Benzylaminopurine and Abscisic Acid Mitigates Cadmium and Copper Toxicity by Boosting Plant Growth, Antioxidant Capacity, Reducing Metal Accumulation and Translocation in Bamboo [Pleioblastus pygmaeus (Miq.)] Plants
Abstract
1. Introduction
2. Materials and Methods
2.1. Plant Material and Growth Conditions
2.2. Measurement of Plant Development Related Parameters
2.3. Determination of Photosynthetic Parameters
2.4. Measurement of Biochemical Parameters
2.4.1. Oxidative Stress Indicators
2.4.2. Antioxidant Enzyme Activities
2.4.3. Assessment of Non-Enzyme Antioxidant Activities Including Total Phenolic, Tocopherols, and Flavonols
2.4.4. Determination of Phenylalanine Ammonia-Lyase and Tyrosine Ammonia-Lyase Activities
2.4.5. Determination of Total Thiol, Protein Thiol, and Non-Protein
2.4.6. Determination of Proline (Pro), Glutathione (GSH), and Glycine Betaine (GB) Content
2.5. Determination of Cadmium and Copper Accumulation in Leaves, Stems, and Roots of Bamboo Species (ICP Analysis)
2.6. Determination of the Bioaccumulation Factor (BAF), the Translocation Factor (TF), and the Tolerance Index (TI)
2.7. Statistical Analysis
3. Results
3.1. The Effect of 6-Benzyl Amino Purine and Abscisic Acid on the Plant Development Related Parameters in the Bamboo Species Exposed to Cadmium and Copper Toxicity
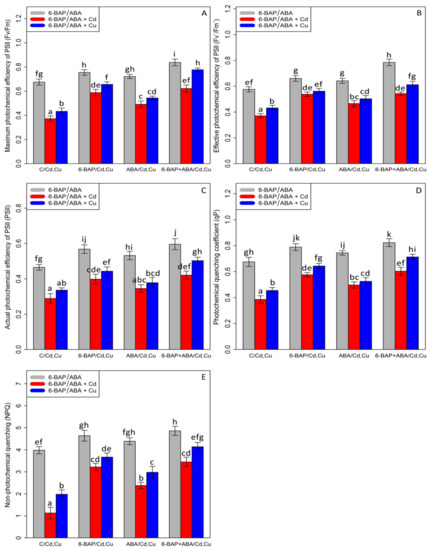
3.2. The Effect of 6-Benzyl Amino Purine and Abscisic Acid on Photosynthetic Parameters Including Chlorophyll Pigments and Chlorophyll Fluorescence
3.3. The Effect of 6-Benzylaminopurine and Abscisic Acid on the Content of Hydrogen Peroxide (H2O2), Soluble Proteins (SP), Superoxide Radical (O2•−), Thiobarbituric Acid Re-Active Substances (TBARS), the Activity of Lipoxygenase (LOX), and Electrolyte Leakage Percentage (EL)
3.4. The Effect of the 6-Benzylaminopurine and Abscisic Acid on the Antioxidant Activity in Plants Exposed to Cadmium and Copper
3.5. The Effect of 6-Benzyl Amino Purine and Abscisic Acid on the Non-Enzymatic Antioxidant Activity (Flavonols, Tocopherols, and Total Phenolics)
3.6. The Effect of 6-Benzyl Amino Purine and Abscisic Acid on the Phenylalanine Ammonia-Lyase and Tyrosine Ammonia-Lyase Activities
3.7. The Effect of 6-Benzyl Amino Purine and Abscisic Acid on the Content of a Total Thiol, Protein Thiol, and Non-Protein Thiol
3.8. The Effect of 6-Benzyl Amino Purine and Abscisic Acid on the Proline (Pro) Contents, Glycine Betaine (GB), and Glutathione (GSH)
3.9. The Effect of 6-Benzyl Amino Purine and Abscisic Acid on the Accumulation of Cadmium and Copper in Stems, Roots, and Shoots in Species of Bamboo
3.10. The Effect of 6-Benzyl Amino Purine and Abscisic Acid on the Bioaccumulation Factor (BAF), Tolerance Index (TI), and Translocation Factor (TF)
4. Discussion
5. Conclusions
Author Contributions
Funding
Institutional Review Board Statement
Informed Consent Statement
Data Availability Statement
Acknowledgments
Conflicts of Interest
Abbreviations
| 6-BAP | Benzylaminopurine |
| ABA | Abscisic acid |
| Cd | Cadmium |
| Cu | Copper |
| SOD | Superoxide dismutase |
| GR | Glutathione reductase |
| CAT | Catalase activity |
| APX | Ascorbate peroxidase |
| POD | Peroxidase |
| TAL | Tyrosine ammonia-lyase |
| PAL | Phenylalanine ammonia-lyase |
| GB | Glycine betaine |
| GSH | Glutathione |
| Pro | Proline |
| ICP | Inductively coupled plasma |
| TF | Translocation Factor |
| Ti | Tolerance Index |
| BAF | Bio Accumulation Factor |
| DW | Dry Weight |
| FW | Fresh Weight |
| (NPQ), | Non-Photochemical Quenching |
| (qP) | Photochemical quenching coefficient |
| (ɸPSll); | Actual photochemical efficiency of PSll |
| (Fv′/Fm′), | Effective photochemical efficiency of PSll |
| (Fv/Fm); | Maximum photochemical efficiency of PSll |
| (TBARS), | Thiobarbituric acid reactive substances |
| SP | Soluble Protein |
| EL | Electrolyte Leakage |
| LOX | Lipoxygenase activity |
| H2O2 | Hydrogen peroxide |
| O2•− | Superoxide radical |
| ROS | Reactive oxygen species |
| MDA | Malondialdehyde |
| NTFP | Non-timber forest product |
| KT | Kinetin |
| IAA | Indole-3-acetic acid |
| LN | Liquid nitrogen |
| CFI | Fluorescence imager machine (CFI) |
| (NO2) | Nitrogen dioxide radical |
| NBT | Nitro blue tetrazolium |
| TAC | Tocopherol Acetate Standard |
| TTs | Total Thiol |
| NPTs, NPSH | Non-Protein Thiols |
| PT, PSH | Protein Thiol |
| AAS | Atomic Absorption Spectrometry |
| CRD | Completely Randomized Design |
| PGMs | Plant Growth Modulators |
| PCs | Phytochelatins |
References
- Ding, X.; Hua, Y.; Chen, Y.; Zhang, C.; Kong, X. Heavy metal complexation of thiol-containing peptides from soy glycinin hydrolysates. Int. J. Mol. Sci. 2015, 16, 8040–8058. [Google Scholar] [CrossRef] [PubMed]
- Zhang, X.; Zhong, T.; Liu, L.; Ouyang, X. Impact of soil heavy metal pollution on food safety in China. PLoS ONE 2015, 10, e0135182. [Google Scholar] [CrossRef] [PubMed]
