Analysis of Carotenoids in Haloarchaea Species from Atacama Saline Lakes by High Resolution UHPLC-Q-Orbitrap-Mass Spectrometry: Antioxidant Potential and Biological Effect on Cell Viability
Abstract
:1. Introduction
2. Materials and Methods
2.1. Chemicals
2.2. Strain and Cultivation Conditions
2.3. DNA Extraction and Amplification of 16S rRNA Encoding Gene
2.4. Phylogenetics Analysis
2.5. Preparation of the Sample for Analyses
2.6. Determination of Total Phenols Content
2.7. Determination of Total Carotenoids
2.8. Antioxidant Tests
2.8.1. 1,1-Diphenyl-2-Picrylhydrazyl Radical Free Radical Scavenging Activity
2.8.2. ABTS Bleaching Capacity
2.8.3. Ferric Reduction Antioxidant Power Test (FRAP)
2.9. Cholinesterases’ (ChE) Enzyme Inhibitory Activity
2.10. UHPLC PDA-MS Instrument
2.11. Quantitative HPLC of Carotenoids
2.12. MS Parameters
2.13. HaCaT Cell Culture
2.14. Cellular Viability and Stimulation of HaCaT Cells
2.15. Oxidative Stress: Nitrite (NO2−) Concentration Assay
2.16. Docking Assays of Carotenoids in ChE Enzymes
3. Results and Discussion
3.1. Identification of Haloarchaea Strain
3.2. Identification of the Carotenoids Compounds
3.3. Total Phenols, Carotenoids Content, Enzyme Inhibitory Activity and Antioxidant Properties of Haloarchaea
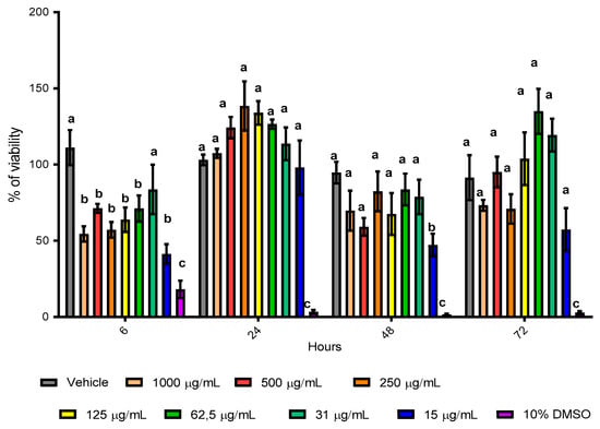
3.4. Effect of Biomass Haloarchaea in Skin Cell Line
3.5. Docking Assays of Carotenoids in Haloarchaea Species
3.5.1. Acetylcholinesterase Docking Results
3.5.2. Butyrylcholinesterase Docking Results
4. Conclusions
Supplementary Materials
Author Contributions
Funding
Institutional Review Board Statement
Informed Consent Statement
Data Availability Statement
Conflicts of Interest
References
- Lizama, C.; Monteoliva-Sánchez, M.; Prado, B.; Ramos-Cormenzana, A.; Weckesser, J.; Campos, V. Taxonomic study of extreme halophilic archaea isolated from the “Salar de Atacama”, Chile. Syst. Appl. Microbiol. 2001, 24, 464–474. [Google Scholar] [CrossRef] [Green Version]
- Farias, M.E.; Rasuk, M.C.; Gallagher, K.L.; Contreras, M.; Kurth, D.; Fernandez, A.B.; Poiré, D.; Novoa, F.; Visscher, P.T. Prokaryotic diversity and biogeochemical characteristics of benthic microbial ecosystems at La Brava, a hypersaline lake at Salar de Atacama, Chile. PLoS ONE 2017, 12, e0186867. [Google Scholar] [CrossRef] [Green Version]
- Zhang, J.; Sun, Z.; Sun, P.; Chen, T.; Chen, F. Microalgal carotenoids: Beneficial effects and potential in human health. Food Funct. 2014, 5, 413–425. [Google Scholar] [CrossRef]
- Vílchez, C.; Forján, E.; Cuaresma, M.; Bédmar, F.; Garbayo, I.; Vega, J.M. Marine carotenoids: Biological functions and commercial applications. Mar. Drugs 2011, 9, 319–333. [Google Scholar] [CrossRef] [Green Version]
- Sun, T.; Yuan, H.; Cao, H.; Yazdani, M.; Tadmor, Y.; Li, L. Carotenoid Metabolism in Plants: The Role of Plastids. Mol. Plant 2018, 11, 58–74. [Google Scholar] [CrossRef] [PubMed] [Green Version]
- Yatsunami, R.; Ando, A.; Yang, Y.; Takaichi, S.; Kohno, M.; Matsumura, Y.; Ikeda, H.; Fukui, T.; Nakasone, K.; Fujita, N.; et al. Identification of carotenoids from the extremely halophilic archaeon Haloarcula japonica. Front. Microbiol. 2014, 5. [Google Scholar] [CrossRef]
- Mata-Gómez, L.C.; Montañez, J.C.; Méndez-Zavala, A.; Aguilar, C.N. Biotechnological production of carotenoids by yeasts: An overview. Microb. Cell Fact. 2014, 13, 1–11. [Google Scholar] [CrossRef] [Green Version]
