Oxidative Stress Biomarkers and Mitochondrial DNA Copy Number Associated with APOE4 Allele and Cholinesterase Inhibitor Therapy in Patients with Alzheimer’s Disease
Abstract
:1. Introduction
2. Materials and Methods
2.1. Subjects
2.2. Methods for Determination of Apolipoprotein E Genotype
2.3. Methods for Determination of Mitochondrial DNA Haplogroup
2.4. Assessment of Oxidative and Anti-Oxidative Stress Capacities
2.5. Measurement of Leukocyte mtDNA Copy Number
2.6. Statistical Analysis
3. Results
3.1. Differences between Demographics, Comorbidities, and Biological Markers of AD and Non-AD Cohorts
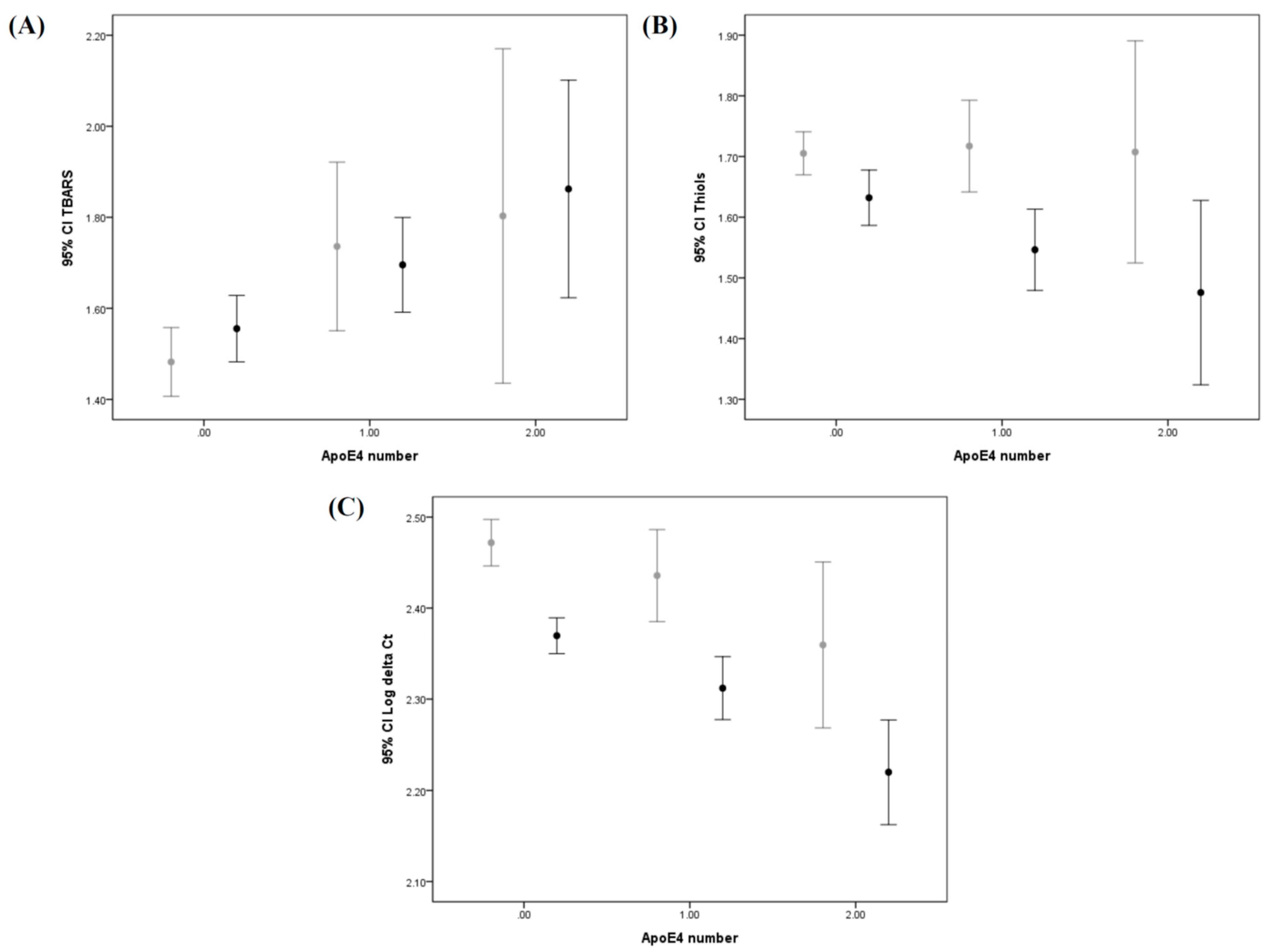
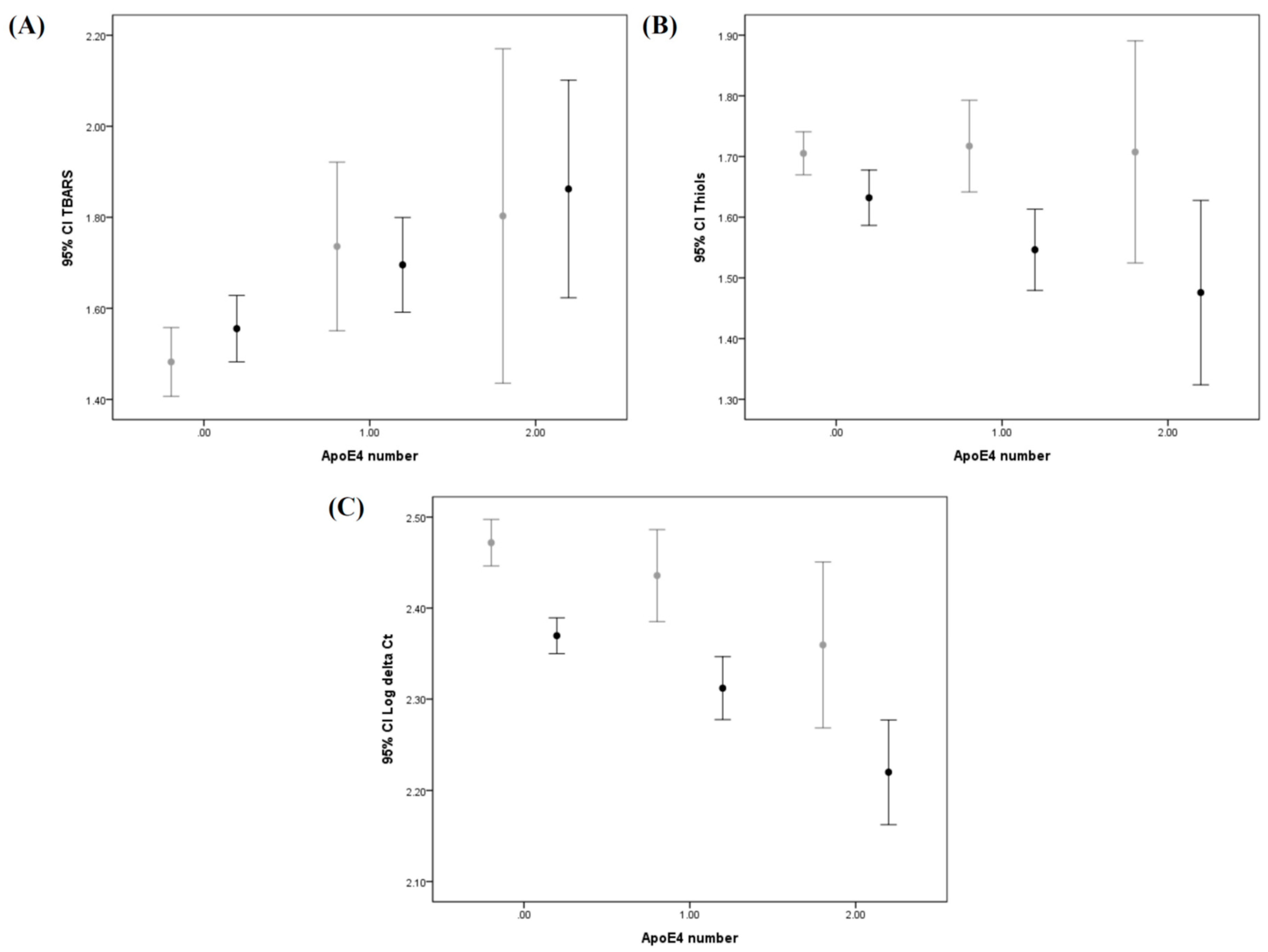
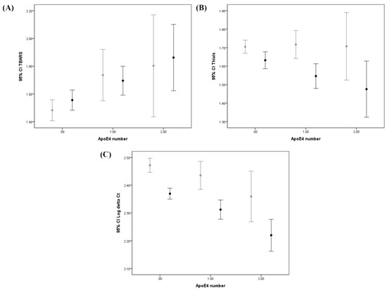
3.2. Differences between Levels of Biological Markers of Various APOE Allele Groups in the AD and Non-AD Cohort
3.3. Association Study for the Relationship between Specific mtDNA Haplogroups and AD as Well as Oxidative Stress and mtDNA Copy Number
3.4. Investigation into the Effects of Cholinesterase Inhibitors on Oxidative Stress and mtDNA Copy Number
4. Discussion
5. Conclusions
Supplementary Materials
Author Contributions
Funding
Institutional Review Board Statement
Informed Consent Statement
Data Availability Statement
Acknowledgments
Conflicts of Interest
References
- Kumar, A.; Singh, A. A review on Alzheimer’s disease pathophysiology and its management: An update. Pharmacol. Rep. 2015, 67, 195–203. [Google Scholar] [CrossRef] [PubMed]
- Chang, Y.T.; Chang, W.N.; Tsai, N.W.; Huang, C.C.; Kung, C.T.; Su, Y.J.; Lin, W.C.; Cheng, B.C.; Su, C.M.; Chiang, Y.F.; et al. The roles of biomarkers of oxidative stress and antioxidant in Alzheimer’s disease: A systematic review. Biomed Res. Int. 2014, 2014, 182303. [Google Scholar] [CrossRef] [PubMed]
- Qin, W.; Li, W.; Wang, Q.; Gong, M.; Li, T.; Shi, Y.; Song, Y.; Li, Y.; Li, F.; Jia, J. Race-Related Association between APOE Genotype and Alzheimer’s Disease: A Systematic Review and Meta-Analysis. J. Alzheimers Dis. 2021, 83, 897–906. [Google Scholar] [CrossRef] [PubMed]
- Dose, J.; Huebbe, P.; Nebel, A.; Rimbach, G. APOE genotype and stress response—a mini review. Lipids Health Dis. 2016, 15, 121. [Google Scholar] [CrossRef]
