Acyl Quinic Acid Derivatives Screened Out from Carissa spinarum by SOD-Affinity Ultrafiltration LC–MS and Their Antioxidative and Hepatoprotective Activities
Abstract
1. Introduction
2. Materials and Methods
2.1. Apparatus and Reagents
2.2. Plant Material
2.3. Extraction
2.4. Screening for Potential SOD Ligands by Ultrafiltration
2.5. HPLC–UV and HPLC–ESI–MS/MS Analyses
2.6. Isolation
2.7. DPPH Radical Scavenging Activity Assay
2.8. Ferric Reducing Antioxidant Power (FRAP) Assay
2.9. Hepatoprotective Activity Assay
2.10. Quantitation and Photography of ROS in the Hepatoprotective Assay
2.11. Biochemical Assays
2.12. Statistical Analyses
3. Results and Discussion
3.1. Screening for Potential SOD Ligands by UF–LC/MS
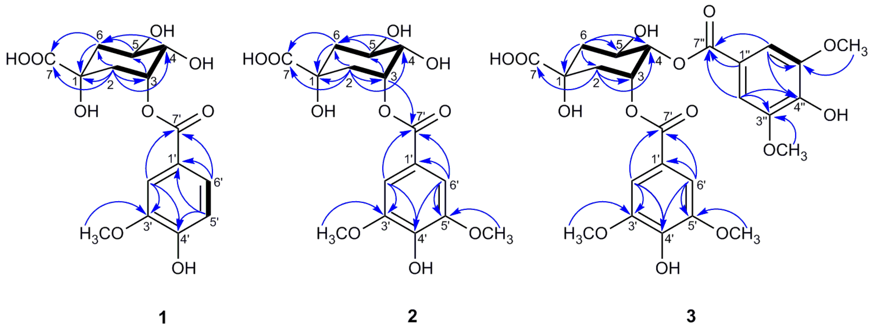
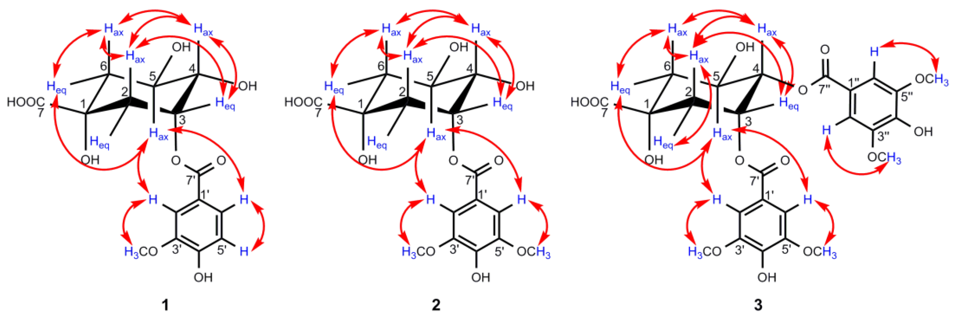
3.2. Structure Elucidation of the Isolated Compounds
3.3. Antioxidant Activity Assays for the Isolated Compounds
3.4. Hepatoprotective Properties of the Selected Compounds
4. Conclusions
Supplementary Materials
Author Contributions
Funding
Institutional Review Board Statement
Informed Consent Statement
Data Availability Statement
Conflicts of Interest
References
- Bhadane, B.S.; Patil, M.P.; Patil, R.H.; Maheshwari, V.L. Ethnopharmacology, phytochemistry, and biotechnological advances of family Apocynaceae: A review. Phytother. Res. 2018, 32, 1181–1210. [Google Scholar] [CrossRef]
- Kaunda, J.S.; Zhang, Y.J. The genus Carissa: An ethnopharmacological, phytochemical and pharmacological review. Nat. Prod. Bioprospect. 2017, 7, 181–199. [Google Scholar] [CrossRef] [PubMed]
- Ansari, I.; Patil, D.T. A brief review on phytochemical and pharmacological profile of Carissa spinarum L. Asian J. Pharm. Clin. Res. 2018, 11, 12–18. [Google Scholar] [CrossRef]
- Chauhan, A.; Tanwar, B.; Arneja, I. Influence of processing on physiochemical, nutritional and phytochemical composition of Carissa spinarum (karonda) fruit. Asian J. Pharm. Clin. Res. 2015, 8, 254–259. [Google Scholar]
- Maobe, M.A.G.; Gitu, L.; Gatebe, E.; Rotich, H. Phytochemical analysis of phenol and flavonoid in eight selected medicinal herbs used for the treatment of diabetes, malaria and pneumonia in Kisii, Kenya. Acad. J. Cancer Res. 2012, 5, 31–39. [Google Scholar]
- Feyissa, D.; Melaku, Y. Phytochemical, antibacterial and antioxidant studies of the leaves of Carissa spinarum. Int. J. Chem. Pharm. Sci. 2016, 7, 25–30. [Google Scholar]
- Beck, N.R.; Namdeo, K.P. Evaluation of in vivo anti-inflammatory activity of leaves extract of Carissa spinarum on formalin induced paw edema in albino rats. UK J. Pharm. Biosci. 2016, 4, 36–40. [Google Scholar] [CrossRef]
