UHPLC-ESI-OT-MS Phenolics Profiling, Free Radical Scavenging, Antibacterial and Nematicidal Activities of “Yellow-Brown Resins” from Larrea spp.
Abstract
1. Introduction
2. Materials and Methods
2.1. Chemicals
2.2. Plant Material
2.3. Extraction of Yellow-Brown Resin
2.4. UHPLC-DAD-MS Instrument and Chromatographic Conditions
2.5. Determination of Total Phenolic (TP) and Flavonoid (F) Content
2.6. Antioxidant Activity
2.6.1. DPPH Scavenging Activity
2.6.2. Ferric-Reducing Antioxidant Power Assay (FRAP)
2.6.3. Trolox Equivalent Antioxidant Activity (TEAC) Assay
2.6.4. Lipid Peroxidation in Human Erythrocytes
2.7. Nematicidal Activity
2.8. Antibacterial Activity
2.8.1. Microorganisms
2.8.2. Antibacterial Activity of Larrea Resins
2.8.3. Antibacterial Combinatory Effect between Larrea Resins with Cefotaxime by the Checkerboard Design
2.8.4. Dose Reduction Index (DRI)
2.8.5. Isobolograms
2.9. Statistical Analysis
3. Results
3.1. UHPLC-OT Analysis of LdRe and LnRe
3.2. Total Phenolics and Flavonoids Content; Antioxidant, Nematicidal and Antibacterial Activities
4. Conclusions
Supplementary Materials
Author Contributions
Funding
Institutional Review Board Statement
Informed Consent Statement
Data Availability Statement
Acknowledgments
Conflicts of Interest
References
- Licá, I.C.; Dos Santos Soares, A.M.; Silva de Mesquita, L.S.; Malik, S. Biological properties and pharmacological potential of plant exudates. Food Res. Int. 2018, 105, 1039–1053. [Google Scholar] [CrossRef] [PubMed]
- Feresin, G.E.; Tapia, A.; Gimenez, A.; Ravelo, A.G.; Zacchino, S.A.; Sortino, M.; Schmeda-Hirschmann, G. Constituents of the Argentinian medicinal plant Baccharis grisebachii and their antimicrobial activity. J. Ethnopharmacol. 2003, 89, 73–80. [Google Scholar] [CrossRef]
- Tapia, A.; Rodriguez, J.; Theoduloz, C.; Lopez, S.; Feresin, G.E.; Schmeda-Hirschmann, G. Free radical scavengers and antioxidants from Baccharis grisebachii. J. Ethnopharmacol. 2004, 95, 155–161. [Google Scholar] [CrossRef] [PubMed]
- Modak, B.; Salina, M.; Rodilla, J.M.L.; Torres, R. Study of the chemical composition of the resinous exudate isolated from Heliotropium sclerocarpum and evaluation of the antioxidant properties of the phenolic compounds and the resin. Molecules 2009, 14, 4625–4633. [Google Scholar] [CrossRef]
- Gómez, J.; Simirgiotis, M.; Manrique, S.; Lima, B.; Bórquez, J.; Feresin, G.E.; Tapia, A. UHPLC-HESI-OT-MS-MS biomolecules profiling, antioxidant and antibacterial activity of the “orange-yellow resin” from Zuccagnia punctata cav. Antioxidants 2020, 9, 123. [Google Scholar] [CrossRef]
- Kiesling, R. Flora de San Juan. República Argentina; Estudio Sigma: Valladolid, Spain, 2003; Volumen II. [Google Scholar]
