Aqueous Blackcurrant Extract Improves Insulin Sensitivity and Secretion and Modulates the Gut Microbiome in Non-Obese Type 2 Diabetic Rats
Abstract
1. Introduction
2. Materials and Methods
2.1. Preparation of Powdered Aqueous Blackcurrant Extract and Analysis of Its Ingredients
2.2. Animals and Ethics
2.3. Experimental Design
2.4. Glucose Homeostasis
2.5. Hyperglycemic Clamp
2.6. Real-Time Quantitative Reverse Transcriptase-Polymerase Chain Reaction (RT-PCR)
2.7. Immunohistochemistry
2.8. SCFA Determination
2.9. Next-Generation Sequencing of Gut Microbiomes and Fecal Microbiota Analysis
2.10. Gut Microbiota Metabolism Predicted by PICRUSt2 Pipeline Analysis
2.11. Statistical Analyses
3. Results
3.1. Cyanidin 3-O-Rutinoside and Delphinidin 3-O-Rutinoside Levels in Aqueous Blackcurrant Extract
3.2. Energy Metabolism
3.3. Glucose Metabolism
3.4. Insulin Tolerance
3.5. Hyperglycemic Clamp
3.6. Pancreatic β-Cell Mass, Proliferation, and Apoptosis
3.7. Liver Metabolism
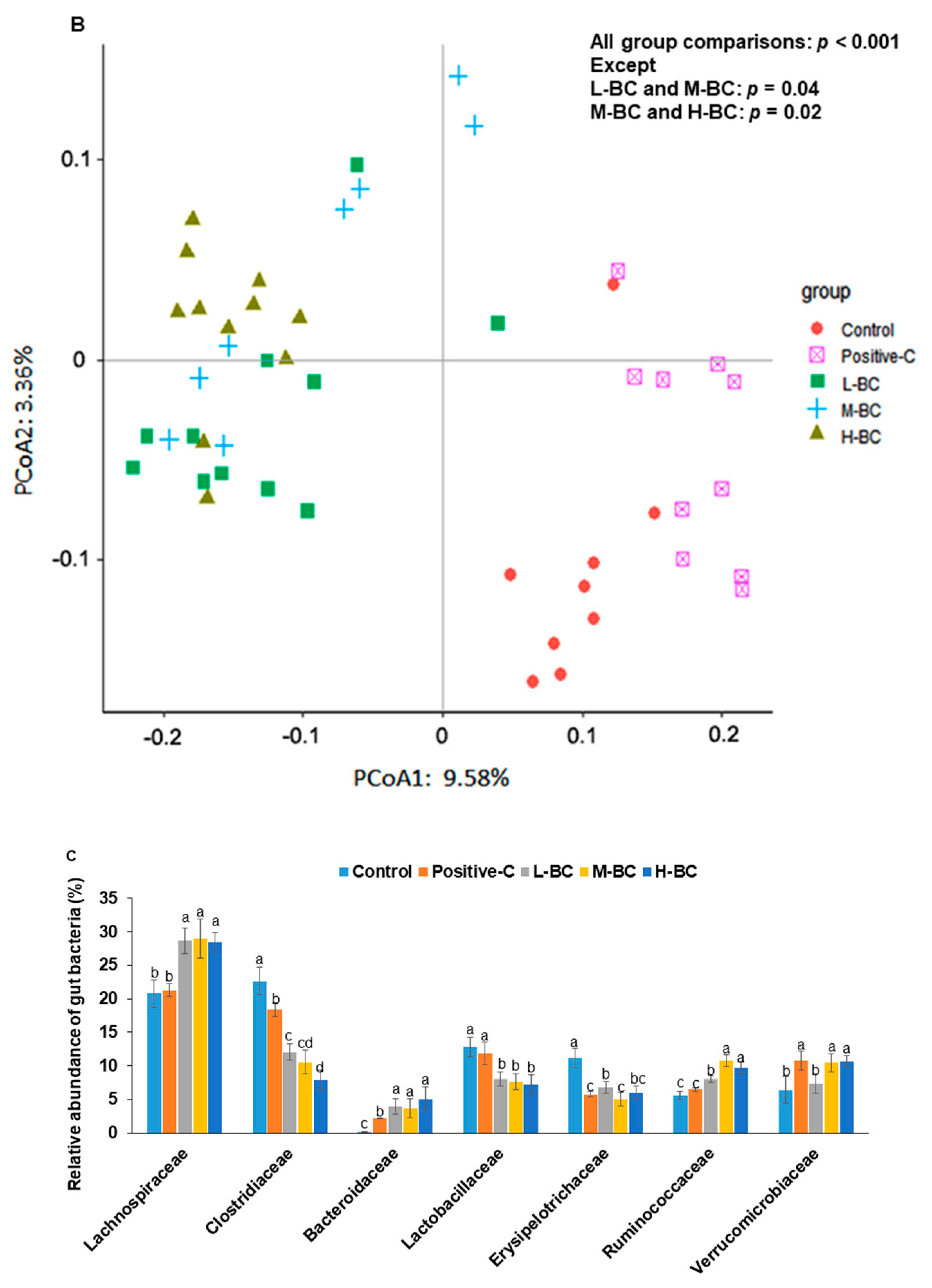
3.8. Serum SCFA Concentrations and Gut Microbiome
3.9. Metabolic Activities of Intestinal Bacteria as Determined by PICRUSt2 Analysis
4. Discussion
5. Conclusions
Supplementary Materials
Author Contributions
Funding
Institutional Review Board Statement
Informed Consent Statement
Data Availability Statement
Conflicts of Interest
References
- Sarwar, N.; Gao, P.; Seshasai, S.R.; Gobin, R.; Kaptoge, S.; Di Angelantonio, E.; Ingelsson, E.; Lawlor, D.A.; Selvin, E.; Stampfer, M.; et al. Diabetes mellitus, fasting blood glucose concentration, and risk of vascular disease: A collaborative meta-analysis of 102 prospective studies. Lancet 2010, 375, 2215–2222. [Google Scholar]
- Khan, M.A.B.; Hashim, M.J.; King, J.K.; Govender, R.D.; Mustafa, H.; Al Kaabi, J. Epidemiology of Type 2 Diabetes—Global Burden of Disease and Forecasted Trends. J. Epidemiol. Glob. Health 2020, 10, 107–111. [Google Scholar]
- Inaishi, J.; Saisho, Y. Ethnic Similarities and Differences in the Relationship between Beta Cell Mass and Diabetes. J. Clin. Med. 2017, 6, 113. [Google Scholar]
- Salehidoost, R.; Mansouri, A.; Amini, M.; Aminorroaya Yamini, S.; Aminorroaya, A. Diabetes and all-cause mortality, a 18-year follow-up study. Sci. Rep. 2020, 10, 3183. [Google Scholar]
- Hong, K.W.; Kim, S.H.; Zhang, X.; Park, S. Interactions among the variants of insulin-related genes and nutrients increase the risk of type 2 diabetes. Nutr. Res. 2018, 51, 82–92. [Google Scholar]
