Abstract
The present study aimed to assess the immunomodulatory effects of fermented Aronia melanocarpa extract (FAME) on RAW 264.7 cells and BALB/c mice. Aronia melanocarpa fruit was fermented with Lactobacillus plantarum EJ2014 by adding yeast extract and monosodium glutamate for 9 days at 30 °C to produce γ-aminobutyric acid (GABA). After fermentation, significant GABA production was noted, along with minerals, polyphenols, and flavonoids (p < 0.05). The polyphenol content was confirmed by liquid chromatography with tandem mass spectrometry (LC–MS/MS) analysis. RAW 264.7 cells were stimulated with lipopolysaccharide (LPS, 1 μg/mL) in the presence or absence of FAME, and proinflammatory cytokine contents were measured by qPCR. In the in vivo experiment, female BALB/c mice were administered 125, 250, and 500 mg/kg of FAME for 21 days. FAME treatment increased neutrophil migration and phagocytosis (p < 0.05). It also increased splenocyte proliferation, CD4+ and CD8+ T-cell expression, and lymphocyte proliferation. Furthermore, it increased IFN-γ, IL-2, and IL-4 cytokine levels in a dose-dependent manner (p < 0.05). However, it decreased TNF-α and IL-6 levels (p < 0.05). These results indicate that FAME fortified with GABA including bioactive compounds exerts anti-inflammatory effects by inhibiting proinflammatory cytokines in RAW 264.7 cells and modulates immune response in mice. Thus, FAME could be a potential therapeutic agent for inflammatory disorders.
1. Introduction
Medicinal plants play an important role in the treatment of diseases because they are rich sources of different phytochemicals [1]. The use of different plants as complementary drugs is gaining attention worldwide because of their low cost and high therapeutic potential. Aronia melanocarpa (family: Rosaceae), also known as Photinia melanocarpa, is native to the USA and Canada. The fruits of A. melanocarpa (chokeberries) are small, dark, and cherry-like. They have many reported health benefits and can be used to treat heart disease, high cholesterol, and hypertension, among others [2,3]. These fruits contain great amounts of polyphenols, flavonoids, and anthocyanins and have antioxidant, anti-inflammatory, and anticancer properties, thereby exerting several health benefits [2,4,5]. Worldwide, it is a well-known fact that foods fermented by lactic acid bacteria have an immune-enhancing effect. Therefore, many recent studies have assessed the immune activity of medicinal plants following lactic acid bacterial fermentation [6,7]. When medicinal plants are fermented by lactic acid bacteria, bioconversion occurs. At the same time, immunity is enhanced through the production of beneficial bioactive metabolites, such as essential amino acids and fatty acids, vitamins, and polyphenolic compounds, thereby making fermented foods more functional than nonfermented ones [8]. Studies have revealed that lactic acid bacteria can synthesize γ-aminobutyric acid (GABA) in various food media [9,10,11,12]. A recent study demonstrated that Lactobacillus brevis CRL 2013 can efficiently convert monosodium glutamate (MSG) to GABA, corroborating that L. plantarum EJ2014 (used in the present study) could also be used to produce GABA [13], a ubiquitous nonprotein amino acid possessing diverse physiological activities and many potential health benefits [14]. The use of artificially produced GABA is associated with legal issues in several countries [15,16]. Therefore, GABA produced using L. plantarum EJ2014 as a starter culture during the fermentation of aronia juice could be an alternative functional food. The strain L. plantarum EJ2014 used in the present study is a representative probiotic that has long been used for producing fermented products. It has been reported to play a role in intestinal regulation and immune enhancement [17]. These beneficial effects have led to the development of functional food products based on Lactobacillus strains [18].
Previous studies almost exclusively focused on the immunomodulatory activities of nonfermented A. melanocarpa extract. Therefore, in the present study, we assessed the anti-inflammatory effects of fermented aronia extract (FAME) on RAW 264.7 cells. Moreover, we confirmed whether the administration of FAME could modulate innate and adaptive immunity by producing compounds such as GABA, flavonoids, polyphenols, and minerals and increasing or decreasing the neutrophil count, phagocytosis, splenic lymphocyte proliferation, CD4+ and CD8+ T cell phenotyping, and cytokine expression in BALB/c mice.
2. Materials and Methods
2.1. Aronia Fruit and Reagents
Aronia fruit was purchased at the local market (Sangju, Gyeongsangbuk-do, Korea). Yeast extract and MSG were procured from Choheung Co. (Ansan, Korea) and Yakuri Pure Chemicals Co. Ltd. (Kyoto, Japan), respectively. High-quality grade reagents were used in all the experiments. The chemicals and media used in the present study were purchased from Sigma-Aldrich (Sigma-Aldrich, Yongin, Korea) and Difco (Becton, Dickinson and Company, Franklin Lakes, NJ, USA), respectively, unless stated otherwise.
2.2. Fermentation of FAME
For lactic acid fermentation, L. plantarum EJ2014 (KCCM 11545P) was isolated from rice bran, and molecular analysis was performed using PCR at the Food Processing Resource Development Laboratory of Keimyung University, Korea. Then, L. plantarum EJ2014 was cultured on a Lactobacillus MRS broth (Difco, BD, USA) at 30 °C for 24 h and used for fermentation of A. melanocarpa to produce GABA and other bioactive compounds. Briefly, aronia fruits without the stem were ground using a cutter miller (Philips, Amsterdam, The Netherlands) to prepare juice. The fruit juice (10%) was mixed with 1% yeast extract, 1% skim milk, and 2% MSG followed by autoclave for 15 min at 121 °C. Then, L. plantarum EJ2014 starter culture was inoculated and incubated at 30 °C for 9 days for fermentation. The final fermented product of A. melanocarpa was lyophilized with a vacuum freeze dryer (Operon Advantech Co., Ltd., Gyeonggi, Korea) and stored at −20 °C until use. The fermented mixture was analyzed for GABA production using thin-layer chromatography (TLC) [19] and compared with a nonfermented control sample. Before and during the fermentation, samples were collected for the measurement of different parameters, such as the pH, reducing sugar content, polyphenol content, flavonoid content, anthocyanin content, and viable cell count. Moreover, the α-α-diphenyl-β-picrylhydrazyl (DPPH) radical scavenging activity, mineral content, and phosphorus content were assessed before and at the end of the fermentation.
2.3. Analysis of FAME
2.3.1. GABA Content
For the qualitative analysis of GABA, silica gel TLC plates (10 × 20 cm) and a square chamber (30 × 25 × 10 cm) for solvent development were used. The developed solvent consisted of n-butyl alcohol, glacial acetic acid, and distilled water at a ratio of 6:2:2 (v/v/v) and was saturated at room temperature for at least 4 h. The fermented sample (2 μL) and standard solution (1% GABA) were spotted on the TLC plate for development and dried at room temperature. As a coloring reagent, 0.2% ninhydrin solution was sprayed on the dried TLC plate, which was then developed for about 5 min at 100 °C to confirm the presence of GABA spots of the fermented sample. Furthermore, free amino acid (glutamic acid) and GABA were analyzed by high-performance liquid chromatography (HPLC). The dried sample was derivatized with 20 μL of a solution containing phenyl isothiocyanate (PITC), methanol (MeOH), triethylamine (TEA), and water (H2O) (MeOH:H2O:TEA:PITC = 7:1:1:1); reacted at room temperature for 30 min; and centrifuged for 5 min at 14,000 rpm. The supernatant was filtered with a 0.45 μL syringe filter and analyzed using a C18 column (Waters Nova-Pak 4 μm) (Waters Corporation, Milford, MA, USA) on an HPLC device (Hewlett Packard 1100 series, Palo Alto, CA, USA) at an absorbance of 254 nm. The mobile solvent consisted of 140 mM NaHAc, 0.15% TEA, 6% CH3CN, and 0.015% EDTA.
2.3.2. Antioxidant Activity
The DPPH free radical scavenging activity of FAME fermented by L. plantarum EJ2014 was measured using a previously described method [20]. The sample (160 μL) was added to 40 μL of 0.15 mM DPPH solution in ethanol, and the absorbance was measured at 517 nm. The activity of the sample was expressed as IC50 using ascorbic acid as a positive control.
2.3.3. Mineral Content
The mineral analysis was done for samples collected immediately before fermentation and after fermentation with L. plantarum EJ2014 on the 9th day of fermentation. The collected samples were immediately sent to The Center for Traditional Microorganism Resources, Keimyung University (Food Inspection Testing Lab, Livestock Inspection Testing Lab). The mineral content in FAME was determined by heating 10 g of the extract at 550–600 °C for 12 h. The residue was solubilized in 10 mL of HCl and then filtered. The sample was analyzed using an inductively coupled plasma optical emission spectrometer (ICP-OES; Optima 700DV, Perkin Elmer, Waltham, MA, USA), and a standard curve was used to measure the concentrations. The mineral standard references were purchased from AccuStandard Inc. (New Haven, CT, USA) and Sigma-Aldrich Co. (St. Louis, MO, USA). The solvent used for the extraction was of normal grade, and the analysis was performed using HPLC-grade solvents (Sigma-Aldrich Co, St. Louis, MO, USA). The analysis value reliability was confirmed using a quality control chart for internal analysis quality control of inorganic substances (Quality Control chart, QC chart). For analyzing minerals (K, Ca, Mg, Na, Fe, P), standard reference material (SRM) 1869 was used to determine the analytical parameters of the method such as limit of detection (LOD), limit of quantification (LOQ), sensitivity, accuracy, and precision (Supplementary Table S1).
