Abstract
Pea plants are sensitive to water shortages, making them less attractive to farmers. Hoping to reduce the adverse effects of drought on peas and considering the benefits of boron, this study aimed to investigate the impact of boron nanoparticles on the antioxidant system and oxidative stress biomarkers in drought-stressed peas. Experiments were performed in a greenhouse. Pea plants were treated with a suspension of B2O3 nanoparticles at 12.5, 25, and 50 ppm concentrations before ten days of water shortage. Drought effects were induced by maintaining 30% substrate moisture. This study investigated the properties of the nanoparticle suspension and different application methods for spraying and watering pea plants. The effects of B2O3 nanoparticles and drought were determined on pea growth indicators, oxidative stress biomarkers, and enzymatic and non-enzymatic antioxidants. Spraying with B2O3 nanoparticles at 12.5 ppm most effectively stimulated phenol accumulation; FRAP, DPPH, and ABTS antioxidant capacity; and APX, SOD, GPX, and CAT enzyme activity in pea leaves exposed to drought. In addition, B2O3 nanoparticles reduced the amount of MDA and H2O2 in pea plants grown on a substrate with insufficient moisture. The most substantial positive effect was found on peas affected by drought after spraying them with 12.5 ppm of B2O3 nanoparticles. B2O3 nanoparticles positively affected the pea height, leaf area, number of nodules, and yield.
1. Introduction
Nanotechnology is an advanced field of science, the use of which ranges from standard household chemicals and cosmetics to precision agriculture, the development of medicines and medical devices, and their use in space technology for effective shielding and energy storage. It is part of the future, but the environmental impact needs to be studied before its widespread use. Furthermore, considering climate change, the depletion of fossil minerals, and sustainable farming, it is essential to adopt new methods. This manuscript investigates drought and boron (B) nanoparticles’ (NPs) effects on pea plants. It is known that B is necessary for plants of the leguminous family because it makes nitrogen fixation more efficient. In addition, B plays a crucial role in the formation and stability of cell walls, supports the functional and structural integrity of biological membranes, promotes the movement of sugar or energy to the growing parts of plants, and positively affects pollination and seed sets.
B is also known to stimulate both enzymatic and non-enzymatic antioxidant activity. Many scientific publications highlight the benefits of bulk B on the plant antioxidant system during different stress conditions [,,], but only a few investigate the effect of B2O3 NPs on plants [,,].
Recent research has shown that the application of 150 mg L−1 arbuscular mycorrhiza (AM) with 100 mg L−1 B2O3 NPs can significantly increase the height, the number of leaves, the fresh and dry biomass, and the herb g plant−1 of stevia []. It also positively affected the content of chlorophyll, carotenoids, and the amount of nutrients N, P, K, Zn, and B in stevia leaves. Another critical study highlighted that B2O3 NPs in soybean increased the B content, grain yield, and nitrogen accumulation compared to untreated plants []. In addition, B2O3 NPs have a positive effect in protecting potatoes against salinity stress. It increased the shoot fresh and dry weight, chlorophyll content, photosynthesis rate, stomatal conductance, intercellular CO2 concentration, and water use efficiency and decreased the transpiration rate in saline-soil-grown tomatoes [].
One crucial consequence of B deficiency is abnormal nodular organogenesis, in which abnormal cell proliferation is accompanied by a lack of differentiation []. An adequate amount of boron can positively affect the formation and activity of antioxidants in plants []. Moreover, boron can increase plants’ resistance to salinity [], heavy metals [,], and drought stress [,,]. It is worth noting that there is no information on the response of drought-stressed plants to B as a nanoparticle. It was hypothesized that B NPs would likely increase the antioxidant content and activity in drought-stressed peas and reduce biomarkers of oxidative stress, thereby maintaining pea yields.
Peas are incorporated in crop rotation and are essential plants because they carry out symbiosis with nitrogen-fixing bacteria and enrich the soil quality, and they are important as a source of protein in nutritional aspects. Pea plants are sensitive to water scarcity, which makes them less attractive to farmers. To make pea cultivation more attractive to growers, it is extremely important to create a cultivation methodology that would support a constant yield. Considering the strong effect of bulk B on plants, it is very important to investigate the effect of B2O3 NPs on the growth parameters, yield, nodulation, antioxidants, and oxidative stress of drought-stressed peas for stronger effects and the more efficient use of depleted resources.
2. Materials and Methods
2.1. Research Conditions
The experiments were carried out during the spring–summer periods of two years (2019–2020) in two greenhouses (3 × 6 m; h = 2 m) at the Lithuanian Research Centre for Agriculture 41 and Forestry, Institute of Horticulture, Babtai, Lithuania (55°05′08.4″ N 23°48′03.5″ E, at an altitude of 51 m; moderate climate zone of the northern hemisphere). Before sowing, green pea seeds were sterilized in 5% sodium hypochlorite (NaClO) solution for 15 min to ensure surface sterility [] and rinsed gently with deionized water several times. Then, the seeds were soaked in water for 24 h. Ten seeds were sown in 10-L volume plastic pots (7 pots per treatment, arranged randomized) and filled with ~8 kg of soil mixture (volume of 7:1 soil to perlite ratio, respectively). The soil was heavy loam with a particle size distribution, pH 7.4 ± 0.1; concentration of humus—3.6 ± 0.1%; P2O5—243 ± 8 mg kg−1; K2O—348 ± 37 mg kg−1; NH4—4 ± 0.6 mg kg−1; NO3—22 ± 0.9 mg kg−1; SiO2—39 ± 0.8 mg kg−1; B—0.02 ± 0.001 mg kg−1 (after the experiment, the composition of the soil was also analyzed). Pea seedlings were thinned to 7 plants per pot five days after sowing. After 16 days of cultivation, the peas were fertilized with 7 g pot−1 ammonium nitrate (NH4NO3, Merck KGaA, Darmstadt, Germany). The peas were sprayed with fungicides because the green pea cultivar ‘Respect’ is more susceptible to powdery mildew, even when grown in a greenhouse. Pots were irrigated with water by a graduated cylinder daily to 80% of substrate moisture (SM) using a substrate moisture sensor (Delta-T devices, HH2 moisture meter, Cambridge, United Kingdom) for 35 days. Plants were grown under a natural-day-length photoperiod. The average day/night temperature was 22.2/14.4 °C; relative air humidity—58/77 ± 5% before exposure; during the ten days of drought treatment, the average day/night temperature was 25.4/16.6 °C, and the relative air humidity was 53/75 ± 5%, and data were measured throughout the experiment (Termio+ data logger, Lubawka, Poland) in the first year. The conditions of the second experiment were as follows: the day/night average temperature was 24.2/14.4 °C; relative air humidity—54/75 ± 5% before exposure; during the ten days of drought exposure, the day/night average temperature was 26.2/17.0 °C, relative air humidity was 50/73 ± 5%. After the peas reached the 40 BBCH growth stage [], they were foliar sprayed until full wetting (ca. 14 ± 0.5 mL plant−1) or watered (100 ± 1 mL per pot) with suspensions containing 12.5 ppm, 25 ppm, and 50 ppm concentrations of B2O3 NPs; control (NP-untreated) were watered or sprayed with water. After the application of NPs, the watering of one part of the pea plants was stopped, and drought stress was initiated (30% SM). Substrate moisture was measured every day at the same time and maintained at 30% by watering when needed. In contrast, another part of the pea and control plants was irrigated with water to maintain regular soil moisture (80% SM) throughout the experiment. These regimes were applied for ten days until harvest. After each treatment, plants were harvested after reaching the BBCH 50 growth stage [] to assess their morphophysiological responses. The remaining plants were grown to maturity and harvested, the pods collected, and the grains counted and weighed.