- Dufossé, L.; Fouillaud, M.; Caro, Y.; Mapari, S.A.S.; Sutthiwong, N. Filamentous fungi are large-scale producers of pigments and colorants for the food industry. Curr. Opin. Biotechnol. 2014, 26, 56–61. [Google Scholar] [CrossRef]
- Calegari-Santos, R.; Diogo, R.A.; Fontana, J.D.; Bonfim, T.M.B. Carotenoid Production by Halophilic Archaea under Different Culture Conditions. Curr. Microbiol. 2016, 72, 641–651. [Google Scholar] [CrossRef] [PubMed]
- Jehlička, J.; Edwards, H.G.M.; Oren, A. Bacterioruberin and salinixanthin carotenoids of extremely halophilic Archaea and Bacteria: A Raman spectroscopic study. Spectrochim. Acta Part A Mol. Biomol. Spectrosc. 2013, 106, 99–103. [Google Scholar] [CrossRef] [PubMed]
- Naziri, D.; Hamidi, M.; Hassanzadeh, S.; Tarhriz, V.; Zanjani, B.M.; Nazemyieh, H.; Hejazi, M.A.; Hejazi, M.S. Analysis of carotenoid production by Halorubrum sp. TBZ126; an extremely halophilic archeon from Urmia Lake. Adv. Pharm. Bull. 2014, 4, 61–67. [Google Scholar] [CrossRef] [PubMed] [Green Version]
- Mandelli, F.; Miranda, V.S.; Rodrigues, E.; Mercadante, A.Z. Identification of carotenoids with high antioxidant capacity produced by extremophile microorganisms. World J. Microbiol. Biotechnol. 2012, 28, 1781–1790. [Google Scholar] [CrossRef]
- De la Vega, M.; Sayago, A.; Ariza, J.; Barneto, A.G.; León, R. Characterization of a bacterioruberin-producing Haloarchaea isolated from the marshlands of the Odiel river in the southwest of Spain. Biotechnol. Prog. 2016, 32, 592–600. [Google Scholar] [CrossRef]
- Flores, N.; Hoyos, S.; Venegas, M.; Galetović, A.; Zúñiga, L.M.; Fábrega, F.; Paredes, B.; Salazar-Ardiles, C.; Vilo, C.; Ascaso, C.; et al. Haloterrigena sp. Strain SGH1, a Bacterioruberin-Rich, Perchlorate-Tolerant Halophilic Archaeon Isolated From Halite Microbial Communities, Atacama Desert, Chile. Front. Microbiol. 2020, 11, 324. [Google Scholar] [CrossRef] [PubMed]
- Abbes, M.; Baati, H.; Guermazi, S.; Messina, C.; Santulli, A.; Gharsallah, N.; Ammar, E. Biological properties of carotenoids extracted from Halobacterium halobium isolated from a Tunisian solar saltern. BMC Complement. Altern. Med. 2013, 13, 255. [Google Scholar] [CrossRef] [PubMed] [Green Version]
- Zalazar, L.; Pagola, P.; Miró, M.V.; Churio, M.S.; Cerletti, M.; Martínez, C.; Iniesta-Cuerda, M.; Soler, A.J.; Cesari, A.; De Castro, R. Bacterioruberin extracts from a genetically modified hyperpigmented Haloferax volcanii strain: Antioxidant activity and bioactive properties on sperm cells. J. Appl. Microbiol. 2019, 126, 796–810. [Google Scholar] [CrossRef] [PubMed]
- Fariq, A.; Yasmin, A.; Jamil, M. Production, characterization and antimicrobial activities of bio-pigments by Aquisalibacillus elongatus MB592, Salinicoccus sesuvii MB597, and Halomonas aquamarina MB598 isolated from Khewra Salt Range, Pakistan. Extremophiles 2019, 23, 435–449. [Google Scholar] [CrossRef]
- Hou, J.; Cui, H.L. In Vitro Antioxidant, Antihemolytic, and Anticancer Activity of the Carotenoids from Halophilic Archaea. Curr. Microbiol. 2018, 75, 266–271. [Google Scholar] [CrossRef]
- Hegazy, G.E.; Abu-Serie, M.M.; Abo-Elela, G.M.; Ghozlan, H.; Sabry, S.A.; Soliman, N.A.; Abdel-Fattah, Y.R. In vitro dual (anticancer and antiviral) activity of the carotenoids produced by haloalkaliphilic archaeon Natrialba sp. M6. Sci. Rep. 2020, 10, 1–14. [Google Scholar] [CrossRef]