- The Plant List. Available online: http://www.theplantlist.org/tpl1.1/search?q=larrea (accessed on 20 November 2020).
- Anesini, C.; Ferraro, G.; López, P.; Borda, E. Different intracelular signals coupled to the antiproliferative action of aqueous crude extract from Larrea divaricata Cav. and nor-dihydroguaiaretic acid on a lymphoma cell line. Phytomedicine 2001, 8, 1–7. [Google Scholar] [CrossRef]
- Bongiovanni, G.; Cantero, J.; Eynard, A.; Goleniowski, M. Organic extracts of Larrea divaricata Cav. induced apoptosis on tumoral MCF7 cells with an higher citotoxicity than nordihydroguaiaretic acid or Paclitaxel. J. Exp. Ther. Oncol. 2008, 7, 1–7. [Google Scholar]
- Martins, S.; Amorim, E.L.C.; da Silva Peixoto Sobrinho, T.J.; Saraiva, A.M.; Pisciottano, M.N.; Aguilar, C.N.; Teixeira, J.A.; Mussatto, S.I. Antibacterial activity of crude methanolic extract and fractions obtained from Larrea tridentata leaves. Ind. Crop. Prod. 2013, 41, 306–311. [Google Scholar] [CrossRef]
- Butassi, E.; Svetaz, L.; Ivancovich, J.J.; Feresin, G.; Tapia, A.; Zacchino, S. Synergistic antifungal fixed-ratio combinations of Zuccagnia punctata Cav. and Larrea nitida Cav., using mixed-effects loewe (MixLow) method. Phytomedicine 2015, 22, 666–678. [Google Scholar] [CrossRef]
- Peralta, I.; Marrassini, C.; Filip, R.; Alonso, M.R.; Anesini, C. Food preservation by Larrea divaricata extract: Participation of polyphenols. Food Sci. Nutr. 2018, 6, 1269–1275. [Google Scholar] [CrossRef]
- Skouta, R.; Morán-Santibañez, K.; Valenzuela, C.A.; Vasquez, A.H.; Fenelon, K. Assessing the antioxidant properties of Larrea tridentata extract as a potential molecular therapy against oxidative stress. Molecules 2018, 23, 1826. [Google Scholar] [CrossRef] [PubMed]
- Peralta, I.; Marrassini, C.; Barreiro Arcos, M.L.; Cremaschi, G.A.; Alonso, M.R.; Anesini, C. Larrea divaricata Cav. Aqueous extract and nordihydroguariaretic acid modulate oxidative stress in submandibular glands of diabetic rats: A buccal protective in diabetes. BMC Complement. Altern. Med. 2019, 19, 227. [Google Scholar] [CrossRef] [PubMed]
- Butassi, E.; Svetaz, L.A.; Sortino, M.A.; Quiroga, A.D.; Carvalho, V.S.; Cortés, J.C.G.; Ribas, J.C.; Zacchino, S.A. Approaches to the mechanism of antifungal activity of Zuccagnia punctata-Larrea nitida bi-herbal combination. Phytomedicine 2019, 54, 291–301. [Google Scholar] [CrossRef]
- Sagaste, C.A.; Montero, G.; Coronado, M.A.; Ayala, J.R.; León, J.A.; García, C.; Rojano, B.A.; Rosales, S.; Montes, D.G. Creosote Bush (Larrea tridentata) extract assessment as a green antioxidant for biodiesel. Molecules 2019, 24, 1786. [Google Scholar] [CrossRef] [PubMed]