2.2. Aqueous Suspension of Boron Nanoparticles
An aqueous suspension was prepared using boron (B2O3 particle size: up to 100 nm; purity: 95%) nanoparticles (US Research Nanomaterials, Inc, Houston, TX, USA) and deionized water at 12.5, 25, and 50 ppm concentrations. Before treatment with nanoparticles, the suspension was dispersed using an ultrasonic bath (Sonerex super ultrasonic bath 80W, Weidinger GmbH, Gernlinden, Germany) for 60 min. The stability of this suspension was evaluated using a particle size meter (Delsa™ Nano Submicron Particle Size, Beckman Coulter Instruments. Corporation, Fullerton, California) and a zeta potential device (Dispersion Technology Inc., Bedford Hills, New York). The pH of the suspension was determined using a pH meter (Hanna instruments, HI5000, Washington, USA).
2.3. Research Object
Green pea (Pisum sativum L.) cultivar ‘Respect’ (Maribo Seed International ApS, Denmark) was used in experiments. It is a medium–early semi-leafless pea variety. Green peas (Pisum sativum L.) were selected as the research object. Peas are the most drought-sensitive members of the legume family and have particular importance in crop rotation. In addition, they fix atmospheric nitrogen in a symbiotic association with Rhizobium bacteria and meet the nitrogen demand of subsequent crops. They are also widely used for both human food and animal feed.
2.4. Growth Parameters
Ten plants per treatment were randomly selected (n = 10) for biometric measurements. First, the shoots were separated from the roots, and then the shoot height, root length, fresh weight (FW), and dry weight (DW) were determined. Using electronic scales (Mettler Toledo AG64, Columbus, OH, USA), the FW and DW were measured. DW was determined using a forced-air convection dryer (VENTICELL 222, MBT, Brno, Czech Republic) at 105 ºC. After shoot FW determination, ten matured plants per treatment were floated on deionized water for 24 h, and turgid weights (TW) were measured. Relative water content (RWC) was calculated as described by [].
The leaf area was measured with an automatic leaf area meter (AT Delta-T Devices, Wallingford, UK) and expressed as cm2 g −1. Specific leaf area (SLA) was calculated by dividing the total plant leaf area (n = 10) by shoot DW. The root/shoot ratio was determined as the ratio of root DW to aboveground DW. Pods were collected from each pea plant, and the average number of heads/pods m−2 was counted (A, average number of pods m−2). Then, the number of grains in the pods in each variant was calculated, and the average (B, average number of grains per pod) was derived. The weight of 100 grains (C, weight of 100 grains of peas) was calculated. The pea yield was calculated according to the following formula []:
The pea yield (t ha−1) = (A × B × C)/10,000
2.5. Biochemical Analysis
Antioxidant properties of pea leaves were evaluated as the DPPH (2-diphenyl-1-picrylhydrazyl), ABTS (2,20-azino-bis (3-ethylbenzothiazoline-6-sulphonic acid)) diammonium salt, and radical scavenging activities, and the Fe2+ reducing antioxidant power assay (FRAP). Moreover, the total content of phenolic compounds was determined. Extracts were prepared by grinding 0.3 g of plant leaves with liquid nitrogen and diluting this with 5 mL of 80% methanol. Then, 24 h later, the samples were centrifuged for 10 min at 3000 rpm (Hermle Z300K, Baden-Württemberg, Germany). Cellulose filters were used for extract filtration. The supernatant was used for further analyses. All biochemical analysis was performed in 3 biological replications. Each of the three biological replicates consisted of at least three conjugated plants and was repeated in three analytical replicates.
2.5.1. Non-Enzymatic Antioxidant Activity
The total content of phenolic compounds was determined as gallic acid equivalents. First, a 250 µL aliquot of the sample extract was mixed with 250 µL of 10% (w/v) Folin–Ciocalteu reagent, 500 µL of 1 M Na2CO3 solution, and 2 mL of distilled water []. After 20 min incubation in the dark, the absorbance was measured at 765 nm (M501, Spectronic Camspec Ltd., Leeds, UK). The total phenolic compound quantity mg g−1 was calculated from the calibration curve of gallic acid (0.01–0.1 mg mL−1, R2 = 0.99).
The ABTS (2,2-azino-bis (3-ethylbenzothiazoline-6-sulphonic acid; Sigma-Aldrich, Burlington, MA, USA) radical cation was obtained by incubating 7 mM ABTS stock solution (100 mL) with 2.45 mM potassium persulfate (final concentration K2S2O8; 99% purity; Sigma-Aldrich, Burlington, MA, USA) and allowing the mixture to stand in the dark at room temperature for 12–16 h before use []. After this, 50 μL of the prepared sample was mixed with 2 mL of ABTS solution (ABTS stock solution was diluted 1:7), and the absorbance was measured after 11 min (plateau phase) at 734 nm (M501, Spectronic Camspec Ltd., Leeds, UK). The ABTS scavenging activity of pea leaf extracts was calculated as the difference between the initial absorbance and after reacting for 10 min. A calibration curve was determined using Trolox (6-hydroxy-2,5,7,8-tetramethychroman-2-carboxylic acid; 97% purity; Sigma-Aldrich, USA) as an external standard, with a range of concentrations from 0.1 to 0.8 mM (R2 = 0.99). It was expressed as ABTS µmol scavenged per 1 g of fresh weight (µmol g−1 FW).