- Leonardo, B.; Emanuela, T.; Letizia, M.M.; Antonella, M.; Marco, M.; Fabrizio, A.; Beatrice, B.M.; Adriana, C. Cadmium affects cell niches maintenance in Arabidopsis thaliana post-embryonic shoot and root apical meristem by altering the expression of WUS/WOX homolog genes and cytokinin accumulation. Plant Physiol. Biochem. 2021, 167, 785–794. [Google Scholar] [CrossRef] [PubMed]
- Song, X.; Yue, X.; Chen, W.; Jiang, H.; Han, Y.; Li, X. Detection of Cadmium Risk to the Photosynthetic Performance of Hybrid Pennisetum. Front. Plant Sci. 2019, 10, 798. [Google Scholar] [CrossRef] [PubMed]
- Liu, W.; Shang, S.; Feng, X.; Zhang, G.; Wu, F. Modulation of exogenous selenium in cadmium-induced changes in antioxidative metabolism, cadmium uptake, and photosynthetic performance in the 2 tobacco genotypes differing in cadmium tolerance. Environ. Toxicol. Chem. 2015, 34, 92–99. [Google Scholar] [CrossRef] [PubMed]
- Chaffai, R.; Cherif, A. The cadmium-induced changes in the polar and neutral lipid compositions suggest the involvement of triacylglycerol in the defense response in maize. Physiol. Mol. Biol. Plants 2020, 26, 15–23. [Google Scholar] [CrossRef]
- Lv, W.; Yang, L.; Xu, C.; Shi, Z.; Shao, J.; Xian, M.; Chen, J. Cadmium disrupts the balance between hydrogen peroxide and superoxide radical by regulating endogenous hydrogen sulfide in the root tip of Brassica rapa. Front. Plant Sci. 2017, 8, 232. [Google Scholar] [CrossRef]
- Borghi, M.; Tognetti, R.; Monteforti, G.; Sebastiani, L. Responses of two poplar species (Populus alba and Populus x canadensis) to high copper concentrations. Environ. Exp. Bot. 2008, 62, 290–299. [Google Scholar] [CrossRef]
- La Torre, A.; Iovino, V.; Caradonia, F. Copper in plant protection: Current situation and prospects. Phytopathol. Mediterr. 2018, 57, 201–236. [Google Scholar]
- Miotto, A.; Ceretta, C.A.; Brunetto, G.; Nicoloso, F.T.; Girotto, E.; Farias, J.G.; Tiecher, T.L.; De Conti, L.; Trentin, G. Copper uptake, accumulation and physiological changes in adult grapevines in response to excess copper in soil. Plant Soil 2014, 374, 593–610. [Google Scholar] [CrossRef]
- Ambrosini, V.G.; Rosa, D.J.; de Melo, G.W.B.; Zalamena, J.; Cella, C.; Simão, D.G.; da Silva, L.S.; Dos Santos, H.P.; Toselli, M.; Tiecher, T.L. High copper content in vineyard soils promotes modifications in photosynthetic parameters and morphological changes in the root system of ‘Red Niagara’plantlets. Plant Physiol. Biochem. 2018, 128, 89–98. [Google Scholar] [CrossRef] [PubMed]
- Pietrini, F.; Di Baccio, D.; Iori, V.; Veliksar, S.; Lemanova, N.; Juškaitė, L.; Maruška, A.; Zacchini, M. Investigation on metal tolerance and phytoremoval activity in the poplar hybrid clone “Monviso” under Cu-spiked water: Potential use for wastewater treatment. Sci. Total Environ. 2017, 592, 412–418. [Google Scholar] [CrossRef] [PubMed]
- Chen, L.; Long, C.; Wang, D.; Yang, J. Phytoremediation of cadmium (Cd) and uranium (U) contaminated soils by Brassica juncea L. enhanced with exogenous application of plant growth regulators. Chemosphere 2020, 242, 125112. [Google Scholar] [CrossRef] [PubMed]
- Wang, J.; Lin, L.; Luo, L.; Liao, M.; Lv, X.; Wang, Z.; Liang, D.; Xia, H.; Wang, X.; Lai, Y. The effects of abscisic acid (ABA) addition on cadmium accumulation of two ecotypes of Solanum photeinocarpum. Environ. Monit. Assess. 2016, 188, 182. [Google Scholar] [CrossRef] [PubMed]
- Vishwakarma, K.; Upadhyay, N.; Kumar, N.; Yadav, G.; Singh, J.; Mishra, R.K.; Kumar, V.; Verma, R.; Upadhyay, R.; Pandey, M. Abscisic acid signaling and abiotic stress tolerance in plants: A review on current knowledge and future prospects. Front. Plant Sci. 2017, 8, 161. [Google Scholar] [CrossRef] [PubMed]
- Rostami, S.; Azhdarpoor, A. The application of plant growth regulators to improve phytoremediation of contaminated soils: A review. Chemosphere 2019, 220, 818–827. [Google Scholar] [CrossRef] [PubMed]
- Wei, L.-X.; Lv, B.-S.; Wang, M.-M.; Ma, H.-Y.; Yang, H.-Y.; Liu, X.-L.; Jiang, C.-J.; Liang, Z.-W. Priming effect of abscisic acid on alkaline stress tolerance in rice (Oryza sativa L.) seedlings. Plant Physiol. Biochem. 2015, 90, 50–57. [Google Scholar] [CrossRef]
- Sahay, S.; Khan, E.; Gupta, M. Nitric oxide and abscisic acid protects against PEG-induced drought stress differentially in Brassica genotypes by combining the role of stress modulators, markers and antioxidants. Nitric Oxide 2019, 89, 81–92. [Google Scholar] [CrossRef]
- Fediuc, E.; Lips, S.H.; Erdei, L. O-acetylserine (thiol) lyase activity in Phragmites and Typha plants under cadmium and NaCl stress conditions and the involvement of ABA in the stress response. J. Plant Physiol. 2005, 162, 865–872. [Google Scholar] [CrossRef]