- Morán-Santibañez, K.; Vasquez, A.H.; Varela-Ramirez, A.; Henderson, V.; Sweeney, J.; Odero-Marah, V.; Fenelon, K.; Skouta, R. Larrea tridentata extract mitigates oxidative stress-induced cytotoxicity in human neuroblastoma SH-SY5Y cells. Antioxidants 2019, 8, 427. [Google Scholar] [CrossRef]
- Moreno, M.A.; Bojorges, H.; Falco, I.; Sanchez, G.; Lopez-Carballo, G.; Lopez-Rubio, A.; Zampini, I.C.; Isla, M.I.; Fabra, M.J. Active properties of edible marine polysaccharide-based coatings containing Larrea nitida polyphenols enriched extract. Food Hydrocoll. 2020, 102, 105595. [Google Scholar] [CrossRef]
- Quispe, C.; Villalobos, M.; Borquez, J.; Simirgiotis, M. Chemical composition and antioxidant activity of aloe vera from the Pica Oasis (Tarapacá, Chile) by UHPLC-Q/Orbitrap/MS/MS. J. Chem. 2018, 2018, 1–12. [Google Scholar] [CrossRef]
- Simirgiotis, M.J.; Quispe, C.; Mocan, A.; Villatoro, J.M.; Areche, C.; Bórquez, J.; Sepúlveda, B.; Echiburu-Chau, C. UHPLC high resolution orbitrap metabolomic fingerprinting of the unique species Ophryosporus triangularismeyen from the atacama desert, Northern Chile. Rev. Bras. Farmacogn. 2017, 27, 179–187. [Google Scholar] [CrossRef]
- Luna, L.; Simirgiotis, M.; Lima, B.; Bórquez, J.; Feresin, G.E.; Tapia, A. UHPLC-MS metabolome fingerprinting: The isolation of main compounds and antioxidant activity of the andean species Tetraglochin ameghinoi (Speg.) speg. Molecules 2018, 23, 793. [Google Scholar] [CrossRef]
- Simirgiotis, M.; Quispe, C.; Areche, C.; Sepulveda, B. Phenolic compounds in chilean mistletoe (Quintral, Tristerix tetrandus) analyzed by UHPLC-Q/Orbitrap/MS/MS and its antioxidant properties. Molecules 2016, 21, 245. [Google Scholar] [CrossRef]
- Simirgiotis, M.J.; Quispe, C.; Bórquez, J.; Schmeda-Hirschmann, G.; Avendaño, M.; Sepúlveda, B.; Winterhalter, P. Fast high resolution Orbitrap MS fingerprinting of the resin of Heliotropium taltalense Phil. from the Atacama Desert. Ind. Crop. Prod. 2016, 85, 159–166. [Google Scholar] [CrossRef]
- Gómez, J.; Simirgiotis, M.; Lima, B.; Gamarra-Luques, C.; Bórquez, J.; Caballero, D.; Feresin, G.E.; Tapia, A. UHPLC-Q/Orbitrap/MS/MS fingerprinting, free radical scavenging, and antimicrobial activity of Tessaria absinthiodes (Hook. &Arn.) DC. (Asteraceae) Lyophilized decoction from Argentina and Chile. Antioxidants 2019, 8, 593. [Google Scholar] [CrossRef]
- Cifuentes, F.; Palacios, J.; Nwokocha, C.; Bórquez, J.; Simirgiotis, M.; Norambuena, I.; Chiong, M.; Paredes, A. Polyphenolic composition and hypotensive effects of Parastrephia quadrangularis (Meyen) cabrera in rat. Antioxidants 2019, 8, 591. [Google Scholar] [CrossRef] [PubMed]
- Agüero, M.B.; Svetaz, L.; Sánchez, M.; Luna, L.; Lima, B.; López, M.L.; Zacchino, S.; Palermo, J.A.; Wunderlin, D.; Feresin, G.E.; et al. Argentinean propolis from Larrea nitida Cav. (Zygophyllaceae) exudates: Phytochemical characterization and antifungal activity. Food Chem. Toxicol. 2011, 49, 1970–1978. [Google Scholar]
