Virgin Olive Oil Phenols, Fatty Acid Composition and Sensory Profile: Can Cultivar Overpower Environmental and Ripening Effect?
Abstract
1. Introduction
2. Materials and Methods
2.1. Environmental Conditions of Two Olive Experimental Sites
2.2. Sampling of Olive Fruits, Olive Processing and Oil Extraction
2.3. Analyses of Olive Oil Quality Parameters
2.4. Analyses of Phenols
2.5. Analyses of Fatty Acid Composition
2.6. Quantitative Descriptive Analysis of Virgin Olive Oils
2.7. Statistical Analysis
3. Results and Discussion
3.1. Influence of Crop Year, Environmental Conditions of Two Olive Experimental Sites and Olive Cultivar on Virgin Olive Oil Chemical Composition and Sensory Characteristics
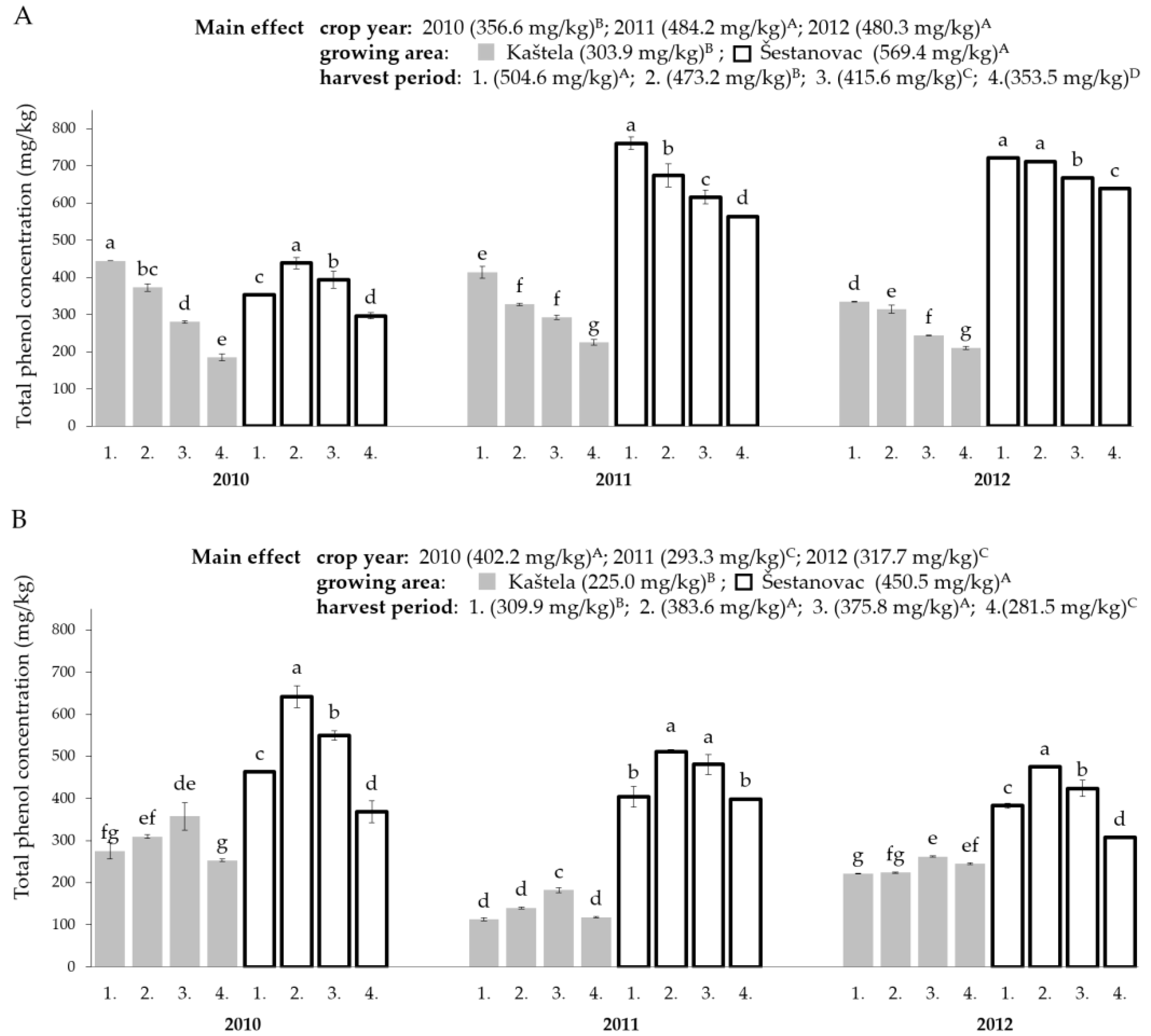
3.1.1. Phenolic Content
3.1.2. Fatty Acid Composition
3.1.3. Sensory Profile
3.2. Influence of the Olive Maturity Index on Virgin Olive Oils Chemical Composition and Sensory Characteristics
3.3. The Principal Component Analysis Reveals the Central Role of Cultivar in the Virgin Olive Oils Chemical Composition and Sensory Characteristics
4. Conclusions
Supplementary Materials
Author Contributions
Funding
Institutional Review Board Statement
Informed Consent Statement
Data Availability Statement
Acknowledgments
Conflicts of Interest
References
- Lucas, L.; Russell, A.; Keast, R. Molecular Mechanisms of Inflammation. Anti-Inflammatory Benefits of Virgin Olive Oil and the Phenolic Compound Oleocanthal. Curr. Pharm. Des. 2011, 17, 754–768. [Google Scholar] [CrossRef]
- Bendini, A.; Cerretani, L.; Carrasco-Pancorbo, A.; Gómez-Caravaca, A.M.; Segura-Carretero, A.; Fernández-Gutiérrez, A.; Lercker, G. Phenolic Molecules in Virgin Olive Oils: A Survey of Their Sensory Properties, Health Effects, Antioxidant Activity and Analytical Methods. An Overview of the Last Decade. Molecules 2007, 12, 1679–1719. [Google Scholar] [CrossRef]
- Martín-Peláez, S.; Covas, M.I.; Fitó, M.; Kušar, A.; Pravst, I. Health Effects of Olive Oil Polyphenols: Recent Advances and Possibilities for the Use of Health Claims. Mol. Nutr. Food Res. 2013, 57, 760–771. [Google Scholar] [CrossRef]
- Costell, E.; Tárrega, A.; Bayarri, S. Food Acceptance: The Role of Consumer Perception and Attitudes. Chemosens. Percept. 2010, 3, 42–50. [Google Scholar] [CrossRef]
- Krystallis, A.; Ness, M. Motivational and Cognitive Structures of Greek Consumers in the Purchase of Quality Food Products. J. Int. Consum. Mark. 2004, 16, 7–36. [Google Scholar] [CrossRef]
- Lukić, I.; Horvat, I.; Godena, S.; Krapac, M.; Lukić, M.; Vrhovsek, U.; Brkić Bubola, K. Towards Understanding the Varietal Typicity of Virgin Olive Oil by Correlating Sensory and Compositional Analysis Data: A Case Study. Food Res. Int. 2018, 112, 78–89. [Google Scholar] [CrossRef]
- Baccouri, O.; Guerfel, M.; Baccouri, B.; Cerretani, L.; Bendini, A.; Lercker, G.; Zarrouk, M.; Daoud Ben Miled, D. Chemical Composition and Oxidative Stability of Tunisian Monovarietal Virgin Olive Oils with Regard to Fruit Ripening. Food Chem. 2008, 109, 743–754. [Google Scholar] [CrossRef]
- Cecchi, T.; Alfei, B. Volatile Profiles of Italian Monovarietal Extra Virgin Olive Oils via HS-SPME-GC-MS: Newly Identified Compounds, Flavors Molecular Markers, and Terpenic Profile. Food Chem. 2013, 141, 2025–2035. [Google Scholar] [CrossRef] [PubMed]
- Guissous, M.; Le Dréau, Y.; Boulkhroune, H.; Madani, T.; Artaud, J. Chemometric Characterization of Eight Monovarietal Algerian Virgin Olive Oils. JAOCS J. Am. Oil Chem. Soc. 2018, 95, 267–281. [Google Scholar] [CrossRef]
- de Carvalho, A.G.A.; Olmo-García, L.; Gaspar, B.R.A.; Carrasco-Pancorbo, A.; Castelo-Branco, V.N.; Guedes Torres, A. Evaluating Quality Parameters, the Metabolic Profile, Extra Virgin Olive Oils from Brazil. Molecules 2020, 25, 4193. [Google Scholar] [CrossRef] [PubMed]
- Mafrica, R.; Piscopo, A.; De Bruno, A.; Poiana, M. Effects of Climate on Fruit Growth and Development on Olive Oil Quality in Cultivar Carolea. Agriculture 2021, 11, 147. [Google Scholar] [CrossRef]
- Yu, L.; Wang, Y.; Wu, G.; Jin, J.; Jin, Q.; Wang, X. Chemical and Volatile Characteristics of Olive Oils Extracted from Four Varieties Grown in Southwest of China. Food Res. Int. 2021, 140, 109987. [Google Scholar] [CrossRef]
- Mousa, Y.M.; Gerasopoulos, D. Effect of Altitude on Fruit and Oil Quality Characteristics of ‘Mast Oides’ Olives. J. Sci. Food Agric. 1996, 71, 345–350. [Google Scholar] [CrossRef]