- Chen, J.; Wu, X.; Yao, X.; Zhu, Z.; Xu, S.; Zha, D. Exogenous 6-benzylaminopurine confers tolerance to low temperature by amelioration of oxidative damage in eggplant (Solanum melongena L.) seedlings. Braz. J. Bot. 2016, 39, 409–416. [Google Scholar] [CrossRef]
- Ma, X.; Zhang, J.; Huang, B. Cytokinin-mitigation of salt-induced leaf senescence in perennial ryegrass involving the activation of antioxidant systems and ionic balance. Environ. Exp. Bot. 2016, 125, 1–11. [Google Scholar] [CrossRef]
- Xiaotao, D.; Yuping, J.; Hong, W.; Haijun, J.; Hongmei, Z.; Chunhong, C.; Jizhu, Y. Effects of cytokinin on photosynthetic gas exchange, chlorophyll fluorescence parameters, antioxidative system and carbohydrate accumulation in cucumber (Cucumis sativus L.) under low light. Acta Physiol. Plant. 2013, 35, 1427–1438. [Google Scholar] [CrossRef]
- Aderholt, M.; Vogelien, D.L.; Koether, M.; Greipsson, S. Phytoextraction of contaminated urban soils by Panicum virgatum L. enhanced with application of a plant growth regulator (BAP) and citric acid. Chemosphere 2017, 175, 85–96. [Google Scholar] [CrossRef] [PubMed]
- Pavlíková, D.; Pavlík, M.; Procházková, D.; Zemanová, V.; Hnilička, F.; Wilhelmová, N. Nitrogen metabolism and gas exchange parameters associated with zinc stress in tobacco expressing an ipt gene for cytokinin synthesis. J. Plant Physiol. 2014, 171, 559–564. [Google Scholar] [CrossRef] [PubMed]
- Singh, S.; Prasad, S.M. Growth, photosynthesis and oxidative responses of Solanum melongena L. seedlings to cadmium stress: Mechanism of toxicity amelioration by kinetin. Sci. Hortic. 2014, 176, 1–10. [Google Scholar] [CrossRef]
- Venkatappa, M.; Anantsuksomsri, S.; Castillo, J.A.; Smith, B.; Sasaki, N. Mapping the natural distribution of bamboo and related carbon stocks in the tropics using google earth engine, phenological behavior, landsat 8, and sentinel-2. Remote Sens. 2020, 12, 3109. [Google Scholar] [CrossRef]
- Huang, W.; Reddy, G.V.; Li, Y.; Larsen, J.B.; Shi, P. Increase in absolute leaf water content tends to keep pace with that of leaf dry mass—Evidence from bamboo plants. Symmetry 2020, 12, 1345. [Google Scholar] [CrossRef]
- Huang, Z.; Jin, S.-H.; Guo, H.-D.; Zhong, X.-J.; He, J.; Li, X.; Jiang, M.-Y.; Yu, X.-F.; Long, H.; Ma, M.-D. Genome-wide identification and characterization of TIFY family genes in Moso Bamboo (Phyllostachys edulis) and expression profiling analysis under dehydration and cold stresses. PeerJ 2016, 4, e2620. [Google Scholar] [CrossRef]
- Hogarth, N.; Belcher, B. The contribution of bamboo to household income and rural livelihoods in a poor and mountainous county in Guangxi, China. Int. For. Rev. 2013, 15, 71–81. [Google Scholar] [CrossRef]
- Bal, L.M.; Singhal, P.; Satya, S.; Naik, S.; Kar, A. Bamboo shoot preservation for enhancing its business potential and local economy: A review. Crit. Rev. Food Sci. Nutr. 2012, 52, 804–814. [Google Scholar] [CrossRef]
- Bian, F.; Zhong, Z.; Zhang, X.; Yang, C.; Gai, X. Bamboo–An untapped plant resource for the phytoremediation of heavy metal contaminated soils. Chemosphere 2020, 246, 125750. [Google Scholar] [CrossRef] [PubMed]
- Liu, J.-n.; Zhou, Q.-x.; Sun, T.; Ma, L.Q.; Wang, S. Growth responses of three ornamental plants to Cd and Cd–Pb stress and their metal accumulation characteristics. J. Hazard. Mater. 2008, 151, 261–267. [Google Scholar] [CrossRef] [PubMed]
- Huang, W.; Olson, E.; Wang, S.; Shi, P. The growth and mortality of Pleioblastus pygmaeus under different light availability. Glob. Ecol. Conserv. 2020, 24, e01262. [Google Scholar] [CrossRef]
- Yao, W.; Li, C.; Lin, S.; Wang, J.; Fan, T. The structures of floral organs and reproductive characteristics of ornamental bamboo species, Pleioblastus pygmaeus. Hortic. Plant J. 2022, in press. [Google Scholar] [CrossRef]
- Emamverdian, A.; Hasanuzzaman, M.; Ding, Y.; Barker, J.; Mokhberdoran, F.; Liu, G. Zinc Oxide Nanoparticles Improve Pleioblastus pygmaeus Plant Tolerance to Arsenic and Mercury by Stimulating Antioxidant Defense and Reducing the Metal Accumulation and Translocation. Front Plant Sci. 2022, 13, 841501. [Google Scholar] [CrossRef]
- Adnan, M.; Xiao, B.; Xiao, P.; Zhao, P.; Li, R.; Bibi, S. Research Progress on Heavy Metals Pollution in the Soil of Smelting Sites in China. Toxics 2022, 10, 231. [Google Scholar] [CrossRef]
- El-Mahrouk, M.; El-Shereif, A.; Dewir, Y.; Hafez, Y.; Abdelaal, K.A.; El-Hendawy, S.; Migdadi, H.; Al-Obeed, R. Micropropagation of banana: Reversion, rooting, and acclimatization of hyperhydric shoots. HortScience 2019, 54, 1384–1390. [Google Scholar] [CrossRef]
- Guo, B.; Abbasi, B.; Wei, Y. Effects of hypobaric growth conditions on morphogenic potential and antioxidative enzyme activities in Saussurea involucrata. Biol. Plant. 2011, 55, 783–787. [Google Scholar] [CrossRef]