- Aissani, N.; Urgeghe, P.P.; Oplos, C.; Saba, M.; Tocco, G.; Petretto, G.L.; Eloh, K.; Menkissoglu-Spiroudi, U.; Ntalli, N.; Caboni, P. Nematicidal activity of the volatilome of eruca sativa on Meloidogyne incognita. J. Agric. Food Chem. 2015, 63, 6120–6125. [Google Scholar] [CrossRef]
- Clinical and Laboratory Standards Institute. Performance Standards for Antimicrobial Susceptibility Testing; Twenty-Third Informational Supplement; CLSI document M100-S23; Clinical and Laboratory Standards Institute: Wayne, PA, USA, 2013; ISBN 1-56238-865-7. [Google Scholar]
- Hemaiswarya, S.; Kruthiventi, A.K.; Doble, M. Synergism between natural products and antibiotics against infectious diseases. Phytomedicine 2008, 15, 639–652. [Google Scholar] [CrossRef]
- Odds, F.C. Synergy, antagonism, and what the chequerboard puts between them. J. Antimicrob. Chemother. 2003, 52, 1. [Google Scholar] [CrossRef]
- Chou, T.C. Theoretical basis, experimental design, and computerized simulation of synergism and antagonism in drug com-bination studies. Pharmacol. Rev. 2006, 58, 621–681. [Google Scholar] [CrossRef]
- Gessner, P.K. Isobolographic analysis of interactions: An update on applications and utility. Toxicology 1995, 105, 161–179. [Google Scholar] [CrossRef]
- Gezginci, M.H.; Timmermann, B.N. A short synthetic route to nordihydroguaiaretic acid (NDGA) and its stereoisomer using ti-induced carbonyl-coupling reaction. Tetrahedron. Lett. 2001, 42, 6083–6085. [Google Scholar] [CrossRef]
- Gisvold, O.; Thaker, E. Lignans from Larrea divaricata. J. Pharm. Sci. 1974, 63, 1905–1907. [Google Scholar] [CrossRef] [PubMed]
- Torres, R.; Urzúa, A.; Modak, B. Isopregomisin, a 1, 4-Bis(phenyl)-2, 3-dimethylbutane Lignan from Porlieria chilensis. J. Nat. Prod. 1989, 52, 402–403. [Google Scholar] [CrossRef]
- Torres, R.; Urbina, F.; Morales, C.; Modak, B.; Monache, F.D. Antioxidant properties of lignans and ferulic acid from the resinous exudate of Larrea nitida. J. Chil. Chem. Soc. 2003, 48, 61–63. [Google Scholar] [CrossRef]
- Jeong, H.; Kim, S.; Lee, J.; Park, J.Y.; Zhou, W.; Liu, X.; Kim, S.D.; Song, Y.S.; Jang, C.Y.; Oh, S.R.; et al. Characterization of phase I and phase II hepatic metabolism and reactive intermediates of Larrea nitida Cav. and its lignan compounds. Phytother. Res. 2017, 31, 140–151. [Google Scholar] [CrossRef] [PubMed]
- Gnabre, J.; Huang, R.C.C.; Bates, R.B.; Burns, J.J.; Caldera, S.; Malcomson, M.E.; McClure, K.J. Characterization of Anti-HIV lignans from Larrea tridentate. Tetrahedron 1995, 51, 12203–12210. [Google Scholar] [CrossRef]