For the DPPH (2-diphenyl-1-picrylhydrazyl) assay, a stable 126.8 μM DPPH (100% purity; Sigma-Aldrich, Burlington, MA, USA) solution was prepared in methanol []. Subsequently, 1 mL of the DPPH solution was transferred to a test tube and mixed with 100 μL of the diluted pea extract with 400 μL methanol. The absorbance was scanned at 515 nm (M501, Spectronic Camspec Ltd., Leeds, UK). while reacting for 16 min. The free radical scavenging capacity was expressed as μmol of DPPH radicals scavenged per 1 g of fresh weight (µmol g−1 FW). A calibration curve was determined using Trolox (6-hydroxy-2,5,7,8-tetramethychroman-2-carboxylic acid; 97% purity; Sigma-Aldrich, USA) as an external standard, with a range of concentrations from 0.1 to 0.6 mM (R2 = 0.99).
The FRAP method is based on reducing ferric ions (Fe3+) to ferrous ions (Fe2+). The fresh working solution was prepared by mixing 300 mM, pH 3.6 acetate buffer, 10 mM TPTZ (2,4,6-tripyridyl-s-triazine) solution in 40 mM HCl, and 20 mM FeCl3 × 6H2O at 10:1:1 (v/v/v) []. Next, 20 µL of the sample was mixed with 3 mL of working solution and incubated in the dark for 30 min. Readings of the colored product (ferrous tripyridyl-triazine complex) were then taken at 593 nm. A calibration curve was determined using Fe2(SO4)3 (iron (III) sulfate; 97% purity; Sigma-Aldrich, USA) as an external standard, with a range of concentrations from 0.005 to 0.5 mM (R2 = 0.99). The antioxidant power is expressed as Fe2+ antioxidant capacity (Fe2+ µmol g−1 FW).
2.5.2. Enzymatic Antioxidant Activity
The extracts used to determine the enzymatic antioxidant activity in pea leaves were prepared by grinding 0.5 g of fresh sample with liquid nitrogen and diluting within 5 mL extraction buffer (100 mM potassium phosphate buffer, pH 7.8, containing 0.1 mM EDTA). After centrifugation for 10 min at 3000 rpm (Hermle Z300K, Baden-Württemberg, Germany), the supernatant was collected and used for the assays of enzymatic activity. All steps in the preparation of the enzyme extract were carried out at 4 °C.
The dye-binding method and bovine serum albumin as a standard were used to determine soluble proteins. First, 30 µL of enzyme extract was mixed with 1.5 mL of Bradford reagent diluted by 1:5 with DI water. Absorbance was read after 2 min through a spectrophotometer (M501, Spectronic Camspec Ltd., Leeds, UK) at 595 nm [].
Superoxide dismutase (SOD) activity was estimated by the inhibition of the photochemical reduction of nitroblue tetrazolium (NBT) by the enzyme []. Here, 3 mL of reaction mixture consisted of 13 mM methionine, 75 µM NBT, 100 mM potassium phosphate buffer (pH 7.8, containing 0.1 mM EDTA), 50 µL enzyme extract, and 13 μM riboflavin. The tubes were kept under 150 µmol m−2 s −1 for 1 min to initiate the reaction and then covered. The absorbance was recorded after 30 min with a spectrophotometer (M501, Spectronic Camspec Ltd., Leeds, UK) at 560 nm, and one unit of enzyme activity was taken as the amount of enzyme that reduced the absorbance reading to 50% in comparison with tubes lacking the enzyme, expressed as unit mg−1 protein min−1.
Catalase (CAT) activity was measured as the disappearance of H2O2 []. First, 100 µL enzyme extract was added to 1.275 mL of 0.1 M phosphate buffer (pH 7.8, containing 0.1 mM EDTA). The reaction was started by adding 125 µL of 30 mM H2O2 (30%, Merck KGaA, Darmstadt, Germany). The decrease in absorbance measured by a spectrophotometer (M501, Spectronic Camspec Ltd., Leeds, UK) at 240 nm was observed for 1 min, and enzyme activity was computed by calculating the amount of H2O2 decomposed (µmol H2O2 mg−1 protein min−1).
Ascorbate peroxidase (APX) activity was assayed by recording the decrease in optical density due to ascorbic acid at 290 nm []. The 1 mL assay mixture contained 0.1 M potassium phosphate buffer (pH 7.8, containing 0.1 mM EDTA), 0.5 mM ascorbic acid, 0.1 mL enzyme extract, and 0.1 mL of 30 mM H2O2 (30%, Merck KGaA, Darmstadt, Germany) which was added to initiate the reaction. The decrease in absorbance was measured spectrophotometrically (M501, Spectronic Camspec Ltd., Leeds, UK) for 1 min. The extinction coefficient of 2.8 mM−1 cm−1 for reduced ascorbate was used to calculate the enzyme activity, which was expressed as µmol AsA mg−1 protein min−1.
Glutathione reductase (GR) activity was measured based on the decrease in the absorbance of oxidized glutathione (GSSG) at 340 nm []. The reaction mixture contained 0.1 M potassium phosphate buffer (pH 7.8, containing 0.1 mM EDTA), 1 mM GSSG (Merck KGaA, Darmstadt, Germany), 100 µL enzyme extract, and 75 µL 0.1 mM NADPH added last to initiate the reaction. The decrease in absorbance measured by a spectrophotometer (M501, Spectronic Camspec Ltd., Leeds, UK) was recorded every 5 min for 20 min. An absorption coefficient of 6.22 mM−1 cm−1 was used for calculations. GR activity was defined as µmol NADPH mg−1 protein min−1.
Guaiacol peroxidase (GPX) activity measurements were based on the increase in the absorbance of oxidized guaiacol at 470 nm []. The reaction mixture contained 0.1 M potassium phosphate buffer (pH 7.8, containing 0.1 mM EDTA), 31 mM guaiacol (Merck KGaA, Darmstadt, Germany), 100 µL enzyme extract, and 75 µL 3.6 mM H2O2 (30%, Merck KGaA, Darmstadt, Germany) added last to initiate the reaction. The increase in absorbance measured by a spectrophotometer (M501, Spectronic Camspec Ltd., Leeds, UK) was recorded for 2 min. Therefore, GPX activity was expressed as µmol H2O2 mg −1 protein min−1.