- Emamverdian, A.; Ding, Y.; Mokhberdoran, F.; Ahmad, Z.; Xie, Y. Determination of heavy metal tolerance threshold in a bamboo species (Arundinaria pygmaea) as treated with silicon dioxide nanoparticles. Glob. Ecol. Conserv. 2020, 24, e01306. [Google Scholar] [CrossRef]
- Lichtenthaler, H.K.; Buschmann, C. Chlorophylls and carotenoids: Measurement and characterization by UV-VIS spectroscopy. Curr. Protoc. Food Anal. Chem. 2001, 1, F4.3.1–F4.3.8. [Google Scholar] [CrossRef]
- Junglee, S.; Urban, L.; Sallanon, H.; Lopez-Lauri, F. Optimized assay for hydrogen peroxide determination in plant tissue using potassium iodide. Am. J. Anal. Chem. 2014, 5, 730. [Google Scholar] [CrossRef]
- Li, C.; Bai, T.; Ma, F.; Han, M. Hypoxia tolerance and adaptation of anaerobic respiration to hypoxia stress in two Malus species. Sci. Hortic. 2010, 124, 274–279. [Google Scholar] [CrossRef]
- Kruger, N.J. The Bradford method for protein quantitation. In The Protein Protocols Handbook; Springer: Berlin/Heidelberg, Germany, 2009; pp. 17–24. [Google Scholar]
- De Leon, J.A.D.; Borges, C.R. Evaluation of oxidative stress in biological samples using the thiobarbituric acid reactive substances assay. JoVE (J. Vis. Exp.) 2020, 159, e61122. [Google Scholar]
- Grossman, K.; Zakut, R. Determination of the activity of lipoxygenase. Methods Biochem. Anal. 1979, 25, 303–329. [Google Scholar] [CrossRef]
- Sekha, B.P.S.; Reddy, G.M. Studies on lipoxygenase from rice (Oryza sativa L.). J. Sci. Food Agric. 1982, 33, 1160–1163. [Google Scholar] [CrossRef]
- Senthilkumar, M.; Amaresan, N.; Sankaranarayanan, A. Measurement of Electrolyte Leakage. In Plant-Microbe Interactions; Springer: Berlin/Heidelberg, Germany, 2021; pp. 155–156. [Google Scholar]
- Senthilkumar, M.; Amaresan, N.; Sankaranarayanan, A. Estimation of superoxide dismutase (SOD). In Plant-Microbe Interactions; Springer: Berlin/Heidelberg, Germany, 2021; pp. 117–118. [Google Scholar]
- Liu, N.; Lin, Z.; Guan, L.; Gaughan, G.; Lin, G. Antioxidant enzymes regulate reactive oxygen species during pod elongation in Pisum sativum and Brassica chinensis. PLoS ONE 2014, 9, e87588. [Google Scholar] [CrossRef]
- Aebi, H. Catalase in vitro. Methods Enzymol. 1984, 105, 121–126. [Google Scholar] [CrossRef]
- Nakano, Y.; Asada, K. Purification of ascorbate peroxidase in spinach chloroplasts; its inactivation in ascorbate-depleted medium and reactivation by monodehydroascorbate radical. Plant Cell Physiol. 1987, 28, 131–140. [Google Scholar]
- Foyer, C.H.; Halliwell, B. The presence of glutathione and glutathionereductasein chloroplasts: A proposed role in ascorbic acid metabolism. Planta 1976, 133, 21–25. [Google Scholar] [CrossRef]
- Akkol, E.K.; Göger, F.; Koşar, M.; Başer, K.H.C. Phenolic composition and biological activities of Salvia halophila and Salvia virgata from Turkey. Food Chem. 2008, 108, 942–949. [Google Scholar] [CrossRef]
- Li, Y.; Hussain, N.; Zhang, L.; Chen, X.; Ali, E.; Jiang, L. Correlations between tocopherol and fatty acid components in germplasm collections of Brassica oilseeds. J. Agric. Food Chem. 2013, 61, 34–40. [Google Scholar] [CrossRef] [PubMed]
- Berner, M.; Krug, D.; Bihlmaier, C.; Vente, A.; Müller, R.; Bechthold, A. Genes and enzymes involved in caffeic acid biosynthesis in the actinomycete Saccharothrix espanaensis. J. Bacteriol. 2006, 188, 2666–2673. [Google Scholar] [CrossRef] [PubMed]
- Khanna, K.; Jamwal, V.L.; Gandhi, S.G.; Ohri, P.; Bhardwaj, R. Metal resistant PGPR lowered Cd uptake and expression of metal transporter genes with improved growth and photosynthetic pigments in Lycopersicon esculentum under metal toxicity. Sci. Rep. 2019, 9, 5855. [Google Scholar] [CrossRef] [PubMed]
- Ábrahám, E.; Hourton-Cabassa, C.; Erdei, L.; Szabados, L. Methods for determination of proline in plants. In Plant Stress Tolerance; Springer: Berlin/Heidelberg, Germany, 2010; pp. 317–331. [Google Scholar]
- Grieve, C.; Grattan, S. Rapid assay for determination of water soluble quaternary ammonium compounds. Plant Soil 1983, 70, 303–307. [Google Scholar] [CrossRef]
- Sahoo, S.; Awasthi, J.P.; Sunkar, R.; Panda, S.K. Determining glutathione levels in plants. In Plant Stress Tolerance; Springer: Berlin/Heidelberg, Germany, 2017; pp. 273–277. [Google Scholar]
- Karimi, N.; Shayesteh, L.S.; Ghasmpour, H.; Alavi, M. Effects of Arsenic on Growth, Photosynthetic Activity, and Accumulation in Two New Hyperaccumulating Populations of Isatis cappadocica Desv. J. Plant Growth Regul. 2013, 32, 823–830. [Google Scholar] [CrossRef]
- Souri, Z.; Karimi, N.; Norouzi, L.; Ma, X. Elucidating the physiological mechanisms underlying enhanced arsenic hyperaccumulation by glutathione modified superparamagnetic iron oxide nanoparticles in Isatis cappadocica. Ecotoxicol. Environ. Saf. 2020, 206, 111336. [Google Scholar] [CrossRef]