- Kim, S.H.; Liu, M.; Jin, H.S.; Park, S. High Genetic Risk Scores of ASIC2, MACROD2, CHRM3, and C2orf83 Genetic Variants Associated with Polycystic Ovary Syndrome Impair Insulin Sensitivity and Interact with Energy Intake in Korean Women. Gynecol. Obstet. Investig. 2019, 84, 225–236. [Google Scholar]
- Wu, X.; Unno, T.; Kang, S.; Park, S. A Korean-Style Balanced Diet Has a Potential Connection with Ruminococcaceae Enterotype and Reduction of Metabolic Syndrome Incidence in Korean Adults. Nutrients 2021, 13, 495. [Google Scholar] [CrossRef]
- Tanase, D.M.; Gosav, E.M.; Neculae, E.; Costea, C.F.; Ciocoiu, M.; Hurjui, L.L.; Tarniceriu, C.C.; Maranduca, M.A.; Lacatusu, C.M.; Floria, M.; et al. Role of Gut Microbiota on Onset and Progression of Microvascular Complications of Type 2 Diabetes (T2DM). Nutrients 2020, 12, 3719. [Google Scholar] [CrossRef]
- Maldonado-Contreras, A.; Noel, S.E.; Ward, D.V.; Velez, M.; Mangano, K.M. Associations between Diet, the Gut Microbiome, and Short-Chain Fatty Acid Production among Older Caribbean Latino Adults. J. Acad. Nutr. Diet. 2020, 120, 2047–2060.e2046. [Google Scholar]
- Péan, N.; Le Lay, A.; Brial, F.; Wasserscheid, J.; Rouch, C.; Vincent, M.; Myridakis, A.; Hedjazi, L.; Dumas, M.E.; Grundberg, E.; et al. Dominant gut Prevotella copri in gastrectomised non-obese diabetic Goto-Kakizaki rats improves glucose homeostasis through enhanced FXR signalling. Diabetologia 2020, 63, 1223–1235. [Google Scholar]
- Zhang, W.; Xu, J.H.; Yu, T.; Chen, Q.K. Effects of berberine and metformin on intestinal inflammation and gut microbiome composition in db/db mice. Biomed. Pharmacother. 2019, 118, 109131. [Google Scholar] [PubMed]
- Marchand, D.K.; Subramonian, A.; Featherstone, R.; Spry, C. CADTH Rapid Response Reports. In Pioglitazone for Type 2 Diabetes Mellitus and Pre-Diabetes: A Review of Safety; Canadian Agency for Drugs and Technologies in Health: Ottawa, ON, USA, 2020. [Google Scholar]
- Campbell, M.D.; Sathish, T.; Zimmet, P.Z.; Thankappan, K.R.; Oldenburg, B.; Owens, D.R.; Shaw, J.E.; Tapp, R.J. Benefit of lifestyle-based T2DM prevention is influenced by prediabetes phenotype. Nat. Rev. Endocrinol. 2020, 16, 395–400. [Google Scholar] [PubMed]
- Fallah, A.A.; Sarmast, E.; Jafari, T. Effect of dietary anthocyanins on biomarkers of glycemic Control and glucose metabolism: A systematic review and meta-analysis of randomized clinical trials. Food Res. Int. 2020, 137, 109379. [Google Scholar] [PubMed]
- Park, S.; Kang, S.; Jeong, D.Y.; Jeong, S.Y.; Park, J.J.; Yun, H.S. Cyanidin and malvidin in aqueous extracts of black carrots fermented with Aspergillus oryzae prevent the impairment of energy, lipid and glucose metabolism in estrogen-deficient rats by AMPK activation. Genes Nutr. 2015, 10, 455. [Google Scholar] [PubMed]