2.5.3. Oxidative Stress Biomarkers
The extracts used to determine the concentration of lipid peroxidation and hydrogen peroxide (H2O2) in pea leaves were prepared by grinding 0.1 g of fresh sample with liquid nitrogen and diluting it with 4 mL of 0.1% trichloroacetic acid (TCA). After centrifugation for 10 min at 3000 rpm (Hermle Z300K, Baden-Württemberg, Germany), the supernatant was used for further analyses.
For H2O2 measurements in plant leaves, 500 μL of the supernatant was added to 1 mL of 1 M potassium iodide (KI). The absorbance of the mixture was scanned at 390 nm using a spectrophotometer (M501, Spectronic Camspec Ltd., Leeds, UK). A calibration curve was determined using H2O2 (30%, Merck KGaA, Darmstadt, Germany) as an external standard, with a range of concentrations from 0.6 to 24.3 mM (R2 = 0.99). The content of H2O2 is expressed as fresh weight (µmol g −1 FW) [].
The thiobarbituric acid (TBARS) test determines the malondialdehyde (MDA) content in pea leaf samples as the end product of lipid peroxidation. First, 500 μL of the supernatant was added to 1 mL 0.5% (w/v) thiobarbituric acid (TBA, Merck KGaA, Darmstadt, Germany) in 20% trichloroacetic acid (TCA, Merck KGaA, Darmstadt, Germany). The mixture was incubated in boiling water for 30 min. The reaction stopped after the samples had cooled. The samples were centrifuged (Hermle Z300K, Baden-Württemberg, Germany) at 10,000× g for 5 min, and the absorbance of the supernatant was measured at 532 nm using a spectrophotometer (M501, Spectronic Camspec Ltd., Leeds, UK). The value for non-specific absorbance at 600 nm was subtracted []. The amount of MDA–TBA complex (red pigment) in leaves was calculated and expressed as nmol g −1 FW:
CMDA = (A532 − A600)/EMDA
- CMDA—concentration of MDA, µM;
- A532, A600—absorbance at wavelength;
- EMDA—MDA extinction coefficient 155 mM−1 cm−1.
2.6. Elemental Composition Analysis
The macro- and microelement quantities in pea leaves, stems, and roots were determined using the microwave digestion technique combined with inductively coupled plasma optical emission spectrometry [,]. Complete digestion of dry plant material (0.3 g) was achieved with 8 mL 65% HNO3 using a microwave digestion system, Multiwave GO (Anton Paar GmbH, Graz, Austria). The digestion program was as follows: (1) 170 °C reached within 3 min, digested for 10 min; (2) 180 °C reached within 10 min, digested for 10 min. Fully digested samples were diluted to 50 mL with deionized water. The elemental profile was analyzed using an ICP–OES spectrometer (Spectro Genesis, SPECTRO Analytical Instruments, Kleve, Germany). The operating conditions employed for ICP–OES determination were 1300 W RF power, 12 L min−1 plasma flow, 1 L min−1 auxiliary flow, 0.8 L min−1 nebulizer flow, and 1 mL min−1 sample uptake rate. The analytical wavelengths chosen were P I 213.618 nm, K I 766.491 nm, S I 182.034 nm, Ca II 445.478 nm, Mg II 279.079 nm, Fe II 259.941 nm, Zn I 213.856 nm, Mn II 259.373 nm, Cu I 324.754 nm. The calibration standards were prepared by diluting a stock multi-elemental standard solution (1000 mg L −1) in 6.5% (v/v) nitric acid and by diluting stock phosphorus and standard sulfur solutions (1000 mg L−1) in deionized water. The calibration curves for all the studied elements were in the range of 0.01–400 mg L−1. The levels of macro- and microelements in the dry weight of pea are presented.
2.7. Statistical Analysis
All the values were presented as mean ± standard deviation. Data were analyzed using the Analysis of Variance (ANOVA) test followed by Tukey’s HSD at p ≤ 0.05 to identify significant differences (XLStat software, Addinsoft, Paris, Ile-de-France, France, 2022). Differences were analyzed between variants when peas were grown under normal conditions and separately between peas grown under drought conditions. The micro- and macroelement analysis results were also compared between controls, i.e., peas grown in a drought and not treated with NPs (SM 30%) and treated with NPs, and between control peas grown under normal conditions (SM 80%) not treated with NPs and treated with NPs.
3. Results
3.1. Boron Nanoparticles’ Impact on Morphological Parameters
Pea height increased by 14 and 27% when watered and by 28 and 19% when sprayed with 12.5 and 50 ppm B2O3 NP suspension under sufficient substrate moisture (Table 1, 80% SM). Furthermore, a positive effect of B2O3 NPs was found in the pea plant’s leaf area and RWC. At the same time, a decrease of 15% in SLA was observed after spraying with 12.5 ppm solution. The root-to-shoot ratio statistically reliably increased after watering plants at 12.5 ppm by 21%, 25 ppm—by 36%, and 50 ppm—by 68%. In addition, an increase in the root-to-shoot ratio by 68% (12.5 ppm), 18% (25 ppm), and 34% (50 ppm) was observed when plants were sprayed. The results also showed that B2O3 NPs positively affected the number of nodules on plant roots by increasing their amount by up to 5.6 times when plants were watered and up to 3.4 times when plants were sprayed. The results showed that pea irrigation with 50 ppm B2O3 NPs had a significant positive effect on yield, while foliar treatment increased the pea yield for suspensions containing 12.5 and 25 ppm B2O3 NPs.

Table 1.
Impact of drought stress and 12.5, 25, 50 ppm B2O3 NPs on P. sativum L. leaf area, height, relative water content (RWC), root-to-shoot ratio, specific leaf area (SLA), number of nodules, and yield. 0—control plants watered with deionized water; substrate moisture (SM) 80%; drought stress—SM 30%. Mean values within columns followed by different letters differ significantly at p < 0.05 (n = 10) according to Tukey’s (HSD) test.