2.3.4. pH, Acidity, and Viable Cell Count
The pH of the extract was measured using a pH meter (model 420+ Thermo, Washington, DC, USA). The titratable acidity was determined by adding 1 mL of the extract to 9 mL of distilled water and calculating the percentage of lactic acid (v/v) consumed by 0.1 N NaOH at pH 8.3. The number of viable bacterial cells was counted and expressed as CFU/mL by plating the sample on an MRS agar plate after serial dilution and incubation for 24 h at 30 °C.
2.3.5. Polyphenol and Flavonoid Content
The polyphenol content was measured using the Folin–Ciocalteu method [21]. Fermentation broth containing the extract was diluted 2, 5, and 10 times, and the initial absorbance was measured at 700 nm by taking 60 μL of each sample. Then, 60 μL of 2-fold-diluted Folin reagent was added before the mixture was homogenized and allowed to stand for 3 min. Following this, 60 μL of 10% Na2CO3 was added and reacted in a constant temperature incubator at 30 °C for 60 min before reading the absorbance at 700 nm. The total polyphenol content was measured from a standard curve using gallic acid as a reference material. The flavonoid content was measured as described by Nieva Moreno et al. [22]. In brief, the sample (125 μL) was added to 1080 μL of 80% ethanol, 30 μL of 10% aluminum nitrate, and 30 μL of 1 M potassium acetate. The mixture was incubated at room temperature for 40 min, and the absorbance was measured at 415 nm. The total flavonoid content was measured from a standard curve using quercetin as a standard.
2.3.6. Anthocyanin Content
The anthocyanin pigment content plays an important role in determining food color and quality. The anthocyanin content in FAME was determined using a previously described method [23]. In brief, anthocyanin stock solution (1 mg/L) was prepared with 5% v/v perchloric acid solution to generate a standard curve. The test solution was prepared at different concentrations (100–500 μg/mL), and 5% v/v perchloric acid was added, followed by stirring for 30 min. The absorbance was measured at 450 nm, and the anthocyanin content was measured by referring to the standard calibration curve.
2.3.7. Reducing Sugar Content
The reducing sugar content was measured using the dinitrosalicylic acid (DNS) method [24]. The sample (5 mL) was centrifuged at 13,200 rpm for 10 min, and 1 mL of the diluted supernatant was mixed with 3 mL of the DNS reagent and kept at 100 °C for 5 min. The absorbance was measured at 550 nm using a refractometer (Pocket Refractometer Pal-3, Atago, Japan) after cooling at room temperature in the dark for 40 min. The reducing sugar content was calculated from a standard curve using glucose as a standard and was based on three readings.
2.3.8. LC–MS/MS Analysis
LC–MS/MS analysis was performed using an Accela UHPLC system (Thermo Fisher Scientific, CA, USA) coupled with a high-resolution LTQ-Orbitrap XL hybrid mass spectrometer (Thermo Electron, Bremen, Germany) via an ESI interface. Sample separation was performed at 40 °C using a Waters BEH C18 column (2.1 × 150 mm, 1.7 μm). Water (A) and acetonitrile (B) were used as the mobile phase, with 0.1% formic acid being added to both solvents. The flow rate was adjusted to 400 μL/min. The elution gradient was as follows: 0% B (0–1 min), 0–40% B (1–20 min), 40–100% B (20–24 min), and 100% B (24–27 min). The sample (2 μL) was injected, and the analysis was performed using PDA at 200–600 nm and MS at m/z 100–1000 in the positive ion mode. The conditions of the ESI source were similar to those of a previous study. The compounds were identified using the reference literature [25], high-resolution mass spectra, and MS/MS spectral library search [26].
2.4. RAW 264.7 Cells and In Vitro Study Design
RAW 264.7 cells were used to conduct an in vitro experiment for assessing nitric oxide (NO) production and proinflammatory cytokine mRNA. The experimental timeline is shown in Figure 1.
Figure 1.
In vitro experimental scheme.
2.4.1. NO Assay
RAW 264.7 cells (Korean Cell Line Bank, Seoul, Korea) were cultured for 24 h to reach 80% confluence. Following this, 1 × 105 cells/well were allowed to adhere for 12 h in a 24-well plate. After 30 min of treatment with different extract concentrations (0.025, 0.05, 0.1, and 0.2 mg/mL), the cells were incubated with lipopolysaccharide (LPS) (1 µg/mL) for 18 h. The production of NO in the cell culture medium was measured as the (NO2) level at 540 nm and quantified from a standard curve generated using sodium nitrite (NaNO2). The cytotoxicity of the extracts in RAW 264.7 cells was determined using the 3-(4,5-dimethylthiazol-2-yl)-2,5-diphenyl tetrazolium bromide (MTT) assay, and the absorbance was measured at 570 nm [27].
2.4.2. Total RNA Extraction and Traditional and Quantitative Real Time RT-PCR
Total RNA was extracted from the cells using TRIzol reagent (Life Technologies, Carlsbad, CA, USA), and 5 μg of RNA from every sample was reverse-transcribed into cDNA using the AccuPower RT premix (Bioneer, Daejon, Korea). Reverse transcription PCR was performed using the GeneAmp PCR System 9700 (Applied Biosystems, Waltham, MA, USA). To analyze the PCR products, 6 μL of each PCR reaction mixture was electrophoresed on 1.5% agarose gel and detected under ultraviolet (UV) light. Relative mRNA expression was determined using the CFX96 Touch PCR Detection System (Bio-Rad, Singapore). PCR amplification was performed using the following primers, with β-actin being used as a standard control: IL-1β (Genebank accession No.: NM_008361.4) forward (F): TGAGCACCTTCTTTTCCTTCA and reverse (R): TTGTCTAATGGGAACGTCACAC; IL-6 (Genebank accession No.: NM_031168.2) F: TAATTCATATCTTCAACCAAGAGG and R: TGGTCCTTAGCCACTCCTTC; TNF-α (Genebank accession No.: LN874395.1) F: CTGTAGCCCACGTCGTAGC and R: GGTTGTCTTTGAGATCCATGC; iNOS (Genebank accession No.: NM_001313922.1) F: TGTGGCTACCACATTGAAGAA and R: TCATGATAACGTTTCTGGCTCTT; Cox-2 (Genebank accession No.: NM_011198.4) F: CACTACATCCTGACCCACTT and R: ATGCTCCTGCTTGAGTATGT; TLR4 (Genebank accession No.: NM_021297.3) F: GACCTCAGCTTCAATGGTGC and R: TATCAGAAATGCTACAGTGGATACC; and β-actin (Genebank accession No.: NM_007393.5) F: GTCATCACTATTGGCAACGAG and R: TTGGCATAGAGGTCTTTACGG. Quantitative real-time PCR was performed under the following cyclic conditions: enzyme activation and initial denaturation for 5 min at 95 °C and 35 cycles of amplification at 95 °C for 10 s, followed by 56 °C (TNF-α, IL-6, Cox-2, and TLR4) or 60 °C (iNOS and IL-1β) for 20 s.
2.5. Animals and Study Design
All experimental protocols involving animals were approved by the Kyungpook National University Ethical Committee (KNU-2017-50). Five-week-old female BALB/c mice were procured (ORIENT BIO, Republic of Korea) and acclimated to laboratory conditions for 7 days. Female mice were used due to their strong immune response [28,29]. The animal room was maintained at a relative humidity of 50–65% and a temperature of 20–24 °C with 12 h light and dark periods. The mice were fed a standard pellet diet and provided ad libitum filtered tap water access. After adaptation to the laboratory conditions, the mice were randomly divided into six groups of eight each (Table 1).
Table 1.
Treatment group description.
The mice in the treatment groups received a daily oral dose of 200 µL FAME at 125, 250, or 500 mg/kg for 21 days (Figure 2). On day 15, the mice were immunized by the intraperitoneal administration of 5.0 × 108/mL sheep red blood cells (SRBCs). Their body weight was measured regularly to adjust dosing volumes. After 21 days, the mice were sacrificed and their blood and organs were collected. Blood was collected in heparinized tubes and centrifuged at 10,000 rpm for 5 min. Plasma was separated and stored at −70 °C until use in enzyme-linked immunosorbent assay (ELISA), and organs were weighed and processed accordingly.
Figure 2.
Outline of the in vivo experiment.
2.5.1. Acute Oral Toxicity Test
To assess the potential oral toxicity of FAME, 5-week-old female Sprague–Dawley rats were used. The rats were divided into two groups containing five rats each: normal and treated. Each rat was orally administered a single dose of FAME (2000 mg/kg body weight) according to OECD guidelines 423 [30]. A standard pellet diet and distilled water were supplied ad libitum throughout the observation period. The rats were constantly monitored for abnormal physical signs and clinical symptom changes for 14 days after the administration of FAME. The food and water intake and the body weight changes were measured twice a week. Finally, the rats were sacrificed after euthanasia. Following this, their major organs were collected, inspected for abnormal gross lesions, and compared between the control and treated groups.
