Antioxidant Activity and Inhibition of Digestive Enzymes of New Strawberry Tree Fruit/Apple Smoothies
Abstract
1. Introduction
2. Materials and Methods
2.1. Chemicals and Standards
2.2. Plant Materials
2.3. Strawberry Tree Fruit/Apple Smoothie Production
2.4. Determination of Total Phenolic Content, Total Reducing Power, and Free Radical Scavenging Activity
2.5. In Vitro Analysis on Caco-2 Cell Line
2.5.1. Maintenance of Intestinal Cell Culture
2.5.2. Cytotoxic Activity and Determination of Intracellular ROS Production
2.6. Digestive Enzyme Inhibition Assays
2.7. Identification and Quantification of Polyphenolic Compounds and Analysis of Polymeric Proanthocyanidins by the Phloroglucinol Method
2.8. Determination of Sugar and Organic Acid Content
2.9. Statistical Analysis
3. Results
3.1. Antioxidant Activity of Apple-Strawberry Tree Fruit Smoothies
3.2. In Vitro Analysis on Caco-2 Cell Lines in Strawberry Tree/Apple Fruit Smoothies
3.2.1. Cytotoxic Activity
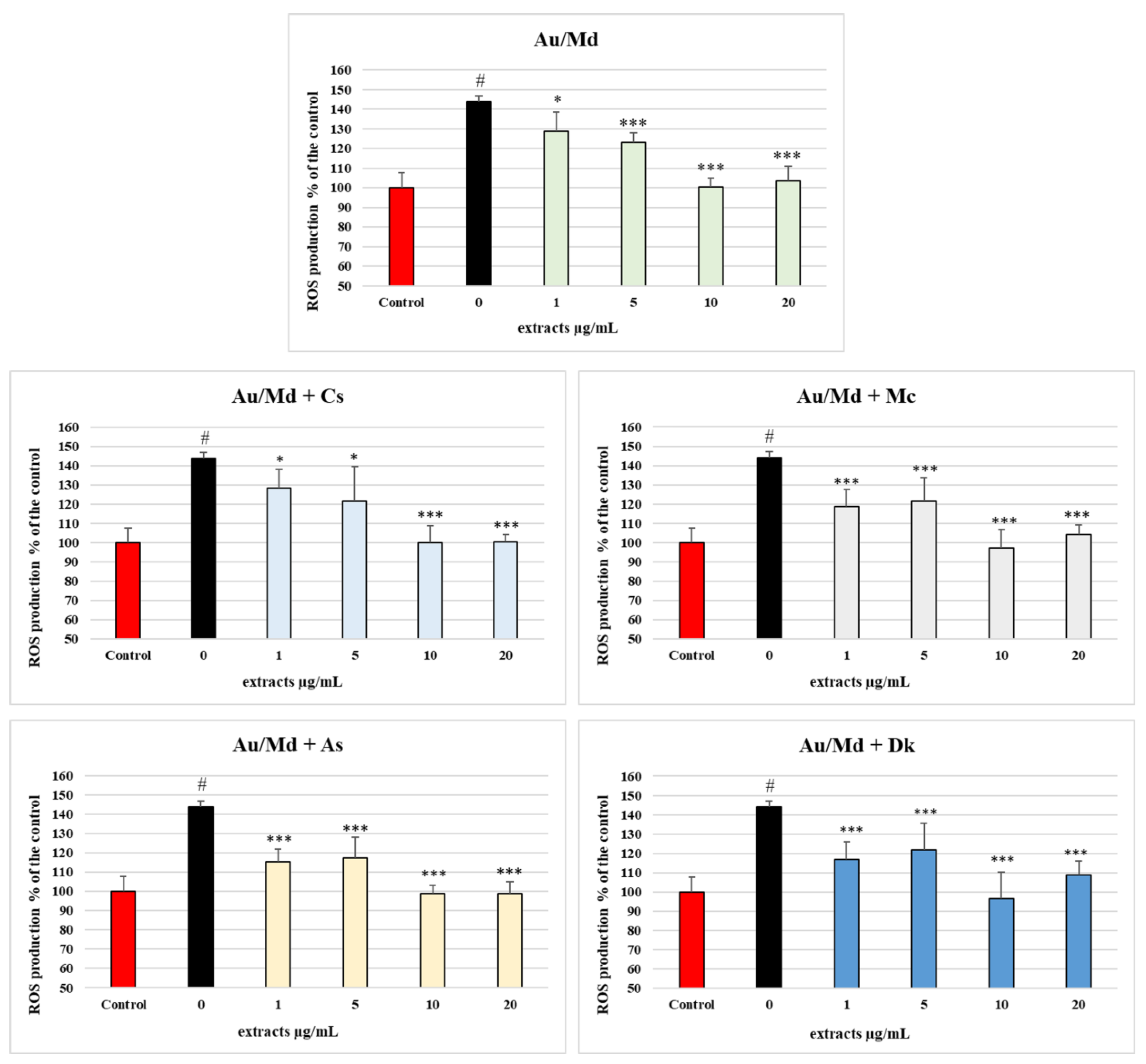
3.2.2. Determination of Intracellular ROS Production
3.3. Inhibitory Activity of Strawberry Tree Fruit/Apple Smoothies toward Digestive Enzymes
3.4. Identification and Quantification of Phenolic Compounds in Apple-Strawberry Tree Fruit Smoothies
3.5. Sugar and Organic Acid Content of Apple-Strawberry Tree Fruit Smoothies
4. Discussion
5. Conclusions
Supplementary Materials
Author Contributions
Funding
Institutional Review Board Statement
Informed Consent Statement
Data Availability Statement
Acknowledgments
Conflicts of Interest
References
- Nowicka, P.; Wojdyło, A.; Teleszko, M.; Samoticha, J. Sensory attributes and changes of physicochemical properties during storage of smoothies prepared from selected fruits. LWT-Food Sci. Technol. 2016, 71, 102–109. [Google Scholar] [CrossRef]
- Gil, K.A.; Wojdyło, A.; Nowicka, P.; Montoro, P.; Tuberoso, C.I.G. Effect of apple juice enrichment with selected plant materials: Focus on bioactive compounds and antioxidant activity. Foods 2023, 12, 105. [Google Scholar] [CrossRef]
- Pizzino, G.; Irrera, N.; Cucinotta, M.; Pallio, G.; Mannino, F.; Arcoraci, V.; Squadrito, F.; Altavilla, D.; Bitto, A. Oxidative stress: Harms and benefits for human health. Oxid. Med. Cell. Longev. 2017, 2017, 8416763. [Google Scholar] [CrossRef] [PubMed]
- Tomasz, T.; Aleksandra, D.C.; Dorota, S.; Michal, N. The use of fruit extracts for production of beverages with high antioxidative activity. Potravinarstvo 2015, 9, 280–283. [Google Scholar] [CrossRef]
- Quideau, S.; Deffieux, D.; Douat-Casassus, C.; Pouységu, L. Plant polyphenols: Chemical properties; biological activities; and synthesis. Angew. Chem. 2011, 50, 586–621. [Google Scholar] [CrossRef]
- Kirakosyan, A.; Seymour, E.M.; Urcuyo-Llanes, D.E.; Kaufman, P.B.; Bolling, S.F. Chemical profile and antioxidant capacities of tart cherry products. Food Chem. 2009, 115, 20–25. [Google Scholar] [CrossRef]