- Woo, J.; Cho, H.; Seol, Y.; Kim, S.H.; Park, C.; Yousefian-Jazi, A.; Hyeon, S.J.; Lee, J.; Ryu, H. Power Failure of Mitochondria and Oxidative Stress in Neurodegeneration and Its Computational Models. Antioxidants 2021, 10, 229. [Google Scholar] [CrossRef] [PubMed]
- Antonyová, V.; Kejík, Z.; Brogyányi, T.; Kaplánek, R.; Pajková, M.; Talianová, V.; Hromádka, R.; Masařík, M.; Sýkora, D.; Mikšátková, L.; et al. Role of mtDNA disturbances in the pathogenesis of Alzheimer’s and Parkinson’s disease. DNA Repair 2020, 91, 102871. [Google Scholar] [CrossRef] [PubMed]
- Morais, F.M.; Ribeiro, A.M.; Moreira, F.A.; Silva, P.V.G. Systematic review and meta-analysis on the role of mitochondrial cytochrome c oxidase in Alzheimer’s disease. Acta Neuropsychiatr. 2021, 33, 55–64. [Google Scholar] [CrossRef] [PubMed]
- Ridge, P.G.; Kauwe, J.S.K. Mitochondria and Alzheimer’s Disease: The Role of Mitochondrial Genetic Variation. Curr. Genet. Med. Rep. 2018, 6, 1–10. [Google Scholar] [CrossRef] [PubMed]
- Chang, S.; ran Ma, T.; Miranda, R.D.; Balestra, M.E.; Mahley, R.W.; Huang, Y. Lipid- and receptor-binding regions of apolipoprotein E4 fragments act in concert to cause mitochondrial dysfunction and neurotoxicity. Proc. Natl. Acad. Sci. USA 2005, 102, 18694–18699. [Google Scholar] [CrossRef]
- Schmukler, E.; Solomon, S.; Simonovitch, S.; Goldshmit, Y.; Wolfson, E.; Michaelson, D.M.; Pinkas-Kramarski, R. Altered mitochondrial dynamics and function in APOE4-expressing astrocytes. Cell Death Dis. 2020, 11, 578. [Google Scholar] [CrossRef] [PubMed]
- Yin, J.; Reiman, E.M.; Beach, T.G.; Serrano, G.E.; Sabbagh, M.N.; Nielsen, M.; Caselli, R.J.; Shi, J. Effect of ApoE isoforms on mitochondria in Alzheimer disease. Neurology 2020, 94, e2404–e2411. [Google Scholar] [CrossRef] [PubMed]
- Chico, L.; Simoncini, C.; Lo Gerfo, A.; Rocchi, A.; Petrozzi, L.; Carlesi, C.; Volpi, L.; Tognoni, G.; Siciliano, G.; Bonuccelli, U. Oxidative stress and APO E polymorphisms in Alzheimer’s disease and in mild cognitive impairment. Free. Radic. Res. 2013, 47, 569–576. [Google Scholar] [CrossRef]
- Ramassamy, C.; Averill, D.; Beffert, U.; Theroux, L.; Lussier-Cacan, S.; Cohn, J.S.; Christen, Y.; Schoofs, A.; Davignon, J.; Poirier, J. Oxidative insults are associated with apolipoprotein E genotype in Alzheimer’s disease brain. Neurobiol. Dis. 2000, 7, 23–37. [Google Scholar] [CrossRef] [PubMed]