- Issaoui, M.; Flamini, G.; Brahmi, F.; Dabbou, S.; Hassine, K.B.; Taamali, A.; Chehab, H.; Ellouz, M.; Zarrouk, M.; Hammami, M. Effect of the Growing Area Conditions on Differentiation between Chemlali and Chétoui Olive Oils. Food Chem. 2010, 119, 220–225. [Google Scholar] [CrossRef]
- Pannelli, G.; Servili, M.; Famiani, F.; Montedoro, G. Agro-Climatic Factors and Characteristics of the Composition of Virgin Olive Oils. Acta Hortic. 1990, 286, 477–480. [Google Scholar] [CrossRef]
- Gómez-Rico, A.; Salvador, M.D.; Moriana, A.; Pérez, D.; Olmedilla, N.; Ribas, F.; Fregapane, G. Influence of Different Irrigation Strategies in a Traditional Cornicabra Cv. Olive Orchard on Virgin Olive Oil Composition and Quality. Food Chem. 2007, 100, 568–578. [Google Scholar] [CrossRef]
- Tura, D.; Gigliotti, C.; Pedò, S.; Failla, O.; Bassi, D.; Serraiocco, A. Influence of Cultivar and Site of Cultivation on Levels of Lipophilic and Hydrophilic Antioxidants in Virgin Olive Oils (Olea Europea L.) and Correlations with Oxidative Stability. Sci. Hortic. Amst. 2007, 112, 108–119. [Google Scholar] [CrossRef]
- Miazzi, M.M.; di Rienzo, V.; Mascio, I.; Montemurro, C.; Sion, S.; Sabetta, W.; Vivaldi, G.A.; Camposeo, S.; Caponio, F.; Squeo, G.; et al. Ger.O.P.: An Integrated Project for the Recovery of Ancient and Rare Olive Germplasm. Front. Plant Sci. 2020, 11, 1–14. [Google Scholar] [CrossRef] [PubMed]
- Škevin, D.; Kraljić, K.; Miletić, L.; Obranović, M.; Neđeral, S.; Petričević, S. Adulteration of Oblica Virgin Olive Oil with Edible Sunfl Ower and Refi Ned Olive Pomace Oil. Croat. J. Food Technol. Biotechnol. Nutr. 2011, 6, 117–122. [Google Scholar]
- Conte, L.; Bendini, A.; Valli, E.; Lucci, P.; Moret, S.; Maquet, A.; Lacoste, F.; Brereton, P.; García-González, D.L.; Moreda, W.; et al. Olive Oil Quality and Authenticity: A Review of Current EU Legislation, Standards, Relevant Methods of Analyses, Their Drawbacks and Recommendations for the Future. Trends Food Sci. Technol. 2019. [Google Scholar] [CrossRef]
- EFSA NDA Panel. Scientific Opinion on the Substantiation of Health Claims Related to Olive Oil and Maintenance of Normal Blood LDL-Cholesterol Concentrations (ID 1316, 1332), Maintenance of Normal (Fasting) Blood Concentrations of Triglycerides (ID 1316, 1332), Maintenan. EFSA J. 2011, 9, 1–19. [Google Scholar] [CrossRef]
- Lerma-García, M.J.; Ramis-Ramos, G.; Herrero-Martínez, J.M.; Simó-Alfonso, E.F. Authentication of Extra Virgin Olive Oils by Fourier-Transform Infrared Spectroscopy. Food Chem. 2010, 118, 78–83. [Google Scholar] [CrossRef]
- Rotondi, A.; Beghè, D.; Fabbri, A.; Ganino, T. Olive Oil Traceability by Means of Chemical and Sensory Analyses: A Comparison with SSR Biomolecular Profiles. Food Chem. 2011, 129, 1825–1831. [Google Scholar] [CrossRef]
- Aparicio, R.; Morales, M.T.; Aparicio-Ruiz, R.; Tena, N.; García-González, D.L. Authenticity of Olive Oil: Mapping and Comparing Official Methods and Promising Alternatives. Food Res. Int. 2013, 54, 2025–2038. [Google Scholar] [CrossRef]
- European Union Commission. Commission Delegated Regulation No 2016/2095 of 26 September 2016 Amending Regulation (EEC) No 2568/91 on the Characteristics of Olive Oil and Olive-Residue Oil and on the Relevant Methods of Analysis. Off. J. Eur. Union 2016, L326, 1–6. [Google Scholar]
- Alonso García, M.V.; Aparicio López, R. Characterization of European Virgin Olive Oils Using Fatty Acids. Grasas Aceites 1993, 44, 18–24. [Google Scholar] [CrossRef]
- Dabbou, S.; Issaoui, M.; Servili, M.; Taticchi, A.; Sifi, S.; Montedoro, G.F.; Hammami, M. Characterisation of Virgin Olive Oils from European Olive Cultivars Introduced in Tunisia. Eur. Lipid Sci. Technol. 2009, 111, 392–401. [Google Scholar] [CrossRef]
- Peršurić, Ž.; Saftić, L.; Mašek, T.; Kraljević Pavelić, S. Comparison of Triacylglycerol Analysis by MALDI-TOF/MS, Fatty Acid Analysis by GC-MS and Non-Selective Analysis by NIRS in Combination with Chemometrics for Determination of Extra Virgin Olive Oil Geographical Origin. A Case Study. Lwt 2018, 95, 326–332. [Google Scholar] [CrossRef]
- Aguilera, M.P.; Beltrán, G.; Ortega, D.; Fernández, A.; Jiménez, A.; Uceda, M. Characterisation of Virgin Olive Oil of Italian Olive Cultivars: “Frantoio” and “Leccino”, Grown in Andalusia. Food Chem. 2005, 89, 387–391. [Google Scholar] [CrossRef]