- Urdiain, M.; López-López, A.; Gonzalo, C.; Busse, H.J.; Langer, S.; Kämpfer, P.; Rosselló-Móra, R. Reclassification of Rhodobium marinum and Rhodobium pfennigii as Afifella marina gen. nov. comb. nov. and Afifella pfennigii comb. nov., a new genus of photoheterotrophic Alphaproteobacteria and emended descriptions of Rhodobium, Rhodobium orientis and Rhodobium gokarnense. Syst. Appl. Microbiol. 2008, 31, 339–351. [Google Scholar] [CrossRef]
- Delong, E.F. Archaea in coastal marine environments (achabaterla/phyoey/batwe nt/n a eclogU). Proc. Natl. Acad. Sci. USA 1992, 89, 5685–5689. [Google Scholar] [CrossRef] [Green Version]
- Weisburg, W.G.; Barns, S.M.; Pelletier, D.A.; Lane, D.J. 16S ribosomal DNA amplification for phylogenetic study. J. Bacteriol. 1991, 173, 697–703. [Google Scholar] [CrossRef] [Green Version]
- Stahl, A.D. Nucleic Acid Techniques in Bacterial Systematics. Dev. Appl. Nucleic Acid Probes 1991, 120, 205–248. [Google Scholar]
- Kumar, S.; Stecher, G.; Li, M.; Knyaz, C.; Tamura, K. MEGA X: Molecular evolutionary genetics analysis across computing platforms. Mol. Biol. Evol. 2018, 35, 1547–1549. [Google Scholar] [CrossRef]
- Giani, M.; Martínez-Espinosa, R.M. Carotenoids as a Protection Mechanism against Oxidative Stress in Haloferax mediterranei. Antioxidants 2020, 9, 1060. [Google Scholar] [CrossRef] [PubMed]
- Simirgiotis, M.J.; Schmeda-Hirschmann, G.; Bórquez, J.; Kennelly, E.J. The Passiflora tripartita (banana passion) fruit: A source of bioactive flavonoid C-glycosides isolated by HSCCC and characterized by HPLC-DAD-ESI/MS/MS. Molecules 2013, 18, 1672. [Google Scholar] [CrossRef]
- Brito, A.; Areche, C.; Sepúlveda, B.; Kennelly, E.J.; Simirgiotis, M.J. Anthocyanin characterization, total phenolic quantification and antioxidant features of some chilean edible berry extracts. Molecules 2014, 19, 936. [Google Scholar] [CrossRef] [PubMed] [Green Version]
- Lichtenthaler, H.K.; Wellburn, A.R. Determinations of total carotenoids and chlorophylls a and b of leaf extracts in different solvents. Biochem. Soc. Trans. 1983, 11, 591–592. [Google Scholar] [CrossRef] [Green Version]
- Aguilera, Á.; Suominen, S.; Pétursdóttir, S.; Olgudóttir, E.; Guðmundsdóttir, E.E.; Altamirano, M.; González-Toril, E.; Hreggviðsson, G.Ó. Physiological plasticity of high-temperature intertidal cyanobacterial microbial mats to temperature and salinity: Daily and seasonal in situ photosynthetic performance. Eur. J. Phycol. 2020, 55, 223–233. [Google Scholar] [CrossRef]
- De Carvalho, L.M.J.; Gomes, P.B.; de Oliveira Godoy, R.L.; Pacheco, S.; do Monte, P.H.F.; de Carvalho, J.L.V.; Nutti, M.R.; Neves, A.C.L.; Vieira, A.C.R.A.; Ramos, S.R.R. Total carotenoid content, α-carotene and β-carotene, of landrace pumpkins (Cucurbita moschata Duch): A preliminary study. Food Res. Int. 2012, 47, 337–340. [Google Scholar] [CrossRef] [Green Version]
- Zeraik, M.L.; Queiroz, E.F.; Marcourt, L.; Ciclet, O.; Castro-Gamboa, I.; Silva, D.H.S.; Cuendet, M.; da Silva Bolzani, V.; Wolfender, J.-L. Antioxidants, quinone reductase inducers and acetylcholinesterase inhibitors from Spondias tuberosa fruits. J. Funct. Foods 2016, 21, 396–405. [Google Scholar] [CrossRef] [Green Version]
- Barrientos, R.; Fernández-Galleguillos, C.; Pastene, E.; Simirgiotis, M.; Romero-Parra, J.; Ahmed, S.; Echeverría, J. Metabolomic Analysis, Fast Isolation of Phenolic Compounds, and Evaluation of Biological Activities of the Bark From Weinmannia trichosperma Cav. (Cunoniaceae). Front. Pharmacol. 2020, 11, 780. [Google Scholar] [CrossRef] [PubMed]