- Tamaoka, A.; Miyatake, F.; Matsuno, S.; Ishii, K.; Nagase, S.; Sahara, N.; Ono, S.; Mori, H.; Wakabayashi, K.; Tsuji, S.; et al. Apolipoprotein E allele-dependent antioxidant activity in brains with Alzheimer’s disease. Neurology 2000, 54, 2319–2321. [Google Scholar] [CrossRef] [PubMed]
- Cani, P.D.; Knauf, C. How gut microbes talk to organs: The role of endocrine and nervous routes. Mol. Metab. 2016, 5, 743–752. [Google Scholar] [CrossRef] [PubMed]
- Dinan, T.G.; Cryan, J.F. The Microbiome-Gut-Brain Axis in Health and Disease. Gastroenterol. Clin. N. Am. 2017, 46, 77–89. [Google Scholar] [CrossRef]
- Galland, L. The gut microbiome and the brain. J. Med. Food. 2014, 17, 1261–1272. [Google Scholar] [CrossRef] [PubMed]
- Harach, T.; Marungruang, N.; Duthilleul, N.; Cheatham, V.; Mc Coy, K.D.; Frisoni, G.; Neher, J.J.; Fåk, F.; Jucker, M.; Lasser, T.; et al. Reduction of Abeta amyloid pathology in APPPS1 transgenic mice in the absence of gut microbiota. Sci. Rep. 2017, 7, 41802. [Google Scholar] [CrossRef]
- Wang, T.; Hu, X.; Liang, S.; Li, W.; Wu, X.; Wang, L.; Jin, F. Lactobacillus fermentum NS9 restores the antibiotic induced physiological and psychological abnormalities in rats. Benef. Microbes. 2015, 6, 707–717. [Google Scholar] [CrossRef]
- Dubois, B.; Feldman, H.H.; Jacova, C.; Hampel, H.; Molinuevo, J.L.; Blennow, K.; DeKosky, S.T.; Gauthier, S.; Selkoe, D.; Bateman, R.; et al. Advancing research diagnostic criteria for Alzheimer’s disease: The IWG-2 criteria. Lancet Neurol. 2014, 13, 614–629. [Google Scholar] [CrossRef]
- Hixson, J.E.; Vernier, D.T. Restriction isotyping of human apolipoprotein E by gene amplification and cleavage with HhaI. J. Lipid Res. 1990, 31, 545–548. [Google Scholar] [CrossRef]
- Itoh, Y.; Mizuki, N.; Shimada, T.; Azuma, F.; Itakura, M.; Kashiwase, K.; Kikkawa, E.; Kulski, J.K.; Satake, M.; Inoko, H. Highthroughput DNA typing of HLA-A, -B, -C, and -DRB1 loci by a PCR-SSOP-Luminex method in the Japanese population. Immunogenetics 2005, 57, 717–729. [Google Scholar] [CrossRef] [PubMed]
- Yao, Y.G.; Kong, Q.P.; Bandelt, H.J.; Kivisild, T.; Zhang, Y.P. Phylogeographic differentiation of mitochondrial DNA in Han Chinese. Am. J. Hum. Genet. 2002, 70, 635–651. [Google Scholar] [CrossRef] [PubMed]
- Tanaka, M.; Cabrera, V.M.; Gonzalez, A.M.; Larruga, J.M.; Takeyasu, T.; Fuku, N.; Guo, L.J.; Hirose, R.; Fujita, Y.; Kurata, M.; et al. Mitochondrial genome variation in eastern Asia and the peopling of Japan. Genome Res. 2004, 14, 1832–1850. [Google Scholar] [CrossRef]