- Rondanini, D.P.; Castro, D.N.; Searles, P.S.; Rousseaux, M.C. Contrasting Patterns of Fatty Acid Composition and Oil Accumulation during Fruit Growth in Several Olive Varieties and Locations in a Non-Mediterranean Region. Eur. J. Agron. 2014, 52, 237–246. [Google Scholar] [CrossRef]
- Romero, M.P.; Tovar, M.J.; Girona, J.; Motilva, M.J. Changes in the HPLC Phenolic Profile of Virgin Olive Oil from Young Trees (Olea Europaea L. Cv. Arbequina) Grown under Different Deficit Irrigation Strategies. J. Agric. Food Chem. 2002, 50, 5349–5354. [Google Scholar] [CrossRef] [PubMed]
- García-Inza, G.P.; Castro, D.N.; Hall, A.J.; Rousseaux, M.C. Responses to Temperature of Fruit Dry Weight, Oil Concentration, and Oil Fatty Acid Composition in Olive (Olea Europaea L. Var. ’Arauco’). Eur. J. Agron. 2014, 54, 107–115. [Google Scholar] [CrossRef]
- Gutiérrez, F.; Arnaud, T.; AlbiAlbi, M.A. Influence of Ecological Cultivation on Virgin Olive Oil Quality. JAOCS J. Am. Oil Chem. Soc. 1999, 76, 617–621. [Google Scholar] [CrossRef]
- Rosati, A.; Cafiero, C.; Paoletti, A.; Alfei, B.; Caporali, S.; Casciani, L.; Valentini, M. Effect of Agronomical Practices on Carpology, Fruit and Oil Composition, and Oil Sensory Properties, in Olive (Olea Europaea L.). Food Chem. 2014, 159, 236–243. [Google Scholar] [CrossRef] [PubMed]
- Lukić, I.; Žanetić, M.; Jukić Špika, M.; Lukić, M.; Koprivnjak, O.; Brkić Bubola, K. Complex Interactive Effects of Ripening Degree, Malaxation Duration and Temperature on Oblica Cv. Virgin Olive Oil Phenols, Volatiles and Sensory Quality. Food Chem. 2017, 232. [Google Scholar] [CrossRef]
- Jukić Špika, M.; Žanetić, M.; Kraljić, K.; Soldo, B.; Ljubenkov, I.; Politeo, O.; Škevin, D. Differentiation Between Unfiltered and Filtered Oblica and Leccino Cv. Virgin Olive Oils. J. Food Sci. 2019, 84, 877–885. [Google Scholar] [CrossRef]
- Cecchi, L.; Migliorini, M.; Mulinacci, N. Virgin Olive Oil Volatile Compounds: Composition, Sensory Characteristics, Analytical Approaches, Quality Control, and Authentication. J. Agric. Food Chem. 2021. [Google Scholar] [CrossRef]
- Kottek, M.; Grieser, J.; Beck, C.; Rudolf, B.; Rubel, F. World Map of the Köppen-Geiger Climate Classification Updated. Meteorol. Z. 2006, 15, 259–263. [Google Scholar] [CrossRef]
- Uceda, M.; Frias, L. Harvest Dates. Evolution of the Fruit Oil Content, Oil Composition and Oil Quality. In Proceedings of the Del Segundo Seminario Oleicola Internacional, Cordoba, Spain, 6 October 1975; pp. 125–128. [Google Scholar]
- EEC. Characteristics of Olive Oil and Olive-Residue Oil and the Relevant Methods of Analysis. Regulation EEC/2568/91 and Later Modifications. Off. J. Eur. Community 1991, L24, 1–83. [Google Scholar]
- Gutfinger, T. Polyphenols in Olive Oils. J. Am. Oil Chem. Soc. 1981, 58, 966–968. [Google Scholar] [CrossRef]
- IOC. Organoleptic Assessment of Virgin Olive Oil; COI/T.20/Doc.15/Rev. 2; IOC: Lausanne, Switzerland, 2007. [Google Scholar]
- Špika, M.J.; Kraljić, K.; Škevin, D. Tocopherols: Chemical Structure, Bioactivity, and Variability Tocopherols: Chemical Structure, Bioactivity, and in Croatian Virgin Olive Oils Variability in Croatian Virgin Olive Oils. In Products from Olive Tree; Boskou, D., Clodoveo, M.L., Eds.; InTech: London, UK, 2016; pp. 317–329. [Google Scholar] [CrossRef]
- Tovar, M.J.; Motilva, M.J.; Romero, M.P. Changes in the Phenolic Composition of Virgin Olive Oil from Young Trees (Olea Europaea L. Cv. Arbequina) Grown under Linear Irrigation Strategies. J. Agric. Food Chem. 2001, 49, 5502–5508. [Google Scholar] [CrossRef]
- Servili, M.; Esposto, S.; Lodolini, E.; Selvaggini, R.; Taticchi, A.; Urbani, S.; Montedoro, G.; Serravalle, M.; Gucci, R. Irrigation Effects on Quality, Phenolic Composition, and Selected Volatiles of Virgin Olive Oils Cv. Leccino. J. Agric. Food Chem. 2007, 55, 6609–6618. [Google Scholar] [CrossRef] [PubMed]
- Olmo-García, L.; Bajoub, A.; Monasterio, R.P.; Fernández-Gutiérrez, A.; Carrasco-Pancorbo, A. Metabolic Profiling Approach to Determine Phenolic Compounds of Virgin Olive Oil by Direct Injection and Liquid Chromatography Coupled to Mass Spectrometry. Food Chem. 2017, 231, 374–385. [Google Scholar] [CrossRef]
- Monasterio, R.P.; Banco, A.P.; Caderón, F.J.; Trentacoste, E.R. Effects of Pre-Harvest Deficit Irrigation during the Oil Accumulation Period on Fruit Characteristics, Oil Yield Extraction, and Oil Quality in Olive Cv. Genovesa in an Arid Region of Argentina. Agric. Water Manag. 2021, 252, 106901. [Google Scholar] [CrossRef]