- Naseri, R.; Farzaei, F.; Haratipour, P.; Nabavi, S.F.; Habtemariam, S.; Farzaei, M.H.; Khodarahmi, R.; Tewari, D.; Momtaz, S. Anthocyanins in the Management of Metabolic Syndrome: A Pharmacological and Biopharmaceutical Review. Front. Pharmacol. 2018, 9, 1310. [Google Scholar] [PubMed]
- Gopalan, A.; Reuben, S.C.; Ahmed, S.; Darvesh, A.S.; Hohmann, J.; Bishayee, A. The health benefits of blackcurrants. Food Funct. 2012, 3, 795–809. [Google Scholar] [PubMed]
- Cortez, R.E.; de Mejia, E.G. Blackcurrants (Ribes nigrum): A Review on Chemistry, Processing, and Health Benefits. J. Food Sci. 2019, 84, 2387–2401. [Google Scholar]
- Hui, X.; Wu, G.; Han, D.; Stipkovits, L.; Wu, X.; Tang, S.; Brennan, M.A.; Brennan, C.S. The effects of bioactive compounds from blueberry and blackcurrant powders on the inhibitory activities of oat bran pastes against α-amylase and α-glucosidase linked to type 2 diabetes. Food Res. Int. 2020, 138, 109756. [Google Scholar]
- Castro-Acosta, M.L.; Smith, L.; Miller, R.J.; McCarthy, D.I.; Farrimond, J.A.; Hall, W.L. Drinks containing anthocyanin-rich blackcurrant extract decrease postprandial blood glucose, insulin and incretin concentrations. J. Nutr. Biochem. 2016, 38, 154–161. [Google Scholar]
- Iizuka, Y.; Ozeki, A.; Tani, T.; Tsuda, T. Blackcurrant Extract Ameliorates Hyperglycemia in Type 2 Diabetic Mice in Association with Increased Basal Secretion of Glucagon-Like Peptide-1 and Activation of AMP-Activated Protein Kinase. J. Nutr. Sci. Vitaminol. 2018, 64, 258–264. [Google Scholar]
- Lee, J.; Durst, R.W.; Wrolstad, R.E. Determination of total monomeric anthocyanin pigment content of fruit juices, beverages, natural colorants, and wines by the pH differential method: Collaborative study. J. AOAC Int. 2005, 88, 1269–1278. [Google Scholar]
- Ackermann Misfeldt, A.; Costa, R.H.; Gannon, M. Beta-cell proliferation, but not neogenesis, following 60% partial pancreatectomy is impaired in the absence of FoxM1. Diabetes 2008, 57, 3069–3077. [Google Scholar]
- Hosokawa, Y.A.; Hosokawa, H.; Chen, C.; Leahy, J.L. Mechanism of impaired glucose-potentiated insulin secretion in diabetic 90% pancreatectomy rats. Study using glucagonlike peptide-1 (7-37). J. Clin. Investig. 1996, 97, 180–186. [Google Scholar] [PubMed]
- Reeves, P.G.; Nielsen, F.H.; Fahey, G.C., Jr. AIN-93 purified diets for laboratory rodents: Final report of the American Institute of Nutrition ad hoc writing committee on the reformulation of the AIN-76A rodent diet. J. Nutr. 1993, 123, 1939–1951. [Google Scholar]