- Liou, C.W.; Chen, J.B.; Tiao, M.M.; Weng, S.W.; Huang, T.L.; Chuang, J.H.; Chen, S.D.; Chuang, Y.C.; Lee, W.C.; Lin, T.K.; et al. Mitochondrial DNA coding and control region variants as genetic risk factors for type 2 diabetes. Diabetes 2012, 61, 2642–2651. [Google Scholar] [CrossRef] [PubMed]
- Ellman, G.; Lysko, H. A precise method for the determination of whole blood and plasma sulfhydryl groups. Anal. Biochem. 1979, 93, 98–102. [Google Scholar] [CrossRef]
- Ohkawa, H.; Ohishi, N.; Yagi, K. Assay for lipid peroxides in animal tissues by thiobarbituric acid reaction. Anal. Biochem. 1979, 95, 351–358. [Google Scholar] [CrossRef]
- Higuchi, R.; Fockler, C.; Dollinger, G.; Watson, R. Kinetic PCR analysis: Real-time monitoring of DNA amplification reactions. Biotechnology 1993, 11, 1026–1030. [Google Scholar] [CrossRef]
- Smith, J.D.; Miyata, M.; Poulin, S.E.; Neveux, L.M.; Craig, W.Y. The relationship between apolipoprotein E and serum oxidation-related variables is apolipoprotein E phenotype dependent. Int. J. Clin. Lab. Res. 1998, 28, 116–121. [Google Scholar] [CrossRef]
- Butterfield, D.A.; Mattson, M.P. Apolipoprotein E and oxidative stress in brain with relevance to Alzheimer’s disease. Neurobiol. Dis. 2020, 138, 104795. [Google Scholar] [CrossRef]
- Jofre-Monseny, L.; de Pascual-Teresa, S.; Plonka, E.; Huebbe, P.; Boesch-Saadatmandi, C.; Minihane, A.M.; Rimbach, G. Differential effects of apolipoprotein E3 and E4 on markers of oxidative status in macrophages. Br. J. Nutr. 2007, 97, 864–871. [Google Scholar] [CrossRef] [PubMed]
- Lee, C.Y.; Tse, W.; Smith, J.D.; Landreth, G.E. Apolipoprotein E promotes β-amyloid trafficking and degradation by modulating microglial cholesterol levels. J. Biol. Chem. 2012, 287, 2032–2044. [Google Scholar] [CrossRef] [PubMed]
- Ulrich, K.; Jakob, U. The role of thiols in antioxidant systems. Free. Radic. Biol. Med. 2019, 140, 14–27. [Google Scholar] [CrossRef]
- Delbarba, A.; Abate, G.; Prandelli, C.; Marziano, M.; Buizza, L.; Arce Varas, N.; Novelli, A.; Cuetos, F.; Martinez, C.; Lanni, C.; et al. Mitochondrial Alterations in Peripheral Mononuclear Blood Cells from Alzheimer’s Disease and Mild Cognitive Impairment Patients. Oxid. Med. Cell. Longev. 2016, 2016, 5923938. [Google Scholar] [CrossRef]