- Šarić, A.; Sobočanec, S.; Balog, T.; Kušić, B.; Šverko, V.; Gragović-Uzelac, V.; Levaj, B.; Čosić, Z.; Mačak-Šafranko, Ž.; Marotti, T. Improved antioxidant and anti-inflammatory potential in mice consuming sour cherry juice (Prunus cerasus cv. Maraska). Plant Foods Hum. Nutr. 2009, 64, 231–237. [Google Scholar] [CrossRef]
- Chavez-Santoscoy, R.A.; Guitierrez-Uribe, J.A.; Serna-Saldivar, S.O. Phenolic composition; antioxidant capacity and in vitro cancer cell cytotoxicity of nine prickly pear (Opuntia spp.) juices. Plant Foods Hum. Nutr. 2009, 64, 146–152. [Google Scholar] [CrossRef]
- Devalaraja, S.; Jain, S.; Yadav, H. Exotic fruits as therapeutic complements for diabetes; obesity and metabolic syndrome. Food Res. Int. 2011, 44, 1856–1865. [Google Scholar] [CrossRef]
- De Sales, P.M.; De Souza, P.M.; Simeoni, L.A.; Magalhães, P.O.; Silveira, D. α-Amylase inhibitors: A review of raw material and isolated compounds from plant source. J. Pharm. Pharm. Sci. 2012, 15, 141–183. [Google Scholar] [CrossRef]
- Tuberoso, C.I.G.; Boban, M.; Bifulco, E.; Budimir, D.; Pirisi, F.M. Antioxidant capacity and vasodilatory properties of Mediterranean food: The case of Cannonau wine; myrtle berries liqueur and strawberry-tree honey. Food Chem. 2013, 140, 686–691. [Google Scholar] [CrossRef]
- Bektaşǒglu, B.; Çelik, S.E.; Özyürek, M.; Güçlü, K.; Apak, R. Novel hydroxyl radical scavenging antioxidant activity assay for water-soluble antioxidants using a modified CUPRAC method. Biochem. Biophys. Res. Commun. 2006, 345, 1194–1200. [Google Scholar] [CrossRef]
- Benzie, I.F.F.; Strain, J.J. Ferric reducing ability of plasma (FRAP) as a measure of antioxidant power: The FRAP assay. Anal. Biochem. 1996, 239, 70–76. [Google Scholar] [CrossRef]
- Ou, B.; Huang, D.; Hampsch-Woodill, M.; Flanagan, J.A.; Deemer, E.K. Analysis of antioxidant activities of common vegetables employing oxygen radical absorbance capacity (ORAC) and ferric reducing antioxidant power (FRAP) assay: A comparative study. J. Agric. Food Chem. 2002, 50, 3122–3128. [Google Scholar] [CrossRef]
- Re, R.; Pellegrini, N.; Proteggente, A.; Pannala, A.; Yang, M.; Rice-Evans, C. Antioxidant activity applying an improved ABTS radical cation decolorization assay. Free Radic. Biol. Med. 1999, 26, 1231–1237. [Google Scholar] [CrossRef]
- Incani, A.; Serra, G.; Atzeri, A.; Melis, M.P.; Serreli, G.; Bandino, G.; Sedda, P.; Campus, M.; Tuberoso, I.G.C.; Deiana, M. Extra virgin olive oil phenolic extracts counteract the pro-oxidant effect of dietary oxidized lipids in human intestinal cells. Food Chem. Toxicol. 2016, 90, 171–180. [Google Scholar] [CrossRef]
- Serreli, G.; Naitza, M.R.; Zodio, S.; Leoni, V.P.; Spada, M.; Melis, M.P.; Boronat, A.; Deiana, M. Ferulic acid metabolites attenuate LPS-induced inflammatory response in enterocyte-like cells. Nutrients 2021, 13, 3152. [Google Scholar] [CrossRef]