- Kim, M.S.; Sohn, H.Y. Antioxidant, Anti-coagulation, and Anti-platelet Aggregation Activities of Black Currant (Ribes nigrum L.). J. Life Sci. 2016, 26, 1400–1408. [Google Scholar]
- Chung, H.J. Development and industrial application of low-calorie food ingredients derived from starches. Food Sci. Ind. 2019, 52, 358–374. [Google Scholar]
- Choi, Y.H.; Kim, S.G.; Lee, M.G. Dose-Independent Pharmacokinetics of Metformin in Rats: Hepatic and Gastrointestinal First-Pass Effects. J. Pharm. Sci. 2006, 95, 2543–2552. [Google Scholar] [PubMed]
- Park, S.; Kim, D.S.; Kang, S. Gastrodia elata Blume water extracts improve insulin resistance by decreasing body fat in diet-induced obese rats: Vanillin and 4-hydroxybenzaldehyde are the bioactive candidates. Eur. J. Nutr. 2011, 50, 107–118. [Google Scholar] [PubMed]
- Choi, S.B.; Jang, J.S.; Park, S. Estrogen and exercise may enhance beta-cell function and mass via insulin receptor substrate 2 induction in ovariectomized diabetic rats. Endocrinology 2005, 146, 4786–4794. [Google Scholar]
- Dobbins, R.L.; Szczepaniak, L.S.; Myhill, J.; Tamura, Y.; Uchino, H.; Giacca, A.; McGarry, J.D. The composition of dietary fat directly influences glucose-stimulated insulin secretion in rats. Diabetes 2002, 51, 1825–1833. [Google Scholar] [PubMed]
- Livak, K.J.; Schmittgen, T.D. Analysis of relative gene expression data using real-time quantitative PCR and the 2(-Delta Delta C(T)) Method. Methods 2001, 25, 402–408. [Google Scholar] [PubMed]
- Park, S.; Hong, S.M.; Lee, J.E.; Sung, S.R. Exercise improves glucose homeostasis that has been impaired by a high-fat diet by potentiating pancreatic beta-cell function and mass through IRS2 in diabetic rats. J. Appl. Physiol. 2007, 103, 1764–1771. [Google Scholar] [PubMed]
- Wu, X.; Kim, M.J.; Yang, H.J.; Park, S. Chitosan alleviated menopausal symptoms and modulated the gut microbiota in estrogen-deficient rats. Eur. J. Nutr. 2020. [Google Scholar] [CrossRef]
- Wang, X.; Zhao, X.; Zhou, R.; Gu, Y.; Zhu, X.; Tang, Z.; Yuan, X.; Chen, W.; Zhang, R.; Qian, C.; et al. Delay in glucose peak time during the oral glucose tolerance test as an indicator of insulin resistance and insulin secretion in type 2 diabetes patients. J. Diabetes Investig. 2018, 9, 1288–1295. [Google Scholar]
- Gundala, N.K.V.; Naidu, V.G.M.; Das, U.N. Amelioration of streptozotocin-induced type 2 diabetes mellitus in Wistar rats by arachidonic acid. Biochem. Biophys. Res. Commun. 2018, 496, 105–113. [Google Scholar]
- Nikolakopoulou, P.; Chatzigeorgiou, A.; Kourtzelis, I.; Toutouna, L.; Masjkur, J.; Arps-Forker, C.; Poser, S.W.; Rozman, J.; Rathkolb, B.; Aguilar-Pimentel, J.A.; et al. Streptozotocin-induced β-cell damage, high fat diet, and metformin administration regulate Hes3 expression in the adult mouse brain. Sci. Rep. 2018, 8, 11335. [Google Scholar]