- Moreno, M.A.; Córdoba, S.; Zampini, I.C.; Mercado, M.I.; Ponessa, G.; Sayago, J.E.; Pino Ramos, L.L.; Schmeda-Hirschmann, G.; Isla, M.I. Argentinean larrea dry extracts with potential use in vaginal candidiasis. Nat. Prod. Commun. 2018, 13, 171–174. [Google Scholar] [CrossRef]
- Gnabre, J.; Bates, R.; Huang, R.C. Creosote bush lignans for human disease treatment and prevention: Perspectives on com-bination therapy. J. Tradit. Complement. Med. 2015, 5, 119–126. [Google Scholar] [CrossRef]
- Gnabre, J.N.; Ito, Y.; Ma, Y.; Huang, R.C. Isolation of anti-HIV-1 lignans from Larrea tridentata by counter-current chroma-tography. J. Chromatogr. A 1996, 719, 353–364. [Google Scholar] [CrossRef]
- Sakakibara, M.; Difeo, D.; Nakatani, N.; Timmermann, B.; Mabry, T.J. Flavonoid methyl ethers on the external leaf surface of Larrea tridentata and L. divaricata. Phytochemistry 1976, 15, 727–731. [Google Scholar] [CrossRef]
- Chitwood, D.J. Phytochemicals based strategies for nematode control. Ann. Rev. Phytopathol. 2002, 40, 221–249. [Google Scholar] [CrossRef]
- Ríos, J.L.; Recio, M.C. Medicinal plants and antimicrobial activity. J. Ethnopharmacol. 2005, 100, 80–84. [Google Scholar] [CrossRef] [PubMed]
- Abu El-Wafa, W.M.; Ahmed, R.H.; Abdel-Halim Ramadan, M. Synergistic effects of pomegranate and rosemary extracts in combination with antibiotics against antibiotic resistance and biofilm formation of Pseudomonas aeruginosa. Braz. J. Microbiol. 2020, 51, 1079–1092. [Google Scholar] [CrossRef] [PubMed]
- Gorlenko, C.L.; Yu, K.H.; Budanova, E.V.; Zamyatnin, A.A., Jr.; Ikryannikova, L.N. Plant secondary metabolites in the battle of drugs and drug-resistant bacteria: New heroes or worse clones of antibiotics? Antibiotics 2020, 9, 170. [Google Scholar] [CrossRef] [PubMed]
- Zacchino, S.A.; Butassi, E.; Di Liberto, M.; Raimondi, M.; Postigo, A.; Sortino, M. Review Plant phenolics and terpenoids as adjuvants of antibacterial and antifungal drugs. Phytomedicine 2017, 37, 27–48. [Google Scholar] [CrossRef]
- Khameneh, B.; Iranshahy, M.; Soheili, V.; FazlyBazzaz, B.S. Review on plant antimicrobials: A mechanistic viewpoint. Antimicrob. Resist. Infect. Control. 2019, 8, 1–28. [Google Scholar] [CrossRef]





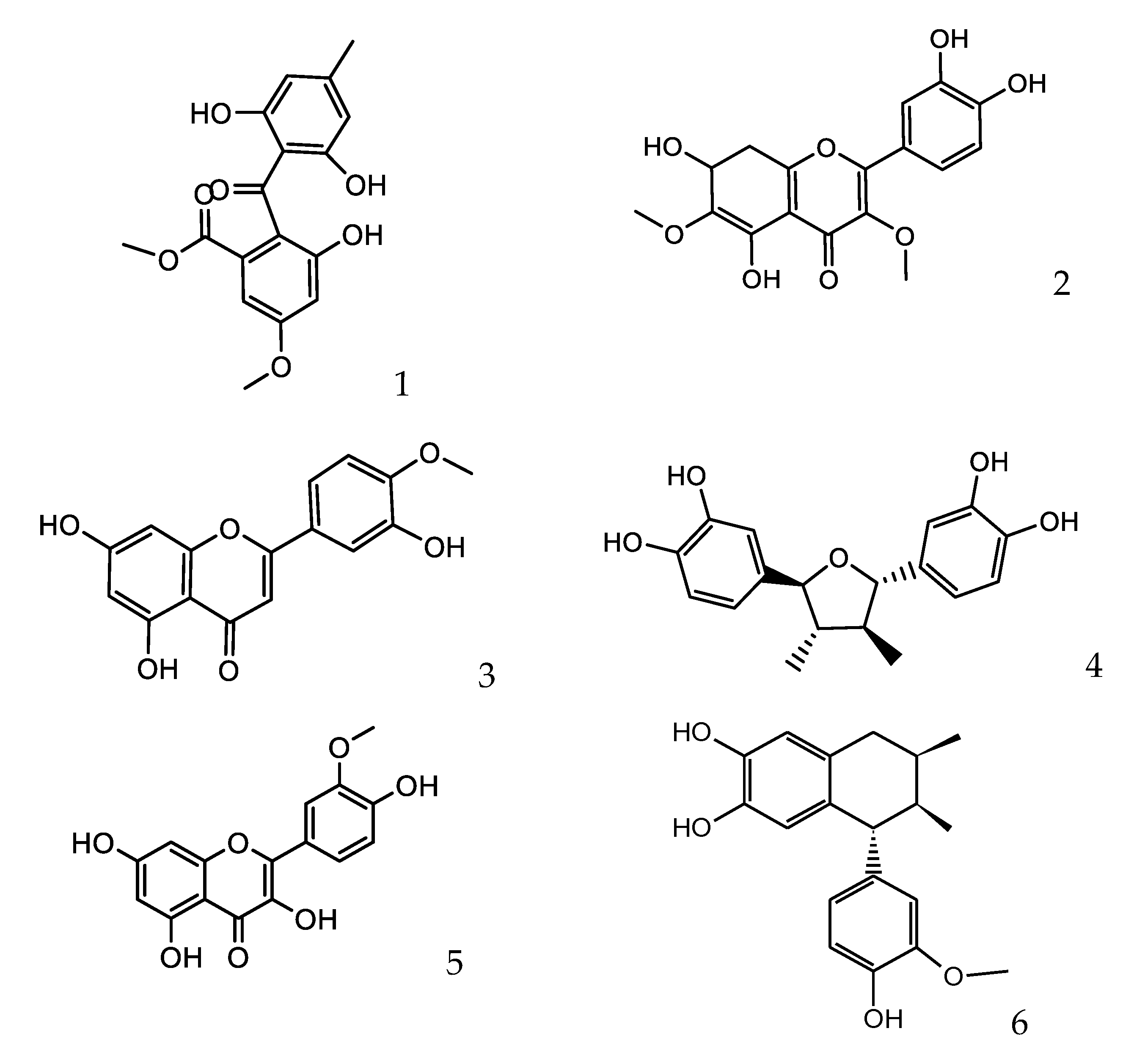
| Peak | TR (min.) | Tentative Identification | [M−H]− | UV Max nm | Theoretical Mass (m/z) | Measured Mass (m/z) | Accuracy (δppm) | MSn ions (δppm) |
|---|---|---|---|---|---|---|---|---|
| 1 | 1.40 | Isosulochrin | C17H15O7− | 278–337 | 331.08123 | 331.08212 | 2.69 | 146.96791 |
| 2 | 3.65 | Axillarin | C17H13O8 | 2890–340 | 345.06049 | 345.06143 | 1.28 | 146.96791 |
| 3 | 4.10 | Diosmetin | C16H11O6− | 270–344 | 299.05501 | 299.05597 | 3.19 | 271.06097 |
| 4 | 4.26–4.30 | meso-(rel 7S,8S,7′R,8′R)-3,4,3′,4′-tetrahydroxy-7,7′-epoxylignan | C18H19O5− | 233–284 | 315.12380 | 315.12381 | 267.06481; 187.07582; 165.05512; 137.02363; 109.02862 | |