- Barberis, A.; Deiana, M.; Spissu, Y.; Azara, E.; Fadda, A.; Serra, P.A.; D’hallewin, G.; Pisano, M.; Serreli, G.; Orrù, G. Antioxidant, antimicrobial, and other biological properties of Pompia juice. Molecules 2020, 25, 3186. [Google Scholar] [CrossRef]
- Nowicka, P.; Wojdyło, A.; Samoticha, J. Evaluation of phytochemicals; anti-oxidant capacity; and antidiabetic activity of novel smoothies from selected Prunus fruits. J. Funct. Foods 2016, 25, 397–407. [Google Scholar] [CrossRef]
- Podsędek, A.; Majewska, I.; Redzynia, M.; Sosnowska, D.; Koziołkiewicz, M. In vitro inhibitory effect on digestive enzymes and antioxidant potential of commonly consumed fruits. J. Agric. Food Chem. 2014, 62, 4610–4617. [Google Scholar] [CrossRef]
- Wojdyło, A.; Nowicka, P. Profile of phenolic compounds of Prunus armeniaca L. leaf extract determined by LC-ESI-QTOF-MS/MS and their antioxidant, anti-diabetic, anti-cholinesterase, and anti-inflammatory potency. Antioxidants 2021, 10, 1869. [Google Scholar] [CrossRef]
- Wojdyło, A.; Nowicka, P.; Oszmiański, J.; Golis, T. Phytochemical compounds and biological effects of Actinidia fruits. J. Funct. Foods 2017, 30, 194–202. [Google Scholar] [CrossRef]
- Kennedy, J.A.; Jones, G.P. Analysis of proanthocyanidin cleavage products following acid-catalysis in the presence of excess phloroglucinol. J. Agric. Food Chem. 2001, 49, 1740–1746. [Google Scholar] [CrossRef] [PubMed]
- Nowicka, P.; Wojdyło, A.; Laskowski, P. Principal component analysis (PCA) of physicochemical compounds’ content in different cultivars of peach fruits; including qualification and quantification of sugars and organic acids by HPLC. Eur. Food Res. Technol. 2019, 245, 929–938. [Google Scholar] [CrossRef]
- Deiana, M.; Montoro, P.; Jerkovic, I.; Atzeri, A.; Marijanovic, Z.; Serreli, G.; Piacente, S.; Tuberoso, C.I.G. First characterization of Pompia intrea candied fruit: The headspace chemical profile; polar extract composition and its biological activities. Food Res. Int. 2019, 120, 620–630. [Google Scholar] [CrossRef]
- Serreli, G.; Incani, A.; Atzeri, A.; Angioni, A.; Campus, M.; Cauli, E.; Zurru, R.; Deiana, M. Antioxidant effect of natural table olives phenolic extract against oxidative stress and membrane damage in enterocyte-like cells. J. Food Sci. 2017, 82, 380–385. [Google Scholar] [CrossRef] [PubMed]
- Girones-Vilaplana, A.; Mena, P.; Moreno, D.A.; Garcia-Viguera, C. Evaluation of sensorial, phytochemical and biological properties of new isotonic beverages enriched with lemon and berries during shelf life. J. Sci. Food Agric. 2014, 94, 1090–1100. [Google Scholar] [CrossRef]
- Wojdyło, A.; Oszmiański, J.; Czemerys, R. Antioxidant activity and phenolic compounds in 32 selected herbs. Food Chem. 2007, 105, 940–949. [Google Scholar] [CrossRef]
- Wojdyło, A.; Figiel, A.; Lech, K.; Nowicka, P.; Oszmiański, J. Effect of convective and vacuum–microwave drying on the bioactive compounds, colour, and antioxidant capacity of sour cherries. Food Bioprocess Technol. 2014, 7, 829–841. [Google Scholar] [CrossRef]