2.5.2. Neutrophil Isolation and Counting
Neutrophils were isolated from whole blood using Histopaque 1077 (Sigma-Aldrich, St. Louis, MO, USA). In brief, equal volumes of whole blood and Histopaque solution were mixed and centrifuged at 400× g for 30 min at room temperature. The opaque interface was collected after carefully removing the upper layer. The interface was washed thrice by adding isotonic phosphate-buffered saline (PBS) and centrifuged at 250× g for 10 min. Finally, Dulbecco’s Modified Eagle Medium (DMEM, Sigma-Aldrich, St. Louis, MO, USA) supplemented with 10% fetal bovine serum (FBS) was added to the pellet, and the cells were counted using trypan blue dye.
2.5.3. Neutrophil Migration Assay
The neutrophil migration assay was conducted using the Cytoselect 24-Well Cell Migration Assay Kit (3 µm, fluorometric format) (Cell Biolabs, Inc., San Diego, CA, USA), according to the manufacturer’s protocol. In brief, neutrophils were isolated as mentioned above, followed by the addition of 300 µL of 5 × 106 cells/mL in serum-free DMEM to the inside of the insert and 500 µL of medium supplemented with 10% FBS to the lower part of the migration plate. After overnight incubation, the medium from the inside of the insert was aspirated before the insert was transferred to a clean well containing 200 µL of cell detachment solution and incubated at 37 °C for 30 min. The cells were completely dislodged from the underside of the membrane, and an additional 400 µL of medium from the migratory cells was transferred to the detachment solution. Following this, 180 µL of the mixture was transferred to a 96-well plate, and 60 µL of 4× Lysis Buffer/CyQuant GR dye (Thermo Fisher Scientific, Waltham, MA, USA) was added before incubating for 20 min at room temperature. Finally, 200 µL of the mixture was transferred to a new 96-well plate. The fluorescence was measured at 480 nm using a fluorescence plate reader and expressed as the relative fluorescence unit (RFU).
2.5.4. Neutrophil Phagocytic Activity
The phagocytic activity of neutrophils was analyzed using the Cytoselect 96-Well Phagocytosis Assay Kit with Escherichia coli substrate (Cell Biolabs, Inc., Waltham, CA, USA). Neutrophils were collected as described above, followed by the addition of 100 µL of 106 cells/mL into a 96-well plate before adding 10 µL of E. coli suspension. The mixture was incubated for 6 h at 37 °C under 5% CO2. The medium was changed after centrifugation, and the cells were washed with 200 µL of cold PBS. Then, the cells were incubated for 5 min with 100 µL of fixation solution at room temperature. After removing the fixation solution, the cells were washed with PBS before 100 µL of blocking solution was added and incubated for 30 min at room temperature on an orbital shaker. Finally, the reaction was initiated by adding 100 µL of the substrate, followed by incubation for 20 min before adding 100 µL of stop solution. The absorbance was measured at 450 nm using a Versamax plate reader (Molecular Devices, San Jose, CA, USA).
2.5.5. Preparation of Splenocytes
Splenocytes were prepared as described by Ahmad et al. [31]. In brief, after sacrificing the mice, the spleen was removed aseptically. The collected spleen tissue was placed into a sterile tube with Hank’s balanced salt solution (HBSS) (Gibco Life Technologies, New York, NY, USA) and kept on ice. The spleen tissue was then minced, pressed through a 70 μm fine nylon cell strainer (BD Biosciences, CA, USA) using a plunger at the end of a 3 mL syringe, and washed with an excess amount of HBSS. The obtained cell suspensions were centrifuged for 5 min at 1600 rpm. After discarding the supernatant, the collected pellet was resuspended in 1 mL prewarmed red blood cell (RBC) lysis buffer solution (Sigma, Welwyn Garden City, UK). The cells were incubated for 1 min at 37 °C to lyse RBCs, followed by the addition of HBSS. Again, the cells were centrifuged at 1600 rpm at 4 °C for 5 min. The cell pellets were washed thrice with PBS. Next, the supernatant was removed and the pellets were resuspended in RPMI-1640 medium (Sigma-Aldrich, St. Louis, MO, USA) supplemented with 10% FBS and 1% penicillin–streptomycin (P/S) solution. Finally, the trypan blue dye exclusion method was used to count the cells with a hemocytometer.
2.5.6. Splenic Lymphocyte Proliferation Assay
In total, 4 × 106 cells/mL splenocytes from the treatment and control groups were seeded (200 μL/well) into a 96-well plate in RPMI-1640 medium containing 10% FBS and 1% P/S. Splenocytes from each group were cultured in the presence of the mitogen concanavalin A (Con A, 5 μg/mL) or LPS (10 μg/mL) and in the absence of any of the mitogens for 72 h at 37 °C. After adding 5 mg/mL of MTT reagent solution, the absorbance was measured at 570 nm. The proliferation index was determined by dividing the optical density (OD) of the sample by the control OD value.
2.5.7. Flow Cytometric Analysis for T-Lymphocyte Phenotyping
For T-lymphocyte phenotyping, 106 cells/100 μL splenocytes were harvested into fluorescence-activated cell sorting (FACS) tubes. Cell blocking was accomplished by adding IgG blocking solution (1 μg IgG/106 cells) and incubating at room temperature for 15 min. In total, 10 μg/mL conjugating antibodies were added and vortexed, followed by the incubation of cells for 30 min in a dark place. Unbound antibodies were removed by washing with flow cytometry staining buffer, and suspended cells were centrifuged for 5 min at 300× g. For flow cytometric analysis, the pelleted cells were resuspended in 200 μL of FACS buffer solution. Finally, data acquisition and analysis were performed using multicolor FACS with FACSDiva version 6.1.3 software on BD FACSAria III (BD Biosciences, San Diego, CA, USA). The percentages of different T-lymphocyte subpopulations (CD4+ and CD8+) were calculated to compare the expression levels among different groups.
2.5.8. Determination of Cytokine Concentrations
The experiment was performed according to the manufacturer’s protocol (Elabscience). In brief, 50 μL of microparticle cocktail was added to the well of a microplate together with an equal volume of the sample, standard, or control and incubated for 2 h at room temperature on an orbital microplate shaker. After washing four times with diluted wash buffer, 50 μL of diluted biotin antibody cocktail was added and incubated for 1.5 h at room temperature on the shaker. Again, after washing four times with wash buffer, 50 μL of diluted streptavidin–PE was added to each well and incubated for 30 min at room temperature on the shaker. Following this, 100 μL of wash buffer was added to resuspend the microparticles and incubated for 2 min. The absorbance was then measured at 450 nm using a Luminex MAGPIX analyzer (Luminex, Austin, TX, USA). The individual analyte in the sample reacted with the corresponding antibody, which was attached to a specific number of beads. The cytokine concentration in the sample was measured by generating a standard curve using five-parameter logistic curve fitting (Masterplex QT 2010, MiraiBio, Hitachi, CA, USA) and multiplied by the dilution factor.
2.6. Statistical Analysis
The obtained data were analyzed using one-way and two-way analyses of variance, followed by Dunnett’s test and Tukey’s test using GraphPad Prism 7 software (GraphPad Software Inc., San Diego, CA, USA). The results are expressed as the mean ± standard error of the mean (SEM). p values < 0.05 were considered statistically significant.
3. Results
3.1. GABA Content in FAME
GABA content of FAME was qualitatively determined using TLC (Figure 3). As a control, L. plantarum EJ2014 was grown in the same juice without any extra supplementation. GABA production was not detected in the control sample. TLC analysis revealed only a residual amount of MSG but no GABA production before fermentation. However, the GABA concentration gradually increased until day 9 during fermentation (Patent No. 1020170073239). Quantitative analysis (Table 2) revealed no GABA production before fermentation; however, on day 9 of fermentation, significant GABA production was noted (10.4 mg/mL) (p < 0.001).
Figure 3.
Fermentation effects on GABA production pattern in FAME. Thin-layer chromatogram (TLC) for MSG standard (0.25–1%), GABA standard (0.25–1%), and 5-fold dilution of FAME samples collected at different time intervals (0, 1, 3, 5, 7, and 9 days) during fermentation.
Table 2.
GABA production and changes in DPPH and other components of aronia extract fermented by L. plantarum EJ2014.
3.2. Antioxidant Activity of FAME
The antioxidant activity of FAME was measured by the DPPH radical scavenging activity assay. The results revealed that the IC50 value of DPPH decreased from 2.18 to 1.09 mg/mL after fermentation, indicating that the antioxidant activity increased 2-fold as a result of fermentation (Table 2) (p < 0.001). This may be attributed to increased contents of anthocyanins, flavonoids, and phenolic compounds, including quercetin.
3.3. Mineral Content in FAME
The mineral composition of FAME was analyzed before and after L. plantarum EJ2014 fermentation (Table 2). Compared with nonfermented aronia extract, the potassium, calcium, magnesium, sodium, iron, and phosphorus contents increased by 2.7%, 39.7%, 16.7%, 77%, 11%, and 85.2%, respectively, in FAME (p < 0.05). Thus, fermentation by L. plantarum EJ2014 increased the mineral content in the extract.