- Mworia, J.K.; Gitahi, S.M.; Juma, K.K.; Njagi, J.M.; Mwangi, B.M.; Aliyu, U.; Njoroge, W.A.; Mwonjoria, K.J.; Mawia, A.M.; Nyamai, D.W.; et al. Antinociceptive activities of acetone leaf extracts of Carissa Spinarum in mice. Med. Aromat. Plants 2015, 4, S1-006. [Google Scholar]
- Hegde, K.; Joshi, A.B. Hepatoprotective effect of Carissa carandas Linn root extract against CCl4 and paracetamol induced hepatic oxidative stress. Indian J. Exp. Biol. 2009, 47, 660–667. [Google Scholar] [PubMed]
- Sanwal, R.; Chaudhary, A.K. Wound healing and antimicrobial potential of Carissa spinarum Linn. in albino mice. J. Ethnopharmacol. 2011, 135, 792–796. [Google Scholar] [CrossRef]
- Hegde, K.; Satyanarayana, D.; Joshi, A.B. Phytochemical investigation of root extract of the plant Carissa spinarum. Rajiv Gandhi Univ. Health Sci. J. Pharm. Sci. 2012, 2, 55–59. [Google Scholar] [CrossRef]
- Rao, R.J.; Kumar, U.S.; Reddy, S.V.; Tiwari, A.K.; Rao, J.M. Antioxidants and a new germacrane sesquiteroene from Carissa spinarum. Nat. Prod. Res. 2005, 19, 763–769. [Google Scholar]
- Mathuram, V.; Brahmadhayalaselvam, A.; Hussain, A.J.; Rao, R.B.; Patra, A. Chemical constituents of Carissa spinarum and their antibacterial activity. J. Indian Chem. Soc. 1998, 75, 262–264. [Google Scholar]
- Rastogi, R.C.; Kulshreshtha, D.K.; Rastogi, R.P. Cardioactive constituents from Carissa spinarum. Indian J. Chem. 1969, 7, 1102–1104. [Google Scholar]
- Raina, M.K.; Bhatnagar, J.K.; Atal, C.K. Isolation of caffeic acid from the roots of Carissa spinarum. Indian J. Pharm. 1971, 33, 76–77. [Google Scholar]
- Wangteeraprasert, R.; Lipipun, V.; Gunaratnam, M.; Neidle, S.; Gibbons, S.; Likhitwitayawuid, K. Bioactive compounds from Carissa spinarum. Phytother. Res. 2012, 26, 1496–1499. [Google Scholar] [CrossRef] [PubMed]
- Liu, Y.; Zhang, Y.L.; Muema, F.W.; Kimutai, F.; Chen, G.L.; Guo, M.Q. Phenolic compounds from Carissa spinarum are characterized by their antioxidant, anti-inflammatory and hepatoprotective activities. Antioxidants 2021, 10, 652. [Google Scholar] [CrossRef]
- Chen, G.L.; Fan, M.X.; Wu, J.L.; Li, N.; Guo, M.Q. Antioxidant and anti-inflammatory properties of flavonoids from lotus plumule. Food Chem. 2019, 277, 706–712. [Google Scholar] [CrossRef] [PubMed]
- Jiao, J.J.; Yang, Y.Z.; Wu, Z.F.; Li, B.T.; Zheng, Q.; Wei, S.F.; Wang, Y.Q.; Yang, M. Screening cyclooxygenase-2 inhibitors from Andrographis paniculata to treat inflammation based on bio-affinity ultrafiltration coupled with UPLC-Q-TOF-MS. Fitoterapia 2019, 137, 104259. [Google Scholar] [CrossRef]
- Chen, G.L.; Wu, J.L.; Li, N.; Guo, M.Q. Screening for anti-proliferative and anti-inflammatory components from Rhamnus davurica Pall. using bio-affinity ultrafiltration with multiple drug targets. Anal. Bioanal. Chem. 2018, 410, 3587–3595. [Google Scholar] [CrossRef] [PubMed]