- Slimestad, R.; Solheim, H. Anthocyanins from black currants (Ribes nigrum L.). J. Agric. Food Chem. 2002, 50, 3228–3231. [Google Scholar]
- Chen, X.-Y.; Huang, I.M.; Hwang, L.S.; Ho, C.-T.; Li, S.; Lo, C.-Y. Anthocyanins in blackcurrant effectively prevent the formation of advanced glycation end products by trapping methylglyoxal. J. Funct. Foods 2014, 8, 259–268. [Google Scholar]
- Les, F.; Cásedas, G.; Gómez, C.; Moliner, C.; Valero, M.S.; López, V. The role of anthocyanins as antidiabetic agents: From molecular mechanisms to in vivo and human studies. J. Physiol. Biochem. 2021, 77, 109–131. [Google Scholar] [PubMed]
- Kato, M.; Tani, T.; Terahara, N.; Tsuda, T. The Anthocyanin Delphinidin 3-Rutinoside Stimulates Glucagon-Like Peptide-1 Secretion in Murine GLUTag Cell Line via the Ca2+/Calmodulin-Dependent Kinase II Pathway. PLoS ONE 2015, 10, e0126157. [Google Scholar]
- Adisakwattana, S.; Yibchok-Anun, S.; Charoenlertkul, P.; Wongsasiripat, N. Cyanidin-3-rutinoside alleviates postprandial hyperglycemia and its synergism with acarbose by inhibition of intestinal α-glucosidase. J. Clin. Biochem. Nutr. 2011, 49, 36–41. [Google Scholar]
- Rubinskiene, M.; Jasutiene, I.; Venskutonis, P.R.; Viskelis, P. HPLC determination of the composition and stability of blackcurrant anthocyanins. J. Chromatogr. Sci. 2005, 43, 478–482. [Google Scholar] [PubMed]
- Nolan, A.; Brett, R.; Strauss, J.A.; Stewart, C.E.; Shepherd, S.O. Short-term, but not acute, intake of New Zealand blackcurrant extract improves insulin sensitivity and free-living postprandial glucose excursions in individuals with overweight or obesity. Eur. J. Nutr. 2021, 60, 1253–1262. [Google Scholar] [PubMed]
- Park, J.H.; Kho, M.C.; Kim, H.Y.; Ahn, Y.M.; Lee, Y.J.; Kang, D.G.; Lee, H.S. Blackcurrant Suppresses Metabolic Syndrome Induced by High-Fructose Diet in Rats. Evid. Based Complement. Alternat. Med. 2015, 2015, 385976. [Google Scholar] [CrossRef]
- Törrönen, R.; Sarkkinen, E.; Niskanen, T.; Tapola, N.; Kilpi, K.; Niskanen, L. Postprandial glucose, insulin and glucagon-like peptide 1 responses to sucrose ingested with berries in healthy subjects. Br. J. Nutr. 2012, 107, 1445–1451. [Google Scholar] [PubMed]
- Kwon, D.Y.; Kim, Y.S.; Ahn, I.S.; Kim, D.S.; Kang, S.; Hong, S.M.; Park, S. Exendin-4 potentiates insulinotropic action partly via increasing beta-cell proliferation and neogenesis and decreasing apoptosis in association with the attenuation of endoplasmic reticulum stress in islets of diabetic rats. J. Pharmacol. Sci. 2009, 111, 361–371. [Google Scholar]