- Shi, W.-G.; Liu, W.; Yu, W.; Zhang, Y.; Ding, S.; Li, H.; Mrak, T.; Kraigher, H.; Luo, Z.-B. Abscisic acid enhances lead translocation from the roots to the leaves and alleviates its toxicity in Populus × canescens. J. Hazard. Mater. 2019, 362, 275–285. [Google Scholar] [CrossRef]
- González-Hernández, A.I.; Scalschi, L.; García-Agustín, P.; Camañes, G. Tomato root development and N assimilation depend on C and ABA content under different N sources. Plant Physiol. Biochem. 2020, 148, 368–378. [Google Scholar] [CrossRef]
- Pavlíková, D.; Zemanová, V.; Procházková, D.; Pavlík, M.; Száková, J.; Wilhelmová, N. The long-term effect of zinc soil contamination on selected free amino acids playing an important role in plant adaptation to stress and senescence. Ecotoxicol. Environ. Saf. 2014, 100, 166–170. [Google Scholar] [CrossRef]
- Altaf, M.M.; Diao, X.-p.; Imtiaz, M.; Shakoor, A.; Altaf, M.A.; Younis, H.; Fu, P.; Ghani, M.U. Effect of vanadium on growth, photosynthesis, reactive oxygen species, antioxidant enzymes, and cell death of rice. J. Soil Sci. Plant Nutr. 2020, 20, 2643–2656. [Google Scholar] [CrossRef]
- Rao, S.; Shekhawat, G. Toxicity of ZnO engineered nanoparticles and evaluation of their effect on growth, metabolism and tissue specific accumulation in Brassica juncea. J. Environ. Chem. Eng. 2014, 2, 105–114. [Google Scholar] [CrossRef]
- Pandey, N.; Sharma, C.P. Effect of heavy metals Co2+, Ni2+ and Cd2+ on growth and metabolism of cabbage. Plant Sci. 2002, 163, 753–758. [Google Scholar] [CrossRef]
- Shen, G.; Niu, J.; Deng, Z. Abscisic acid treatment alleviates cadmium toxicity in purple flowering stalk (Brassica campestris L. ssp. chinensis var. purpurea Hort.) seedlings. Plant Physiol. Biochem. 2017, 118, 471–478. [Google Scholar] [CrossRef] [PubMed]
- Jia, L.-e.; Sheng, L.; Duan, X.-m.; Zhang, C.; Wu, Z.-h.; Liu, M.-c.; Guo, S.-g.; Zuo, J.-h.; Wang, L.-b. 6-Benzylaminopurine treatment maintains the quality of Chinese chive (Allium tuberosum Rottler ex Spreng.) by enhancing antioxidant enzyme activity. J. Integr. Agric. 2017, 16, 1968–1977. [Google Scholar] [CrossRef]
- Barickman, T.C.; Kopsell, D.A.; Sams, C.E. Abscisic acid increases carotenoid and chlorophyll concentrations in leaves and fruit of two tomato genotypes. J. Am. Soc. Hortic. Sci. 2014, 139, 261–266. [Google Scholar] [CrossRef]
- Wu, X.; He, J.; Ding, H.; Zhu, Z.; Chen, J.; Xu, S.; Zha, D. Modulation of zinc-induced oxidative damage in Solanum melongena by 6-benzylaminopurine involves ascorbate–glutathione cycle metabolism. Environ. Exp. Bot. 2015, 116, 1–11. [Google Scholar] [CrossRef]
- Koukounaras, A.; Siomos, A.S.; Sfakiotakis, E. Effects of 6-BA treatments on yellowing and quality of stored rocket (Eruca sativa Mill.) leaves. J. Food Qual. 2010, 33, 768–779. [Google Scholar] [CrossRef]
- Vinoth, S.; Gurusaravanan, P.; Sivakumar, S.; Jayabalan, N. Influence of seaweed extracts and plant growth regulators on in vitro regeneration of Lycopersicon esculentum from leaf explant. J. Appl. Phycol. 2019, 31, 2039–2052. [Google Scholar] [CrossRef]
- Mohamed, A.A.; Castagna, A.; Ranieri, A.; di Toppi, L.S. Cadmium tolerance in Brassica juncea roots and shoots is affected by antioxidant status and phytochelatin biosynthesis. Plant Physiol. Biochem. 2012, 57, 15–22. [Google Scholar] [CrossRef]
- Kamran, M.; Parveen, A.; Ahmar, S.; Malik, Z.; Hussain, S.; Chattha, M.S.; Saleem, M.H.; Adil, M.; Heidari, P.; Chen, J.-T. An overview of hazardous impacts of soil salinity in crops, tolerance mechanisms, and amelioration through selenium supplementation. Int. J. Mol. Sci. 2019, 21, 148. [Google Scholar] [CrossRef]
- Saleem, M.H.; Fahad, S.; Khan, S.U.; Ahmar, S.; Khan, M.H.U.; Rehman, M.; Maqbool, Z.; Liu, L. Morpho-physiological traits, gaseous exchange attributes, and phytoremediation potential of jute (Corchorus capsularis L.) grown in different concentrations of copper-contaminated soil. Ecotoxicol. Environ. Saf. 2020, 189, 109915. [Google Scholar] [CrossRef] [PubMed]
- Naveed, M.; Mustafa, A.; Azhar, S.Q.-T.-A.; Kamran, M.; Zahir, Z.A.; Núñez-Delgado, A. Burkholderia phytofirmans PsJN and tree twigs derived biochar together retrieved Pb-induced growth, physiological and biochemical disturbances by minimizing its uptake and translocation in mung bean (Vigna radiata L.). J. Environ. Manag. 2020, 257, 109974. [Google Scholar] [CrossRef] [PubMed]
- Naveed, M.; Sajid, H.; Mustafa, A.; Niamat, B.; Ahmad, Z.; Yaseen, M.; Kamran, M.; Rafique, M.; Ahmar, S.; Chen, J.-T. Alleviation of salinity-induced oxidative stress, improvement in growth, physiology and mineral nutrition of canola (Brassica napus L.) through calcium-fortified composted animal manure. Sustainability 2020, 12, 846. [Google Scholar] [CrossRef]
- Jiang, Z.; Zhu, H.; Zhu, H.; Tao, Y.; Liu, C.; Liu, J.; Yang, F.; Li, M. Exogenous ABA Enhances the Antioxidant Defense System of Maize by Regulating the AsA-GSH Cycle under Drought Stress. Sustainability 2022, 14, 3071. [Google Scholar] [CrossRef]