B2O3 NPs strongly affected pea plants grown in drought conditions (Table 1, 30% SM). The applied B2O3 NP suspension with different concentrations increased the plant height. Furthermore, watering the plants with 25 and 50 ppm B2O3 NP suspensions increased the leaf area by 30 and 40%, respectively. There was a statistically significant increase in RWC at higher B2O3 NP concentrations. The root-to-shoot ratio increased to 30% after watering drought-affected peas with B2O3 NP solutions, while foliar application increased the ratio to 14%. The 50 ppm B2O3 NP concentration influenced the number of root nodules, increasing it by three times during watering and up to six times during spraying. Irrigation with the suspension of 12.5 and 25 ppm B2O3 NPs positively affected the pea yield. Additionally, spraying drought-stressed peas with 12.5, 25, and 50 ppm B2O3 NPs increased the yield by 16%.
3.2. Effects on Oxidative Stress Biomarkers
The results show that exposure to B2O3 NPs through the roots increased the amount of H2O2 in plants, regardless of the concentration, when peas were grown under sufficient substrate moisture (Figure 1A, 80% SM). When plants were sprayed, a statistically reliable 65% increase in H2O2 content was found at 12.5 ppm B2O3 NPs. A significant decrease in the MDA concentration (Figure 1B, 80% SM) was also found in pea leaves as plants were watered or sprayed with a solution containing any concentration of B2O3 NPs.

Figure 1.
Effects of drought and B2O3 NPs (B in the figure; 12.5, 25, 50 ppm) on hydrogen peroxide (A) and malondialdehyde content (B) in P. sativum L. Substrate moisture (SM) 80% means normal conditions; drought stress—SM 30%. H2O—control plants watered with deionized water. Values presented are means ± SE of three replicates, and different letters differed significantly by Tukey’s HSD test (p < 0.05).
The significant inhibition of H2O2 and MDA was found as their concentration decreased after plants’ exposure to drought and B2O3 NPs (Figure 1A, B 30% SM). The amount of H2O2 decreased by 18, 24, and 45% after spraying the plants with 12.5, 25, and 50 ppm, and by 22, 37, and 9% after watering. A reduction in the MDA content by 22, 13, and 17% was found after pea irrigation with 12.5, 25, and 50 ppm suspensions of B2O3 NPs and after foliar application by 20, 25, and 22%.
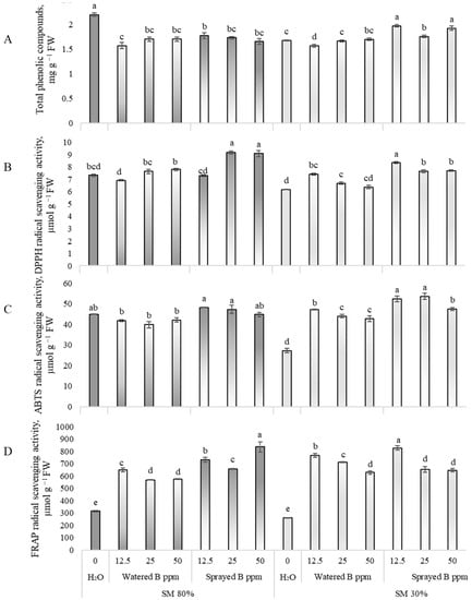
3.3. Effects on Non-Enzymatic Antioxidants
It was found that at 80% substrate moisture, watering and spraying with B2O3 NPs reduced the TPC in pea leaves by up to 30% (Figure 2A, 80% SM). B2O3 NP treatment did not affect ABTS free radical scavenging activity (Figure 2C, 80% SM). However, it was determined that after spraying peas with 25 and 50 ppm suspensions, the DPPH free radical scavenging activity increased by 25 and 24% (Figure 2B, 80% SM). Furthermore, concentrations of B2O3 NP suspensions of 12.5, 25, and 50 ppm increased the FRAP antioxidant power (Figure 2D, 80% SM), as plants were watered or sprayed.

Figure 2.
Effects of drought and B2O3 NPs (B in the figure; 12.5, 25, 50 ppm) on total phenolic compounds (A), DPPH free radical scavenging activity (B), ABTS free radical scavenging activity (C), and FRAP antioxidant power (D) in P. sativum L. Substrate moisture (SM) 80% means normal conditions; drought stress—SM 30%. H2O—control plants watered with deionized water. Values presented are means ± SE of three replicates, and different letters differed significantly by Tukey’s HSD test (p < 0.05).
The results showed that spraying drought-affected peas with 12.5, 25, and 50 ppm B2O3 NP suspensions increased the TPC content to 18%, while watering with 12.5 ppm significantly reduced it (Figure 2A, 30% SM). ABTS free radical scavenging activity showed sensitivity to the impact of B2O3 NPs (Figure 2C, 30% SM); it increased to 73% after watering and 96% after spraying compared to drought-affected plants without NP exposure. Similar results were found for FRAP antioxidant power in peas (Figure 2D, 30% SM). The exposure to drought and B2O3 NP 12.5 and 25 ppm suspensions through the roots exerted a slight impact (20%) on DPPH free radical scavenging activity (Figure 2B 30% SM). In addition, spraying with 12.5, 25, and 50 ppm B2O3 NP suspensions induced DPPH free radical scavenging activity by 35, 24, and 25%, respectively.
3.4. Effects on Enzymatic Antioxidants
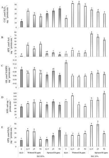
B2O3 NPs induced the activity of CAT, APX, SOD, and GPX in pea leaves when they were grown in 80% SM (Figure 3A,B,D,E). APX activity increased particularly strongly after watering plants with B2O3 NP suspensions, while a slightly weaker effect was caused by spraying. CAT activity increased up to two times when plants were watered with suspensions of B2O3 NPs. When peas were sprayed, the CAT activity increased by 1.3, 1.8, and 2 times when the concentration was 12.5, 25, and 50 ppm. SOD activity was induced by up to 41% by exposure to B2O3 NPs through roots, and foliar treatment activated the enzyme by up to 46%. GPX activity was distinguished because lower concentrations of 12.5 and 25 ppm had a more substantial positive effect during watering, while higher concentrations of 25 and 50 ppm increased the activity more strongly during spraying. The B2O3 NP suspension reduced the GR activity (Figure 3C, 80% SM) when suspensions with concentrations of 12.5 and 50 ppm were used for plant watering or spraying.

Figure 3.
Effects of drought and B2O3 NPs (B in the figure; 12.5, 25, 50 ppm) on ascorbate peroxidase (APX, A), catalase (CAT, B), superoxide dismutase (SOD, C), glutathione reductase (GR, D), and guaiacol peroxidase (GPX, E) activity in P. sativum L. Substrate moisture (SM) 80% means normal conditions; drought stress—SM 30%. H2O—control plants watered with deionized water. Values presented are means ± SE of three replicates, and different letters differed significantly by Tukey’s HSD test (p < 0.05).