- De Francisco, L.; Pinto, D.; Rossetoa, H.; Toledo, L.; Santosa, R.; Tobaldini-Valério, F.; Svidzinski, T.; Bruschi, M.; Sarmento, B.; Beatriz, M.; et al. Evaluation of radical scavenging activity; intestinal cell viability and antifungal activity of Brazilian propolis by-product. Food Res. Int. 2018, 105, 537–547. [Google Scholar] [CrossRef]
- Meunier, V.; Bourrié, M.; Berger, Y.; Fabre, G. The human intestinal epithelial cell line Caco-2; pharmacological and pharmacokinetic applications. Cell Biol. Toxicol. 1995, 11, 187–194. [Google Scholar] [CrossRef] [PubMed]
- Unuofin, J.O.; Otunola, G.A.; Afolayan, A.J. In vitro α-amylase; α-glucosidase; lipase inhibitory and cytotoxic activities of tuber extracts of Kedrostis africana (L.) Cogn. Heliyon 2018, 4, e00810. [Google Scholar] [CrossRef] [PubMed]
- Wang, T.; Li, X.; Zhou, B.; Li, H.; Zeng, J.; Gao, W. Anti-diabetic activity in type 2 diabetic mice and α-glucosidase inhibitory; antioxidant and anti-inflammatory potential of chemically profiled pear peel and pulp extracts (Pyrus spp.). J. Funct. Foods 2015, 13, 276–288. [Google Scholar] [CrossRef]
- Wojdyło, A.; Carbonell-Barrachina, Á.A.; Legua, P.; Hernández, F. Phenolic composition, ascorbic acid content, and antioxidant capacity of Spanish jujube (Ziziphus jujube Mill.) fruits. Food Chem. 2016, 201, 307–314. [Google Scholar] [CrossRef]
- Akkarachiyasit, S.; Charoenlertkul, P.; Yibchok-anun, S.; Adisakwattana, S. Inhibitory activities of cyanidin and its glycosides and synergistic effect with acarbose against intestinal α-glucosidase and pancreatic α-amylase. Int. J. Mol. Sci. 2010, 11, 3387–3396. [Google Scholar] [CrossRef] [PubMed]
- Boath, A.S.; Stewart, D.; McDougall, G.J. Berry components inhibit α-glucosidase in vitro: Synergies between acarbose and polyphenols from black currant and rowanberry. Food Chem. 2012, 136, 929–936. [Google Scholar] [CrossRef]
- Liu, Y.; Weng Kong, K.; Wu, D.-T.; Liu, H.-Y.; Li, H.-B.; Zhang, J.-R.; Gan, R.-Y. Pomegranate peel-derived punicalagin: Ultrasonic-assisted extraction, purification, and its α-glucosidase inhibitory mechanism. Food Chem. 2022, 374, 131635. [Google Scholar] [CrossRef]
- González-Muñoz, A.; Quesille-Villalobos, A.M.; Fuentealba, C.; Shetty, K.; Gálvez Ranilla, L. Potential of Chilean native corn (Zea mays L.) accessions as natural sources of phenolic antioxidants and in vitro bioactivity for hyperglycemia and hypertension management. J. Agric. Food Chem. 2013, 61, 10995–11007. [Google Scholar] [CrossRef]
- Picot, C.M.N.; Subratty, A.H.; Mahomoodally, M. Inhibitory potential of five traditionally used native antidiabetic medicinal plants on α-amylase, α-glucosidase, glucose entrapment, and amylolysis kinetics in vitro. Adv. Pharmacol. Sci. 2014, 2014, 739834. [Google Scholar] [CrossRef]