- Yildirim, M.; Degirmenci, U.; Akkapulu, M.; Comelekoglu, U.; Balli, E.; Metin Ozcan, T.; Berköz, M.; Yalin, A.E.; Yalin, S. The effect of Rheum ribes L. on oxidative stress in diabetic rats. J. Basic Clin. Physiol. Pharmacol. 2020. [Google Scholar] [CrossRef]
- Esposito, D.; Damsud, T.; Wilson, M.; Grace, M.H.; Strauch, R.; Li, X.; Lila, M.A.; Komarnytsky, S. Black Currant Anthocyanins Attenuate Weight Gain and Improve Glucose Metabolism in Diet-Induced Obese Mice with Intact, but Not Disrupted, Gut Microbiome. J. Agric. Food Chem. 2015, 63, 6172–6180. [Google Scholar]
- Gaike, A.H.; Paul, D.; Bhute, S.; Dhotre, D.P.; Pande, P.; Upadhyaya, S.; Reddy, Y.; Sampath, R.; Ghosh, D.; Chandraprabha, D.; et al. The Gut Microbial Diversity of Newly Diagnosed Diabetics but Not of Prediabetics Is Significantly Different from That of Healthy Nondiabetics. mSystems 2020, 5. [Google Scholar] [CrossRef]
- Song, H.; Shen, X.; Wang, F.; Li, Y.; Zheng, X. Black Current Anthocyanins Improve Lipid Metabolism and Modulate Gut Microbiota in High-Fat Diet-Induced Obese Mice. Mol. Nutr. Food Res. 2021, 65, e2001090. [Google Scholar] [PubMed]
- Takagi, T.; Naito, Y.; Kashiwagi, S.; Uchiyama, K.; Mizushima, K.; Kamada, K.; Ishikawa, T.; Inoue, R.; Okuda, K.; Tsujimoto, Y.; et al. Changes in the Gut Microbiota are Associated with Hypertension, Hyperlipidemia, and Type 2 Diabetes Mellitus in Japanese Subjects. Nutrients 2020, 12, 2996. [Google Scholar] [CrossRef]
- Larasati, R.A.; Harbuwono, D.S.; Rahajeng, E.; Pradipta, S.; Nuraeni, H.S.; Susilowati, A.; Wibowo, H. The Role of Butyrate on Monocyte Migration and Inflammation Response in Patient with Type 2 Diabetes Mellitus. Biomedicines 2019, 7, 74. [Google Scholar] [CrossRef]
- Zhang, W.Q.; Zhao, T.T.; Gui, D.K.; Gao, C.L.; Gu, J.L.; Gan, W.J.; Huang, W.; Xu, Y.; Zhou, H.; Chen, W.N.; et al. Sodium Butyrate Improves Liver Glycogen Metabolism in Type 2 Diabetes Mellitus. J. Agric. Food Chem. 2019, 67, 7694–7705. [Google Scholar]
- Houghton, D.; Hardy, T.; Stewart, C.; Errington, L.; Day, C.P.; Trenell, M.I.; Avery, L. Systematic review assessing the effectiveness of a dietary intervention on gut microbiota in adults with type 2 diabetes. Diabetologia 2018, 61, 1700–1711. [Google Scholar]











| Px-Control (n = 10) | Positive-C (n = 10) | L-BC (n = 10) | M-BC (n = 10) | H-BC (n = 10) | |
|---|---|---|---|---|---|
| Body weight (g) | 378 ± 14 a | 357 ± 12 b | 375 ± 7.7 a | 356 ± 11 b | 362 ± 13 b |