3.4. Changes in pH, Acidity, and Viable Cell Count of FAME
Physicochemical properties (pH and acidity) are important indices for determining the progress of fermentation [32]. Hence, we measured the pH and acidity of the extract before, during, and after culture with yeast extract and MSG at 30 °C for 9 days. The pH was 4.41 before fermentation. It kept decreasing during culture and reached a minimum of 3.31 on day 3. Accordingly, the acidity of FAME increased from 0.74 to the peak value of 1.08 on day 3. However, further fermentation slightly increased the pH to 4.01 on day 9, with a corresponding decrease in acidity (Table 3). The overall growth of L. plantarum EJ2014 increased during fermentation (Table 3) (p < 0.05). The early viable cell count of the Lactobacillus starter was 4.86 × 106 CFU/mL; it increased to 1.25 × 109 CFU/mL on day 1. The viable cell count slightly decreased to 108 CFU/mL on day 3 and continued to decrease to 1.55 × 108 CFU/mL until day 5. Then, the viable cell count was maintained at a steady level of 10⁷ CFU/mL until the end.
Table 3.
Physicochemical properties of and polyphenol, flavonoid, and anthocyanin contents in aronia extract fermented by L. plantarum EJ2014.
3.5. Polyphenol and Flavonoid Content in FAME
The effect of L. plantarum EJ2014 fermentation on polyphenol and flavonoid production is presented in Table 3. The polyphenol (46.19%) and flavonoid (11.4%) content in FAME increased from day 0 to day 9 during fermentation (p < 0.05). The presence of the polyphenol content was further confirmed by LC–MS/MS analysis (Table 4).
Table 4.
The major bioactive compounds in FAME identified by LC–MS/MS analysis.
3.6. Anthocyanin Content in FAME
Anthocyanins are major polyphenolic compounds that can be produced as a result of fermentation. The impact of fermentation on anthocyanin production is presented in Table 3. The anthocyanin content in FAME increased (13.71%) from day 0 to day 9 as a result of fermentation (p < 0.05).
3.7. Reducing Sugar Content in FAME
The measured reducing sugar contents are shown in Table 3. After 9 days of fermentation, the reducing sugar content in FAME decreased from 4.1 to 0.86% (p < 0.05).
3.8. LC–MS/MS Analysis of FAME
As shown in Table 4, analysis of FAME revealed different retention times, indicating the presence of different bioactive compounds. Of the several compounds, the 11 most important and predominant compounds were neochlorogenic acid, cyanidin-3-O-galactoside, chlorogenic acid, cyanidin-3-O-arabinoside, 5-carboxypyranocyanidin 3-O-β-glucopyranoside, quercetin-di-hexoside, quercetin-3-O-vicianoside, quercetin-3-O-robinobioside, quercetin-3-O-rutinoside, quercetin-3-O-galactoside, and quercetin-3-O-glucoside.
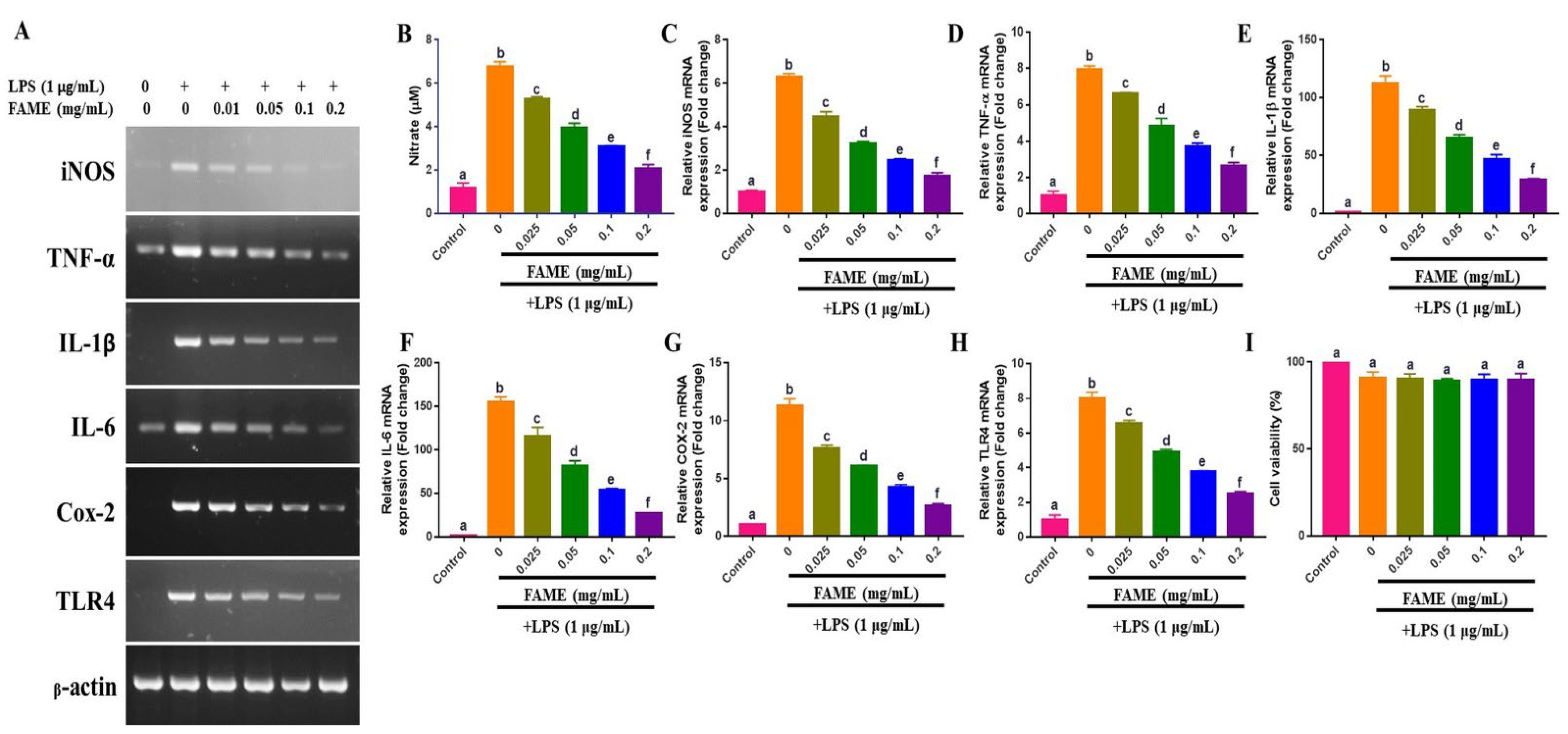
3.9. Effects of FAME on LPS-Induced NO Production and Proinflammatory Cytokine Expression in RAW 264.7 Cells
To determine the potential anti-inflammatory effects of FAME, we measured the decrease in the production of NO and expression of proinflammatory cytokine mRNA. FAME significantly reduced LPS-induced NO production in RAW 264.7 cells in a concentration-dependent manner (0.025–0.2 mg/mL) (p < 0.05) (Figure 4B). Similarly, with an increase in the concentration of FAME, a corresponding decrease was noted in LPS-induced iNOS mRNA expression in RAW 264.7 cells. These results indicate a positive correlation between the decrease in NO production and the suppression of iNOS mRNA expression (Figure 4A,C). In addition, the tested concentration of FAME did not exert any cytotoxic effects on RAW 264.7 cells (Figure 4I). Moreover, FAME attenuated LPS-induced TNF-α, IL-1β, IL-6, Cox-2, and TLR4 mRNA expression in RAW 264.7 cells in a dose-dependent manner (0.025–0.2 mg/mL) (Figure 4A,D–H).
Figure 4.
Production of NO and expression of different cytokines in LPS-treated RAW 264.7 cells upon treatment with FAME. Effects of FSE on LPS-induced NO production (B). Expression of proinflammatory cytokine mRNA determined by conventional PCR and qRT-PCR: iNOS (A,C), TNF-α (A,D), IL-1β (A,E), IL-6 (A,F), and Cox-2 (A,G). Expression of TLR4 mRNA (A,H) and cell viability (I). The data are presented as the mean ± SEM of three independent experiments. Different letters (a–f) above the bars indicate significant differences (p < 0.05) between groups.
3.10. In Vivo Immunomodulatory Activities of FAME
3.10.1. Acute Oral Toxicity Test of FAME
The acute oral toxicity test displayed no physical or clinical signs or mortality in the treated rats up to 14 days after the administration of FAME. In addition, no pathological lesions were observed in the organs of the treated rats.
3.10.2. Effect of FAME on Feed and Water Intake and on Body and Organ Weight
There was no significant difference among the treatment groups in terms of feed and water consumption. In addition, the body weight changes were not significant. Furthermore, four organs (the spleen, liver, thymus, and both kidneys) were collected after the mice were sacrificed. Each organ was measured, and no significant difference was noted among the groups (data not shown).
3.10.3. Effect of FAME on Neutrophil Migration and Phagocytosis
In order to detect the primary immune function, the migration and phagocytosis activity of neutrophils were determined. Neutrophils are powerful effector cells that lead the first wave of host defense by destroying infectious agents through phagocytosis. They usually migrate quickly to sites of infection in order to counteract foreign invaders [44]. The migration of neutrophils was found to increase in a dose-dependent manner by 16.8%, 37.85%, and 65.51% in mice treated with 125, 250, and 500 mg/kg of FAME, respectively (Figure 5A) (p < 0.05). The phagocytic activity of neutrophils was assessed where E. coli was used as substrate. The phagocytic activity of neutrophils in mice treated with 250 and 500 mg/kg of FAME increased by 7.56% and 27.78%, respectively, showing a dose-dependent effect (Figure 5B). However, a significant difference (p < 0.05) was observed only for the highest dosage.
Figure 5.
