.81) | <0.0001 |
| Model 2 | 1.00 | 0.93 (0.92–0.94) | 0.92 (0.91–0.93) | 0.92 (0.90–0.93) | 0.93 (0.92–0.94) | <0.0001 |
| CVD mortality | ||||||
| Model 1 | 1.00 | 0.87 (0.85–0.89) | 0.84 (0.82–0.86) | 0.84 (0.83–0.86) | 0.85 (0.84–0.87) | <0.0001 |
| Model 2 | 1.00 | 0.94 (0.92–0.97) | 0.93 (0.91–0.95) | 0.95 (0.93–0.98) | 0.97 (0.94–0.99) | 0.2122 |
| Cancer mortality | ||||||
| Model 1 | 1.00 | 0.82 (0.80–0.84) | 0.78 (0.77–0.80) | 0.76 (0.74–0.78) | 0.76 (0.75–0.78) | <0.0001 |
| Model 2 | 1.00 | 0.91 (0.89–0.94) | 0.90 (0.88–0.92) | 0.88 (0.86–0.91) | 0.90 (0.88–0.92) | <0.0001 |
| Energy-adjusted total antioxidant capacity from dietary supplements only | ||||||
| Non-consumer (n = 153,024) | Tertile 1 (n = 105,236) | Tertile 2 (n = 105,237) | Tertile 3 (n = 105,236) | p for trend | ||
| Median (range) | 0 (0–0) | 58.2 (0–103.3) | 276.5 (103.3–555) | 938 (555–3345.8) | ||
| All-cause mortality | ||||||
| Model 1 | 1.00 | 0.95 (0.94–0.96) | 0.90 (0.89–0.91) | 0.92 (0.91–0.93) | <0.0001 | |
| Model 2 | 1.00 | 1.00 (0.99–1.01) | 0.99 (0.98–0.998) | 1.01 (0.99–1.02) | 0.2513 | |
| CVD mortality | ||||||
| Model 1 | 1.00 | 0.92 (0.90–0.94) | 0.91 (0.90–0.93) | 0.93 (0.91–0.94) | <0.0001 | |
| Model 2 | 1.00 | 0.98 (0.96–0.997) | 1.01 (0.99–1.03) | 1.03 (1.01–1.05) | 0.0002 | |
| Cancer mortality | ||||||
| Model 1 | 1.00 | 0.95 (0.93–0.97) | 0.89 (0.87–0.90) | 0.91 (0.89–0.93) | <0.0001 | |
| Model 2 | 1.00 | 0.99 (0.96–1.01) | 0.94 (0.92–0.96) | 0.97 (0.95–0.99) | 0.0190 | |
| Subgroup | N | Hazard Ratio (95% Confidence Interval) 1,2 | ||
|---|---|---|---|---|
| All-Cause Mortality | CVD Mortality | Cancer Mortality | ||
| Age | ||||
| <65 years | 300,678 | 0.95 (0.93–0.96) 1 | 1.00 (0.97–1.04) | 0.91 (0.88–0.94) |
| ≥65 years | 168,055 | 0.91 (0.89–0.93) | 0.94 (0.91–0.97) | 0.89 (0.85–0.92) |
| P for interaction | <0.0001 | 0.0739 | 0.0034 | |
| Sex | ||||
| Male | 278,363 | 0.93 (0.92–0.95) | 0.98 (0.95–1.00) | 0.88 (0.86–0.91) |
| Female | 190,370 | 0.93 (0.91–0.95) | 0.95 (0.91–0.99) | 0.93 (0.89–0.97) |
| P for interaction | 0.8142 | 0.4384 | 0.4666 | |
| Body weight status | ||||
| Normal | 357,252 | 0.91 (0.90–0.92) | 0.94 (0.92–0.97) | 0.89 (0.87–0.92) |
| Obese | 100,302 | 1.00 (0.97–1.03) | 1.05 (1.00–1.09) | 0.94 (0.89–0.99) |
| P for interaction | <0.0001 | <0.0001 | 0.1175 | |
| Alcoholic beverage intake | ||||
| None | 220,145 | 0.93 (0.91–0.95) | 0.96 (0.92–0.99) | 0.91 (0.88–0.95) |
| Low | 121,721 | 0.96 (0.93–0.98) | 1.01 (0.96–1.06) | 0.92 (0.88–0.97) |
| High | 126,867 | 0.91 (0.89–0.93) | 0.95 (0.90–0.99) | 0.87 (0.83–0.91) |
| P for interaction | 0.2184 | 0.0763 | 0.2140 | |
| Current smoking status | ||||
| Never/former smokers | 395,504 | 0.92 (0.91–0.94) | 0.95 (0.93–0.98) | 0.89 (0.86–0.91) |
| Current smokers | 55,419 | 0.90 (0.87–0.94) | 0.99 (0.93–1.06) | 0.88 (0.83–0.93) |
| P for interaction | 0.4675 | 0.2773 | 0.0732 | |
Disclaimer/Publisher’s Note: The statements, opinions and data contained in all publications are solely those of the individual author(s) and contributor(s) and not of MDPI and/or the editor(s). MDPI and/or the editor(s) disclaim responsibility for any injury to people or property resulting from any ideas, methods, instructions or products referred to in the content. |
© 2023 by the authors. Licensee MDPI, Basel, Switzerland. This article is an open access article distributed under the terms and conditions of the Creative Commons Attribution (CC BY) license (https://creativecommons.org/licenses/by/4.0/).
Share and Cite
Ha, K.; Liao, L.M.; Sinha, R.; Chun, O.K. Dietary Total Antioxidant Capacity, a Diet Quality Index Predicting Mortality Risk in US Adults: Evidence from the NIH-AARP Diet and Health Study. Antioxidants 2023, 12, 1086. https://doi.org/10.3390/antiox12051086
Ha K, Liao LM, Sinha R, Chun OK. Dietary Total Antioxidant Capacity, a Diet Quality Index Predicting Mortality Risk in US Adults: Evidence from the NIH-AARP Diet and Health Study. Antioxidants. 2023; 12(5):1086. https://doi.org/10.3390/antiox12051086
Chicago/Turabian StyleHa, Kyungho, Linda M. Liao, Rashmi Sinha, and Ock K. Chun. 2023. "Dietary Total Antioxidant Capacity, a Diet Quality Index Predicting Mortality Risk in US Adults: Evidence from the NIH-AARP Diet and Health Study" Antioxidants 12, no. 5: 1086. https://doi.org/10.3390/antiox12051086
APA StyleHa, K., Liao, L. M., Sinha, R., & Chun, O. K. (2023). Dietary Total Antioxidant Capacity, a Diet Quality Index Predicting Mortality Risk in US Adults: Evidence from the NIH-AARP Diet and Health Study. Antioxidants, 12(5), 1086. https://doi.org/10.3390/antiox12051086