| Weight gain during the eight-week intervention (g) | 150 ± 11 a | 135 ± 8.2 b | 142 ± 9.1 a,b | 137 ± 11 b | 140 ± 7.8 b |
| Epididymal fat pads (g) | 7.8 ± 0.6 a | 6.0 ± 0.4 c | 8.1 ± 0.5 a | 6.7 ± 0.5 b | 7.2 ± 0.5 b |
| Retroperitoneal fat (g) | 9.5 ± 0.9 a | 7.1 ± 0.7 c | 9.2 ± 0.5 a | 7.6 ± 0.5 c | 8.5 ± 0.4 b |
| Visceral fat mass (g) | 17.4 ± 1.46 a | 13.1 ± 1.08 c | 17.7 ± 0.78 a | 14.2 ± 1.04 c | 15.8 ± 0.97 b |
| Caloric intake (kcal/day) | 88.2 ± 5.6 a | 75.6 ± 3.3 b | 92.3 ± 4.4 a | 89.8 ± 7.1 a | 88.1 ± 4.3 a |
| Blackberry extract intake (mg/kg/bw) | - | - | 108 ± 5.2 | 322 ± 25 | 931 ± 45 |
| Metformin intake (mg/kg/bw) | 92.3 ± 4.0 | ||||
| Water intake (mL/day) | 47.0 ± 3.0 a | 39.4 ± 3.1 b | 38.7 ± 2.9 b | 33.2 ± 2.4 c | 30.8 ± 2.5 c |
| Px-Control (n = 10) | Positive-C (n = 10) | L-BC (n = 10) | M-BC (n = 10) | H-BC (n = 10) | |
|---|---|---|---|---|---|
| Serum glucose at fasting state (mg/dL) | 128 ± 4.3 a | 104 ± 8.1 c | 118 ± 6.2 b | 114 ± 8.4 b | 108 ± 5.7 c |
| Serum insulin at fasting state (mg/dL) | 0.97 ± 0.10 a | 0.92 ± 0.07 a | 0.75 ± 0.13 b,c | 0.67 ± 0.09 c | 0.82 ± 0.07 b |
| Serum glucose at 2 h postprandial state (mg/dL) | 356 ± 14 a | 239 ± 15 b | 225 ± 18 b,c | 209 ± 22 c | 181 ± 21 d |
| Serum insulin at 2 h postprandial state (mg/dL) | 1.89 ± 0.15 a | 1.62 ± 0.14 b | 1.65 ± 0.14 b | 1.58 ± 0.16 b | 1.59 ± 0.16 b |
| HOMA-IR | 9.0 ± 0.8 a | 6.9 ± 0.4 b | 6.4 ± 0.7 b | 5.6 ± 0.6 c | 6.4 ± 0.5 b |
| Serum insulin at 2 to 10 min (ng/mL) | 1.36 ± 0.22 b | 1.72 ± 0.13 a | 1.96 ± 0.27 a | 1.91 ± 0.30 a | 1.86 ± 0.26 a |
| Serum insulin at 60 to 90 min (ng/mL) | 1.79 ± 0.17 | 1.65 ± 0.16 | 1.68 ± 0.13 | 1.63 ± 0.17 | 1.66 ± 0.17 |
| Glucose infusion rates (mg/kg bw/min) | 9.1 ± 0.8 c | 10.2 ± 0.7 b | 10.5 ± 0.7 b | 10.9 ± 0.8 a,b | 11.3 ± 0.8 a |
| Insulin sensitivity at hyperglycemic state (µmol glucose min−1 100 g−1 per µmol insulin/L) | 19.3 ± 1.8 c | 23.5 ± 2.2 b | 23.8 ± 1.8 b | 25.4 ± 1.8 a | 25.9 ± 2.2 a |
| Control (n = 5) | Positive-C (n = 5) | L-BC (n = 5) | M-BC (n = 5) | H-BC (n = 5) | |
|---|---|---|---|---|---|
| β-cell area (%) | 6.3 ± 0.7 b | 7.1 ± 0.8 a | 6.8 ± 0.8 a,b | 6.9 ± 0.8 a,b | 7.6 ± 0.9 a |
| Individual β-cell size (μm2) | 245 ± 22 a | 195 ± 18 b,c | 212 ± 20 b | 198 ± 22 b,c | 191 ± 19 c |
| Absolute β-cell mass (mg) | 23.8 ± 1.8 c | 31.3 ± 2.5 a | 26.3 ± 2.2 b | 28.8 ± 2.3 b | 32.4 ± 3.2 a |
| BrdU+ cells (% BrdU+ cells of islets) | 0.82 ± 0.09 b | 1.01 ± 0.09 a | 0.89 ± 0.10 b | 0.90 ± 0.10 b | 1.05 ± 0.11 a |
| Apoptosis (% apoptotic bodies of islets) | 0.75 ± 0.08 a | 0.61 ± 0.07 b,c | 0.66 ± 0.07 b | 0.65 ± 0.07 b | 0.58 ± 0.05 c |