| 5 | 4.80 | Isorhamnetin | C16H11O7− | 315.04993 | 315.05084 | 2.89 | 299.09216 | |
| 6 | 5.00 | 3,4,3′,4′-tetrahydroxy 6,7′-Cyclolignan | C18H19O4− | 233–284 | 299.12888 | 299.12872 | 3.13 | 241.05080; 190.92799 |
| 7 | 5.33 | 3 Methylluteolin | C16H11O6− | 275–330 | 299.05501 | 299.05597 | 3.19 | 271.06097 |
| 8 | 5.65 | Rhamnetin | C16H11O7− | 256–367 | 315.04993 | 315.05099 | 3.38 | 299.09216 |
| 9 | 5.80 | Tricin | C17H13O7− | 256–367 | 329.06558 | 329.06644 | 2.60 | 285.0401 |
| 10 | 6.50 | 3,4,3′,4′-tetrahydroxy 6,7′-cyclolignan isomer | C18H19O4− | 233–284 | 299.12888 | 299.12872 | 3.13 | 243.06482; 189.09164; 149.0600; 123.0443 |
| 11 | 6.80 | NDGA isomer | C18H19O4− | 228–283 | 301.14344 | 301.14435 | 3.03 | 174.95743; 122.03708 |
| 12 | 6.90 | Norisoguaiacin isomer | C19H21O4− | 231–286 | 313.14453 | 313.14432 | 2.81 | 247.09711 |
| 13 | 7.40 | NDGA | C18H21O4− | 228–283 | 301.14344 | 301.14429 | 3.01 | 174.95743; 154.02631; 137.02362; 122.03708 |
| 14 | 7.94 | NDGA isomer | C18H21O4− | 228–283 | 301.14344 | 301.14471 | 3.06 | 243.06614; 122.0367 |
| 15 | 8.42 | Kaempferide | C16H11O6− | 269–358 | 299.05501 | 299.05594 | 3.09 | 285.04053; 255.0279 |
| 16 | 8.61 | Norisoguaiacin | C19H21O4− | 231–286 | 313.14453 | 313.14461 | 3.01 | 301.1446; 241.0504; 173.06022 |
| 17 | 8.85 | Trihydroxy-6,7′cyclolignan | C19H18O3− | 233–284 | 283.13397 | 283.06111 | 268.03041; 240.04212; 211.03951; 117.03852 | |
| 18 | 9.15 | (7S,8S,7′R,8′R)-3,3′,4′-trihydroxy-4-methoxy-7,7′-epoxylignan | C19H21O5− | 230–283 | 329.13945 | 329.17551 | 2.34 | 301.14410; 263.12848 |
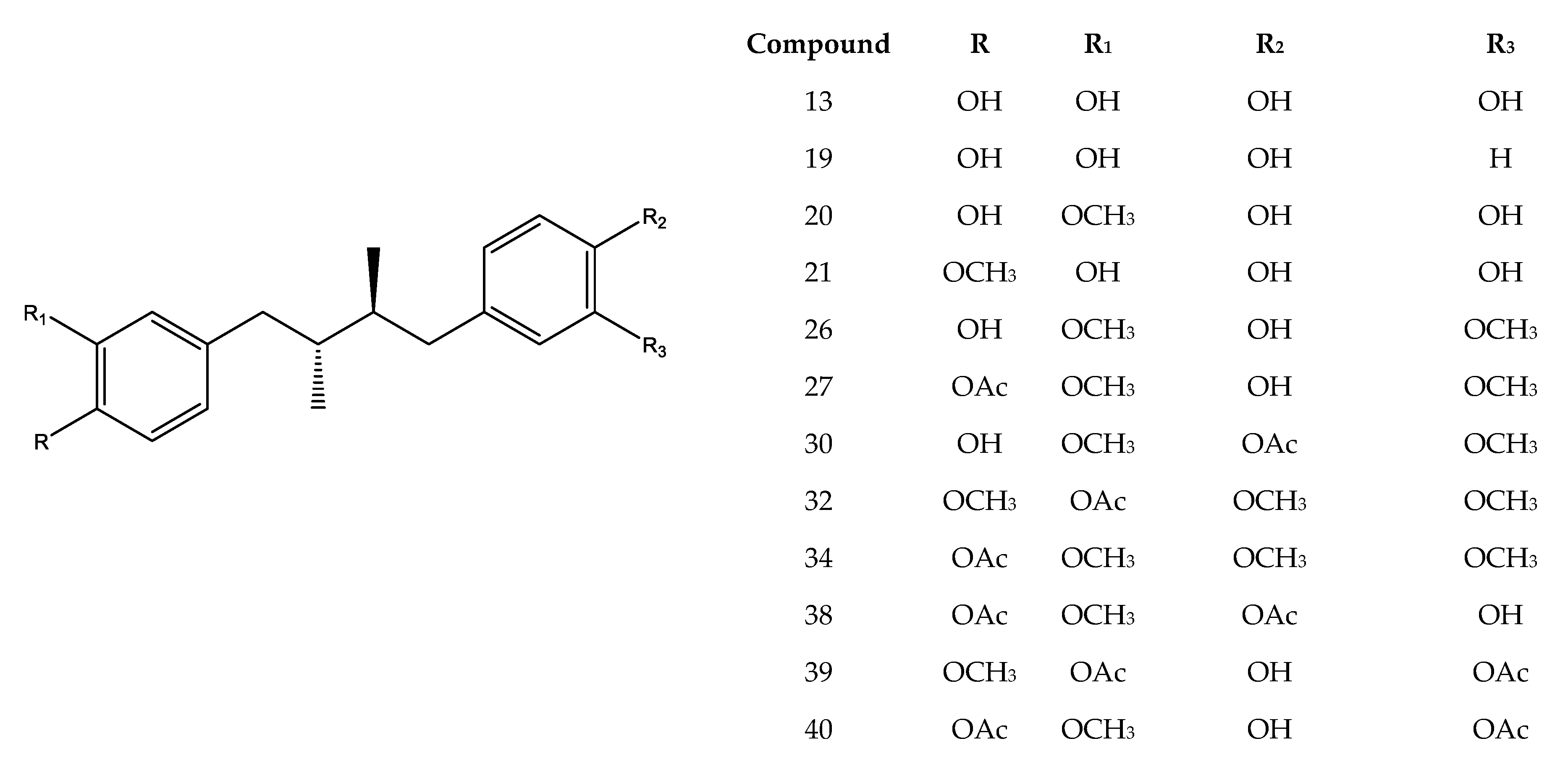
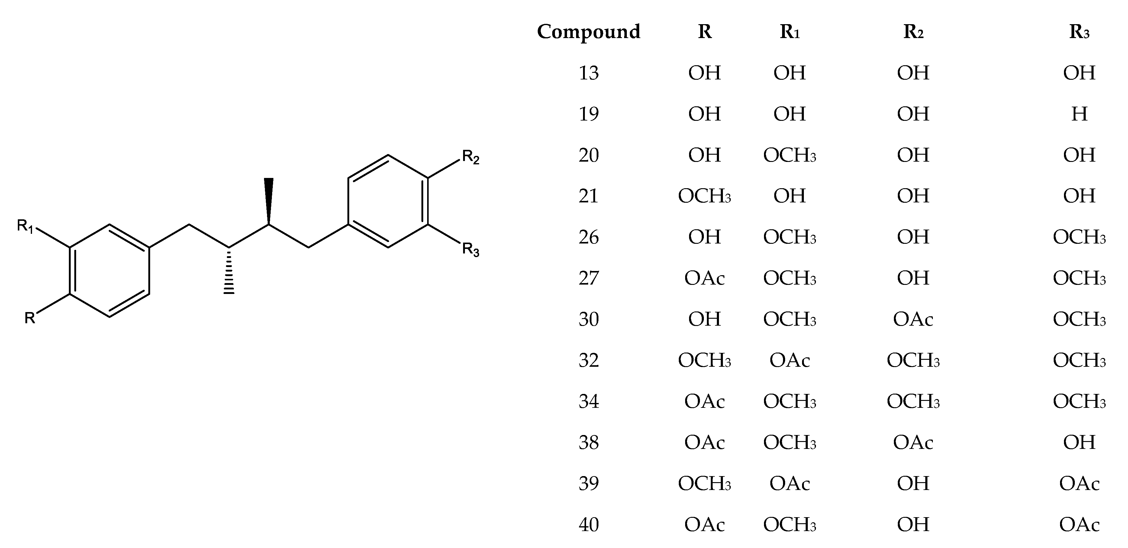
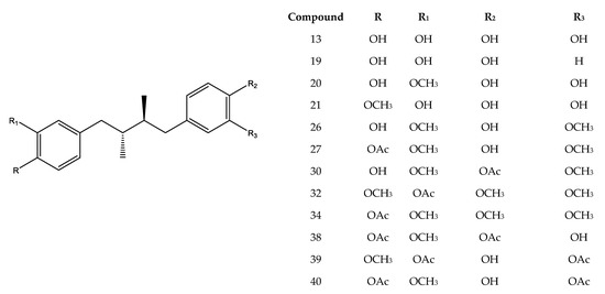
| 19 | 9.37 | 4-[4-(4- hydroxy-phenyl)-2,3-dimethyl-butyl]-benzene-1,2-diol | C18H21O3− | 282 | 285.14852 | 285.14948 | 3.0 | 154.02643; 137.02362; 122.03652 |
| 20 | 9.75 | 3′-MNDGA | C19H23O4− | 230–283 | 315.15909 | 315. 15981 | 1.99 | 300.13622; 285.11272; 177.09142; 149.06005; 122.03653. |
| 21 | 10.06 | 4′-MNDGA | C19H23O4− | 230–283 | 315.15909 | 315.15991 | 1.62 | 300.13626; 285.11282; 177.09142; 149.06001; 122.03653 |
| 22 | 10.36 | Lavandulilkaempferol | C25H25O6− | 272 | 421.16456 | 421.16541 | 1.99 | 301.144134 |
| 23 | 11.04 | Unknown NDGA derivative | C27H29O6− | 280 | 449.19587 | 449.19659 | 1.62 | 301.144261 |
| 24 | 11.48 | Unknown NDGA derivative | C24H31O6− | 280 | 415.21152 | 415.21222 | 1.69 | 301.14425; |
| 25 | 11.71 | Unknown NDGA derivative | C27H27O6− | 280 | 447.18022 | 447.18079 | 1.27 | 301.14423 |
| 26 | 11.81 | Dihydroguaiaretic acid | C20H25O4− | 230–283 | 329.17474 | 329.17557 | 2.52 | 301.14410; 263.12848 |