Effects of FAME on neutrophil migration (A) and phagocytic activity (B). Data are expressed as the mean ± SEM (n = 3). Different letters (a–e) above the bars indicate significant differences (p < 0.05) between groups.
3.10.4. Effect of FAME on Splenocyte Proliferation
Cell-mediated immunity can be assessed by determining splenocyte proliferation. In general, splenocytes consist of different cell populations, such as macrophages and lymphocytes. Mice treated with FAME showed a significantly higher spleen cell count than the control mice, with the count increasing by 0.5-, 1.6-, and 4.7-fold at doses of 125, 250, and 500 mg/kg, respectively (Figure 6A). The effect of FAME on mouse splenocyte proliferation was studied using LPS (10 µg/mL) and Con A (5 µg/mL). LPS increased the proliferation by 44.9%, 65.03%, and 73%, whereas Con A increased the proliferation by 27.4%, 33.8%, and 54.9% at doses of 125, 250, and 500 mg/kg, respectively (Figure 6B). Thus, FAME increased splenocyte proliferation in a dose-dependent manner (p < 0.05).
Figure 6.
Effects of FAME on mouse splenocyte proliferation (A,B). (A) Total splenocyte count of different groups. (B) Ex vivo activation of splenocytes by LPS and Con A after 72 h of incubation. Data are expressed as the mean ± SEM (n = 3). Different letters (a–d) above the bars indicate significant differences (p < 0.05) between groups.
3.10.5. Effect of FAME on T-Lymphocyte Differentiation
For T-lymphocyte phenotyping, flow cytometric analysis was performed. FAME-treated groups showed a dose-dependent increase in the expression of CD8+ T cells. Compared with the normal control mice, there was a significant increase in the expression of CD4+ T cells in the FAME-treated mice. At 125, 250, and 500 mg/kg, the expression levels of CD8+ cells increased by 15.13%, 18.46%, and 21.34%, respectively (Figure 7) (p < 0.05).
Figure 7.
Flow cytometric immunophenotyping analysis of CD4+ (PE-conjugated) and CD8+ (FITC-conjugated) T-cell expression in splenocytes harvested from control and FAME-treated mice. (A) The percentages of CD4+ (region Q1) and CD8+ (region Q4) T cells in the spleen of mice. (B) The percentages of CD4+ cells and (C) the percentages of CD8+ cells. Data are expressed as the mean ± SEM (n = 3). Different letters (a–d) above the bars indicate significant differences (p < 0.05) between groups.
3.10.6. Effect of FAME on Cytokine Expression
To investigate the role of FAME on Th1- and Th2-dependent cytokine expression, we determined the levels of cytokines in plasma samples obtained from different treatment groups by sandwich ELISA because cytokines play a central role in mediating the immunity, ranging from innate to cell-mediated immune response. Compared with negative control mice, IFN-γ levels increased by 22.51%, 41.35%, and 52.49% in mice treated with 125, 250, and 500 mg/kg of FAME, respectively. At the same time, IL-2 levels increased in a dose-dependent manner by 92.4%, 111.1%, and 158.9%, while IL-4 levels increased by 21.48%, 100.99%, and 146.35%, respectively (p < 0.05). However, FAME decreased the release of IL-6 by 17.24%, 27.39%, and 47.68% and that of TNF-α by 16.01%, 38.49%, and 57.59% at 125, 250, and 500 mg/kg, respectively (p < 0.05), as shown in Figure 8.
Figure 8.
Cytokine profile of plasma obtained from mice treated with FAME (A–E). (A) IFN-γ, (B) IL-2, (C) IL-4, (D) IL-6, and (E) TNF-α. Data are expressed as the mean ± SEM (n = 6). Different letters (a–d) above the bars indicate significant differences (p < 0.05) between groups.
4. Discussion
The discovery of natural compounds from traditional medicinal plants has been explored since primitive times. Food supplement, pharmaceutical, and nutraceutical industries extensively use different herbal medicines, dietary supplements, nutrients, and remedies for treating various diseases [45]. The use of the fermentation process can reinforce the production of diverse bioactive secondary metabolites. The present results clearly revealed changes in the amounts of different compounds produced during fermentation processes; these could be interesting tools to produce and discover novel leads for treating various diseases, including immune disorders.
GABA is a nonprotein amino acid that has been widely documented as a functional component with health benefits [46]. As blackberries contain different powerful antioxidants and other functional constituents, different approaches, including fermentation, are being used to enhance specific health-beneficial compounds in these fruits and their derivatives. Because lactic acid bacteria are a fascinating group of microorganisms that are capable of yielding GABA, there is an opportunity to identify and isolate GABA-generating strains for use as starter cultures in the development and design of innovative functional fermented foods. GABA can be produced by the glutamic acid decarboxylase (GAD) pathway using Lactobacillus spp. by adding MSG as a precursor [10,47,48]. Therefore, we selected L. plantarum EJ2014 as the most appropriate GABA-producing lactic acid bacterium for our A. melanocarpa extract.
The production of GABA was significantly higher in FAME. In addition to acting as a nutritional component for L. plantarum EJ2014, the added yeast extract may have maintained bacterial growth, thereby facilitating the effective conversion of the MSG precursor into GABA. The addition of various concentrations of yeast extract has been reported to have a significant effect on the growth of Lactobacillus [49]. Similarly, the increase in acidity in the first 3 days of fermentation may be caused by the production of lactic acid by the growing L. plantarum EJ2014 strain. This decrease in pH may protect the extract from food pathogens. The subsequent increase in pH could be due to the decreased viable count of L. plantarum, which could produce less lactic acid after day 3 and accumulate the neutral amino acid GABA. This reduction in the viable cell count of L. plantarum EJ2014 may be caused by the accumulation of fermentation products and nutrient depletion with the increase in fermentation time. A similar trend was reported for Lactobacilli isolated from kimchi, in which fermentation caused a marked decrease in pH in an MSG-free MRS medium but resulted in an increase in pH in an MSG-containing medium [32]. In the present study, the reducing sugar contents were also measured during fermentation. The reducing sugar content in FAME decreased after 9 days of fermentation. L. plantarum EJ2014 is a homo-type strain that converts sugar into lactic acid, which in turn increases the acidity of fermented products [50].
In addition to the production and analysis of GABA, we determined and assessed other parameters of the extract during fermentation. The free radical scavenging activity of FAME was higher than that of the nonfermented extract. This may be due to the production of polyphenols, flavonoids, and anthocyanin in the extract, which could be triggered by fermentation. This is because the fermentation process causes the release of microbial enzymes, which in turn produce more freely available forms of plant phytochemicals, such as flavonoids, polyphenols, and anthocyanins [51]. Antioxidants play a significant role in immunomodulation [52]. These compounds regulate the immune system by interfering with gene expression, immune cell regulation, and cytokine synthesis [53,54]. The contents of different minerals significantly increased in FAME, in accordance with the findings of a previous study [55]. These micronutrients can regulate the overall disease by modulating immune functions and inflammation [56].
The production of GABA, different minerals, polyphenols, and flavonoids could have contributed to the outcome of the present study. Moreover, LC–MS/MS analysis of FAME confirmed the presence of 11 important bioactive isolates that could potentially be responsible for the immunomodulatory activities of FAME. However, as the production of GABA was also significant during the fermentation process, it can be said that GABA also greatly impacted the immunomodulation in mice.
Macrophages play an important role in acute inflammation and in the persistence of proinflammatory cytokine expression, leading to chronic inflammatory conditions [57]. FAME significantly inhibits LPS-induced NO production and iNOS mRNA expression in RAW 264.7 cells. In addition, FAME consistently suppresses the expression of TNF-α, IL-1β, IL-6, and Cox-2 mRNA. Toll-like receptors recognize many pathogens and their pathogenic components (PAMPs) and initiate the innate immune response, thereby playing crucial roles in innate immunity [58,59]. Activated TLRs are vital for effective resistance against entering pathogens. LPS initially activates TLR4 to trigger the NF-κB signaling pathway, which regulates cytokine expression and the expression of many other inflammatory genes [60]. In the present study, PCR analysis revealed that FAME significantly inhibited TLR4 expression in a dose-dependent manner. Thus, FAME alleviates LPS-induced inflammation by inhibiting the expression of TLR4, indicating the potential suitability for the treatment of immune disorders.
Neutrophils and their migration are crucial for defending the body from invading agents and microorganisms [61]. They are recruited to the site of infection to engulf pathogens in response to inflammation. Hence, they are a vital part of the innate immune system [62]. FAME may influence the function of cells in the immune system in order to increase their migration and phagocytic activity. This increased neutrophil migration may be attributed to the enhanced GABA content in FAME. Moreover, the presence of anthocyanin may trigger the migration and invasion of neutrophils to the site of infection [63]. Previous research revealed that quercetin-3-O-rutinoside [64] and quercetin-3-O-robinobioside [65] have the potential to improve the innate immune response by accelerating neutrophil migration and phagocytosis activities.
Splenocytes have the capability to boost immunity and hematopoietic functions [66]. In the present study, FAME-treated mice showed increased splenocyte proliferation. This increased splenocyte production can be indicative of enhanced humoral immunity, which can lead to increased immunoglobulin secretion by FAME. The high production of GABA may increase T-cell proliferation in experimental rat and mouse models [67,68] as GABA is essential for modulating T-cell proliferation. In addition, anthocyanin can aid splenocyte proliferation and thereby boost immunity [65].