- Han, Z.; Wei, X.; Wan, D.; He, W.; Wang, X.; Xiong, Y. Effect of Molybdenum on Plant Physiology and Cadmium Uptake and Translocation in Rape (Brassica napus L.) under Different Levels of Cadmium Stress. Int. J. Environ. Res. Public Health 2020, 17, 2355. [Google Scholar] [CrossRef]
- Wong, Y.S.; Luo, G.B.; Kwan, K.M.F. Peroxidation damage of oxygen free radicals induced by cadmium to plant. Acta Bot. Sin. 1997, 39, 36–40. [Google Scholar]
- Kamran, M.; Danish, M.; Saleem, M.H.; Malik, Z.; Parveen, A.; Abbasi, G.H.; Jamil, M.; Ali, S.; Afzal, S.; Riaz, M. Application of abscisic acid and 6-benzylaminopurine modulated morpho-physiological and antioxidative defense responses of tomato (Solanum lycopersicum L.) by minimizing cobalt uptake. Chemosphere 2021, 263, 128169. [Google Scholar] [CrossRef]
- Hönig, M.; Plíhalová, L.; Husičková, A.; Nisler, J.; Doležal, K. Role of cytokinins in senescence, antioxidant defence and photosynthesis. Int. J. Mol. Sci. 2018, 19, 4045. [Google Scholar] [CrossRef]
- Song, C.; Yan, Y.; Rosado, A.; Zhang, Z.; Castellarin, S.D. ABA alleviates uptake and accumulation of zinc in grapevine (Vitis vinifera L.) by inducing expression of ZIP and detoxification-related genes. Front. Plant Sci. 2019, 10, 872. [Google Scholar] [CrossRef]
- Veselov, D.; Kudoyarova, G.; Kudryakova, N.; Kusnetsov, V. Role of cytokinins in stress resistance of plants. Russ. J. Plant Physiol. 2017, 64, 15–27. [Google Scholar] [CrossRef]
- Rezayian, M.; Ebrahimzadeh, H.; Niknam, V. Nitric oxide stimulates antioxidant system and osmotic adjustment in soybean under drought stress. J. Soil Sci. Plant Nutr. 2020, 20, 1122–1132. [Google Scholar] [CrossRef]
- González-Villagra, J.; Cohen, J.D.; Reyes-Díaz, M.M. Abscisic acid is involved in phenolic compounds biosynthesis, mainly anthocyanins, in leaves of Aristotelia chilensis plants (Mol.) subjected to drought stress. Physiol. Plant. 2019, 165, 855–866. [Google Scholar] [CrossRef] [PubMed]
- Liang, Z.; Ma, Y.; Xu, T.; Cui, B.; Liu, Y.; Guo, Z.; Yang, D. Effects of abscisic acid, gibberellin, ethylene and their interactions on production of phenolic acids in Salvia miltiorrhiza Bunge hairy roots. PLoS ONE 2013, 8, e72806. [Google Scholar] [CrossRef] [PubMed]
- Jamalian, S.; Gholami, M.; Esna-Ashari, M. Abscisic acid-mediated leaf phenolic compounds, plant growth and yield is strawberry under different salt stress regimes. Theor. Exp. Plant Physiol. 2013, 25, 291–299. [Google Scholar]
- Tao, X.; Wu, Q.; Aalim, H.; Li, L.; Mao, L.; Luo, Z.; Ying, T. Effects of exogenous abscisic acid on bioactive components and antioxidant capacity of postharvest tomato during ripening. Molecules 2020, 25, 1346. [Google Scholar] [CrossRef]
- Yang, Y.; Guan, X. Non-protein thiol imaging and quantification in live cells with a novel benzofurazan sulfide triphenylphosphonium fluorogenic compound. Anal. Bioanal. Chem. 2017, 409, 3417–3427. [Google Scholar] [CrossRef]
- Piotrowska-Niczyporuk, A.; Bajguz, A.; Kotowska, U.; Zambrzycka-Szelewa, E.; Sienkiewicz, A. Auxins and cytokinins regulate phytohormone homeostasis and thiol-mediated detoxification in the green alga Acutodesmus obliquus exposed to lead stress. Sci. Rep. 2020, 10, 10193. [Google Scholar] [CrossRef]
- Hossain, M.A.; Hoque, M.A.; Burritt, D.J.; Fujita, M. Proline protects plants against abiotic oxidative stress: Biochemical and molecular mechanisms. In Oxidative Damage to Plants; Elsevier: Amsterdam, The Netherlands, 2014; pp. 477–522. [Google Scholar]
- Chandrakar, V.; Yadu, B.; Meena, R.K.; Dubey, A.; Keshavkant, S. Arsenic-induced genotoxic responses and their amelioration by diphenylene iodonium, 24-epibrassinolide and proline in Glycine max L. Plant Physiol. Biochem. 2017, 112, 74–86. [Google Scholar] [CrossRef]
- Meena, M.; Divyanshu, K.; Kumar, S.; Swapnil, P.; Zehra, A.; Shukla, V.; Yadav, M.; Upadhyay, R. Regulation of L-proline biosynthesis, signal transduction, transport, accumulation and its vital role in plants during variable environmental conditions. Heliyon 2019, 5, e02952. [Google Scholar] [CrossRef]
- Hasan, M.K.; Liu, C.; Wang, F.; Ahammed, G.J.; Zhou, J.; Xu, M.-X.; Yu, J.-Q.; Xia, X.-J. Glutathione-mediated regulation of nitric oxide, S-nitrosothiol and redox homeostasis confers cadmium tolerance by inducing transcription factors and stress response genes in tomato. Chemosphere 2016, 161, 536–545. [Google Scholar] [CrossRef]
- Kavi Kishor, P.B.; Sreenivasulu, N. Is proline accumulation per se correlated with stress tolerance or is proline homeostasis a more critical issue? Plant Cell Environ. 2014, 37, 300–311. [Google Scholar] [CrossRef] [PubMed]
- Noctor, G.; Mhamdi, A.; Chaouch, S.; Han, Y.; Neukermans, J.; Marquez-Garcia, B.; Queval, G.; Foyer, C.H. Glutathione in plants: An integrated overview. Plant Cell Environ. 2012, 35, 454–484. [Google Scholar] [CrossRef] [PubMed]