- Chen, G.L.; Xu, Y.B.; Wu, J.L.; Li, N.; Guo, M.Q. Hypoglycemic and hypolipidemic effects of Moringa oleifera leaves and their functional chemical constituents. Food Chem. 2020, 333, 127478. [Google Scholar] [CrossRef]
- Stephenie, S.; Chang, Y.P.; Gnanasekaran, A.; Esa, N.M.; Gnanaraj, C. An insight on superoxide dismutase (SOD) from plants for mammalian health enhancement. J. Funct. Foods 2020, 68, 103917. [Google Scholar] [CrossRef]
- Yu, H.Y.; Chen, Z.Y.; Sun, B.; Liu, J.J.; Meng, F.Y.; Liu, Y.; Tian, T.; Jin, A.; Ruan, H.L. Lignans from the fruit of Schisandra glaucescens with antioxidant and neuroprotective properties. J. Nat. Prod. 2014, 77, 1311–1320. [Google Scholar] [CrossRef]
- Xu, Y.B.; Chen, G.L.; Guo, M.Q. Antioxidant and anti-inflammatory activities of the crude extracts of Moringa oleifera from Kenya and their correlations with flavonoids. Antioxidants 2019, 8, 296. [Google Scholar] [CrossRef]
- Ma, J.; Li, M.; Kalavagunta, P.K.; Li, J.; He, Q.; Zhang, Y.; Ahmad, O.; Yin, H.; Wang, T.; Shang, J. Protective effects of cichoric acid on H2O2-induced oxidative injury in hepatocytes and larval zebrafish models. Biomed. Pharmacother. 2018, 104, 679–685. [Google Scholar] [CrossRef]
- Wang, L.; Liu, Y.F.; Luo, Y.; Huang, K.Y.; Wu, Z.Q. Quickly screening for potential α-glucosidase inhibitors from guava leaves tea by bioaffinity ultrafiltration coupled with HPLC-ESI-TOF/MS method. J. Agric. Food Chem. 2018, 66, 1576–1582. [Google Scholar] [CrossRef] [PubMed]
- Clifford, M.N.; Knight, S.; Kuhnert, N. Discriminating between the six isomers of dicaffeoylquinic acid by LC-MSn. J. Agric. Food Chem. 2005, 53, 3821–3832. [Google Scholar] [CrossRef]
- Liu, Z.Z.; Feng, Z.M.; Yang, Y.N.; Jiang, J.S.; Zhang, P.C. Acyl quinic acid derivatives from the stems of Erycibe obtusifolia. Fitoterapia 2014, 99, 109–116. [Google Scholar] [CrossRef] [PubMed]
- Song, S.; Li, Y.; Feng, Z.; Jiang, J.; Zhang, P. Hepatoprotective constituents from the roots and stems of Erycibe hainanesis. J. Nat. Prod. 2010, 73, 177–184. [Google Scholar] [CrossRef]
- Deshpande, S.; Matei, M.F.; Jaiswal, R.; Bassil, B.S.; Kortz, U.; Kuhnert, N. Synthesis, structure, and tandem mass spectrometric characterization of the diastereomers of quinic acid. J. Agric. Food Chem. 2016, 64, 7298–7306. [Google Scholar] [CrossRef] [PubMed]
- Pauli, G.F.; Poetsch, F.; Nahrstedt, A. Structure assignment of natural quinic acid derivatives using proton nuclear magnetic resonance techniques. Phytochem. Anal. 1998, 9, 177–185. [Google Scholar] [CrossRef]
- Nogueira, M.S.; Furtado, R.A.; Bastos, J.K. Flavonoids and methoxy-galloylquinic acid derivatives from the leaf extract of Copaifera langsdorffii Desf. J. Agric. Food Chem. 2015, 63, 6939–6945. [Google Scholar] [CrossRef] [PubMed]