| 27 | 12.07 | Dihydroguaiaretic acid 4′-O-acetate | C22H27O5− | 283 | 371.18530 | 371.18597 | 1.81 | 301.14420 |
| 28 | 12.4 | Reduced NDGA derivative | C18H17O3− | 283 | 281.11722 | 281.11813 | 3.24 | 301.14420 |
| 29 | 12.85 | Unknown NDGA derivative | C25H25O5− | 283 | 405.16965 | 405.17147 | 2.02 | 301.14420 |
| 30 | 12.61 | Dihydroguaiaretic acid 4″-O-acetate | C22H27O5− | 276–352 | 371.18530 | 371.18595 | 1.73 | 301.14420 |
| 31 | 13.11 | NDGA isomer | C18H21O4− | 283 | 301.14344 | 301.14429 | 2.82 | 174.95712; 122.03708 |
| 32 | 13.37 | 3″,4″,4′-Trymethyl NDGA 3′-acetate | C23H29O5− | 277 | 385.20195 | 385.20175 | 2.02 | 301.14423 |
| 33 | 13.68 | NDGA isomer | C18H21O4− | 280 | 301.14344 | 301.14429 | 2.82 | 174.95743; 122.03708 |
| 34 | 14.00 | 3″,4″,3′-Trymethyl NDGA 4′-acetate | C23H29O5− | 283 | 385.20195 | 385.20172 | 2.00 | 301.14426; 122.03667 |
| 35 | 14.19 | Unknown NDGA derivative | C27H29O5− | 283 | 433.20095 | 433.20142 | 1.07 | 301.14429 |
| 36 | 14.56 | Unknown NDGA derivative | C26H33O6− | 283 | 441.22717 | 441.22781 | 1.46 | 301.14429 |
| 37 | 14.83 | Unknown NDGA derivative | C27H29O5− | 283 | 433.20095 | 433.20157 | 1.07 | 301.14426 |
| 38 | 15.08 | 3′MNDGA 3″, 4′-diacetate | C24H31O5− | 283 | 399.21660 | 399.21738 | 1.94 | 301.14426 |
| 39 | 15.45 | 4′MNDGA 3′, 4″-diacetate | C24H31O5− | 283 | 399.21660 | 399.21729 | 1.71 | 301.14426 |
| 40 | 15.68 | 3′MNDGA 4″, 4′-diacetate | C24H31O5− | 283 | 399.21660 | 399.21738 | 1.94 | 301.14429 |
| 41 | 19.19 | Unknown | C24H23O3− | - | 359.16427 | 359.16513 | 2.67 | 235.92734 |
| Assay | LnRe | LdRe |
|---|---|---|
| Content of phenols | ||
| Total phenolics(mg GAE/g resin) | 459.9 ± 10.07 | 390.46 ± 6.08 |
| Flavonoids (mg QE/g resin) | 40.8 ± 0.8 | 24.7 ± 1.8 |
| Antioxidant | ||
| DPPH (EC50 in µg resin/mL) | 8.41 ± 0.04 | 8.42 ± 0.44 |
| FRAP(mgTE/g resin) | 1.94 ± 0.20 | 1.86 ± 0.16 |
| TEAC (mgTE/g resin) | 1.08 ± 0.07 | 1.09 ± 0.06 |
| Percentage LP (at 100 µg resin/mL) | 81.97 ± 0.11 | 81.03 ± 0.01 |
| % Mortality Corrected | ||||
|---|---|---|---|---|
| Resins | Concentration | |||
| 24 h | 48 h | 72 h | ||
| 1 | 3.49 ± 3.24 a | 4.77 ± 3.89 a | 10.44 ± 1.37 ab | |
| LnRe | 2 | 5.52 ± 3.54 a | 11.77 ± 3.27 ab | 17.76 ± 2.27 bc |
| 3 | 6.47 ± 4.42 ab | 11.13 ± 3.15 ab | 8.67 ± 2.73 a | |
| 1 | 9.81 ± 1.45 ab | 16.23 ± 1.86 bcd | 24.03 ± 1.53 cde | |
| LdRe | 2 | 3.95 ± 3.83 a | 13.98 ± 1.65 bc | 28.56 ± 2.27 cde |
| 3 | 5.91 ± 4.69 a | 15.61 ± 2.91 bc | 20.76 ± 1.64 cd | |
| Bacterias | Larrea Resins | Reference Antibiotics | ||||||
|---|---|---|---|---|---|---|---|---|
| LnRe | LdRe | Cefotaxime | Imipecil | |||||
| Gram (+) | MIC | MBC | MIC | MBC | MIC | MBC | MIC | MBC |
| MSSA | 16 | 32.5 | 16 | 32.5 | 0.5 | 0.5 | 0.5 | 0.5 |