- Bücker-Neto, L.; Paiva, A.L.S.; Machado, R.D.; Arenhart, R.A.; Margis-Pinheiro, M. Interactions between plant hormones and heavy metals responses. Genet. Mol. Biol. 2017, 40, 373–386. [Google Scholar] [CrossRef] [PubMed]
- Han, Y.; Wang, S.; Zhao, N.; Deng, S.; Zhao, C.; Li, N.; Sun, J.; Zhao, R.; Yi, H.; Shen, X. Exogenous abscisic acid alleviates cadmium toxicity by restricting Cd2+ influx in Populus euphratica cells. J. Plant Growth Regul. 2016, 35, 827–837. [Google Scholar] [CrossRef]
- Zhou, C.; Huang, M.; Ren, H.; Yu, J.; Wu, J.; Ma, X. Bioaccumulation and detoxification mechanisms for lead uptake identified in Rhus chinensis Mill. seedlings. Ecotoxicol. Environ. Saf. 2017, 142, 59–68. [Google Scholar] [CrossRef]







| Treatments | Concentrations |
|---|---|
| Control | 0 |
| Cd | 100 µM Cd |
| Cu | 100 µM Cu |
| 6-BAP | 10 µM 6-BAP |
| 6-BAP + Cd | 10 µM 6-BAP + 100 µM Cd |
| 6-BAP + Cu | 10 µM 6-BAP + 100 µM Cu |
| ABA | 10 µM ABA |
| ABA + Cd | 10 µM ABA + 100 µM Cd |
| ABA + Cu | 10 µM ABA + 100 µM Cu |
| ABA + 6-BAP | 10 µM 6-BAP + 10 µM ABA |
| ABA + 6-BAP + Cd | 10 µM 6-BAP + 10 µM ABA + 100 µM Cd |
| ABA + 6-BAP + Cu | 10 µM 6-BAP + 10 µM ABA + 100 µM Cu |
| Treatments | FW (g) | DW (g) | FW/DW Root | FW/DW Shoot | Shoot Length (cm) | ||
|---|---|---|---|---|---|---|---|
| Root | Shoot | Root | Shoot | ||||
| C | 15.55 ± 0.46 bcde | 10.32 ± 0.38 efg | 1.13 ± 0.04 fg | 0.85 ± 0.01 gh | 13.37 ± 1.37 ab | 12.11 ± 0.12 ab | 14.45 ± 0.44 def |
| Cd | 14.02 ± 0.45 a | 5.75 ± 0.43 a | 0.74 ± 0.02 a | 0.47 ± 0.03 a | 18.86 ± 0.16 f | 12.08 ± 0.10 ab | 10.88 ± 0.69 a |
| Cu | 14.55 ± 0.42 ab | 6.64 ± 0.47 ab | 0.87 ± 0.02 b | 0.55 ± 0.03 b | 16.70 ± 0.26 e | 12.03 ± 0.13 ab | 12.02 ± 0.44 ab |
| 6-BAP | 16.19 ± 0.32 de | 11.39 ± 0.45 gh | 1.26 ± 0.03 ij | 0.93 ± 0.02 ij | 12.80 ± 0.44 a | 12.19 ± 0.01 bc | 15.54 ± 0.40 f |
| 6-BAP + Cd | 15.02 ± 0.40 abcd | 8.78 ± 0.63 cd | 1.02 ± 0.03 de | 0.68 ± 0.03 de | 14.74 ± 0.25 cd | 12.76 ± 0.18 f | 13.46 ± 0.47 cd |
| 6-BAP + Cu | 15.23 ± 0.43 abcd | 9.97 ± 0.61 def | 1.10 ± 0.03 f | 0.80 ± 0.02 fg | 13.83 ± 0.16 abc | 12.23 ± 0.07 bc | 14.21 ± 0.40 de |
| ABA | 15.80 ± 0.59 cde | 11.16 ± 0.63 fgh | 1.21 ± 0.02 hi | 0.90 ± 0.01 hij | 13.03 ± 0.76 ab | 12.35 ± 0.05 cd | 14.89 ± 0.44 ef |
| ABA + Cd | 14.67 ± 0.53 abc | 7.12 ± 0.40 b | 0.93 ± 0.02 bc | 0.56 ± 0.01 bc | 15.75 ± 0.25 de | 12.54 ± 0.09 def | 12.55 ± 0.49 bc |
| ABA + Cu | 14.89 ± 0.52 abc | 7.56 ± 0.46 bc | 0.98 ± 0.01 cd | 0.63 ± 0.01 cd | 15.14 ± 0.50 cd | 11.95 ± 0.05 a | 13.34 ± 0.43 cd |
| 6-BAP + ABA | 16.72 ± 0.53 e | 11.95 ± 0.51 h | 1.29 ± 0.02 j | 0.96 ± 0.03 j | 12.92 ± 0.33 ab | 12.37 ± 0.02 cde | 17.34 ± 0.35 g |
| 6-BAP + ABA + Cd | 15.14 ± 0.57 abcd | 9.36 ± 0.52 de | 1.06 ± 0.02 ef | 0.74 ± 0.02 ef | 14.19 ± 0.25 bc | 12.59 ± 0.04 ef | 13.97 ± 0.47 de |
| 6-BAP + ABA + Cu | 15.77 ± 0.57 bcde | 10.65 ± 0.36 fg | 1.18 ± 0.01 gh | 0.88 ± 0.02 hi | 13.28± 0.36 ab | 12.04 ± 0.04 ab | 14.86 ± 0.39 ef |
| Treatments | FW Root | FW Shoot | DW Root | DW Shoot | Shoot Length |
|---|---|---|---|---|---|
| Cd | 10% ↓ | 44% ↓ | 34% ↓ | 44% ↓ | 24% ↓ |
| Cu | 6% ↓ | 35% ↓ | 22% ↓ | 35% ↓ | 16% ↓ |
| 6-BAP | 4% ↑ | 10% ↑ | 11% ↑ | 9% ↑ | 7% ↑ |
| 6-BAP + Cd | 3% ↓ | 15% ↓ | 9% ↓ | 19% ↓ | 6% ↓ |
| 6-BAP + Cu | 2% ↓ | 3% ↓ | 2% ↓ | 5% ↓ | 1% ↓ |
| ABA | 2% ↑ | 8% ↑ | 7% ↑ | 6% ↑ | 3% ↑ |
| ABA + Cd | 5% ↓ | 31% ↓ | 17% ↓ | 33% ↓ | 13% ↓ |
| ABA + Cu | 4% ↓ | 26% ↓ | 13% ↓ | 25% ↓ | 7% ↓ |
| 6-BAP + ABA | 7% ↑ | 16% ↑ | 14% ↑ | 13% ↑ | 20% ↑ |
| 6-BAP + ABA + Cd | 2% ↓ | 9% ↓ | 6% ↓ | 12% ↓ | 3% ↓ |
| 6-BAP + ABA + Cu | 1% ↑ | 3% ↑ | 5% ↑ | 4% ↑ | 3% ↑ |
| Treatments | Total Thiol μmol −1 g FW | Protein Thiol μmol g −1 FW | Non-Protein μmol g −1 FW |
|---|---|---|---|
| Control | 20.45 ± 0.67 f | 8.14 ± 0.49 ef | 14.0 ± 0.76 fgh |
| Cd | 8.55 ± 0.55 a | 4.34 ± 0.48 a | 6.7 ± 0.77 a |
| Cu | 11.66 ± 0.69 b | 4.98 ± 0.51 ab | 8.8 ± 0.73 b |
| 6-BAP | 25.34 ± 0.86 h | 10.75 ± 0.46 h | 15.8 ± 0.57 hi |
| 6-BAP + Cd | 16.66 ± 0.79 cd | 6.44 ± 0.46 cd | 11.8 ± 0.98 cde |
| 6-BAP + Cu | 18.77 ± 0.63 e | 7.56 ± 7.56 e | 13.2 ± 0.45 efg |
| ABA | 23.55 ± 0.46 g | 10.04 ± 0.49 gh | 15.3 ± 0.83 hi |
| ABA + Cd | 12.11 ± 0.63 b | 5.55 ± 0.41 bc | 10.0 ± 0.70 bc |
| ABA + Cu | 15.55 ± 0.51 c | 6.12 ± 0.41 cd | 11.1 ± 0.66 cd |
| 6-BAP + ABA | 27.22 ± 0.56 i | 13.25 ± 0.36 i | 16.4 ± 0.60 i |
| 6-BAP + ABA + Cd | 17.11 ± 0.57 d | 7.13 ± 0.46 de | 12.4 ± 0.62 def |
| 6-BAP + ABA + Cu | 21.11 ± 0.34 f | 9.11 ± 0.36 fg | 14.7 ± 0.87 ghi |
| Treatments | Proline (Pro) µg g−1 FW | Glycine Betaine (GB) µg g−1 FW | Glutathione (GSH) µmol g−1 FW |
|---|---|---|---|
| Control | 492.11 ± 39.36 efg | 803.25 ± 36.95 e | 97.66 ± 4.90 fg |