- Gómez-Villegas, P.; Vigara, J.; Vila, M.; Varela, J.; Barreira, L.; Léon, R. Antioxidant, antimicrobial, and bioactive potential of two new haloarchaeal strains isolated from odiel salterns (Southwest Spain). Biology 2020, 9, 298. [Google Scholar] [CrossRef]
- Kuskoski, E.M.; Asuero, A.G.; García-Parilla, M.C.; Troncoso, A.M.; Fett, R. Actividad antioxidante de pigmentos antociánicos. Ciênc. Tecnol. Aliment. 2004, 24, 691–693. [Google Scholar] [CrossRef] [Green Version]
- Areche, C.; Hernandez, M.; Cano, T.; Ticona, J.; Cortes, C.; Simirgiotis, M.; Caceres, F.; Borquez, J.; Echeverría, J.; Sepulveda, B. Corryocactus brevistylus (K. Schum. ex Vaupel) Britton & Rose (Cactaceae): Antioxidant, Gastroprotective Effects, and Metabolomic Profiling by Ultrahigh-Pressure Liquid Chromatography and Electrospray High Resolution Orbitrap Tandem Mass Spectrometry. Front. Pharmacol. 2020, 11, 417. [Google Scholar] [CrossRef] [PubMed]
- Benzie, I.F.F.; Strain, J.J. The Ferric Reducing Ability of Plasma (FRAP) as a Measure of “Antioxidant Power”: The FRAP Assay. Anal. Biochem. 1996, 239, 70–76. [Google Scholar] [CrossRef] [Green Version]
- Mocan, A.; Zengin, G.; Simirgiotis, M.; Schafberg, M.; Mollica, A.; Vodnar, D.C.; Crişan, G.; Rohn, S. Functional constituents of wild and cultivated Goji (L. barbarum L.) leaves: Phytochemical characterization, biological profile, and computational studies. J. Enzyme Inhib. Med. Chem. 2017, 32, 153–168. [Google Scholar] [CrossRef] [Green Version]
- Keerthi, S.; Koduru, U.D.; Nittala, S.S.; Parine, N.R. The heterotrophic eubacterial and archaeal co-inhabitants of the halophilic Dunaliella salina in solar salterns fed by Bay of Bengal along south eastern coast of India. Saudi J. Biol. Sci. 2018, 25, 1411–1419. [Google Scholar] [CrossRef] [Green Version]
- Balasubramaniam, V.; June Chelyn, L.; Vimala, S.; Mohd Fairulnizal, M.N.; Brownlee, I.A.; Amin, I. Carotenoid composition and antioxidant potential of Eucheuma denticulatum, Sargassum polycystum and Caulerpa lentillifera. Heliyon 2020, 6, e04654. [Google Scholar] [CrossRef]
- Frisch, A. Gaussian 09W Reference; Gaussian: Wallingford, UK, 2009. [Google Scholar]
- BLAST: Basic Local Alignment Search Tool. Available online: https://blast.ncbi.nlm.nih.gov/Blast.cgi (accessed on 26 July 2021).
- Nei, M.; Kumar, S. Molecular Evolution and Phylogenetics; Oxford University Press (OUP): Oxford, UK, 2000. [Google Scholar]
- Sahli, K.; Gomri, M.A.; Esclapez, J.; Gómez-Villegas, P.; Ghennai, O.; Bonete, M.-J.; León, R.; Kharroub, K. Bioprospecting and characterization of pigmented halophilic archaeal strains from Algerian hypersaline environments with analysis of carotenoids produced by Halorubrum sp. BS2. J. Basic Microbiol. 2020, 60, 624–638. [Google Scholar] [CrossRef]
- Rodrigo-Baños, M.; Garbayo, I.; Vílchez, C.; Bonete, M.J.; Martínez-Espinosa, R.M. Carotenoids from Haloarchaea and their potential in biotechnology. Mar. Drugs 2015, 13, 5508–5532. [Google Scholar] [CrossRef] [Green Version]
- Squillaci, G.; Parrella, R.; Carbone, V.; Minasi, P.; La Cara, F.; Morana, A. Carotenoids from the extreme halophilic archaeon Haloterrigena turkmenica: Identification and antioxidant activity. Extremophiles 2017, 21, 933–945. [Google Scholar] [CrossRef]