- Nowicka, P.; Wojdyło, A.; Teleszko, M. Effect of mixing different kinds of fruit juice with sour cherry puree on nutritional properties. J. Food Sci. Technol. 2017, 54, 114–129. [Google Scholar] [CrossRef]
- Lakey-Beitia, J.; Burillo, A.M.; La Penna, G.; Hegde, M.L.; Rao, K. Polyphenols as potential metal chelation compounds against Alzheimer’s disease. J. Alzheimer’s Dis. 2021, 82, S335–S357. [Google Scholar] [CrossRef]
- Platzer, M.; Kiese, S.; Tybussek, T.; Herfellner, T.; Schneider, F.; Schweiggert-Weisz, U.; Eisner, P. Radical scavenging mechanisms of phenolic compounds: A quantitative structure-property relationship (QSPR) study. Front. Nutr. 2022, 9, 882458. [Google Scholar] [CrossRef]
- Wu, H.; Bak, K.H.; Goran, G.V.; Tatiyaborworntham, N. Inhibitory mechanisms of polyphenols on heme protein-mediated lipid oxidation in muscle food: New insights and advances. Crit. Rev. Food Sci. Nutr. 2022, 30, 1–19. [Google Scholar] [CrossRef]
- Kschonsek, J.; Wolfram, T.; Stöckl, A.; Böhm, V. Polyphenolic compounds analysis of old and new apple cultivars and contribution of polyphenolic profile to the in vitro antioxidant capacity. Antioxidants 2018, 7, 20. [Google Scholar] [CrossRef]
- Ayaz, F.A.; Kucukislamoglu, M.; Reunanen, M. Sugar, non-volatile and phenolic acids composition of strawberry tree (Arbutus unedo L. var. ellipsoidea) fruits. J. Food Compos. Anal. 2000, 13, 171–177. [Google Scholar] [CrossRef]
- Pawlowska, A.M.; De Leo, M.; Braca, A. Phenolics of Arbutus unedo L. (Ericaceae) fruits: Identification of anthocyanins and gallic acid derivatives. J. Agric. Food Chem. 2006, 54, 10234–10238. [Google Scholar] [CrossRef] [PubMed]
- Pallauf, K.; Rivas-Gonzalo, J.C.; Del Castillo, M.D.; Cano, M.P.; De Pascual-Teresa, S. Characterization of the antioxidant composition of strawberry tree (Arbutus unedo L.) fruits. J. Food Anal. 2008, 21, 273–281. [Google Scholar] [CrossRef]
- Montoro, P.; Maldini, M.; Luciani, L.; Tuberoso, C.I.G.; Congiu, F.; Pizza, C. Radical scavenging activity and LC-MS metabolic profiling of petals, stamens and flowers of Crocus sativus L. J. Food Sci. 2012, 77, C893–C900. [Google Scholar] [CrossRef]
- Tuberoso, C.I.G.; Rosa, A.; Montoro, P.; Fenu, M.A.; Pizza, A. Antioxidant activity, cytotoxic activity and metabolic profiling juices obtained from saffron (Crocus sativus L.) floral by-products. Food Chem. 2016, 199, 18–27. [Google Scholar] [CrossRef]
- Aoyama, H.; Sakagami, H.; Hatano, T. Three new flavonoids, proanthocyanidin, and accompanying phenolic constituents from Feijoa sellowiana. Biosci. Biotechnol. Biochem. 2018, 82, 31–41. [Google Scholar] [CrossRef]
- Montoro, P.; Serreli, G.; Gil, K.A.; D’Urso, G.; Kowalczyk, A.; Tuberoso, C.I.G. Evaluation of bioactive compounds and antioxidant capacity of edible feijoa (Acca sellowiana (O. Berg) Burret) flower extracts. J. Food Sci. Technol. 2020, 57, 2051–2060. [Google Scholar] [CrossRef]