- Podlesniy, P.; Figueiro-Silva, J.; Llado, A.; Antonell, A.; Sanchez-Valle, R.; Alcolea, D.; Lleo, A.; Molinuevo, J.L.; Serra, N.; Trullas, R. Low cerebrospinal fluid concentration of mitochondrial DNA in preclinical Alzheimer disease. Ann. Neurol. 2013, 74, 655–668. [Google Scholar] [CrossRef]
- Wei, W.; Keogh, M.J.; Wilson, I.; Coxhead, J.; Ryan, S.; Rollinson, S.; Griffin, H.; Kurzawa-Akanbi, M.; Santibanez-Koref, M.; Talbot, K.; et al. Mitochondrial DNA point mutations and relative copy number in 1363 disease and control human brains. Acta Neuropathol. Commun. 2017, 5, 13. [Google Scholar] [CrossRef] [PubMed]
- Yu, C.E.; Seltman, H.; Peskind, E.R.; Galloway, N.; Zhou, P.X.; Rosenthal, E.; Wijsman, E.M.; Tsuang, D.W.; Devlin, B.; Schellenberg, G.D. Comprehensive analysis of APOE and selected proximate markers for late-onset Alzheimer’s disease: Patterns of linkage disequilibrium and disease/marker association. Genomics 2007, 89, 655–665. [Google Scholar] [CrossRef]
- Lee, E.G.; Chen, S.; Leong, L.; Tulloch, J.; Yum, C.E. TOMM40 RNA Transcription in Alzheimer’s Disease Brain and Its Implication in Mitochondrial Dysfunction. Genes 2021, 12, 871. [Google Scholar] [CrossRef]
- Sharma, P.; Srivastava, P.; Seth, A.; Tripathi, P.N.; Banerjee, A.G.; Shrivastava, S.K. Comprehensive review of mechanisms of pathogenesis involved in Alzheimer’s disease and potential therapeutic strategies. Prog. Neurobiol. 2019, 174, 53–89. [Google Scholar] [CrossRef] [PubMed]
- Marucci, G.; Buccioni, M.; Ben, D.D.; Lambertucci, C.; Volpini, R.; Amenta, F. Efficacy of acetylcholinesterase inhibitors in Alzheimer’s disease. Neuropharmacology 2021, 190, 108352. [Google Scholar] [CrossRef]
- Kim, S.H.; Kandiah, N.; Hsu, J.L.; Suthisisang, C.; Udommongkol, C.; Dash, A. Beyond symptomatic effects: Potential of donepezil as a neuroprotective agent and disease modifier in Alzheimer’s disease. Br. J. Pharmacol. 2017, 174, 4224–4232. [Google Scholar] [CrossRef]
- Sangaleti, C.T.; Katayama, K.Y.; De Angelis, K.; Lemos de Moraes, T.; Araújo, A.A.; Lopes, H.F.; Camacho, C.; Bortolotto, L.A.; Michelini, L.C.; Irigoyen, M.C.; et al. The Cholinergic Drug Galantamine Alleviates Oxidative Stress Alongside Anti-inflammatory and Cardio-Metabolic Effects in Subjects with the Metabolic Syndrome in a Randomized Trial. Front. Immunol. 2021, 12, 613979. [Google Scholar] [CrossRef]