- Tovar, M.; Romero, M.; Alegre, S.; Girona, J.; Motilva, M. Composition and Organoleptic Characteristics of Oil FromArbequina Olive (Olea Europaea L) Trees under Deficit Irrigation. J. Sci. Food Agric. 2002, 82, 1755–1763. [Google Scholar] [CrossRef]
- Machado, M.; Felizardo, C.; Fernandes-Silva, A.A.; Nunes, F.M.; Barros, A. Polyphenolic Compounds, Antioxidant Activity and l-Phenylalanine Ammonia-Lyase Activity during Ripening of Olive Cv. “Cobrançosa” under Different Irrigation Regimes. Food Res. Int. 2013, 51, 412–421. [Google Scholar] [CrossRef]
- Dabbou, S.; Rjiba, I.; Nakbi, A.; Gazzah, N.; Issaoui, M.; Hammami, M. Compositional Quality of Virgin Olive Oils from Cultivars Introduced in Tunisian Arid Zones in Comparison to Chemlali Cultivars. Sci. Hortic. Amst. 2010, 124, 122–127. [Google Scholar] [CrossRef]
- Morelló, J.-R.; Romero, M.-P.; Ramo, T.; Motilva, M.-J. Evaluation of L-Phenylalanine Ammonia-Lyase Activity and Phenolic Profile in Olive Drupe (Olea Europaea L.) from Fruit Setting Period to Harvesting Time. Plant Sci. 2005, 168, 65–72. [Google Scholar] [CrossRef]
- Špika, M.J.; Žanetić, M.; Kraljić, K.; Pasković, I.; Škevin, D. Changes in Olive Fruit Characteristics and Oil Accumulation in “Oblica” and “Leccino” during Ripening. Acta Hortic 2018. [Google Scholar] [CrossRef]
- Arslan, D.; Karabekir, Y.; Schreiner, M. Variations of Phenolic Compounds, Fatty Acids and Some Qualitative Characteristics of Sarıulak Olive Oil as Induced by Growing Area. Food Res. Int. 2013, 54, 1897–1906. [Google Scholar] [CrossRef]
- Rotondi, A.; Fabbri, A.; Ganino, T. Sensory and Chemical Properties of Extra Virgin Olive Oils Produced in Two Different Italian Regions: Tuscany and Emilia-Romagna. J. Food, Agric. Environ. 2008, 6, 71–77. [Google Scholar]
- Škevin, D.; Rade, D.; Štrucelj, D.; Mokrovčak, Ž.; Nederal, S.; Benčić, D. The Influence of Variety and Harvest Time on the Bitterness and Phenolic Compounds of Olive Oil. Eur. J. Lipid Sci. Technol. 2003, 105, 536–541. [Google Scholar] [CrossRef]
- Uceda, M.; Hermoso, M.; García-Ortiz, A.; Jimenez, A.; Beltrán, G. Intraspecific Variation of Oil Contents and the Characteristics of Oils in Olive Cultivars. In Proceedings of the International Symposium on Olive Growing, Crete, Greece, 22–26 September 1997; pp. 474, 659–662. [Google Scholar]
- Diamantakos, P.; Ioannidis, K.; Papanikolaou, C.; Tsolakou, A.; Rigakou, A.; Melliou, E.; Magiatis, P. A New Definition of the Term “High—Phenolic Olive Oil ” Based on Large Scale Statistical Data of Greek Olive Oils Analyzed by QNMR. Molecules 2021, 26, 1115. [Google Scholar] [CrossRef] [PubMed]
- Sánchez, J.; Harwood, J.L. Biosynthesis of Triacylglycerols and Volatiles in Olives. Eur. J. Lipid Sci. Technol. 2002, 104, 564–573. [Google Scholar] [CrossRef]
- Romero, M.P.; Tovar, M.J.; Ramo, T.; Motilva, M.J. Effect of Crop Season on the Composition of Virgin Olive Oil with Protected Designation of Origin “Les Garrigues. ” J. Am. Oil Chem. Soc. 2003, 80, 423–430. [Google Scholar] [CrossRef]
- Beltrán, G.; Del Rio, C.; Sánchez, S.; Martínez, L. Influence of Harvest Date and Crop Yield on the Fatty Acid Composition of Virgin Olive Oils from Cv. Picual. J. Agric. Food Chem. 2004, 52, 3434–3440. [Google Scholar] [CrossRef]
- Caruso, G.; Gucci, R.; Urbani, S.; Esposto, S.; Taticchi, A.; Di Maio, I.; Selvaggini, R.; Servili, M. Effect of Different Irrigation Volumes during Fruit Development on Quality of Virgin Olive Oil of Cv. Frantoio. Agric. Water Manag. 2014, 134, 94–103. [Google Scholar] [CrossRef]
- Cano-Lamadrid, M.; Girón, I.F.; Pleite, R.; Burló, F.; Corell, M.; Moriana, A.; Carbonell-Barrachina, A.A. Quality Attributes of Table Olives as Affected by Regulated Deficit Irrigation. LWT Food Sci. Technol. 2015, 62, 19–26. [Google Scholar] [CrossRef]
- Ivanov, S. Dependence of the Chemical Composition of Oil Containing Plants on the Climate. J. Oil Fat Ind. 1927, 5, 29–31. [Google Scholar]
- Uceda, M. Variabilidad Intraespecífica de Los Factores Que Determinan La Calidad Del Aceite de Oliva. Ph.D. Thesis, Universidad de Jaén, Jaén, Spain, 2004. [Google Scholar]
- Žanetić, M.; Štrucelj, D.; Perica, S.; Rade, D.; Škevin, D.; Serraiocco, A.; Simone, N. Chemical Composition of Dalmatian Virgin Olive Oils from Autochtonous Olive Cultivars Oblica, Lastovka and Levantinka. La Riv. iItaliana Delle Sostanze Grasse 2010, 87, 24–33. [Google Scholar]