- Montoro, P.; Tuberoso, C.I.G.; Piacente, S.; Perrone, A.; De Feo, V.; Cabras, P.; Pizza, C. Stability and antioxidant activity of polyphenols in extracts of Myrtus communis L. berries used for the preparation of myrtle liqueur. J. Pharm. Biomed. Anal. 2006, 41, 1614–1619. [Google Scholar] [CrossRef] [PubMed]
- Tuberoso, C.I.G.; Orrú, C.D. Myrtle (Myrtus communis L.) Berries: Composition and Properties; Berries: Properties, Consumption and Nutrition; Nova Science Publisher, Inc.: Huntington, NY, USA, 2012; pp. 145–155. [Google Scholar] [CrossRef]
- Butt, M.S.; Sultan, M.T.; Aziz, M.; Naz, A.; Ahmed, W.; Kumar, N.; Imran, M. Persimmon (Diospyros kaki) fruit: Hidden phytochemicals and health claims. EXCLI J. 2015, 14, 542–561. [Google Scholar] [CrossRef] [PubMed]
- Akter, M.S.; Ahmed, M.; Eun, J.B. Dietary fibre components, antioxidant activities and hydration properties of ripe persimmon (Diospyros kaki L. cv. Daebong) peel powders as affected by different washing treatments. J. Food Sci. Technol. 2010, 45, 1464–1471. [Google Scholar] [CrossRef]
- Pu, F.; Ren, X.L.; Zhang, X.P. Phenolic compounds and antioxidant activity in fruits of six Diospyros kaki genotypes. Eur. Food Res. Technol. 2013, 237, 923–932. [Google Scholar] [CrossRef]
- Veberic, R.; Jakopic, J.; Stampar, F. Internal fruit quality of figs (Ficus carica L.) in the Northern Mediterranean Region. Ital. J. Food Sci. 2008, 2, 255–262. [Google Scholar]
- Diabetes.co.uk. 2022. Available online: https://www.diabetes.co.uk/sweeteners/sorbitol.html (accessed on 12 January 2023).
- Hanover, L.M.; White, J.S. Manufacturing, composition, and application of fructose. J. Clin. Nutr. 1993, 58, 724–732. [Google Scholar] [CrossRef]
- Nutrients Review. 2022. Available online: http://www.nutrientsreview.com/articles/sweeteners.html (accessed on 12 January 2023).
- Theron, M.M.; Rykers Lues, J.F. Organic Acids and Food Preservation; CRC Press, Taylor & Francis Group: Boca Raton, FL, USA, 2011; pp. 1–318. [Google Scholar]
- Formica-Oliveira, A.C.; Martínez-Hernández, G.B.; Aguayo, E.; Gómez, P.A.; Artés, F.; Artés-Hernández, F. A functional smoothie from carrots with induced enhanced phenolic content. Food Bioprocess Technol. 2017, 10, 491–502. [Google Scholar] [CrossRef]
- Castillejo, N.; Martínez-Hernández, G.B.; Gómez, P.A.; Artés, F.; Artés-Hernández, F. Red fresh vegetables smoothies with extended shelf life as an innovative source of health-promoting compounds. J. Food Sci. Technol. 2016, 53, 1475–1486. [Google Scholar] [CrossRef]
- Seymour, E.M.; Singer, A.A.M.; Kirakosyan, A.; Urcuyo-Llanes, D.E.; Kaufman, P.B.; Bolling, S.F. Altered hyperlipidemia, hepatic steatosis, and hepatic peroxisome proliferator-activated receptors in rats with intake of tart cherry. J. Med. Food 2008, 11, 252–259. [Google Scholar] [CrossRef]
- Nour, V.; Trandafir, I.; Ionica, M.E. Compositional characteristic of fruits of several apple (Malus domestica Borkh.) cultivars. Not. Bot. Horti Agrobot. Cluj-Napoca 2010, 38, 228–233. [Google Scholar] [CrossRef]