- Shifrin, H.; Nadler-Milbauer, M.; Shoham, S.; Weinstock, M. Rivastigmine alleviates experimentally induced colitis in mice and rats by acting at central and peripheral sites to modulate immune responses. PLoS ONE. 2013, 8, e57668. [Google Scholar] [CrossRef]
- Kim, E.; Park, M.; Jeong, J.; Kim, H.; Lee, S.K.; Lee, E.; Oh, B.H.; Namkoong, K. Cholinesterase Inhibitor Donepezil Increases Mitochondrial Biogenesis through AMP-Activated Protein Kinase in the Hippocampus. Neuropsychobiology 2016, 73, 81–91. [Google Scholar] [CrossRef] [PubMed]
- Filograna, R.; Mennuni, M.; Alsina, D.; Larsson, N.G. Mitochondrial DNA copy number in human disease: The more the better? FEBS Lett. 2021, 595, 976–1002. [Google Scholar] [CrossRef] [PubMed]
- Vogt, N.M.; Kerby, R.L.; Dill-McFarland, K.A.; Harding, S.J.; Merluzzi, A.P.; Johnson, S.C.; Carlsson, C.M.; Asthana, S.; Zetterberg, H.; Blennow, K.; et al. Gut microbiome alterations in Alzheimer’s disease. Sci. Rep. 2017, 7, 13537. [Google Scholar] [CrossRef]
- Kincaid, H.J.; Nagpal, R.; Yadav, H. Diet-Microbiota-Brain Axis in Alzheimer’s Disease. Ann. Nutr. Metab. 2021, 77 (Suppl. 2), 21–27. [Google Scholar] [CrossRef]
- Zhou, Y.; Wang, Y.; Quan, M.; Zhao, H.; Jia, J. Gut Microbiota Changes and Their Correlation with Cognitive and Neuropsychiatric Symptoms in Alzheimer’s Disease. J. Alzheimers Dis. 2021, 81, 583–595. [Google Scholar] [CrossRef] [PubMed]
- Zhuang, Z.Q.; Shen, L.L.; Li, W.W.; Fu, X.; Zeng, F.; Gui, L.; Lü, Y.; Cai, M.; Zhu, C.; Tan, Y.L.; et al. Gut Microbiota is Altered in Patients with Alzheimer’s Disease. J. Alzheimers Dis. 2018, 63, 1337–1346. [Google Scholar] [CrossRef] [PubMed]

| Variable | AD Patients | Non-AD Controls | p |
|---|---|---|---|
| (n = 600) | (n = 601) | ||
| Age, year (SD) | 76.4 (9.2) | 75.6 (8.4) | 0.087 |
| Male, number (%) | 247 (41.2) | 260 (43.3) | 0.462 |
| BMI, mean (SD) | 23.98 (3.57) | 24.93 (3.79) | <0.001 * |
| Medical history | |||
| Hypertension (%) | 310 (51.7) | 405 (67.4) | <0.001 * |
| Diabetes mellitus (%) | 143 (23.8) | 158 (26.3) | 0.326 |
| Smoking (%) | 96 (16.0) | 105 (17.5) | 0.495 |
| TBARS, μmol/L (SD) | 1.64 (0.73) | 1.54 (0.86) | 0.003 * |
| Thiols, μmol/L (SD) | 1.60 (0.46) | 1.71 (0.39) | <0.001 * |