- Yang, Y.; Yatsunami, R.; Ando, A.; Miyoko, N.; Fukui, T.; Takaichi, S.; Nakamura, S. Complete biosynthetic pathway of the C50 carotenoid bacterioruberin from lycopene in the extremely halophilic archaeon Haloarcula japonica. J. Bacteriol. 2015, 197, 1614–1623. [Google Scholar] [CrossRef] [PubMed] [Green Version]
- Asker, D.; Awad, T.; Ohta, Y. Lipids of Haloferax alexandrinus strain TMT: An extremely halophilic canthaxanthin-producing archaeon. J. Biosci. Bioeng. 2002, 93, 37–43. [Google Scholar] [CrossRef]
- Safarpour, A.; Ebrahimi, M.; Fazeli, S.A.S.; Amoozegar, M.A. Supernatant metabolites from Halophilic Archaea to reduce tumorigenesis in prostate cancer in-vitro and in-vivo. Iran. J. Pharm. Res. 2019, 18, 241–253. [Google Scholar] [CrossRef] [PubMed]
- Dewar, M.J.S.; Zoebisch, E.G.; Healy, E.F.; Stewart, J.J.P. AM1: A New General Purpose Quantum Mechanical Molecular Model1. J. Am. Chem. Soc. 1985, 107, 3902–3909. [Google Scholar] [CrossRef]
- Greenblatt, H.M.; Kryger, G.; Lewis, T.; Silman, I.; Sussman, J.L. Structure of acetylcholinesterase complexed with (-)-galanthamine at 2.3 Å resolution. FEBS Lett. 1999, 463, 321–326. [Google Scholar] [CrossRef] [Green Version]
- Nachon, F.; Ehret-Sabatier, L.; Loew, D.; Colas, C.; Van Dorsselaer, A.; Goeldner, M. Trp82 and Tyr332 are involved in two quaternary ammonium binding domains of human butyrylcholinesterase as revealed by photo affinity labeling with [3H]DDF. Biochemistry 1998, 37, 10507–10513. [Google Scholar] [CrossRef]
- Berman, H.M.; Westbrook, J.; Feng, Z.; Gilliland, G.; Bhat, T.N.; Weissig, H.; Shindyalov, I.N.; Bourne, P.E. The Protein Data Bank. Nucleic Acids Res. 2000, 28, 235–242. [Google Scholar] [CrossRef] [Green Version]
- Morris, G.M.; Ruth, H.; Lindstrom, W.; Sanner, M.F.; Belew, R.K.; Goodsell, D.S.; Olson, A.J. Software news and updates AutoDock4 and AutoDockTools4: Automated docking with selective receptor flexibility. J. Comput. Chem. 2009, 30, 2785–2791. [Google Scholar] [CrossRef] [Green Version]
- Silman, I.; Harel, M.; Axelsen, P.; Raves, M.; Sussman, J.L. Three-dimensional structures of acetylcholinesterase and of its complexes with anticholinesterase agents. In Biochemical Society Transactions; Portland Press Ltd.: London, UK, 1994; Volume 22, pp. 745–749. [Google Scholar]
- Sussman, J.L.; Harel, M.; Frolow, F.; Oefner, C.; Goldman, A.; Toker, L.; Silman, I. Atomic structure of acetylcholinesterase from Torpedo californica: A prototypic acetylcholine-binding protein. Science 1991, 253, 872–879. [Google Scholar] [CrossRef] [PubMed]
- Nicolet, Y.; Lockridge, O.; Masson, P.; Fontecilla-Camps, J.C.; Nachon, F. Crystal Structure of Human Butyrylcholinesterase and of Its Complexes with Substrate and Products. J. Biol. Chem. 2003, 278, 41141–41147. [Google Scholar] [CrossRef] [PubMed] [Green Version]
- Tallini, L.R.; Bastida, J.; Cortes, N.; Osorio, E.H.; Theoduloz, C.; Schmeda-Hirschmann, G. Cholinesterase inhibition activity, alkaloid profiling and molecular docking of chilean rhodophiala (Amaryllidaceae). Molecules 2018, 23, 1532. [Google Scholar] [CrossRef] [PubMed] [Green Version]
- Thomsen, R.; Christensen, M.H. MolDock: A new technique for high-accuracy molecular docking. J. Med. Chem. 2006, 49, 3315–3321. [Google Scholar] [CrossRef] [PubMed]
- PyMOL|pymol.org. Available online: https://pymol.org/2/ (accessed on 6 July 2021).