- Nishimura, H.; Nonaka, G.I.; Nishioka, I. Seven quinic acid gallates from Quercus stenophylla. Phytochemistry 1984, 23, 2621–2623. [Google Scholar] [CrossRef]
- Nakatani, N.; Kayano, S.; Kikuzaki, H.; Sumino, K.; Katagiri, K.; Mitani, T. Identification, quantitative determination, and antioxidative activities of chlorogenic acid isomers in prune (Prunus domestica L.). J. Agric. Food Chem. 2000, 48, 5512–5516. [Google Scholar] [CrossRef] [PubMed]
- Tatefuji, T.; Izumi, N.; Ohta, T.; Arai, S.; Ikeda, M.; Kurimoto, M. Isolation and identification of compounds from Brazilian propolis which enhance macrophage spreading and mobility. Biol. Pharm. Bull. 1996, 19, 966–970. [Google Scholar] [CrossRef][Green Version]
- Chen, J.; Mangelinckx, S.; Ma, L.; Wang, Z.T.; Li, W.L.; De Kimpe, N. Caffeoylquinic acid derivatives isolated from the aerial parts of Gynura divaricata and their yeast alpha-glucosidase and PTP1B inhibitory activity. Fitoterapia 2014, 99, 1–6. [Google Scholar] [CrossRef]
- Chen, Y.H.; Chang, F.R.; Lin, Y.J.; Wang, L.S.; Chen, J.F.; Wu, Y.C.; Wu, M.J. Identification of phenolic antioxidants from Sword Brake fern (Pteris ensiformis Burm.). Food Chem. 2007, 105, 48–56. [Google Scholar] [CrossRef]
- Ono, M.; Masuoka, C.; Odake, Y.; Ikegashira, S.; Ito, Y.; Nohara, T. Antioxidative constituents from Tessaria integrifolia. Food Sci. Technol. Res. 2000, 6, 106–114. [Google Scholar] [CrossRef][Green Version]
- Holtz, R.W. Chapter 13—In vitro methods to screen materials for anti-aging effects. In Skin Aging Handbook; Dayan, N., Ed.; William Andrew Publishing: Norwich, NY, USA, 2009; pp. 329–362. [Google Scholar]
- Singal, A.K.; Jampana, S.C.; Weinman, S.A. Antioxidants as therapeutic agents for liver disease. Liver Int. 2011, 31, 1432–1448. [Google Scholar] [CrossRef] [PubMed]
- Naveed, M.; Hejazi, V.; Abbas, M.; Kamboh, A.A.; Khan, G.J.; Shumzaid, M.; Ahmad, F.; Babazadeh, D.; Xia, F.F.; Modarresi-Ghazani, F.; et al. Chlorogenic acid (CGA): A pharmacological review and call for further research. Biomed. Pharmacother. 2018, 97, 67–74. [Google Scholar] [CrossRef] [PubMed]


) correlations of compounds 1–3.



| Peak | Rt * (min) | EF * (%) | [M–H]– (m/z) | Characteristic Fragments (m/z) | Identification (Corresponding Isolated Compound) |
|---|---|---|---|---|---|
| P1 | 10.24 | −0.24 | 341 | 191, 167 | 3-O-vanilloylquinic acid (compound 1) |
| P2 | 11.13 | 2.34 | 371 | 197, 191 | 3-O-syringoylquinic acid (compound 2) |
| P3 | 11.68 | 2.68 | 353 | 191, 179, 135 | neochlorogenic acid (compound 4) |
| P4 | 14.46 | 2.96 | 353 | 191, 179, 135 | chlorogenic acid (NI *) |