A substantial decrease in GR activity was caused by drought and B2O3 NP exposure, with a 55% reduction after irrigation and a 45% reduction after spraying (Figure 3C, 30% SM). Moreover, an adverse effect was found on SOD activity (Figure 3D, 30% SM); after peas’ irrigation with 25 and 50 ppm solutions of B2O3 NPs, a 36% increase in SOD activity was determined after using the 12.5 ppm B2O3 NP suspension. Furthermore, SOD activity was induced by up to 51% when drought-affected peas were sprayed with the B2O3 NP solution. The strong effect of B2O3 NPs on the APX activity (Figure 3B, 30% SM) remained in pea leaves as plants were grown in drought conditions. After watering peas with B2O3 NP suspensions, APX activation occurred by up to 1.4 times after spraying up to eight times. Additionally, GPX activity in drought-affected peas (Figure 3E, 30% SM) was increased by up to 91% after foliar exposure with all B2O3 NP concentrations. CAT activity (Figure 3A, 30% SM) was strongly activated by the watering or spraying of plants with B2O3 NP solutions of any concentration.
3.5. Comparison and Summary of Results
As can be seen in the heat map (Table 2), in peas grown with normal substrate moisture and watered or sprayed with B2O3 NPs, nodulation, FRAP, hydrogen peroxide formation, GPX, APX, and CAT were most strongly induced, but ABTS antioxidant capacity, TPC and MDA content, and GR activity were reduced. Strong nodulation; increased ABTS antioxidant capacity, FRAP antioxidant power, GPX, APX, and CAT activity; and significantly decreased H2O2 and MDA levels were observed in peas grown under drought conditions with B application. Notably, nodule formation increased with an increasing concentration, but the activity and content of most antioxidants decreased, although they were still higher than in plants grown under drought conditions but without B2O3 NPs. The yield of peas grown under drought conditions was higher with the corresponding increase in antioxidant content and activity, which means that as the concentration of B2O3 NPs decreased, the yield increased, and it even increased by up to 19% compared to B2O3-untreated plants.

Table 2.
The impact of drought stress and B2O3 NPs (12.5, 25, 50 ppm) on P. sativum L. grown in a substrate with sufficient (SM 80%) and insufficient (SM 30%) moisture is expressed as a percentage change (%) compared to the control (for SM, 80% control means plants grown under SM 80% and NP-untreated; SM 30% control means drought-affected but NP-untreated plants) in the heat map. Statistically significant differences are marked in bold.
4. Discussion
In our studies, the zeta potential of the aqueous suspension of B2O3 NPs was −28.54 mV (Table 1). However, other researchers found that an aqueous suspension of B2O3 NPs with 0.2% Triton X-100 had a value −30.3 mV []. Such zeta potential values indicate that the solutions are stable and anionic. In addition, the PDI of this suspension was 0.23, while other scientists have found a value of 0.4 [], indicating that the suspensions are monodisperse.
To better understand the effects of B on plants, it is important to determine the form and mechanism with which B enters the plant naturally. Around 96% of boron exists mainly as boric acid (H3BO3) and a small amount as borate anion [B(OH)4−] at a neutral pH of 5.5–7.5 []. Such forms of B can readily diffuse through roots or be transported by major intrinsic protein (MIP) channels or BOR transporters depending on the plant species [].
The study shows that the number of nodules formed on pea roots (Table 2) increases strongly after exposure to B2O3 NPs in both regular and deficient substrate moisture conditions. Such an effect could be explained by the fact that once B enters the plant, it is transported in the xylem, and approximately 90% is incorporated into plant cell walls []. B is the main element in the formation of esters with rhamnogalacturonan II (RGII). This borate ester is required to maintain normal cell wall functions and structures []. Under normal conditions, when there is sufficient B in the soil, RGII glycoproteins are also formed in the plasma membranes of pea root nodules and root cells. However, RGII glycoproteins are not synthesized, and their absence destabilizes the plasma membrane and nodule formation in B deficiency []. Moreover, B, as a component of glycoproteins, is essential for differentiating nodule bacteria into a nitrogen-fixing form []. Increased nitrogen fixation in the pea plant increases its resistance, resulting in increased antioxidant production, as seen in our results (Table 2).
It is worth mentioning that our study expands the knowledge about the effect of B2O3 NPs on the antioxidant systems of plants. It should be emphasized that B2O3 NPs effectively protect plants from drought stress by stimulating non-enzymatic FRAP antioxidant power and ABTS free radical scavenging activity and APX, GPX, and CAT enzymatic antioxidants. Moreover, B NPs can also influence the shoot height, flower number, and B, N, and K accumulation in soybeans []. Furthermore, algae treated with B NPs showed higher Chl content and MDA and H2O2 concentrations, and more active SOD and CAT enzymes []. In addition, B deficiency affected >70% of the analyzed genes []. Most were upregulated, but some genes critical for nodule development and function were downregulated.
NPs can help to maintain the pea yield even under adverse environmental conditions. Their effect depends on the concentration and method of exposure. B2O3 NPs have a positive effect on the antioxidant system of peas, reducing the amount of oxidative stress biomarkers, which positively affects growth indicators, but more detailed studies are needed to evaluate their overall effects on different ecosystems. These findings contribute to the application of nanoparticles in agronomy but we do not recommend their use in practice until their effects on different ecosystems are studied.
5. Conclusions
Spraying with B2O3 nanoparticles at 12.5 ppm most effectively stimulated phenol accumulation, antioxidant capacity, ascorbate peroxidase, superoxide dismutase, and guaiacol peroxidase enzyme activity in pea leaves exposed to drought. In addition, B2O3 nanoparticles reduced the amount of hydrogen peroxide and malondialdehyde in pea plants grown on a substrate with insufficient moisture. The most substantial positive effect was found on peas affected by drought after spraying them with 12.5 ppm of B2O3 nanoparticles. These findings contribute to the application of nanoparticles in agronomy, but we do not recommend their use in practice until their effects on different ecosystems are studied.