- Angerosa, F.; Mostallino, R.; Basti, C.; Reffaella, V. Virgin Olive Oil Odour Notes: Their Relationships with Volatile Compounds from the Lipoxygenase Pathway and Secoiridoid Compounds. Food Chem. 2000, 68, 283–287. [Google Scholar] [CrossRef]
- Gómez-Rico, A.; Fregapane, G.; Salvador, M.D. Effect of Cultivar and Ripening on Minor Components in Spanish Olive Fruits and Their Corresponding Virgin Olive Oils. Food Res. Int. 2008, 41, 433–440. [Google Scholar] [CrossRef]
- Mendoza, M.F.; De Miguel Gordillo, C.; Expóxito, J.M.; Casas, J.S.; Cano, M.M.; Vertedor, D.M.; Baltasar, M.N.F. Chemical Composition of Virgin Olive Oils According to the Ripening in Olives. Food Chem. 2013, 141, 2575–2581. [Google Scholar] [CrossRef] [PubMed]
- Bengana, M.; Bakhouche, A.; Lozano-Sánchez, J.; Amir, Y.; Youyou, A.; Segura-Carretero, A.; Fernández-Gutiérrez, A. Influence of Olive Ripeness on Chemical Properties and Phenolic Composition of Chemlal Extra-Virgin Olive Oil. Food Res. Int. 2013, 54, 1868–1875. [Google Scholar] [CrossRef]
- Salvador, M.D.; Aranda, F.; Gómez-Alonso, S.; Fregapane, G. Cornicabra Virgin Olive Oil: A Study of Five Crop Seasons. Composition, Quality and Oxidative Stability. Food Chem. 2001, 74, 267–274. [Google Scholar] [CrossRef]
- Salas, J.J.; Sánchez, J.; Ramli, U.S.; Manaf, A.M.; Williams, M.; Harwood, J.L. Biochemistry of Lipid Metabolism in Olive and Other Oil Fruits. Prog. Lipid Res. 2000, 39, 151–180. [Google Scholar] [CrossRef]
- Vekiari, S.A.; Oreopoulou, V.; Kourkoutas, Y.; Kamoun, N.; Msallem, M.; Psimouli, V.; Arapoglou, D. Characterization and Seasonal Variation of the Quality of Virgin Olive Oil of the Throumbolia and Koroneiki Varieties from Southern Greece. Grasas Y Aceites 2010, 61, 221–231. [Google Scholar] [CrossRef]
- Faci, M.; Hedjal, M.; Douzane, M.; Sevim, D.; Köseo, O. Locations Effects on the Quality of Chemlal and Azeradj Olives Grown in Algeria. J. Am. Oil Chem. Soc. 2021. [Google Scholar] [CrossRef]
- Salas, J.; Pastor, M.; Castro, J.; Vega, V. Influencia Del Riego Sobre La Composición y Características Organolépticas Del Aceite de Oliva. Grasas Aceites 1997, 48, 74–82. [Google Scholar] [CrossRef]
- Martínez-Rivas, J.M.; García-Díaz, M.T.; Mancha, M. Temperature and Oxygen Regulation of Microsomal Oleate Desaturase (FAD2) from Sunflower. Biochem. Soc. Trans. 2000, 28, 890–892. [Google Scholar] [CrossRef]
- Ramli, U.S.; Salas, J.J.; Quant, P.A.; Harwood, J.L. Metabolic Control Analysis Reveals an Important Role for Diacylglycerol Acyltransferase in Olive but Not in Oil Palm Lipid Accumulation. FEBS J. 2005, 272, 5764–5770. [Google Scholar] [CrossRef] [PubMed]
- Clodoveo, M.L.; Hbaieb, R.H.; Kotti, F.; Mugnozza, G.S.; Gargouri, M. Mechanical Strategies to Increase Nutritional and Sensory Quality of Virgin Olive Oil by Modulating the Endogenous Enzyme Activities. Compr. Rev. Food Sci. Food Saf. 2014, 13. [Google Scholar] [CrossRef]
- Kalua, C.M.; Allen, M.S.; Bedgood, D.R.; Bishop, A.G.; Prenzler, P.D.; Robards, K. Olive Oil Volatile Compounds, Flavour Development and Quality: A Critical Review. Food Chem. 2007, 100, 273–286. [Google Scholar] [CrossRef]
- Gregorio, A.; Dugo, G.; N, A. Lipoxygenase Activities in Ripening Olive Fruit Tissue. J. Food Biochem. 2000, 24, 417–426. [Google Scholar] [CrossRef]
- Brkić Bubola, K.; Koprivnjak, O.; Sladonja, B.; Lukić, I. Volatile Compounds and Sensory Profiles of Monovarietal Virgin Olive Oil from Buža, Črna and Rosinjola Cultivars in Istria (Croatia). Food Technol. Biotechnol. 2012, 50, 192–198. [Google Scholar]





| Crop Year | Harvest Period | Oblica | Leccino | ||
|---|---|---|---|---|---|
| Kaštela | Šestanovac | Kaštela | Šestanovac | ||
| 2010 | 1. | 0.00 | 0.00 | 2.36 | 1.83 |
| 2. | 0.56 | 0.25 | 3.67 | 3.30 | |
| 3. | 1.12 | 1.05 | 3.90 | 3.82 | |
| 4. | 2.73 | 3.97 | 4.12 | 4.85 | |
| 2011 | 1. | 0.00 | 0.00 | 2.49 | 1.41 |
| 2. | 0.48 | 0.44 | 3.50 | 2.01 | |
| 3. | 1.70 | 2.94 | 4.00 | 3.96 | |
| 4. | 3.94 | 3.87 | 4.05 | 4.10 | |
| 2012 | 1. | 0.37 | 0.29 | 2.11 | 1.05 |
| 2. | 0.79 | 0.56 | 2.31 | 1.72 | |
| 3. | 2.12 | 1.27 | 3.15 | 2.56 | |
| 4. | 2.86 | 2.84 | 3.48 | 3.37 | |
| Rainfall | Mean Temperature | |||||||||
|---|---|---|---|---|---|---|---|---|---|---|
| Jul | Aug | Sep | Oct | Nov | Jul | Aug | Sep | Oct | Nov | |
| TPC 1 | ns 2 | ns | −0.306 | −0.202 | 0.343 | −0.284 | −0.413 | −0.270 | −0.266 | −0.577 |
| Factor | Fatty Acid | |||||||||
|---|---|---|---|---|---|---|---|---|---|---|
| C16:0 | C16:1 | C18:0 | C18:1 | C18:2 | C18:3 | C18:1/C18:2 | MUFA/SFA | |||