| Lipid peroxides (MDA nmol/mg protein) | 3.45 ± 0.37 a | 2.18 ± 0.31 c | 2.76 ± 0.28 b | 2.12 ± 0.25 c | 2.09 ± 0.29 c |
| Relative mRNA TNF-α expression (AU) | 1.0 ± 0 a | 0.82 ± 0.11 b | 0.79 ± 0.10 b | 0.70 ± 0.11 b,c | 0.68 ± 0.10 c |
| Px-Control (n = 10) | Positive-C (n = 10) | L-BC (n = 10) | M-BC (n = 10) | H-BC (n = 10) | |
|---|---|---|---|---|---|
| Serum TNF-α (pg/mL) | 8.9 ± 0.7 a | 5.6 ± 0.6 b | 5.8 ± 0.6 b | 4.5 ± 0.5 c,d | 4.8 ± 0.6 c |
| Hepatic TNF-α expression (AU) | 1.0 ± 0.12 a | 0.85 ± 0.11 b | 0.91 ± 0.11 a,b | 0.81 ± 0.10 b | 0.80 ± 0.10 b |
| Hepatic lipid peroxides (MDA nmol/mg protein) | 3.05 ± 0.20 a | 1.58 ± 0.11 c | 2.80 ± 0.16 b | 1.66 ± 0.15 c | 1.62 ± 0.20 c |
| Hepatic triglyceride (mg/g tissue) | 47.6 ± 4.8 a | 32.9 ± 5.0 c | 43.5 ± 4.4 a,b | 32.6 ± 5.2 c | 41.9 ± 3.7 b |
| Serum ALT (IU/L) | 54.0 ± 3.2 a | 41.0 ± 3.6 c | 46.3 ± 1.7 b | 47.0 ± 3.5 b | 41.7 ± 2.2 c |
| Serum AST (IU/L) | 38.2 ± 3.8 a | 33.0 ± 2.6 b | 26.8 ± 1.8 c | 27.0 ± 2.0 c | 24.1 ± 1.7 d |
Publisher’s Note: MDPI stays neutral with regard to jurisdictional claims in published maps and institutional affiliations. |
© 2021 by the authors. Licensee MDPI, Basel, Switzerland. This article is an open access article distributed under the terms and conditions of the Creative Commons Attribution (CC BY) license (https://creativecommons.org/licenses/by/4.0/).
Share and Cite
Yang, H.-J.; Zhang, T.; Wu, X.-G.; Kim, M.-J.; Kim, Y.-H.; Yang, E.-S.; Yoon, Y.-S.; Park, S. Aqueous Blackcurrant Extract Improves Insulin Sensitivity and Secretion and Modulates the Gut Microbiome in Non-Obese Type 2 Diabetic Rats. Antioxidants 2021, 10, 756. https://doi.org/10.3390/antiox10050756
Yang H-J, Zhang T, Wu X-G, Kim M-J, Kim Y-H, Yang E-S, Yoon Y-S, Park S. Aqueous Blackcurrant Extract Improves Insulin Sensitivity and Secretion and Modulates the Gut Microbiome in Non-Obese Type 2 Diabetic Rats. Antioxidants. 2021; 10(5):756. https://doi.org/10.3390/antiox10050756
Chicago/Turabian StyleYang, Hye-Jeong, Ting Zhang, Xuan-Gao Wu, Min-Jung Kim, Young-Ho Kim, Eun-Suk Yang, Yeong-Seok Yoon, and Sunmin Park. 2021. "Aqueous Blackcurrant Extract Improves Insulin Sensitivity and Secretion and Modulates the Gut Microbiome in Non-Obese Type 2 Diabetic Rats" Antioxidants 10, no. 5: 756. https://doi.org/10.3390/antiox10050756
APA StyleYang, H.-J., Zhang, T., Wu, X.-G., Kim, M.-J., Kim, Y.-H., Yang, E.-S., Yoon, Y.-S., & Park, S. (2021). Aqueous Blackcurrant Extract Improves Insulin Sensitivity and Secretion and Modulates the Gut Microbiome in Non-Obese Type 2 Diabetic Rats. Antioxidants, 10(5), 756. https://doi.org/10.3390/antiox10050756