FAME-treated mice showed higher T-lymphocyte differentiation than control mice. The regulatory effective immune function is significantly improved by the increased expression of CD4+ and CD8+ T cells because these two cell types constitute the majority of T lymphocytes and thus play pivotal roles in activating the innate immune response [69]. The enhanced expression of CD4+ and CD8+ T cells may be due to the presence of GABA [67,68]. GABA transporters have been reported to increase T-cell proliferation. Furthermore, flavonoids have been proven to be involved in the expression of CD4+ and CD8+ T cells [70]. The increase in CD8+ T cells may be caused by an increase in the level of IL-2, which is an important cytokine for the expansion of CD8+ T cells.
FAME-treated mice showed an increase in the expression of IFN-γ, IL-2, and IL-4. IL-2 is mainly secreted by T cells, and it is important for T-cell proliferation, survival, and differentiation into effector cells [71]. The increasing level of CD8+ may contribute to the elevation of IFN-γ. This has also been manifested by the proliferation of T cells and the expression of CD4+ and CD8+ cells [71,72]. In addition, IL-2 is important for the generation of memory cells and for stimulating the secretion of IFN-γ [72]. The increase in IL-2 levels could also be caused by the increase in IFN-γ secretion. The predominance of T cells was manifested by increased IFN-γ and IL-4 production [73]. The dose-dependent reduction in the secretion of proinflammatory cytokines (TNF-α and IL-6) indicates the anti-inflammatory activity of FAME, which agrees with previous findings [74]. This may be due to the combined anti-inflammatory activity of both aronia extract and GABA in the fermented extract. GABA has been reported to decrease cytokine production [67]. Viking aronia extract has been found to inhibit LPS-stimulated IL-6 expression in murine splenocytes in a dose-dependent manner [74]. The GABA signaling system is clearly active in immune cells and can affect various cell functions, such as cytokine secretion, cell proliferation, phagocytic activity, and chemotaxis [68]. Hence, GABA plays a significant role in modulating the immune system [68]. Moreover, as a result of fermentation, aronia extract produces different flavonoids. Flavonoids have been shown to have potential cytokine modulation activities [75]. Therefore, FAME may exhibit potential immunomodulatory activities due to the combined effects of these compounds.
5. Conclusions
The present study revealed that aronia extract fermented by L. plantarum EJ2014 and fortified with a high GABA and phenolic compound content could increase the migration and phagocytic activities of neutrophils. In addition, the extract increased the number and proliferation of mouse splenocytes. It also increased the expression of CD4+ and CD8+ cells and of the cytokines IFN-γ, IL-2, and IL-4. However, it decreased the expression of TNF-α and IL-6, indicating its anti-inflammatory activity. These findings emphasize the potential of FAME as a promising functional food to ameliorate impaired immunity.
Supplementary Materials
The following is available online at https://www.mdpi.com/article/10.3390/antiox10081276/s1, Table S1: The LOD and LOQ of minerals, and accuracy of mineral contents for SRM 1869.
Author Contributions
Conceptualization, S.-C.P., B.T.B., M.S.A. and S.-J.L.; methodology, M.S.A., E.-B.L., B.T.B., N.B. and S.-P.L.; software, M.S.A. and B.T.B.; validation, K.S. and S.-P.L.; investigation, S.-J.L., M.S.A. and E.-B.L.; resources, S.-J.L.; data curation, M.S.A. and B.T.B.; writing—original draft preparation, B.T.B. and M.S.A.; writing—review and editing, M.S.A. and B.T.B.; supervision, S.-C.P. and K.S.; and funding acquisition, S.-C.P. All authors have read and agreed to the published version of the manuscript.
Funding
This work was supported by the Korean Institute of Planning and Evaluation for Technology (IPET) through Technology Commercialization Support Program (314082-3); by a grant (Z-1543081-2020-22-02) from the Animal and Plant Quarantine Agency, Ministry of Agriculture, Food and Rural Affairs; and in part by The National Research Foundation of Korea (NRF) funded by the Ministry of Education (2019R1A2C2006277), Republic of Korea.
Institutional Review Board Statement
The present study was approved by the Animal Care and Ethics Committee of Kyungpook National University (KNU-2017-50).
Informed Consent Statement
Not applicable.
Data Availability Statement
All data generated for this study are contained within the article and supplementary material.
Conflicts of Interest
The authors declare no conflict of interest.
References
- Agbarya, A.; Ruimi, N.; Epelbaum, R.; Ben-Arye, E.; Mahajna, J. Natural products as potential cancer therapy enhancers: A preclinical update. SAGE Open Med. 2014, 2, 2050312114546924. [Google Scholar] [CrossRef] [Green Version]
- Borowska, S.; Brzóska, M.M. Chokeberries (Aronia melanocarpa) and their products as a possible means for the prevention and treatment of noncommunicable diseases and unfavorable health effects due to exposure to xenobiotics. Compr. Rev. Food Sci. Food Saf. 2016, 15, 982–1017. [Google Scholar] [CrossRef] [Green Version]
- Broncel, M.; Kozirog, M.; Duchnowicz, P.; Koter-Michalak, M.; Sikora, J.; Chojnowska-Jezierska, J. Aronia melanocarpa extract reduces blood pressure, serum endothelin, lipid, and oxidative stress marker levels in patients with metabolic syndrome. Med. Sci. Monit. 2009, 16, CR28–CR34. [Google Scholar]
- Valcheva-Kuzmanova, S.; Gadjeva, V.; Ivanova, D.; Belcheva, A. Antioxidant activity of Aronia melanocarpa fruit juice in vitro. Acta Aliment. 2007, 36, 425–428. [Google Scholar] [CrossRef]
- Olas, B.; Wachowicz, B.; Nowak, P.; Kedzierska, M.; Tomczak, A.; Stochma, A.; Oleszek, W.; Jeziorski, A.; Piekarski, J. Studies on antioxidant properties of polyphenol-rich extract from berries of Aronia melanocarpa in blood platelets. Acta Physiol. Pol. 2008, 59, 823. [Google Scholar]
- Birhanu, B.T.; Kim, J.-Y.; Hossain, M.A.; Choi, J.-W.; Lee, S.-P.; Park, S.-C. An in vivo immunomodulatory and anti-inflammatory study of fermented Dendropanax morbifera Léveille leaf extract. BMC Complement. Altern. Med. 2018, 18, 222. [Google Scholar] [CrossRef]
- Peres, C.M.; Peres, C.; Hernández-Mendoza, A.; Malcata, F.X. Review on fermented plant materials as carriers and sources of potentially probiotic lactic acid bacteria—With an emphasis on table olives. Trends Food Sci. Technol. 2012, 26, 31–42. [Google Scholar] [CrossRef]
- Feng, Y.; Zhang, M.; Mujumdar, A.S.; Gao, Z. Recent research process of fermented plant extract: A review. Trends Food Sci. Technol. 2017, 65, 40–48. [Google Scholar] [CrossRef]
- Bao, W.; Huang, X.; Liu, J.; Han, B.; Chen, J. Influence of Lactobacillus brevis on metabolite changes in bacteria-fermented sufu. J. Food Sci. 2020, 85, 165–172. [Google Scholar] [CrossRef]
- Cui, Y.; Miao, K.; Niyaphorn, S.; Qu, X. Production of Gamma-Aminobutyric Acid from Lactic Acid Bacteria: A Systematic Review. Int. J. Mol. Sci. 2020, 21, 995. [Google Scholar] [CrossRef] [Green Version]
- Wu, Q.; Law, Y.-S.; Shah, N.P. Dairy Streptococcus thermophilus improves cell viability of Lactobacillus brevis NPS-QW-145 and its γ-aminobutyric acid biosynthesis ability in milk. Sci. Rep. 2015, 5, 12885. [Google Scholar] [CrossRef] [Green Version]
- Li, W.; Wei, M.; Wu, J.; Rui, X.; Dong, M. Novel fermented chickpea milk with enhanced level of γ-aminobutyric acid and neuroprotective effect on PC12 cells. PeerJ 2016, 4, e2292. [Google Scholar] [CrossRef] [Green Version]