- Pero, R.W.; Lund, H. In vivo treatment of humans with quinic acid enhances DNA repair and reduces the influence of lifestyle factors on risk to disease. Int. J. Biotechnol. Biochem. 2009, 5, 293–305. [Google Scholar]
- Abdel-Salam, O.M.E.; Youness, E.R.; Mohammed, N.A.; Youssef Morsy, S.M.; Omara, E.A.; Sleem, A.A. Citric acid effects on brain and liver oxidative stress in lipopolysaccharide treated mice. J. Med. Food 2014, 17, 588–598. [Google Scholar] [CrossRef] [PubMed]
- EMEA; Committee for Veterinary Medicinal Products. Oxalic Acid. Summary Report; EMEA/MRL/891/03-FINAL European Commission; The European Agency for the Evaluation of Medicinal Products: Geneva, Switzerland, 2003; pp. 1–5. [Google Scholar]
- Iqbal, K.; Khan, A.; Khan Khattak, M.M.A. Biological significance of ascorbic acid (vitamin C) in human health—A review. Pak. J. Nutr. 2004, 3, 5–13. [Google Scholar] [CrossRef]
- Jaros, D.; Thamke, I.; Raddatz, H.; Rohm, H. Single-cultivar cloudy juice made from table apples: An attempt to identify the driving force for sensory preference. Eur. Food Res. Technol. 2009, 229, 51–61. [Google Scholar] [CrossRef]
- Tkacz, K.; Wojdyło, A.; Turkiewicz, I.P.; Nowicka, P. Anti-diabetic, anti-cholinesterase, and antioxidant potential, chemical composition and sensory evaluation of novel sea buckthorn-based smoothies. Food Chem. 2021, 338, 128105. [Google Scholar] [CrossRef] [PubMed]
- Miguel, M.G.; Faleiro, M.L.; Guerreiro, A.C.; Antunes, M.D. Arbutus unedo L.: Chemical and biological properties. Molecules 2014, 19, 15799–15823. [Google Scholar] [CrossRef]



| Parameter | Sample | ||||
|---|---|---|---|---|---|
| Au/Md | Au/Md + Cs | Au/Md + Mc | Au/Md + As | Au/Md + Dk | |
| TP † | 247.97 ± 1.49 c | 258.63 ± 5.75 b | 288.15 ± 3.13 a | 285.68 ± 9.22 a | 276.17 ± 9.73 a |
| CUPRAC ‡ | 6.98 ± 0.26 d | 7.18 ± 0.73 cd | 8.75 ± 0.07 a | 8.20 ± 0.64 bc | 8.17 ± 0.65 bc |
| FRAP ‡ | 1.95 ± 0.05 b | 1.97 ± 0.05 ab | 2.02 ± 0.02 ab | 2.12 ± 0.10 a | 2.04 ± 0.01 a |
| ORAC ‡ | 4.21 ± 0.21 b | 3.88 ± 0.06 c | 4.22 ± 0.25 b | 4.49 ± 0.13 b | 5.25 ± 0.27 a |
| DPPH ‡ | 1.25 ± 0.02 d | 1.16 ± 0.05 e | 1.30 ± 0.02 c | 1.49 ± 0.01 a | 1.37 ± 0.04 b |
| ABTS•+ ‡ | 2.07 ± 0.02 d | 2.06 ± 0.03 d | 2.28 ± 0.05 b | 2.51 ± 0.01 a | 2.19 ± 0.05 c |
| Enzyme Inhibition | Sample | ||||
|---|---|---|---|---|---|
| Au/Md | Au/Md + Cs | Au/Md + Mc | Au/Md + As | Au/Md + Dk | |
| α-amylase | 94.90 ± 0.06 d | 79.92 ± 0.10 c | 64.70 ± 0.01 a | 64.83 ± 0.01 a | 65.62 ± 0.08 b |
| α-glucosidase | 26.53 ± 0.17 c | 27.12 ± 0.06 d | 15.84 ± 0.04 a | 15.86 ± 0.03 a | 16.00 ± 0.00 b |
| pancreatic lipase | 3.01 ± 0.06 a | 3.03 ± 0.08 ab | 3.14 ± 0.03 b | 3.09 ± 0.11 ab | 3.11 ± 0.08 ab |
| Parameter | Sample | ||||
|---|---|---|---|---|---|
| Au/Md | Au/Md + Cs | Au/Md + Mc | Au/Md + As | Au/Md + Dk | |
| Sugar content | |||||