| Cd | 194.35 ± 45.01 a | 507.50 ± 19.01 a | 43.34 ± 4.33 a |
| Cu | 254.44 ± 37.99 ab | 564.75 ± 40.42 ab | 51.36 ± 5.00 ab |
| 6-BAP | 560.58 ± 44.28 gh | 905.50 ± 38.49 fg | 121.33 ± 4.50 ij |
| 6-BAP + Cd | 387.70 ± 44.59 cd | 703.25 ± 39.19 cd | 78.44 ± 4.19 cd |
| 6-BAP + Cu | 464.43 ± 44.96 def | 787.00 ± 41.28 de | 92.33 ± 4.62 ef |
| ABA | 542.21 ± 32.74 efgh | 874.75 ± 42.22 ef | 115.44 ± 4.92 hi |
| ABA + Cd | 306.66 ± 31.81 bc | 601.00 ± 36.00 b | 62.11 ± 3.40 b |
| ABA + Cu | 355.77 ± 36.27 c | 650.00 ± 35.72 bc | 74.33 ± 4.49 c |
| 6-BAP + ABA | 620.50 ± 34.01 h | 972.50 ± 38.75 g | 128.55 ± 3.38 j |
| 6-BAP + ABA+ Cd | 458.87 ± 30.24 de | 786.00 ± 40.62 de | 85.44 ± 4.90 de |
| 6-BAP + ABA+ Cu | 553.43 ± 29.81 fgh | 872.00 ± 38.41 ef | 107.44 ± 4.38 g |
| Treatments | Heavy Metals Content | Heavy Metal Accumulation (Leaves) | Heavy Metal Accumulation (Stem) | Heavy Metal Accumulation (Root) |
|---|---|---|---|---|
| µmol L−1 | µmol L−1 | µmol L−1 | µmol L−1 | µmol L−1 |
| C | 0 | 0 | 0 | 0 |
| Cd | 100µM Cd | 25.22 ± 0.35 g | 29.65 ± 0.54 i | 37.55 ± 0.83 i |
| Cu | 100µM Cu | 22.87 ± 0.52 f | 26.33 ± 0.51 h | 33.22 ± 0.70 h |
| 6-BAP | 0 | 0 | 0 | 0 |
| 6-BAP + Cd | 100µM Cd | 18.75 ± 0.43 e | 20.21 ± 0.47 e | 26.55 ± 0.91 e |
| 6-BAP + Cu | 100 µM Cu | 14.33 ± 0.52 c | 16.66 ± 0.61 c | 22.33 ± 0.83 c |
| ABA | 0 | 0 | 0 | 0 |
| ABA + Cd | 100 µM Cd | 22.44 ± 0.51 f | 24.56 ± 0.52 g | 31.22 ± 0.85 g |
| ABA + Cu | 100µM Cu | 19.22 ± 0.58 e | 21.44 ± 0.51 f | 28.77 ± 0.77 f |
| 6-BAP + ABA | 0 | 0 | 0 | 0 |
| 6-BAP + ABA + Cd | 100 µM Cd | 16.23 ± 0.25 d | 18.76 ± 0.63 d | 24.55 ± 0.66 d |
| 6-BAP + ABA + Cu | 100 µM Cu | 12.55 ± 0.27 b | 14.66 ± 0.39 b | 20.66 ± 0.76 b |
| Treatments | Translocation Factor (TF) (Leaves) | Tolerance Index (TI) (Shoot) | Tolerance Index (TI) (Root) | Bioaccumulation Factor (Leaves) (BF) |
|---|---|---|---|---|
| 0 | 0.00 ± 0.00 c | 1.00 ± 0.00 fg | 1.00 ± 0.00 fgh | 0.00 ± 0.00 g |
| Cd | 0.71 ± 0.023 ab | 0.55 ± 0.05 a | 0.65 ± 0.01 a | 0.25 ± 0.003 f |
| Cu | 0.70 ± 0.03 b | 0.65 ± 0.05 ab | 0.77 ± 0.02 b | 0.22 ± 0.005 e |
| 6-BAP | 0.00 ± 0.00 c | 1.09 ± 0.05 gh | 1.12 ± 0.07 ij | 0.00 ± 0.00 g |
| 6-BAP + Cd | 0.66 ± 0.03 ab | 0.80 ± 0.04 cd | 0.90 ± 0.01 cde | 0.18 ± 0.004 d |
| 6-BAP + Cu | 0.64 ± 0.04 a | 0.94 ± 0.04 ef | 0.97 ± 0.01 efg | 0.14 ± 0.005 b |
| ABA | 0.00 ± 0.00 c | 1.06 ± 0.03 fgh | 1.07 ± 0.06 hig | 0.00 ± 0.00 g |
| ABA + Cd | 0.68 ± 0.01 ab | 0.66 ± 0.03 ab | 0.82 ± 0.01 bc | 0.22 ± 0.005 e |
| ABA + Cu | 0.67 ± 0.02 a | 0.74 ± 0.03 bc | 0.86 ± 0.02 cd | 0.19 ± 0.005 d |
| 6-BAP + ABA | 0.00 ± 0.00 c | 1.13 ± 0.06 h | 1.14 ± 0.04 j | 0.00 ± 0.00 g |
| 6-BAP + ABA + Cd | 0.66 ± 0.01 ab | 0.87 ± 0.05 de | 0.94 ± 0.02 def | 0.16 ± 0.002 c |
| 6-BAP + ABA + Cu | 0.60 ± 0.01 a | 1.03 ± 0.05 fgh | 1.05 ± 0.03 ghi | 0.12 ± 0.002 a |
Publisher’s Note: MDPI stays neutral with regard to jurisdictional claims in published maps and institutional affiliations. |
© 2022 by the authors. Licensee MDPI, Basel, Switzerland. This article is an open access article distributed under the terms and conditions of the Creative Commons Attribution (CC BY) license (https://creativecommons.org/licenses/by/4.0/).
Share and Cite
Emamverdian, A.; Ding, Y.; Alyemeni, M.N.; Barker, J.; Liu, G.; Li, Y.; Mokhberdoran, F.; Ahmad, P. Benzylaminopurine and Abscisic Acid Mitigates Cadmium and Copper Toxicity by Boosting Plant Growth, Antioxidant Capacity, Reducing Metal Accumulation and Translocation in Bamboo [Pleioblastus pygmaeus (Miq.)] Plants. Antioxidants 2022, 11, 2328. https://doi.org/10.3390/antiox11122328
Emamverdian A, Ding Y, Alyemeni MN, Barker J, Liu G, Li Y, Mokhberdoran F, Ahmad P. Benzylaminopurine and Abscisic Acid Mitigates Cadmium and Copper Toxicity by Boosting Plant Growth, Antioxidant Capacity, Reducing Metal Accumulation and Translocation in Bamboo [Pleioblastus pygmaeus (Miq.)] Plants. Antioxidants. 2022; 11(12):2328. https://doi.org/10.3390/antiox11122328
Chicago/Turabian StyleEmamverdian, Abolghassem, Yulong Ding, Mohammed Nasser Alyemeni, James Barker, Guohua Liu, Yang Li, Farzad Mokhberdoran, and Parvaiz Ahmad. 2022. "Benzylaminopurine and Abscisic Acid Mitigates Cadmium and Copper Toxicity by Boosting Plant Growth, Antioxidant Capacity, Reducing Metal Accumulation and Translocation in Bamboo [Pleioblastus pygmaeus (Miq.)] Plants" Antioxidants 11, no. 12: 2328. https://doi.org/10.3390/antiox11122328
APA StyleEmamverdian, A., Ding, Y., Alyemeni, M. N., Barker, J., Liu, G., Li, Y., Mokhberdoran, F., & Ahmad, P. (2022). Benzylaminopurine and Abscisic Acid Mitigates Cadmium and Copper Toxicity by Boosting Plant Growth, Antioxidant Capacity, Reducing Metal Accumulation and Translocation in Bamboo [Pleioblastus pygmaeus (Miq.)] Plants. Antioxidants, 11(12), 2328. https://doi.org/10.3390/antiox11122328