Author Contributions
Conceptualization, R.S. and G.S.; methodology, R.S.; validation, S.M., M.J. and A.B.; formal analysis, R.S.; investigation, R.S.; resources, S.M. and G.S.; data curation, R.S.; writing—original draft preparation, R.S.; writing—review and editing, G.S., A.B., S.M. and M.J.; visualization, R.S.; supervision, G.S. All authors have read and agreed to the published version of the manuscript.
Funding
This research received no external funding.
Institutional Review Board Statement
Not applicable.
Informed Consent Statement
Not applicable.
Data Availability Statement
Not applicable.
Acknowledgments
R.S. is grateful to the Lithuanian Research Centre for Agriculture and Forestry for the conditions provided for working with nanoparticles and for donated field pea “Respect” seeds. The authors also appreciate Joana Bendoraitienė from the Kaunas University of Technology for measuring the nanoparticle suspension’s size and zeta potential.
Conflicts of Interest
The authors declare no conflict of interest.
References
- Alpaslan, M.; Gunes, A. Interactive effects of boron and salinity stress on the growth, membrane permeability and mineral composition of tomato and cucumber plants. Plant Soil 2001, 236, 123–128. [Google Scholar] [CrossRef]
- Bonilla, I.; El Hamdaoui, A.; Bolaños, L. Boron and calcium increase Pisum sativum seed germination and seedling development under salt stress. Plant Soil 2004, 267, 97–107. [Google Scholar] [CrossRef]
- Bastías, E.I.; González-Moro, M.B.; González-Murua, C. Zea mays L. amylacea from the Lluta Valley (Arica-Chile) tolerates salinity stress when high levels of boron are available. Plant Soil 2004, 267, 73–84. [Google Scholar] [CrossRef]
- Dimkpa, C.O.; Singh, U.; Bindraban, P.S.; Adisa, I.O.; Elmer, W.H.; Gardea-Torresdey, J.L.; White, J.C. Addition-omission of zinc, copper, and boron nano and bulk oxide particles demonstrate element and size-specific response of soybean to micronutrients exposure. Sci. Total Environ. 2019, 665, 606–616. [Google Scholar] [CrossRef]
- Zewail, R.M.; Ali, M.; El-Gamal, I.S.; Al-Maracy, S.H.; Islam, K.R.; Elsadek, M.; Azab, E.; Gobouri, A.A.; ElNahhas, N.; Mohamed, M.H.; et al. Interactive effects of arbuscular mycorrhizal inoculation with nano boron, zinc, and molybdenum fertilization on stevioside contents of stevia (Stevia rebaudiana L.) plants. Horticulturae 2021, 7, 260. [Google Scholar] [CrossRef]
- Mahmoud, A.W.; Abdeldaym, E.A.; Abdelaziz, S.M.; El-Sawy, M.B.; Mottaleb, S.A. Synergetic Effects of Zinc, Boron, Silicon, and Zeolite Nanoparticles on Confer Tolerance in Potato Plants Subjected to Salinity. Agronomy 2020, 10, 19. [Google Scholar] [CrossRef]
- Redondo-Nieto, M.; Maunoury, N.; Mergaert, P.; Kondorosi, E.; Bonilla, I.; Bolaños, L. Boron and calcium induce major changes in gene expression during legume nodule organogenesis. Does boron have a role in signalling? New Phytol. 2012, 195, 14–19. [Google Scholar] [CrossRef]
- Cakmak, I.; Römheld, V. Boron deficiency-induced impairments of cellular functions in plants. Plant Soil 1997, 193, 71–83. [Google Scholar] [CrossRef]
- Chen, D.; Chen, D.; Xue, R.; Long, J.; Lin, X.; Lin, Y.; Jia, L.; Zeng, R.; Song, Y. Effects of boron, silicon and their interactions on cadmium accumulation and toxicity in rice plants. J. Hazard. Mater. 2019, 367, 447–455. [Google Scholar] [CrossRef]
- Shireen, F.; Nawaz, M.A.; Lu, J.; Xiong, M.; Kaleem, M.; Huang, Y.; Bie, Z. Application of boron reduces vanadium toxicity by altering the subcellular distribution of vanadium, enhancing boron uptake and enhancing the antioxidant defense system of watermelon. Ecotoxicol. Environ. Saf. 2021, 226, 112828. [Google Scholar] [CrossRef]
- Karim, M.R.; Zhang, Y.Q.; Zhao, R.R.; Chen, X.P.; Zhang, F.S.; Zou, C.Q. Alleviation of drought stress in winter wheat by late foliar application of zinc, boron, and manganese. J. Plant Nutr. Soil Sci. 2012, 175, 142–151. [Google Scholar] [CrossRef]
- Abdel-Motagally, F.; El-Zohri, M. Improvement of wheat yield grown under drought stress by boron foliar application at different growth stages. J. Saudi Soc. Agric. Sci. 2018, 17, 178–185. [Google Scholar] [CrossRef]
- Aydin, M.; Tombuloglu, G.; Sakcali, M.S.; Hakeem, K.R.; Tombuloglu, H. Boron Alleviates Drought Stress by Enhancing Gene Expression and Antioxidant Enzyme Activity. J. Soil Sci. Plant Nutr. 2019, 19, 545–555. [Google Scholar] [CrossRef]
- Lehotai, N.; Pető, A.; Bajkán, S.; Erdei, L.; Tari, I.; Kolbert, Z. In vivo and in situ visualization of early physiological events induced by heavy metals in pea root meristem. Acta Physiol. Plant. 2011, 33, 2199–2207. [Google Scholar] [CrossRef]
- Meier, U. Growth Stages of Mono- and Dicotyledonous Plants: BBCH Monograph; Meier, U., Ed.; Julius Kühn-Institut: Quedlinburg, Germany, 2018. [Google Scholar]
- Barr, H.D.; Weatherley, P.E. A re-examination of the relative turgidity technique for estimating water deficit in leaves. Aust. J. Biol. Sci. 1962, 15, 413–428. [Google Scholar] [CrossRef]
- Koiter, A.; Bill Ashton, M.C.I.P. Rural Development Institute. 2021. Available online: https://www.brandonu.ca/rdi/files/2021/06/2020-2021-Rural-Development-Institute-Annual-Report.pdf (accessed on 7 February 2023).