| 2010 | Kaštela | 1. | 14.23 ± 0.03a | 0.81 ± 0.01a | 2.11 ± 0.01ab | 71.15 ± 0.03g | 9.71 ± 0.02e | 0.81 ± 0.01b | 7.33 ± 0.01e | 4.24 ± 0.01h |
| 2. | 13.71 ± 0.01b | 0.81 ± 0.01a | 2.15 ± 0.13a | 71.13 ± 0.04g | 10.21 ± 0.02b | 0.81 ± 0.01b | 6.97 ± 0.01g | 4.36 ± 0.04g | ||
| 3. | 12.92 ± 0.02c | 0.81 ± 0.01a | 2.11 ± 0.01ab | 72.23 ± 0.03f | 10.12 ± 0.03c | 0.71 ± 0.01c | 7.15 ± 0.03f | 4.68 ± 0.01f | ||
| 4. | 12.14 ± 0.02e | 0.71 ± 0.01b | 2.01 ± 0.01bc | 72.92 ± 0.02e | 10.43 ± 0.02a | 0.71 ± 0.01c | 7.00 ± 0.01g | 5.03 ± 0.01c | ||
| Šestanovac | 1. | 12.93 ± 0.02c | 0.71 ± 0.01b | 2.02 ± 0.03abc | 73.92 ± 0.02c | 8.33 ± 0.03g | 0.91 ± 0.01a | 8.89 ± 0.03a | 4.78 ± 0.01e | |
| 2. | 12.52 ± 0.02d | 0.61 ± 0.01c | 2.02 ± 0.03abc | 73.53 ± 0.04d | 9.41 ± 0.01f | 0.81 ± 0.01b | 7.82 ± 0.01b | 4.91 ± 0.01d | ||
| 3. | 10.82 ± 0.05f | 0.51 ± 0.01d | 2.03 ± 0.04abc | 75.03 ± 0.03b | 9.71 ± 0.01e | 0.71 ± 0.01c | 7.74 ± 0.01c | 5.62 ± 0.02b | ||
| 4. | 10.12 ± 0.03g | 0.51 ± 0.01d | 1.91 ± 0.01c | 76.06 ± 0.05c | 9.92 ± 0.03d | 0.71 ± 0.01c | 7.68 ± 0.02d | 6.06 ± 0.01a | ||
| 2011 | Kaštela | 1. | 14.81 ± 0.03b | 1.11 ± 0.01b | 2.01 ± 0.01d | 66.01 ± 0.01f | 14.10 ± 0.02d | 1.01 ± 0.01a | 4.69 ± 0.01f | 3.88 ± 0.01f |
| 2. | 15.22 ± 0.02a | 1.41 ± 0.01a | 2.11 ± 0.01c | 64.81 ± 0.01h | 14.41 ± 0.01a | 0.91 ± 0.01b | 4.51 ± 0.01h | 3.70 ± 0.01h | ||
| 3. | 14.61 ± 0.02c | 1.01 ± 0.01c | 2.31 ± 0.01a | 65.81 ± 0.01g | 14.31 ± 0.01b | 0.91 ± 0.01b | 4.61 ± 0.01g | 3.82 ± 0.01g | ||
| 4. | 13.51 ± 0.01f | 0.81 ± 0.01e | 2.31 ± 0.01a | 67.12 ± 0.03e | 14.21 ± 0.01c | 0.81 ± 0.01c | 4.73 ± 0.01e | 4.18 ± 0.01d | ||
| Šestanovac | 1. | 14.41 ± 0.02d | 0.91 ± 0.01d | 2.21 ± 0.01b | 69.31 ± 0.01d | 11.11 ± 0.01f | 0.91 ± 0.01b | 6.25 ± 0.01c | 4.11 ± 0.01e | |
| 2. | 13.71 ± 0.01e | 0.91 ± 0.01d | 2.21 ± 0.01b | 70.21 ± 0.01c | 11.11 ± 0.01f | 0.81 ± 0.01c | 6.33 ± 0.01b | 4.34 ± 0.01c | ||
| 3. | 13.11 ± 0.02g | 0.81 ± 0.01e | 2.11 ± 0.01c | 71.11 ± 0.01b | 11.11 ± 0.01f | 0.71 ± 0.01d | 6.41 ± 0.01a | 4.58 ± 0.01b | ||
| 4. | 12.31 ± 0.01h | 0.71 ± 0.01f | 2.31 ± 0.01a | 71.51 ± 0.01a | 11.51 ± 0.02e | 0.71 ± 0.01d | 6.22 ± 0.01d | 4.78 ± 0.01a | ||
| 2012 | Kaštela | 1. | 15.31 ± 0.06a | 1.11 ± 0.01b | 2.21 ± 0.01b | 67.51 ± 0.05f | 11.82 ± 0.04d | 0.91 ± 0.01a | 5.72 ± 0.03d | 3.80 ± 0.02f |
| 2. | 14.91 ± 0.03b | 1.02 ± 0.03c | 2.21 ± 0.01b | 67.72 ± 0.04f | 12.21 ± 0.03c | 0.81 ± 0.01b | 5.55 ± 0.01e | 3.89 ± 0.01f | ||
| 3. | 14.41 ± 0.09c | 1.00 ± 0.01c | 2.11 ± 0.04c | 67.91 ± 0.01e | 13.61 ± 0.12a | 0.91 ± 0.01a | 5.00 ± 0.05f | 4.04 ± 0.02e | ||
| 4. | 13.71 ± 0.01d | 1.01 ± 0.01c | 2.11 ± 0.01c | 67.81 ± 0.02f | 13.31 ± 0.03b | 0.81 ± 0.02b | 5.10 ± 0.01f | 4.18 ± 0.01d | ||
| Šestanovac | 1. | 14.51 ± 0.02c | 1.21 ± 0.03a | 2.40 ± 0.07a | 69.80 ± 0.05d | 10.11 ± 0.01e | 0.91 ± 0.01a | 6.91 ± 0.01c | 4.04 ± 0.01e | |
| 2. | 13.81 ± 0.06d | 1.11 ± 0.01b | 2.22 ± 0.03b | 71.31 ± 0.10c | 9.71 ± 0.04f | 0.81 ± 0.01b | 7.36 ± 0.02b | 4.39 ± 0.02c | ||
| 3. | 12.82 ± 0.04e | 1.01 ± 0.01c | 2.21 ± 0.01b | 72.41 ± 0.07b | 9.81 ± 0.01f | 0.71 ± 0.01c | 7.39 ± 0.01b | 4.73 ± 0.01b | ||
| 4. | 11.91 ± 0.02f | 1.01 ± 0.01c | 2.22 ± 0.02b | 74.03 ± 0.04a | 9.21 ± 0.04g | 0.71 ± 0.01c | 8.04 ± 0.03a | 5.13 ± 0.01a | ||
| Year | 2010 | 12.42 ± 1.33c | 0.68 ± 0.13c | 2.04 ± 0.09b | 73.24 ± 1.69a | 9.73 ± 0.63c | 0.77 ± 0.08c | 7.57 ± 0.60a | 4.96 ± 0.59a | |
| 2011 | 13.96 ± 0.94a | 0.96 ± 0.22b | 2.19 ± 0.11a | 68.23 ± 2.50c | 12.73 ± 1.57a | 0.84 ± 0.11a | 5.47 ± 0.86c | 4.17 ± 0.37c | ||
| 2012 | 13.92 ± 1.08b | 1.06 ± 0.08a | 2.21 ± 0.09a | 69.81 ± 2.40b | 11.22 ± 1.66b | 0.82 ± 0.08b | 6.38 ± 1.13b | 4.27 ± 0.44b | ||
| F | 21,304 | 14,436.6 | 205.1 | 148,383 | 64,983 | 5703 | 1018 | 20,007 | ||
| p | *** | *** | *** | *** | *** | *** | *** | *** | ||
| Growing site | ||||||||||
| Kaštela | 14.12 ± 0.94a | 0.97 ± 0.19a | 2.14 ± 0.10 | 68.51 ± 2.60b | 12.37 ± 1.80a | 0.84 ± 0.09a | 5.70 ± 1.08b | 4.15 ± 0.39b | ||
| Šestanovac | 12.75 ± 1.3b | 0.83 ± 0.23b | 2.15 ± 0.14 | 72.35 ± 2.10a | 10.09 ± 0.92b | 0.78 ± 0.09b | 7.25 ± 0.82a | 4.79 ± 0.58a | ||
| F | 39,233 | 5169.3 | 1.6 | 250,172 | 112,897 | 10,009 | 124,865 | 42,694 | ||
| p | *** | *** | ns | *** | *** | *** | *** | *** | ||
| Harvest period | ||||||||||
| 1. | 14.37 ± 0.76a | 0.97 ± 0.19a | 2.16 ± 0.14 | 69.62 ± 2.61d | 10.86 ± 1.87c | 0.91 ± 0.07a | 6.63 ± 1.36a | 4.14 ± 0.33d | ||