- Cataldo, P.G.; Villena, J.; Elean, M.; Savoy de Giori, G.; Saavedra, L.; Hebert, E.M. Immunomodulatory Properties of a γ-Aminobutyric Acid-Enriched Strawberry Juice Produced by Levilactobacillus brevis CRL 2013. Front. Microbiol. 2020, 11, 1–14. [Google Scholar] [CrossRef] [PubMed]
- Ramos-Ruiz, R.; Poirot, E.; Flores-Mosquera, M. GABA, a non-protein amino acid ubiquitous in food matrices. Cogent Food Agric. 2018, 4, 1534323. [Google Scholar] [CrossRef]
- EFSA Panel on Dietetic Products, N. and A. (NDA) Scientific Opinion on the substantiation of health claims related to gamma-aminobutyric acid and cognitive function (ID 1768) pursuant to Article 13(1) of Regulation (EC) No 1924/2006. EFSA J. 2009, 7, 1274. [Google Scholar] [CrossRef] [Green Version]
- Kim, J.Y.; Lee, M.Y.; Ji, G.E.; Lee, Y.S.; Hwang, K.T. Production of γ-aminobutyric acid in black raspberry juice during fermentation by Lactobacillus brevis GABA100. Int. J. Food Microbiol. 2009, 130, 12–16. [Google Scholar] [CrossRef]
- Galdeano, C.M.; Cazorla, S.I.; Dumit, J.M.L.; Vélez, E.; Perdigón, G. Beneficial effects of probiotic consumption on the immune system. Ann. Nutr. Metab. 2019, 74, 115–124. [Google Scholar]
- Zubillaga, M.; Weill, R.; Postaire, E.; Goldman, C.; Caro, R.; Boccio, J. Effect of probiotics and functional foods and their use in different diseases. Nutr. Res. 2001, 21, 569–579. [Google Scholar] [CrossRef]
- Lee, L.-S.; Jung, K.H.; Choi, U.-K.; Cho, C.-W.; Kim, K.-I.; Kim, Y.-C. Isolation and identification of lactic acid producing bacteria from kimchi and their fermentation properties of soymilk. J. Korean Soc. Food Sci. Nutr. 2013, 42, 1872–1877. [Google Scholar] [CrossRef]
- Quah, Y.; Lee, S.-J.; Lee, E.-B.; Birhanu, B.T.; Ali, M.S.; Abbas, M.A.; Boby, N.; Im, Z.-E.; Park, S.-C. Cornus officinalis Ethanolic Extract with Potential Anti-Allergic, Anti-Inflammatory, and Antioxidant Activities. Nutrients 2020, 12, 3317. [Google Scholar] [CrossRef]
- Kamiloglu, S.; Capanoglu, E. Polyphenol Content in Figs (Ficus carica L.): Effect of Sun-Drying. Int. J. Food Prop. 2015, 18, 521–535. [Google Scholar] [CrossRef]
- Nieva Moreno, M.I.; Zampini, I.C.; Ordóñez, R.M.; Jaime, G.S.; Vattuone, M.A.; Isla, M.I. Evaluation of the cytotoxicity, genotoxicity, mutagenicity, and antimutagenicity of propolis from Tucuman, Argentina. J. Agric. Food Chem. 2005, 53, 8957–8962. [Google Scholar] [CrossRef]
- Giusti, M.M.; Wrolstad, R.E. Characterization and Measurement of Anthocyanins by UV-Visible Spectroscopy. Curr. Protoc. Food Anal. Chem. 2001, F1.2.1–F1.2.13. [Google Scholar] [CrossRef]
- Marsden, W.L.; Gray, P.P.; Nippard, G.J.; Quinlan, M.R. Evaluation of the DNS method for analysing lignocellulosic hydrolysates. J. Chem. Technol. Biotechnol. 1982, 32, 1016–1022. [Google Scholar] [CrossRef]
- Cebulak, T.; Oszmiański, J.; Kapusta, I.; Lachowicz, S. Effect of UV-C radiation, ultra-sonication electromagnetic field and microwaves on changes in polyphenolic compounds in chokeberry (Aronia melanocarpa). Molecules 2017, 22, 1161. [Google Scholar] [CrossRef] [Green Version]
- Lee, J.S.; Kim, D.H.; Liu, K.; Oh, T.K.; Lee, C.H. Identification of flavonoids using liquid chromatography with electrospray ionization and ion trap tandem mass spectrometry with an MS/MS library. Rapid Commun. Mass Spectrom. 2005, 19, 3539–3548. [Google Scholar] [CrossRef] [PubMed]
- Szliszka, E.; Skaba, D.; Czuba, Z.P.; Krol, W. Inhibition of Inflammatory Mediators by Neobavaisoflavone in Activated RAW264.7 Macrophages. Molecules 2011, 16, 3701. [Google Scholar] [CrossRef] [PubMed]
- Gal-Oz, S.T.; Maier, B.; Yoshida, H.; Seddu, K.; Elbaz, N.; Czysz, C.; Zuk, O.; Stranger, B.E.; Ner-Gaon, H.; Shay, T. ImmGen report: Sexual dimorphism in the immune system transcriptome. Nat. Commun. 2019, 10, 4295. [Google Scholar] [CrossRef]
- Oertelt-Prigione, S. The influence of sex and gender on the immune response. Autoimmun. Rev. 2012, 11, A479–A485. [Google Scholar] [CrossRef]
- Class, A. OECD Guideline for Testing of Chemicals; OECD: Paris, France, 2001. [Google Scholar]
- Ahmad, W.; Jantan, I.; Kumolosasi, E.; Bukhari, S.N.A. Immunostimulatory effects of the standardized extract of Tinospora crispa on innate immune responses in Wistar Kyoto rats. Drug Des. Dev. Ther. 2015, 9, 2961. [Google Scholar]
- Fredes, C.; Montenegro, G.; Zoffoli, J.P.; Santander, F.; Robert, P. Comparison of the total phenolic content, total anthocyanin content and antioxidant activity of polyphenol-rich fruits grown in Chile. Int. J. Agric. Nat. Resour. 2014, 41, 49–60. [Google Scholar] [CrossRef] [Green Version]
- Tajner-Czopek, A.; Gertchen, M.; Rytel, E.; Kita, A.; Kucharska, A.Z.; Sokół-Łętowska, A. Study of antioxidant activity of some medicinal plants having high content of caffeic acid derivatives. Antioxidants 2020, 9, 412. [Google Scholar] [CrossRef]
- Liang, Z.; Liang, H.; Guo, Y.; Yang, D. Cyanidin 3-O-galactoside: A Natural Compound with Multiple Health Benefits. Int. J. Mol. Sci. 2021, 22, 2261. [Google Scholar] [CrossRef] [PubMed]
- Naveed, M.; Hejazi, V.; Abbas, M.; Kamboh, A.A.; Khan, G.J.; Shumzaid, M.; Ahmad, F.; Babazadeh, D.; FangFang, X.; Modarresi-Ghazani, F.; et al. Chlorogenic acid (CGA): A pharmacological review and call for further research. Biomed. Pharmacother. 2018, 97, 67–74. [Google Scholar] [CrossRef]
- Khoo, H.E.; Azlan, A.; Tang, S.T.; Lim, S.M. Anthocyanidins and anthocyanins: Colored pigments as food, pharmaceutical ingredients, and the potential health benefits. Food Nutr. Res. 2017, 61, 1361779. [Google Scholar] [CrossRef] [PubMed] [Green Version]
- Al-Musayeib, N.; Perveen, S.; Fatima, I.; Nasir, M.; Hussain, A. Antioxidant, anti-glycation and anti-inflammatory activities of phenolic constituents from Cordia sinensis. Molecules 2011, 16, 10214–10226. [Google Scholar] [CrossRef] [PubMed] [Green Version]
- Lesjak, M.; Beara, I.; Simin, N.; Pintać, D.; Majkić, T.; Bekvalac, K.; Orčić, D.; Mimica-Dukić, N. Antioxidant and anti-inflammatory activities of quercetin and its derivatives. J. Funct. Foods 2018, 40, 68–75. [Google Scholar] [CrossRef]
- Zdunić, G.; Aradski, A.A.; Gođevac, D.; Živković, J.; Laušević, S.D.; Milošević, D.K.; Šavikin, K. In vitro hypoglycemic, antioxidant and antineurodegenerative activity of chokeberry (Aronia melanocarpa) leaves. Ind. Crop. Prod. 2020, 148, 112328. [Google Scholar] [CrossRef]
- Jang, G.H.; Kim, H.W.; Lee, M.K.; Jeong, S.Y.; Bak, A.R.; Lee, D.J.; Kim, J.B. Characterization and quantification of flavonoid glycosides in the Prunus genus by UPLC-DAD-QTOF/MS. Saudi J. Biol. Sci. 2018, 25, 1622–1631. [Google Scholar] [CrossRef]
- Criste, A.; Urcan, A.C.; Bunea, A.; Pripon Furtuna, F.R.; Olah, N.K.; Madden, R.H.; Corcionivoschi, N. Phytochemical composition and biological activity of berries and leaves from four Romanian sea buckthorn (Hippophae rhamnoides L.) varieties. Molecules 2020, 25, 1170. [Google Scholar] [CrossRef] [Green Version]
- Djouossi, M.G.; Tamokou, J.d.D.; Ngnokam, D.; Kuiate, J.-R.; Tapondjou, L.A.; Harakat, D.; Voutquenne-Nazabadioko, L. Antimicrobial and antioxidant flavonoids from the leaves of Oncoba spinosa Forssk.(Salicaceae). BMC Complement. Altern. Med. 2015, 15, 1–8. [Google Scholar] [CrossRef] [Green Version]
- Sholkamy, E.N.; Ahmed, M.S.; Yasser, M.M.; Mostafa, A.A. Antimicrobial quercetin 3-O-glucoside derivative isolated from Streptomyces antibioticus strain ess_amA8. J. King Saud Univ. 2020, 32, 1838–1844. [Google Scholar] [CrossRef]
- Kolaczkowska, E.; Kubes, P. Neutrophil recruitment and function in health and inflammation. Nat. Rev. Immunol. 2013, 13, 159–175. [Google Scholar] [CrossRef]