- Kovarik, Z.; Radić, Z.; Berman, H.A.; Simeon-Rudolf, V.; Reiner, E.; Taylor, P. Acetylcholinesterase active centre and gorge conformations analysed by combinatorial mutations and enantiomeric phosphonates. Biochem. J. 2003, 373, 33–40. [Google Scholar] [CrossRef] [PubMed]
- Chatonnet, A.; Lockridge, O. Comparison of butyrylcholinesterase and acetylcholinesterase. Biochem. J. 1989, 260, 625–634. [Google Scholar] [CrossRef]
- Howes, M.-J.R.; Perry, N.S.L.; Houghton, P.J. Plants with traditional uses and activities, relevant to the management of Alzheimer’s disease and other cognitive disorders. Phyther. Res. 2003, 17, 1–18. [Google Scholar] [CrossRef]










| Peak # | Rt (min.) | λ max (nm) | Tentative Identification | Molecular Formula | Theoretical Mass (m/z) | Measured Mass (m/z) | Accuracy (δppm) | MSn ions (m/z) |
|---|---|---|---|---|---|---|---|---|
| 1 | 2.75 | Unknown | - | 156.04250 | ||||
| 2 | 2.75 | Unknown | - | 220.11290 | ||||
| 3 | 2.44 | Unknown | - | 394.29160 | ||||
| 4 | 2.75 | Possibly glucosyl bacterioruberin derivative | C55H83O8 | 871.61510 | 420.30792 | |||
| 5 | 4.45 | 318, 388, 466, 495, 528 | Bacterioruberin | C50H74O4 | 740.57436 | 740.59998 | 34.59 | 665.54810, 681.12321 |
| 6 | 4.92 | 387, 466, 492, 525 | 5-cis-Bacterioruberin | C50H74O4 | 740.57436 | 740.60022 | 34.91 | 443.30157, 723.32542, |
| 7 | 5.91 | 387, 466, 492, 525 | 9-cis-Bacterioruberin | C50H74O4 | 740.57436 | 740.60052 | 35.32 | 682.55681,577.12548 |
| 8 | 6.31 | 387, 466, 488, 525 | 13-cis-Bacterioruberin | C50H74O4 | 740.57436 | 740.59991 | 34.50 | 682.55310 |
| 9 | 7.02 | 387, 466, 488, 525 | 5-cis-26-cis-Bacterioruberin | C50H74O4 | 740.57436 | 740.60034 | 34.50 | |
| 10 | 8.04 | 387, 466, 488, 525 | 9-cis-26-cis-Bacterioruberin | C50H74O4 | 740.57436 | 740.599991 | 34.60 | |
| 11 | 9.52 | 318, 369, 388, 465, 494, 528 | Monoanhidrobacterioruberin | C50H74O3 | 722.56680 | 722.58799 | 29.94 | |
| 12 | 11.26 | 369, 385, 465, 492, 524 | 5-cis-Monoanhidrobacterioruberin | C50H74O3 | 722.56680 | 722.58820 | 29.61 | |
| 13 | 11.61 | 318, 369, 388, 459, 484, 516 | Reduced monoanhidrobacterioruberin | C50H76O3 | 724.57945 | 724.60364 | 33.38 | |
| 14 | 12.09 | 318, 369, 388, 465, 495, 528 | 9-cis-monoanhidrobacterioruberin | C50H74O3 | 722.56680 | 722.58856 | 30.11 | |
| 15 | 12.94 | 318, 369, 388, 465, 495, 528 | 13-cis-monoanhidrobacterioruberin | C50H74O3 | 722.56680 | 722.58826 | 29.69 | |
| 16 | 13.51 | 340,377, 458,483,515 | Reduced monoanhidrobacterioruberin | C50H76O3 | 724.57945 | 724.60413 | 34.06 | |
| 17 | 15.31 | 370, 389, 460, 494, 527 | Bisanhidrobacterioruberin | C50H72O2 | 704.55323 | 704.57642 | 32.91 | |
| 18 | 15.84 | 370, 386, 460, 491, 524 | 5-cis-Bisanhidrobacterioruberin | C50H72O2 | 704.55323 | 704.57617 | 32.55 | |
| 19 | 16.26 | 370, 386, 464, 489, 524 | 9-cis-Bisanhidrobacterioruberin | C50H72O2 | 704.55323 | 704.57660 | 33.16 | |
| 20 | 16.86 | 370, 388,459, 485, 517 | Reduced Bisanhidrobacterioruberin | C50H74O2 | 706.56888 | 706.59619 | 38.65 | |