| mtDNA copy number, log Delta Ct (SD) | 2.34 (0.21) | 2.46 (0.28) | <0.001 * |
| APOE4 allele | |||
| Carrier of ε4: E2E4, E3E4, E4E4 (%) | 224 (37.3) | 111 (18.5) | |
| Non-carrier of ε4: E2E2, E2E3, E3eE3 (%) | 376 (62.7) | 480 (79.9) | <0.001 * |
| Variable | Number | TBARS | Thiols | mtDNA Copy Number |
|---|---|---|---|---|
| (%) | μmol/L (SD) | μmol/L (SD) | Log Delt Ct (SD) | |
| Alzheimer’s Disease (AD) | ||||
| No E4 allele (ε2ε2, ε2ε3, ε3ε3) | 376 (62.7) | 1.56 (0.72) | 1.63 (0.45) | 2.37 (0.19) |
| One E4 allele (ε2ε4, ε3ε4) | 188 (31.3) | 1.70 (0.73) | 1.55 (0.47) | 2.31 (0.24) |
| Two E4 allele (ε4ε4) | 36 (6.0) | 1.86 (0.71) | 1.48 (0.45) | 2.22 (0.17) |
| Non-Alzheimer’s Disease (non-AD) | ||||
| No E4 allele (ε2ε2, ε2ε3, ε3ε3) | 480 (79.9) | 1.48 (0.84) | 1.71 (0.40) | 2.47 (0.29) |
| One E4 allele (ε2ε4, ε3ε4) | 101 (16.8) | 1.74 (0.94) | 1.71 (0.38) | 2.44 (0.26) |
| Two E4 allele (ε4ε4) | 20 (3.3) | 1.80 (0.79) | 1.71 (0.39) | 2.36 (0.20) |
| Haplogroup | AD (n = 600) | Non-AD (n = 601) | Total (n = 1201) | Multivariate | |
|---|---|---|---|---|---|
| % (n) | % (n) | % (n) | Odds Ratio (95% CI) | p | |
| Major haplogroup | |||||
| A | 4.5 (27) | 4.5 (27) | 4.5 (54) | 0.90 (0.51–1.58) | 0.719 |
| B | 18.8 (113) | 21.5 (129) | 20.1 (242) | 0.84 (0.63–1.13) | 0.246 |
| C | 1.8 (11) | 1.5 (9) | 1.7 (20) | 0.97 (0.39–2.42) | 0.952 |
| D | 18.5 (111) | 18.5 (111) | 18.5 (222) | 1.04 (0.77–1.40) | 0.824 |
| E | 1.2 (7) | 1.8 (11) | 1.5 (18) | 0.69 (0.26–4.81) | 0.444 |
| F | 19.7 (118) | 18.8 (113) | 19.2 (231) | 1.06 (0.79–1.43) | 0.693 |
| G | 2.5 (15) | 2.8 (17) | 2.7 (32) | 0.92 (0.44–1.92) | 0.826 |
| M7 | 16.0 (96) | 11.3 (68) | 13.7 (164) | 1.43 (1.01–2.02) | 0.042 |
| M8 | 4.2 (25) | 6.5 (39) | 5.3 (64) | 0.64 (0.38–1.09) | 0.099 |
| N9 | 2.7 (16) | 4.3 (26) | 3.5 (42) | 0.61 (0.32–1.16) | 0.133 |
| Others N | 2.2 (13) | 1.7 (10) | 1.9 (23) | 1.44 (0.61–3.39) | 0.41 |
| Others M | 8.0 (48) | 6.8 (41) | 7.4 (89) | 1.24 (0.79–1.95) | 0.346 |
| Sub-haplogroup | |||||
| B4 | 12.5 (75) | 14.3 (86) | 13.5 (162) | 0.89 (0.63–1.25) | 0.497 |
| B5 | 4.7 (28) | 6.2 (37) | 5.4 (65) | 0.78 (0.46–1.30) | 0.337 |
| D4 | 11.5 (69) | 11.2 (67) | 11.3 (136) | 1.03 (0.71–1.48) | 0.896 |
| D5 | 6.7 (40) | 6.7 (40) | 6.7 (80) | 1.16 (0.72–1.85) | 0.543 |
| F1 | 10.0 (60) | 9.0 (54) | 9.5 (114) | 1.13 (0.76–1.68) | 0.557 |