| P5 | 15.34 | 2.67 | 353 | 191, 179, 135 | cryptochlorogenic acid (compound 5) |
| P6 | 17.27 | 3.00 | 551 | 197, 191 | 3,4-di-O-syringoylquinic acid (compound 3) |
| P7 | 23.67 | 3.11 | 551 | 197, 191 | di-O-syringoylquinic acid isomer (NI) |
| P8 | 24.18 | 3.16 | 533 | 353, 335, 197, 191, 179 | 4-O-caffeoyl-3-O-syringoylquinic acid (compound 11) |
| P9 | 24.50 | 2.65 | 503 | 341, 191, 179 | 4-O-caffeoyl-3-O-vanilloylquinic acid (compound 12) |
| P10 | 24.75 | 3.16 | 515 | 353, 335, 191, 179 | 3,4-dicaffeoylquinic acid (compound 6) |
| P11 | 25.47 | 3.30 | 515 | 353, 335, 191, 179 | 3,5-dicaffeoylquinic acid (compound 7) |
| P12 | 26.06 | 3.00 | 551 | 197, 191 | di-O-syringoylquinic acid isomer (NI) |
| P13 | 26.84 | 3.06 | 515 | 353, 335, 191, 179 | 4,5-dicaffeoylquinic acid (compound 8) |
| P14 | 27.31 | 2.48 | 503 | 353, 341, 191, 179 | caffeoyl-vanilloylquinic acid isomer (NI) |
| P15 | 27.70 | 3.51 | 559 | 335, 223, 197, 191, 179 | caffeoyl-sinapoylquinic acid isomer (NI) |
| P16 | 28.88 | 3.07 | 529 | 367, 179, 161 | methyl 4,5-dicaffeoylquinate (compound 10) |
| P17 | 31.17 | 3.53 | 529 | 367, 179, 161 | methyl 3,5-dicaffeoylquinate (compound 9) |
| 1 | 2 | 3 | ||||
|---|---|---|---|---|---|---|
| Position | δH, (J in Hz) | δC, Type | δH, (J in Hz) | δC, Type | δH, (J in Hz) | δC, Type |
| 1 | 75.6, C | 75.6, C | 75.4, C | |||
| 2ax | 2.24, dd (14.7, 3.6) | 37.0, CH2 | 2.25, dd (14.9, 3.6) | 37.0, CH2 | 2.43, dd (14.6, 3.6) | 37.9, CH2 |
| 2eq | 2.18, overlap | 2.18, m (overlap) | 2.19, m, overlap | |||
| 3 | 5.50, q (3.7) | 73.2, CH | 5.51, q (3.6) | 73.4, CH | 5.82, dt (6.3, 3.5) | 70.5, CH |
| 4 | 3.70, dd (8.7, 3.2) | 75.0, CH | 3.69, dd (8.8, 3.3) | 75.2, CH | 5.30, dd (8.2, 3.5) | 76.1, CH |
| 5 | 4.21, td (9.0, 4.0) | 68.5, CH | 4.23, td (9.6, 4.2) | 68.3, CH | 4.39, brs | 67.0, CH |
| 6eq | 2.17, dd (13.5, 3.6) | 41.5, CH2 | 2.18, m (overlap) | 41.8, CH2 | 2.25, dd (13.7, 3.7) | 41.2, CH2 |
| 6ax | 1.97, dd (13.5, 9.6) | 1.96, dd (13.6, 10.1) | 2.19, m, overlap | |||
| 7 | 179.0, C | 178.6, C | 179.5, C | |||
| 1’/1” b | 123.3, C | 122.2, C | 121.4/121.5, C | |||
| 2’/2” b | 7.67, d (1.9) | 114.1, CH | 7.43, s | 108.5, CH | 7.28/7.33, s | 108.3/108.3, CH |
| 3’/3” b | 148.6, C | 148.7, C | 148.8/148.9, C | |||
| 4’/4” b | 152.6, C | 141.6, C | 141.9/142.0, C | |||
| 5’/5” b | 6.84, d (8.2) | 115.7, CH | 148.7, CH | 148.8/148.9, C | ||
| 6’/6” b | 7.63, dd (8.2, 1.9) | 125.4, CH | 7.43, s | 108.5, CH | 7.28/7.33, s | 108.3/108.3, CH |
| 7’/7” b | 167.9, C | 167.9, C | 167.1/167.3, C | |||
| 8’/8” | ||||||
| 9’/9” | ||||||
| 3’-OCH3 | 3.91, s | 56.4, CH3 | 3.90, s | 56.8, CH3 | 3.76/3.80, s | 56.5/56.7, CH3 |
| 5’-OCH3 | 3.90, s | 56.8, CH3 | 3.76/3.80, s | 56.5/56.7, CH3 | ||