| 2. | 13.98 ± 0.92b | 0.97 ± 0.26a | 2.15 ± 0.09 | 69.78 ± 2.89c | 11.18 ± 1.77b | 0.82 ± 0.04b | 6.42 ± 1.16c | 4.26 ± 0.40c | ||
| 3. | 13.12 ± 1.29c | 0.86 ± 0.19b | 2.14 ± 0.10 | 70.75 ± 3.15b | 11.44 ± 1.91a | 0.77 ± 0.10c | 6.38 ± 1.23d | 4.58 ± 0.60b | ||
| 4. | 12.28 ± 1.22d | 0.79 ± 0.19c | 2.14 ± 0.16 | 71.57 ± 3.31a | 11.43 ± 1.86a | 0.74 ± 0.05d | 6.46 ± 1.28b | 4.89 ± 0.67a | ||
| F | 17,943 | 2383.2 | 1.0 | 14,073 | 1622 | 15,333 | 203,681 | 71,255 | ||
| p | *** | *** | ns | *** | *** | *** | *** | *** | ||
| Factor | Fatty Acid | |||||||||
|---|---|---|---|---|---|---|---|---|---|---|
| C16:0 | C16:1 | C18:0 | C18:1 | C18:2 | C18:3 | C18:1/C18:2 | MUFA/SFA | |||
| 2010 | Kaštela | 1. | 15.07 ± 0.04a | 0.91 ± 0.01d | 2.61 ± 0.01a | 71.73 ± 0.05h | 7.92 ± 0.02a | 0.91 ± 0.01a | 9.07 ± 0.02g | 3.98 ± 0.01f |
| 2. | 14.91 ± 0.01b | 1.11 ± 0.01c | 2.31 ± 0.01b | 72.71 ± 0.02g | 7.11 ± 0.01b | 0.81 ± 0.01b | 10.25 ± 0.01f | 4.15 ± 0.01e | ||
| 3. | 14.51 ± 0.01c | 1.41 ± 0.01a | 2.11 ± 0.01d | 73.92 ± 0.03e | 6.61 ± 0.01c | 0.71 ± 0.01c | 11.20 ± 0.01e | 4.43 ± 0.01d | ||
| 4. | 14.31 ± 0.01e | 1.41 ± 0.01a | 1.91 ± 0.01f | 74.84 ± 0.06c | 6.02 ± 0.02e | 0.61 ± 0.01d | 12.45 ± 0.03c | 4.62 ± 0.01c | ||
| Šestanovac | 1. | 15.12 ± 0.02a | 0.81 ± 0.01e | 2.31 ± 0.01b | 73.12 ± 0.02f | 7.11 ± 0.02b | 0.81 ± 0.01b | 10.29 ± 0.02f | 4.15 ± 0.01e | |
| 2. | 14.41 ± 0.01d | 1.05 ± 0.05d | 2.21 ± 0.01c | 74.71 ± 0.02d | 6.12 ± 0.02d | 0.71 ± 0.01c | 12.23 ± 0.04d | 4.43 ± 0.01d | ||
| 3. | 14.01 ± 0.01g | 1.11 ± 0.01c | 2.02 ± 0.03e | 75.82 ± 0.03a | 5.61 ± 0.01f | 0.61 ± 0.01d | 13.54 ± 0.01b | 4.65 ± 0.01b | ||
| 4. | 13.21 ± 0.01f | 1.21 ± 0.01b | 2.21 ± 0.01c | 75.61 ± 0.01b | 5.53 ± 0.04g | 0.61 ± 0.01d | 13.68 ± 0.08a | 4.88 ± 0.01a | ||
| 2011 | Kaštela | 1. | 15.21 ± 0.02c | 1.21 ± 0.01d | 1.71 ± 0.01d | 71.75 ± 0.01e | 8.45 ± 0.05d | 0.91 ± 0.01a | 8.50 ± 0.05e | 4.22 ± 0.01e |
| 2. | 15.41 ± 0.03b | 1.21 ± 0.01d | 1.71 ± 0.01d | 71.31 ± 0.01f | 9.13 ± 0.01c | 0.91 ± 0.01a | 7.82 ± 0.01f | 4.15 ± 0.01f | ||
| 3. | 14.72 ± 0.02e | 1.21 ± 0.01d | 1.81 ± 0.01c | 70.21 ± 0.01g | 9.44 ± 0.05b | 0.91 ± 0.01a | 7.45 ± 0.04g | 4.23 ± 0.01e | ||
| 4. | 14.12 ± 0.02g | 1.31 ± 0.01c | 1.91 ± 0.01b | 71.33 ± 0.03f | 9.74 ± 0.02a | 0.81 ± 0.01b | 7.33 ± 0.02h | 4.42 ± 0.01c | ||
| Šestanovac | 1. | 15.51 ± 0.01a | 1.11 ± 0.01e | 2.01 ± 0.02a | 72.81 ± 0.02d | 6.83 ± 0.03e | 0.91 ± 0.01a | 10.68 ± 0.04d | 4.13 ± 0.01g | |
| 2. | 15.11 ± 0.02d | 1.41 ± 0.01b | 1.91 ± 0.02b | 73.72 ± 0.03b | 6.32 ± 0.02g | 0.71 ± 0.01c | 11.68 ± 0.03b | 4.34 ± 0.01d | ||
| 3. | 14.51 ± 0.01f | 1.31 ± 0.02c | 1.61 ± 0.01e | 73.54 ± 0.01c | 6.41 ± 0.01f | 0.81 ± 0.01b | 11.49 ± 0.02c | 4.54 ± 0.01b | ||
| 4. | 14.02 ± 0.02h | 1.61 ± 0.01a | 1.71 ± 0.01d | 75.21 ± 0.01a | 6.12 ± 0.01h | 0.61 ± 0.01d | 12.30 ± 0.01a | 4.79 ± 0.01a | ||
| 2012 | Kaštela | 1. | 17.13 ± 0.21a | 1.21 ± 0.01g | 2.31 ± 0.01a | 69.06 ± 0.07h | 8.41 ± 0.02a | 1.11 ± 0.01a | 8.22 ± 0.02h | 3.53 ± 0.04g |
| 2. | 16.11 ± 0.09c | 1.70 ± 0.06c | 1.91 ± 0.01c | 71.71 ± 0.02f | 6.71 ± 0.01d | 0.91 ± 0.03c | 10.71 ± 0.01e | 3.99 ± 0.01e | ||
| 3. | 15.82 ± 0.03c | 2.01 ± 0.02b | 1.81 ± 0.01d | 72.81 ± 0.04c | 6.04 ± 0.06f | 0.71 ± 0.01e | 12.07 ± 0.13c | 4.16 ± 0.01c | ||
| 4. | 15.81 ± 0.01c | 2.31 ± 0.01a | 1.81 ± 0.01d | 72.61 ± 0.01d | 5.91 ± 0.04g | 0.71 ± 0.01e | 12.31 ± 0.09b | 4.16 ± 0.01c | ||
| Šestanovac | 1. | 16.61 ± 0.06b | 1.21 ± 0.01g | 2.11 ± 0.01b | 70.50 ± 0.07g | 7.41 ± 0.03b | 1.01 ± 0.01b | 9.53 ± 0.03g | 3.74 ± 0.02f | |
| 2. | 15.70 ± 0.02c | 1.41 ± 0.01f | 1.81 ± 0.01d | 72.12 ± 0.05e | 7.11 ± 0.01c | 0.91 ± 0.01c | 10.16 ± 0.01f | 4.09 ± 0.01d | ||
| 3. | 15.12 ± 0.03e | 1.51 ± 0.01e | 1.70 ± 0.01e | 73.51 ± 0.02b | 6.41 ± 0.01e | 0.81 ± 0.01d | 11.48 ± 0.01d | 4.36 ± 0.01b | ||
| 4. | 12.93 ± 0.06f | 1.61 ± 0.01d | 1.81 ± 0.02d | 75.92 ± 0.04a | 5.61 ± 0.01h | 0.81 ± 0.02d | 13.55 ± 0.02a | 5.12 ± 0.02a | ||
| Year | 2010 | 14.44 ± 0.61c | 1.12 ± 0.21c | 2.21 ± 0.21a | 74.06 ± 1.39a | 6.50 ± 0.80c | 0.72 ± 0.11c | 11.59 ± 1.59a | 4.41 ± 0.30a | |
| 2011 | 14.83 ± 0.55b | 1.29 ± 0.15b | 1.80 ± 0.14c | 72.49 ± 1.56b | 7.80 ± 1.47a | 0.82 ± 0.11b | 9.66 ±2.00c | 4.35 ± 0.22b | ||
| 2012 | 15.65 ± 1.21a | 1.62 ± 0.37a | 1.91 ± 0.20b | 72.28 ± 1.95c | 6.70 ± 0.89b | 0.87 ± 0.14a | 11.00 ± 1.63b | 4.14 ± 0.46c | ||
| F | 3595 | 6805.9 | 19,674 | 26,401 | 22,083 | 4074 | 15,546 | 4854 | ||
| p | *** | *** | *** | *** | *** | *** | *** | *** | ||