| 21 | 17.83 | 17.83 | Unknown | - | - | 475.44403 | ||
| 22 | Unknown | - | - | 708.60803 |
| Sample | DPPH a | ABTS b | FRAP c | TPC d | TCC e | ACHe f | BuCHe f |
|---|---|---|---|---|---|---|---|
| Te Se-85 | 55.43 ± 3.26 i (IC50 = 4.73 ± 0.02 μg/mL) | 473.50 ± 15.85 (IC50 = 7.98 ± 0.03 μg/mL) | 878.07 ± 11.60 | 175.62 ± 8.26 | 714.4 ± 11.5 | 2.96 ± 0.08 | 2.39 ± 0.09 |
| Te Se-86 | 59.14 ± 9.54 i (IC50 = 2.95 ± 0.02 μg/mL) | 570.54 ± 15.45 (IC50 = 4.23 ± 0.02 μg/mL) | 1023.03 ± 10.23 | 199.32 ± 7.54 | 950.2 ± 15.5 | 4.24 ± 0.10 | 8.63 ± 0.06 |
| ALT-23 | 39.84 ± 6.21 h (IC50 = 8.83 ± 0.03 μg/mL) | 342.46 ± 10.95 (IC50 = 12.12 ± 0.04 μg/mL) | 669.26 ± 8.89 | 136.63 ± 5.22 | 522.05 ± 18.7 k,l | 7.89 ± 0.04 | 18.33 ± 0.07 |
| TeSe-41 | 41.11 ± 6.02 h (IC50 = 6.25 ± 0.01 μg/mL) | 376.38 ± 12.06 (IC50 = 9.32 ± 0.02 μg/mL) | 762.50 ± 10.64 | 146.19 ± 6.27 | 540.7 ± 12.2 l | 2.57 ± 0.04 | 7.57 ± 0.05 |
| TeSe-51 | 26.13 ± 3.25 g (IC50 = 15.43 ± 0.04 μg/mL) | 272.61 ± 11.31 j (IC50 = 18.45 ± 0.08 μg/mL) | 479.27 ± 9.37 | 98.64 ± 6.35 | 512.63 ± 13.5 k | 7.80 ± 0.03 | 3.52 ± 0.04 |
| TeSe-89 | 23.10 ± 4.68 g (IC50 = 23.19 ± 0.04 μg/mL) | 250.66 ± 18.70 j (IC50 = 34.72 ± 0.06 μg/mL) | 396.56 ± 21.11 | 79.85 ± 5.48 | 412.39 ± 19.1 | 3.04 ± 0.05 | 17.83 ± 0.07 |
| Astaxanthin | 63.15 ± 6.25 (IC50 = 7.22 ± 0.02 μg/mL) | 585.73 ± 13.22 (IC50 = 89.47 ± 0.08 μg/mL) | 1045.56 ± 13.43 | 212.73 ± 8.83 | 923.45 ± 20.3 | - | - |
| Galantamine | 0.26 ± 0.02 | 3.82 ± 0.02 |
| Strain | Haloarchaea Content (mg/g Dry Biomass) | |||||
|---|---|---|---|---|---|---|
| Te Se-85 | Te Se-86 | ALT-23 | TeSe-41 | TeSe-51 | TeSe-89 | |
| Total carotenoids * | 600.06 | 871.53 | 488.88 | 536.93 | 532.89 | 508.412 |
| Bacterioruberin | 328.9 ± 3.23 | 445.0 ± 6.24 | 251.52 ± 4.22 | 312.31 ± 3.02 | 315.92 ± 3.13 | 303.03 ± 2.86 |
| 5-cis-Bacterioruberin | 27.84 ± 1.45 | 45.12 ± 1.36 | 18.87 ± 0.98 | 26.65 ± 1.22 | 25.13 ± 1.06 | 28.32 ± 1.18 |
| 9-cis-Bacterioruberin | 52.43 ± 1.86 | 83.59 ± 1.75 | 41.36 ± 1.22 | 50.12 ± 1.38 | 46.44 ± 1.32 | 55.232 ± 1.48 |
| 13-cis-Bacterioruberin | 56.98 ± 0.98 | 88.23 ± 1.45 | 49.26 ± 0.65 | 48.45 ± 1.66 | 54.87 ± 1.22 | 50.16 ± 1.26 |
| 5-cis-26-cis-Bacterioruberin | 43.54 ± 1.43 | 76.44 ± 1.95 | 39.12 ± 1.22 | 32.66 ± 1.75 | 43.26 ± 1.34 | 37.76 ± 1.08 |
| 9-cis-26-cis-Bacterioruberin | 22.35 ± 0.96 | 33.54 ± 1.01 | 21.87 ± 0.56 | 15.33 ± 1.25 | 20.14 ± 1.12 | 11.15 ± 0.24 |
| Monoanhidrobacterioruberin | 9.22 ± 0.54 | 15.22 ± 0.65 | 9.21 ± 0.46 | 7.23 ± 0.43 | 6.32 ± 0.35 | 5.78 ± 0.36 |
| 5-cis-monoanhidrobacterioruberin | 7.25 ± 0.46 | 12.26 ± 0.57 | 6.31 ± 0.37 | 5.32 ± 0.32 | 4.28 ± 0.16 | 3.66 ± 0.26 |
| Reduced monoanhidrobacterioruberin | 5.12 ± 0.21 | 8.32 ± 0.23 | 5.12 ± 0.21 | 3.46 ± 0.27 | 2.38 ± 0.21 | 1.87 ± 0.17 |
| 9-cis-Monoanhidrobacterioruberin | 6.34 ± 0.31 | 9.47 ± 0.42 | 5.32 ± 0.16 | 5.59 ± 0.18 | 1.98 ± 0.17 | 0.87 ± 0.12 |
| 13-cis-Monoanhidrobacterioruberin | 6.28 ± 0.28 | 9.16 ± 0.67 | 4.39 ± 0.19 | 5.93 ± 0.43 | 2.25 ± 0.15 | 0.69 ± 0.17 |