| 3”- OCH3 | 56.8, CH3 | 3.76/3.80, s | 56.5/56.7, CH3 | |||
| 5”- OCH3 | 56.8, CH3 | 3.76/3.80, s | 56.5/56.7, CH3 | |||
| Compound No. | DPPH | FRAP |
|---|---|---|
| IC50 ± SD (µM) | mmol Fe2+/g | |
| 1 | >100 | 0.4 ± 0.0 |
| 2 | >100 | 0.8 ± 0.0 |
| 3 | >100 | 1.0 ± 0.0 |
| 4 | 16.5 ± 2.2 | 6.3 ± 0.2 |
| 5 | >100 | 1.3 ± 0.0 |
| 6 | 11.2 ± 0.9 | 10.3 ± 0.2 |
| 7 | 16.4 ± 0.5 | 4.8 ± 0.2 |
| 8 | 11.3 ± 0.1 | 12.7 ± 1.2 |
| 9 | 4.0 ± 0.3 | 7.8 ± 0.0 |
| 10 | 4.9 ± 0.3 | 11.4 ± 0.6 |
| 11 | 25.3 ± 0.6 | 3.9 ± 0.1 |
| 12 | 45.2 ± 1.5 | 2.7 ± 0.1 |
| Vitamin C | 25.6 ± 0.3 | 8.1 ± 0.1 |
| Test Concentration (μM) | 300 μM | |||
|---|---|---|---|---|
| Compound | 25 | 5 | 1 | H2O2 |
| 4 | 80.4 ± 2.6 d | 86.1 ± 0.5 d | 80.7 ± 2.0 c | 70.22 ± 0.3 |
| 6 | 58.8 ± 0.9 | 82.0 ± 0.9 d | 83.8 ± 1.4 d | 70.22 ± 0.3 |
| 7 | 75.5 ± 0.9 b | 81.4 ± 1.4 c | 77.7 ± 0.4 b | 70.22 ± 0.3 |
| 8 | 63.7 ± 2.3 | 78.4 ± 0.7 b | 77.6 ± 1.4 b | 70.22 ± 0.3 |
| 9 | 77.7 ± 5.6 | 79.1 ± 1.3 b | 74.7 ± 1.7 | 70.22 ± 0.3 |
| 10 | 68.4 ± 2.8 | 76.8 ± 0.6 b | 77.8 ± 1.4 b | 70.22 ± 0.3 |
| 11 | 76.4 ± 1.3 b | 75.3 ± 2.8 b | 79.1 ± 1.3 c | 68.22 ± 1.1 |
| Vitamin C | 82.6 ± 2.1 d | 81.7 ± 2.9 d | 81.8 ± 0.9 d | 65.15 ± 0.7 |
Publisher’s Note: MDPI stays neutral with regard to jurisdictional claims in published maps and institutional affiliations. |
© 2021 by the authors. Licensee MDPI, Basel, Switzerland. This article is an open access article distributed under the terms and conditions of the Creative Commons Attribution (CC BY) license (https://creativecommons.org/licenses/by/4.0/).
Share and Cite
Liu, Y.; Muema, F.W.; Zhang, Y.-L.; Guo, M.-Q. Acyl Quinic Acid Derivatives Screened Out from Carissa spinarum by SOD-Affinity Ultrafiltration LC–MS and Their Antioxidative and Hepatoprotective Activities. Antioxidants 2021, 10, 1302. https://doi.org/10.3390/antiox10081302
Liu Y, Muema FW, Zhang Y-L, Guo M-Q. Acyl Quinic Acid Derivatives Screened Out from Carissa spinarum by SOD-Affinity Ultrafiltration LC–MS and Their Antioxidative and Hepatoprotective Activities. Antioxidants. 2021; 10(8):1302. https://doi.org/10.3390/antiox10081302
Chicago/Turabian StyleLiu, Ye, Felix Wambua Muema, Yong-Li Zhang, and Ming-Quan Guo. 2021. "Acyl Quinic Acid Derivatives Screened Out from Carissa spinarum by SOD-Affinity Ultrafiltration LC–MS and Their Antioxidative and Hepatoprotective Activities" Antioxidants 10, no. 8: 1302. https://doi.org/10.3390/antiox10081302
APA StyleLiu, Y., Muema, F. W., Zhang, Y.-L., & Guo, M.-Q. (2021). Acyl Quinic Acid Derivatives Screened Out from Carissa spinarum by SOD-Affinity Ultrafiltration LC–MS and Their Antioxidative and Hepatoprotective Activities. Antioxidants, 10(8), 1302. https://doi.org/10.3390/antiox10081302