| MRSA | 16 | 32.5 | 16 | 16 | 0.5 | 0.5 | 0.5 | 0.5 |
| Staphylococcus aureus-MQ5097 | 250 | 250 | 250 | 250 | 0.8 | 1 | 1 | 1 |
| Streptococcuspyogenes-MQ4 | 250 | 250 | 62.5 | 62.5 | 0.25 | 0.5 | 0,5 | 0.5 |
| Streptococcus agalactiae | 62.5 | 62.5 | 125 | 125 | 0.5 | 0.5 | 0,5 | 0.5 |
| Gram (−) | ||||||||
| Escherichiacoli ATCC 25922 | 1000 | 1000 | 250 | 500 | 1.9 | 1.9 | 0,5 | 1 |
| E. coli-MQ11009 | 400 | 500 | 250 | 250 | 1 | 1 | 0,5 | 1 |
| E. coli-MQ11068 | 500 | 500 | 250 | 500 | 1 | 1 | 1 | 1 |
| E. coli-MQ11062 | 250 | 500 | 500 | 500 | 1 | 1 | 1 | 1.5 |
| E. coli-MQ586 | 62.5 | 125 | 62.5 | 125 | 1 | 1 | 1.5 | 1.5 |
| MSSA | MRSA | |||||||||||
|---|---|---|---|---|---|---|---|---|---|---|---|---|
| MIC | MICcomb | FIC | FICI | DRI | Effect | MIC | MICcomb | FIC | FICI | DRI | Effect | |
| LdRe | 32 | 16 | 0.5 | 1 | 2 | Ind | 32 | 32 | 1 | 1.25 | 4 | Ind |
| Cef | 1 | 0.5 | 0.5 | 0.5 | 0.125 | 0.25 | ||||||
| LnRe | 32 | 32 | 1 | 1.25 | 4 | Ind | 16 | 8 | 0.5 | 1 | 2 | Ind |
| Cef | 1 | 0.25 | 0.25 | 0.5 | 0,25 | 0.5 | ||||||
Publisher’s Note: MDPI stays neutral with regard to jurisdictional claims in published maps and institutional affiliations. |
© 2021 by the authors. Licensee MDPI, Basel, Switzerland. This article is an open access article distributed under the terms and conditions of the Creative Commons Attribution (CC BY) license (http://creativecommons.org/licenses/by/4.0/).
Share and Cite
Gómez, J.; Simirgiotis, M.J.; Manrique, S.; Piñeiro, M.; Lima, B.; Bórquez, J.; Feresin, G.E.; Tapia, A. UHPLC-ESI-OT-MS Phenolics Profiling, Free Radical Scavenging, Antibacterial and Nematicidal Activities of “Yellow-Brown Resins” from Larrea spp. Antioxidants 2021, 10, 185. https://doi.org/10.3390/antiox10020185
Gómez J, Simirgiotis MJ, Manrique S, Piñeiro M, Lima B, Bórquez J, Feresin GE, Tapia A. UHPLC-ESI-OT-MS Phenolics Profiling, Free Radical Scavenging, Antibacterial and Nematicidal Activities of “Yellow-Brown Resins” from Larrea spp. Antioxidants. 2021; 10(2):185. https://doi.org/10.3390/antiox10020185
Chicago/Turabian StyleGómez, Jessica, Mario J. Simirgiotis, Sofía Manrique, Mauricio Piñeiro, Beatriz Lima, Jorge Bórquez, Gabriela E. Feresin, and Alejandro Tapia. 2021. "UHPLC-ESI-OT-MS Phenolics Profiling, Free Radical Scavenging, Antibacterial and Nematicidal Activities of “Yellow-Brown Resins” from Larrea spp." Antioxidants 10, no. 2: 185. https://doi.org/10.3390/antiox10020185
APA StyleGómez, J., Simirgiotis, M. J., Manrique, S., Piñeiro, M., Lima, B., Bórquez, J., Feresin, G. E., & Tapia, A. (2021). UHPLC-ESI-OT-MS Phenolics Profiling, Free Radical Scavenging, Antibacterial and Nematicidal Activities of “Yellow-Brown Resins” from Larrea spp. Antioxidants, 10(2), 185. https://doi.org/10.3390/antiox10020185