| Growing site | ||||||||||
| Kaštela | 15.26 ± 0.84a | 1.42 ± 0.40a | 1.99 ± 0.28a | 72.00 ± 1.51b | 7.62 ± 1.36a | 0.83 ± 0.14a | 9.78 ± 1.89b | 4.17 ± 0.27b | ||
| Šestanovac | 14.69 ± 1.03b | 1.28 ± 0.24b | 1.95 ± 0.23b | 73.88 ± 1.61a | 6.38 ± 0.62b | 0.77 ± 0.13b | 11.72 ± 1.37a | 4.44 ± 0.38a | ||
| F | 2301 | 1545.2 | 505 | 74,587 | 51,847 | 1745 | 44,566 | 12,907 | ||
| p | *** | *** | *** | *** | *** | *** | *** | *** | ||
| Harvest period | ||||||||||
| 1. | 15.78 ± 0.83a | 1.07 ± 0.17d | 2.17 ± 0.29a | 71.50 ± 1.42d | 7.69 ± 0.64a | 0.94 ± 0.1a | 9.38 ± 0.92d | 3.96 ± 0.26d | ||
| 2. | 15.27 ± 0.57b | 1.31 ± 0.23c | 1.97 ± 0.22b | 72.71 ± 1.22c | 7.08 ± 1.02b | 0.82 ± 0.1b | 10.47 ± 1.45c | 4.19 ± 0.16c | ||
| 3. | 14.78 ± 0.59c | 1.42 ± 0.31b | 1.84 ± 0.18d | 73.30 ± 1.72b | 6.75 ± 1.28c | 0.76 ± 0.1c | 11.21 ± 1.91b | 4.39 ± 0.18b | ||
| 4. | 14.07 ± 0.96d | 1.57 ± 0.38a | 1.89 ± 0.17c | 74.25 ± 1.74a | 6.49 ± 1.51d | 0.69 ± 0.1d | 11.94 ± 2.20a | 4.67 ± 0.33a | ||
| F | 3746 | 3573.6 | 6995 | 27,905 | 9032 | 5884 | 14,120 | 16,673 | ||
| p | *** | *** | *** | *** | *** | *** | *** | *** | ||
| Parameter | Rainfall | Mean Temperature | ||||||||
|---|---|---|---|---|---|---|---|---|---|---|
| Jul. | Aug. | Sep. | Oct. | Nov. | Jul. | Aug. | Sep. | Oct. | Nov. | |
| C16:0 1 | ns 2 | −0.413 | ns | ns | ns | 0.254 | 0.522 | 0.328 | 0.639 | ns |
| C16:1 | ns | −0.458 | 0.228 | ns | ns | 0.305 | 0.485 | ns | 0.299 | ns |
| C17:1 | ns | −0.217 | 0.270 | ns | ns | ns | 0.268 | ns | ns | ns |
| C18:0 | ns | 0.208 | ns | ns | ns | ns | ns | ns | ns | ns |
| C18:1 | −0.240 | 0.513 | ns | ns | 0.424 | ns | −0.593 | −0.591 | −0.533 | ns |
| C18:2 | 0.235 | −0.271 | ns | ns | ns | ns | 0.291 | 0.435 | ns | ns |
| C18:3 | ns | −0.417 | ns | −0.321 | ns | ns | 0.405 | 0.342 | 0.622 | ns |
| C20:0 | −0.262 | ns | ns | ns | ns | 0.287 | ns | ns | 0.242 | ns |
| C20:1 | −0.273 | 0.246 | 0.262 | ns | ns | 0.242 | ns | ns | ns | ns |
| C22:0 | ns | ns | ns | ns | ns | ns | ns | ns | ns | −0.411 |
| C24:0 | −0.204 | ns | ns | ns | ns | 0.250 | ns | ns | 0.432 | ns |
| Parameter | Rainfall | Mean Temperature | ||||||||
|---|---|---|---|---|---|---|---|---|---|---|
| Jul. | Aug. | Sep. | Oct. | Nov. | Jul. | Aug. | Sep. | Oct. | Nov. | |
| Fruity 1 | ns 2 | 0.233 | ns | −0.4005 | 0.373 | ns | −0.274 | −0.3400 | ns | ns |
| Bitter | ns | 0.197 | −0.3333 | −0.371 | 0.572 | −0.382 | −0.582 | −0.298 | −0.3418 | −0.3108 |
| Pungent | ns | 0.259 | −0.150 | −0.463 | 0.311 | −0.2629 | −0.416 | −0.220 | ns | ns |
| Sweet | ns | ns | 0.297 | 0.345 | −0.5101 | 0.319 | 0.445 | 0.187 | 0.200 | 0.485 |
| Astrig. | 0.192 | ns | −0.335 | −0.216 | 0.493 | −0.291 | −0.296 | ns | −0.199 | −0.290 |
| Green | ns | 0.380 | ns | −0.571 | ns | −0.188 | −0.4403 | −0.328 | ns | ns |
| Apple | 0.291 | −0.412 | ns | ns | ns | ns | 0.182 | 0.297 | 0.181 | ns |
| Almond | −0.2216 | ns | ns | ns | 0.474 | 0.155 | ns | −0.360 | ns | ns |
| OQS | −0.220 | 0.268 | 0.205 | −0.475 | ns | ns | ns | −0.259 | ns | ns |
Publisher’s Note: MDPI stays neutral with regard to jurisdictional claims in published maps and institutional affiliations. |
© 2021 by the authors. Licensee MDPI, Basel, Switzerland. This article is an open access article distributed under the terms and conditions of the Creative Commons Attribution (CC BY) license (https://creativecommons.org/licenses/by/4.0/).
Share and Cite
Jukić Špika, M.; Perica, S.; Žanetić, M.; Škevin, D. Virgin Olive Oil Phenols, Fatty Acid Composition and Sensory Profile: Can Cultivar Overpower Environmental and Ripening Effect? Antioxidants 2021, 10, 689. https://doi.org/10.3390/antiox10050689
Jukić Špika M, Perica S, Žanetić M, Škevin D. Virgin Olive Oil Phenols, Fatty Acid Composition and Sensory Profile: Can Cultivar Overpower Environmental and Ripening Effect? Antioxidants. 2021; 10(5):689. https://doi.org/10.3390/antiox10050689
Chicago/Turabian StyleJukić Špika, Maja, Slavko Perica, Mirella Žanetić, and Dubravka Škevin. 2021. "Virgin Olive Oil Phenols, Fatty Acid Composition and Sensory Profile: Can Cultivar Overpower Environmental and Ripening Effect?" Antioxidants 10, no. 5: 689. https://doi.org/10.3390/antiox10050689
APA StyleJukić Špika, M., Perica, S., Žanetić, M., & Škevin, D. (2021). Virgin Olive Oil Phenols, Fatty Acid Composition and Sensory Profile: Can Cultivar Overpower Environmental and Ripening Effect? Antioxidants, 10(5), 689. https://doi.org/10.3390/antiox10050689