| F2 | 5.2 (31) | 3.5 (21) | 4.3 (52) | 1.78 (1.02–3.11) | 0.042 |
| M7b | 8.0 (48) | 5.0 (30) | 6.5 (78) | 1.54 (0.95–2.49) | 0.081 |
| M7c | 5.8 (35) | 3.3 (20) | 4.6 (55) | 1.57 (0.89–2.76) | 0.121 |
| Variable | Number | TBARS | Thiols | mtDNA Copy Number |
|---|---|---|---|---|
| (%) | μmol/L (SD) | μmol/L (SD) | Log Delt Ct (SD) | |
| Medications groups | ||||
| Donepezil | 139 (23) | 1.64 (0.65) | 1.57 (0.46) | 2.35 (0.20) * |
| Rivastigmine | 169 (28) | 1.52 (0.70) * | 1.63 (0.44) | 2.35 (0.21) * |
| Galantamine | 94 (16) | 1.49 (0.69) * | 1.58 (0.44) | 2.39 (0.21) * |
| Others | 57 (10) | 1.91 (0.98) | 1.63 (0.46) | 2.32 (0.22) |
| Non-medication group | 141 (24) | 1.68 (0.70) | 1.58 (0.48) | 2.30 (0.22) |
Publisher’s Note: MDPI stays neutral with regard to jurisdictional claims in published maps and institutional affiliations. |
© 2021 by the authors. Licensee MDPI, Basel, Switzerland. This article is an open access article distributed under the terms and conditions of the Creative Commons Attribution (CC BY) license (https://creativecommons.org/licenses/by/4.0/).
Share and Cite
Liou, C.-W.; Chen, S.-H.; Lin, T.-K.; Tsai, M.-H.; Chang, C.-C. Oxidative Stress Biomarkers and Mitochondrial DNA Copy Number Associated with APOE4 Allele and Cholinesterase Inhibitor Therapy in Patients with Alzheimer’s Disease. Antioxidants 2021, 10, 1971. https://doi.org/10.3390/antiox10121971
Liou C-W, Chen S-H, Lin T-K, Tsai M-H, Chang C-C. Oxidative Stress Biomarkers and Mitochondrial DNA Copy Number Associated with APOE4 Allele and Cholinesterase Inhibitor Therapy in Patients with Alzheimer’s Disease. Antioxidants. 2021; 10(12):1971. https://doi.org/10.3390/antiox10121971
Chicago/Turabian StyleLiou, Chia-Wei, Shih-Hsuan Chen, Tsu-Kung Lin, Meng-Han Tsai, and Chiung-Chih Chang. 2021. "Oxidative Stress Biomarkers and Mitochondrial DNA Copy Number Associated with APOE4 Allele and Cholinesterase Inhibitor Therapy in Patients with Alzheimer’s Disease" Antioxidants 10, no. 12: 1971. https://doi.org/10.3390/antiox10121971
APA StyleLiou, C.-W., Chen, S.-H., Lin, T.-K., Tsai, M.-H., & Chang, C.-C. (2021). Oxidative Stress Biomarkers and Mitochondrial DNA Copy Number Associated with APOE4 Allele and Cholinesterase Inhibitor Therapy in Patients with Alzheimer’s Disease. Antioxidants, 10(12), 1971. https://doi.org/10.3390/antiox10121971