| Reduced Monoanhidrobacterioruberin | 7.32 ± 0.25 | 9.46 ± 0.33 | 5.26 ± 0.23 | 5.67 ± 0.48 | 1.83 ± 0.03 | 0.91 ± 0.05 |
| Bisanhidrobacterioruberin | 5.03 ± 0.11 | 8.16 ± 0.12 | 5.26 ± 0.22 | 3.92 ± 0.34 | 1.78 ± 0.31 | 1.95 ± 0.26 |
| 5-cis-bisanhidrobacterioruberin | 4.81 ± 0.24 | 7.42 ± 0.15 | 4.11 ± 0.13 | 2.55 ± 0.23 | 0.67 ± 0.21 | 0.73 ± 0.12 |
| 9-cis-bisanhidrobacterioruberin | 7.23 ± 0.34 | 9.25 ± 0.33 | 9.45 ± 0.45 | 4.76 ± 0.23 | 2.23 ± 0.45 | 2.43 ± 0.37 |
| Reduced Bisanhidrobacterioruberin | 9.42 ± 0.45 | 10.89 ± 0.47 | 12.45 ± 0.74 | 6.98 ± 0.74 | 3.41 ± 0.36 | 3.87 ± 0.27 |
| Compound | Binding Energy (kcal/mol) Acetylcholinesterase | Binding Energy (kcal/mol) Butyrylcholinesterase |
|---|---|---|
| Fragment M1 | −9.74 | −7.42 |
| Fragment M2 | −10.15 | −7.89 |
| Fragment M3 | −10.35 | −8.35 |
| Fragment M4 | −9.53 | −9.40 |
| Fragment M5 | −8.50 | −8.62 |
| Fragment M6 | −9.54 | −9.90 |
| Galantamine | −11.81 | −9.50 |
Publisher’s Note: MDPI stays neutral with regard to jurisdictional claims in published maps and institutional affiliations. |
© 2021 by the authors. Licensee MDPI, Basel, Switzerland. This article is an open access article distributed under the terms and conditions of the Creative Commons Attribution (CC BY) license (https://creativecommons.org/licenses/by/4.0/).
Share and Cite
Lizama, C.; Romero-Parra, J.; Andrade, D.; Riveros, F.; Bórquez, J.; Ahmed, S.; Venegas-Salas, L.; Cabalín, C.; Simirgiotis, M.J. Analysis of Carotenoids in Haloarchaea Species from Atacama Saline Lakes by High Resolution UHPLC-Q-Orbitrap-Mass Spectrometry: Antioxidant Potential and Biological Effect on Cell Viability. Antioxidants 2021, 10, 1230. https://doi.org/10.3390/antiox10081230
Lizama C, Romero-Parra J, Andrade D, Riveros F, Bórquez J, Ahmed S, Venegas-Salas L, Cabalín C, Simirgiotis MJ. Analysis of Carotenoids in Haloarchaea Species from Atacama Saline Lakes by High Resolution UHPLC-Q-Orbitrap-Mass Spectrometry: Antioxidant Potential and Biological Effect on Cell Viability. Antioxidants. 2021; 10(8):1230. https://doi.org/10.3390/antiox10081230
Chicago/Turabian StyleLizama, Catherine, Javier Romero-Parra, Daniel Andrade, Felipe Riveros, Jorge Bórquez, Shakeel Ahmed, Luis Venegas-Salas, Carolina Cabalín, and Mario J. Simirgiotis. 2021. "Analysis of Carotenoids in Haloarchaea Species from Atacama Saline Lakes by High Resolution UHPLC-Q-Orbitrap-Mass Spectrometry: Antioxidant Potential and Biological Effect on Cell Viability" Antioxidants 10, no. 8: 1230. https://doi.org/10.3390/antiox10081230
APA StyleLizama, C., Romero-Parra, J., Andrade, D., Riveros, F., Bórquez, J., Ahmed, S., Venegas-Salas, L., Cabalín, C., & Simirgiotis, M. J. (2021). Analysis of Carotenoids in Haloarchaea Species from Atacama Saline Lakes by High Resolution UHPLC-Q-Orbitrap-Mass Spectrometry: Antioxidant Potential and Biological Effect on Cell Viability. Antioxidants, 10(8), 1230. https://doi.org/10.3390/antiox10081230