- Haque, M.A.; Jantan, I.; Abbas Bukhari, S.N. Tinospora species: An overview of their modulating effects on the immune system. J. Ethnopharmacol. 2017, 207, 67–85. [Google Scholar] [CrossRef] [PubMed]
- Diana, M.; Quílez, J.; Rafecas, M. Gamma-aminobutyric acid as a bioactive compound in foods: A review. J. Funct. Foods 2014, 10, 407–420. [Google Scholar] [CrossRef]
- Diez-Gutiérrez, L.; San Vicente, L.; Luis, L.J.; Villarán, M.d.C.; Chávarri, M. Gamma-aminobutyric acid and probiotics: Multiple health benefits and their future in the global functional food and nutraceuticals market. J. Funct. Foods 2020, 64, 103669. [Google Scholar] [CrossRef]
- Das, D.; Goyal, A. Antioxidant activity and γ-aminobutyric acid (GABA) producing ability of probiotic Lactobacillus plantarum DM5 isolated from Marcha of Sikkim. LWT Food Sci. Technol. 2015, 61, 263–268. [Google Scholar] [CrossRef]
- Nikmaram, N.; Dar, B.N.; Roohinejad, S.; Koubaa, M.; Barba, F.J.; Greiner, R.; Johnson, S.K. Recent advances in γ-aminobutyric acid (GABA) properties in pulses: An overview. J. Sci. Food Agric. 2017, 97, 2681–2689. [Google Scholar] [CrossRef] [Green Version]
- Yoshida, S.; Okano, K.; Tanaka, T.; Ogino, C.; Kondo, A. Homo-D-lactic acid production from mixed sugars using xylose-assimilating operon-integrated Lactobacillus plantarum. Appl. Microbiol. Biotechnol. 2011, 92, 67–76. [Google Scholar] [CrossRef]
- Messens, W.; De Vuyst, L. Inhibitory substances produced by Lactobacilli isolated from sourdoughs—A review. Int. J. Food Microbiol. 2002, 72, 31–43. [Google Scholar] [CrossRef]
- Schubert, K.; Olde Damink, S.W.M.; von Bergen, M.; Schaap, F.G. Interactions between bile salts, gut microbiota, and hepatic innate immunity. Immunol. Rev. 2017, 279, 23–35. [Google Scholar] [CrossRef]
- Vajdy, M. Immunomodulatory properties of vitamins, flavonoids and plant oils and their potential as vaccine adjuvants and delivery systems. Expert Opin. Biol. Ther. 2011, 11, 1501–1513. [Google Scholar] [CrossRef]
- Yahfoufi, N.; Alsadi, N.; Jambi, M.; Matar, C. The immunomodulatory and anti-inflammatory role of polyphenols. Nutrients 2018, 10, 1618. [Google Scholar] [CrossRef] [PubMed] [Green Version]
- Nkhata, S.G.; Ayua, E.; Kamau, E.H.; Shingiro, J.-B. Fermentation and germination improve nutritional value of cereals and legumes through activation of endogenous enzymes. Food Sci. Nutr. 2018, 6, 2446–2458. [Google Scholar] [CrossRef] [Green Version]
- Islam, M.A.; Khandker, S.S.; Kotyla, P.J.; Hassan, R. Immunomodulatory Effects of Diet and Nutrients in Systemic Lupus Erythematosus (SLE): A Systematic Review. Front. Immunol. 2020, 11, 1477. [Google Scholar] [CrossRef]
- Valledor, A.F.; Comalada, M.; Santamaría-Babi, L.F.; Lloberas, J.; Celada, A. Macrophage proinflammatory activation and deactivation: A question of balance. Adv. Immunol. 2010, 108, 1–20. [Google Scholar] [PubMed]
- Akira, S.; Uematsu, S.; Takeuchi, O. Pathogen recognition and innate immunity. Cell 2006, 124, 783–801. [Google Scholar] [CrossRef] [Green Version]
- Beutler, B.; Hoebe, K.; Du, X.; Ulevitch, R.J. How we detect microbes and respond to them: The Toll-like receptors and their transducers. J. Leukoc. Biol. 2003, 74, 479–485. [Google Scholar] [CrossRef] [PubMed] [Green Version]
- Vunta, H.; Davis, F.; Palempalli, U.D.; Bhat, D.; Arner, R.J.; Thompson, J.T.; Peterson, D.G.; Reddy, C.C.; Prabhu, K.S. The anti-inflammatory effects of selenium are mediated through 15-deoxy-Δ12, 14-prostaglandin J2 in macrophages. J. Biol. Chem. 2007, 282, 17964–17973. [Google Scholar] [CrossRef] [PubMed] [Green Version]
- Kruger, P.; Saffarzadeh, M.; Weber, A.N.R.; Rieber, N.; Radsak, M.; von Bernuth, H.; Benarafa, C.; Roos, D.; Skokowa, J.; Hartl, D. Neutrophils: Between host defence, immune modulation, and tissue injury. PLoS Pathog. 2015, 11, e1004651. [Google Scholar] [CrossRef] [Green Version]
- Filias, A.; Theodorou, G.L.; Mouzopoulou, S.; Varvarigou, A.A.; Mantagos, S.; Karakantza, M. Phagocytic ability of neutrophils and monocytes in neonates. BMC Pediatr. 2011, 11, 1–6. [Google Scholar] [CrossRef] [Green Version]
- Peiffer, D.S.; Wang, L.-S.; Zimmerman, N.P.; Ransom, B.W.S.; Carmella, S.G.; Kuo, C.-T.; Chen, J.-H.; Oshima, K.; Huang, Y.-W.; Hecht, S.S. Dietary consumption of black raspberries or their anthocyanin constituents alters innate immune cell traffickg in esophageal cancer. Cancer Immunol. Res. 2016, 4, 72–82. [Google Scholar] [CrossRef] [PubMed] [Green Version]
- Akbay, P.; Basaran, A.A.; Undeger, U.; Basaran, N. In vitro immunomodulatory activity of flavonoid glycosides from Urtica dioica L. Phyther. Res. 2003, 17, 34–37. [Google Scholar] [CrossRef] [PubMed]
- G Mercader, A.; B Pomilio, A. (Iso) flav (an) ones, chalcones, catechins, and theaflavins as anticarcinogens: Mechanisms, anti-multidrug resistance and QSAR Studies. Curr. Med. Chem. 2012, 19, 4324–4347. [Google Scholar] [CrossRef] [PubMed]
- Bronte, V.; Pittet, M.J. The spleen in local and systemic regulation of immunity. Immunity 2013, 39, 806–818. [Google Scholar] [CrossRef] [Green Version]
- Mendu, S.K.; Åkesson, L.; Jin, Z.; Edlund, A.; Cilio, C.; Lernmark, Å.; Birnir, B. Increased GABAA channel subunits expression in CD8+ but not in CD4+ T cells in BB rats developing diabetes compared to their congenic littermates. Mol. Immunol. 2011, 48, 399–407. [Google Scholar] [CrossRef] [PubMed] [Green Version]
- Jin, Z.; Mendu, S.K.; Birnir, B. GABA is an effective immunomodulatory molecule. Amino Acids 2013, 45, 87–94. [Google Scholar] [CrossRef] [PubMed] [Green Version]
- Luckheeram, R.V.; Zhou, R.; Verma, A.D.; Xia, B. CD4+ T cells: Differentiation and functions. Clin. Dev. Immunol. 2012, 2012, 925135. [Google Scholar] [CrossRef] [Green Version]
- Hosseinzade, A.; Sadeghi, O.; Naghdipour Biregani, A.; Soukhtehzari, S.; Brandt, G.S.; Esmaillzadeh, A. Immunomodulatory Effects of Flavonoids: Possible Induction of T CD4+ Regulatory Cells Through Suppression of mTOR Pathway Signaling Activity. Front. Immunol. 2019, 10, 51. [Google Scholar] [CrossRef] [Green Version]
- Cho, J.-H.; Boyman, O.; Kim, H.-O.; Hahm, B.; Rubinstein, M.P.; Ramsey, C.; Kim, D.M.; Surh, C.D.; Sprent, J. An intense form of homeostatic proliferation of naive CD8+ cells driven by IL-2. J. Exp. Med. 2007, 204, 1787–1801. [Google Scholar] [CrossRef] [PubMed]
- Bachmann, M.F.; Wolint, P.; Walton, S.; Schwarz, K.; Oxenius, A. Differential role of IL-2R signaling for CD8+ T cell responses in acute and chronic viral infections. Eur. J. Immunol. 2007, 37, 1502–1512. [Google Scholar] [CrossRef] [PubMed]
- Wills-Karp, M. Immunologic basis of antigen-induced airway hyperresponsiveness. Annu. Rev. Immunol. 1999, 17, 255–281. [Google Scholar] [CrossRef] [PubMed]
- Martin, D.A.; Taheri, R.; Brand, M.H.; Draghi, A., II; Sylvester, F.A.; Bolling, B.W. Anti-inflammatory activity of aronia berry extracts in murine splenocytes. J. Funct. Foods 2014, 8, 68–75. [Google Scholar] [CrossRef]
- Leyva-López, N.; Gutierrez-Grijalva, E.P.; Ambriz-Perez, D.L.; Heredia, J.B. Flavonoids as cytokine modulators: A possible therapy for inflammation-related diseases. Int. J. Mol. Sci. 2016, 17, 921. [Google Scholar] [CrossRef] [PubMed]
Publisher’s Note: MDPI stays neutral with regard to jurisdictional claims in published maps and institutional affiliations. |
© 2021 by the authors. Licensee MDPI, Basel, Switzerland. This article is an open access article distributed under the terms and conditions of the Creative Commons Attribution (CC BY) license (https://creativecommons.org/licenses/by/4.0/).