- Ainsworth, E.A.; Gillespie, K.M. Estimation of total phenolic content and other oxidation substrates in plant tissues using Folin–Ciocalteu reagent. Nat. Protoc. 2007, 2, 875–877. [Google Scholar] [CrossRef]
- Re, R.; Pellegrini, N.; Proteggente, A.; Pannala, A.; Yang, M.; Rice-Evans, C. Antioxidant activity applying an amproved ABTS radical cation decolorization sssay. Free Radic. Biol. Med. 1999, 26, 1231–1237. [Google Scholar] [CrossRef]
- Sharma, O.P.; Bhat, T.K. DPPH antioxidant assay revisited. Food Chem. 2009, 113, 1202–1205. [Google Scholar] [CrossRef]
- Benzie, I.F.F.; Strain, J.J. The ferric reducing ability of plasma (FRAP) as a measure of “antioxidant power”: The FRAP assay. Anal. Biochem. 1996, 239, 70–76. [Google Scholar] [CrossRef]
- Bradford, M.M. A rapid and sensitive method for the quantification of microgram quantities of protein utilizing the principle of protein-dye binding. Anal. Biochem. 1976, 72, 248–254. [Google Scholar] [CrossRef]
- Dhindsa, R.S.; Plumb-Dhindsa, P.; Thorpe, T.A. Leaf Senescence: Correlated with Increased Levels of Membrane Permeability and Lipid Peroxidation, and Decreased Levels of Superoxide Dismutase and Catalase. J. Exp. Bot. 1981, 32, 93–101. [Google Scholar] [CrossRef]
- Aebi, H. Catalase in vitro. Meth. Enzymol. 1984, 105, 121–126. [Google Scholar]
- Nakano, Y.; Asada, K. Hydrogen Peroxide is Scavenged by Ascorbate-specific Peroxidase in Spinach Chloroplasts. Plant Cell Physiol. 1981, 22, 867–880. [Google Scholar] [CrossRef]
- Sofo, A.; Tuzio, A.C.; Dichio, B.; Xiloyannis, C. Influence of water deficit and rewatering on the components of the ascorbate–glutathione cycle in four interspecific Prunus hybrids. Plant Sci. 2005, 169, 403–412. [Google Scholar] [CrossRef]
- Kvaratskhelia, M.; Winkel, C.; Thorneley, R.; Wenzl, P.; Patiño, G.M.; Chaves, A.L.; Mayer, J.E.; Rao, I.M. Purification and Characterization of a Novel Class III Peroxidase Isoenzyme from Tea Leaves. Plant Physiol. 1997, 114, 1237–1245. [Google Scholar] [CrossRef] [PubMed]
- Velikova, V.; Yordanov, I.; Edreva, A. Oxidative stress and some antioxidant system in acid rain treated bean plants: Protective role of exogenous polyammines. Plant Sci. 2000, 151, 59–66. [Google Scholar] [CrossRef]
- Heath, R.L.; Packer, L. Photoperoxidation in Isolated Chloroplasts I. Kinetics and Stoichiometry of Fatty Acid Peroxidation. Arch. Biochem. Biophys. 1968, 125, 189–198. [Google Scholar] [CrossRef]
- Araújo, G.C.; Gonzalez, M.H.; Ferreira, A.G.; Nogueira, A.R.A.; Nóbrega, J.A. Effect of acid concentration on closed-vessel microwave-assisted digestion of plant materials. Spectrochim. Acta Part B 2002, 57, 2121–2132. [Google Scholar] [CrossRef]
- Barbosa, J.T.P.; Santos, C.M.; Peralva, V.N.; Flores, E.M.; Korn, M.; Nóbrega, J.A.; Korn, M.G.A. Microwave-assisted diluted acid digestion for trace elements analysis of edible soybean products. Food Chem. 2015, 175, 212–217. [Google Scholar] [CrossRef]
- Barreto, A.; Santos, J.; Amorim, M.; Maria, V. Environmental Hazards of Boron and Vanadium Nanoparticles in the Terrestrial Ecosystem—A Case Study with Enchytraeus crypticus. Nanomaterials 2021, 11, 1937. [Google Scholar] [CrossRef]
- Pereira, G.L.; Siqueira, J.A.; Batista-Silva, W.; Cardoso, F.B.; Nunes-Nesi, A.; Araújo, W.L. Boron: More Than an Essential Element for Land Plants? Front. Plant Sci. 2021, 11, 610307. [Google Scholar] [CrossRef] [PubMed]
- Camacho-Cristóbal, J.J.; Rexach, J.; González-Fontes, A. Boron in Plants: Deficiency and Toxicity. J. Integr. Plant Biol. 2008, 50, 1247–1255. [Google Scholar] [CrossRef] [PubMed]
- Goldbach, H.E.; Wimmer, M.A. Boron in plants and animals: Is there a role beyond cell-wall structure? J. Plant Nutr. Soil Sci. 2007, 170, 39–48. [Google Scholar] [CrossRef]
- Ryden, P.; Sugimoto-Shirasu, K.; Smith, A.C.; Findlay, K.; Reiter, W.-D.; McCann, M.C. Tensile Properties of Arabidopsis Cell Walls Depend on Both a Xyloglucan Cross-Linked Microfibrillar Network and Rhamnogalacturonan II-Borate Complexes. Plant Physiol. 2003, 132, 1033–1040. [Google Scholar] [CrossRef] [PubMed]
- Bolaños, L.; Cebrián, A.; Redondo-Nieto, M.; Rivilla, R.; Bonilla, I. Lectin-Like Glycoprotein PsNLEC-1 Is Not Correctly Glycosylated and Targeted in Boron-Deficient Pea Nodules. MPMI 2001, 14, 663–670. [Google Scholar] [CrossRef]
- Bolaños, L.; Lukaszewski, K.; Bonilla, I.; Blevins, D. Why boron? Plant Physiol. Biochem. 2004, 42, 907–912. [Google Scholar] [CrossRef]
- Dağlioğlu, Y.; Türkiş, S. A Comparative Study on the Effect of Acute Toxicity of Nano and Micro Boron Particles in Lemna minor (Linneaus 1753). J. Boron 2021, 6, 263–273. [Google Scholar] [CrossRef]
Disclaimer/Publisher’s Note: The statements, opinions and data contained in all publications are solely those of the individual author(s) and contributor(s) and not of MDPI and/or the editor(s). MDPI and/or the editor(s) disclaim responsibility for any injury to people or property resulting from any ideas, methods, instructions or products referred to in the content. |
© 2023 by the authors. Licensee MDPI, Basel, Switzerland. This article is an open access article distributed under the terms and conditions of the Creative Commons Attribution (CC BY) license (https://creativecommons.org/licenses/by/4.0/).