| Fructose | 10.11 ± 0.12 d | 12.39 ± 0.06 b | 13.49 ± 0.05 a | 12.37 ± 0.00 b | 10.60 ± 0.02 c |
| Sorbitol | 0.04 ± 0.00 d | 0.09 ± 0.00 a | 0.03 ± 0.00 e | 0.08 ± 0.00 b | 0.05 ± 0.00 c |
| Glucose | 2.86 ± 0.00 b | 2.64 ± 0.01 c | 2.67 ± 0.22 bcd | 3.19 ± 0.19 a | 2.47 ± 0.04 d |
| Sucrose | 0.26 ± 0.01 b | 0.24 ± 0.01 b | 0.31 ± 0.02 a | 0.22 ± 0.00 c | 0.22 ± 0.00 c |
| Total | 13.27 ± 0.13 d | 15.36 ± 0.08 c | 16.50 ± 0.29 a | 15.87 ± 0.19 b | 13.34 ± 0.06 d |
| Organic acid content | |||||
| Oxalic | 0.04 ± 0.00 b | 0.03 ± 0.00 c | 0.04 ± 0.01 bc | 0.19 ± 0.01 a | 0.04 ± 0.00 ab |
| Citric | tr | 0.13 ± 0.03 b | 0.07 ± 0.01 c | 0.08 ± 0.01 c | 0.20 ± 0.03 d |
| Isocitric | 0.39 ± 0.02 a | nd | 0.25 ± 0.02 c | 0.31 ± 0.02 b | nd |
| Malic | 0.71 ± 0.03 ab | 0.63 ± 0.06 b | 0.70 ± 0.02 ab | 0.75 ± 0.03 a | 0.70 ± 0.01 b |
| Quinic | 1.57 ± 0.00 b | 1.47 ± 0.03 c | 1.64 ± 0.12 ab | 1.76 ± 0.06 a | 1.54 ± 0.05 bc |
| Ascorbic | tr | tr | tr | tr | tr |
| Shikimic | tr | tr | tr | tr | 0.01 ± 0.00 a |
| Fumaric | tr | tr | tr | tr | tr |
| Total | 2.72 ± 0.05 b | 2.27 ± 0.12 c | 2.70 ± 0.18 b | 3.09 ± 0.13 a | 2.50 ± 0.09 bc |
| Sugars/organic acids | 4.88 ± 0.14 a | 6.77 ± 0.41 b | 6.11 ± 0.50 ab | 5.14 ± 0.28 a | 5.34 ± 0.22 a |
Disclaimer/Publisher’s Note: The statements, opinions and data contained in all publications are solely those of the individual author(s) and contributor(s) and not of MDPI and/or the editor(s). MDPI and/or the editor(s) disclaim responsibility for any injury to people or property resulting from any ideas, methods, instructions or products referred to in the content. |
© 2023 by the authors. Licensee MDPI, Basel, Switzerland. This article is an open access article distributed under the terms and conditions of the Creative Commons Attribution (CC BY) license (https://creativecommons.org/licenses/by/4.0/).
Share and Cite
Gil, K.A.; Nowicka, P.; Wojdyło, A.; Serreli, G.; Deiana, M.; Tuberoso, C.I.G. Antioxidant Activity and Inhibition of Digestive Enzymes of New Strawberry Tree Fruit/Apple Smoothies. Antioxidants 2023, 12, 805. https://doi.org/10.3390/antiox12040805
Gil KA, Nowicka P, Wojdyło A, Serreli G, Deiana M, Tuberoso CIG. Antioxidant Activity and Inhibition of Digestive Enzymes of New Strawberry Tree Fruit/Apple Smoothies. Antioxidants. 2023; 12(4):805. https://doi.org/10.3390/antiox12040805
Chicago/Turabian StyleGil, Katarzyna Angelika, Paulina Nowicka, Aneta Wojdyło, Gabriele Serreli, Monica Deiana, and Carlo Ignazio Giovanni Tuberoso. 2023. "Antioxidant Activity and Inhibition of Digestive Enzymes of New Strawberry Tree Fruit/Apple Smoothies" Antioxidants 12, no. 4: 805. https://doi.org/10.3390/antiox12040805
APA StyleGil, K. A., Nowicka, P., Wojdyło, A., Serreli, G., Deiana, M., & Tuberoso, C. I. G. (2023). Antioxidant Activity and Inhibition of Digestive Enzymes of New Strawberry Tree Fruit/Apple Smoothies. Antioxidants, 12(4), 805. https://doi.org/10.3390/antiox12040805

