Using an Overlapping Time Interval Strategy to Study Diagnostic Instability in Mild Cognitive Impairment Subtypes
Abstract
1. Introduction
2. Materials and Methods
2.1. Participants
2.2. Procedure
2.3. Overlapping Intervals Procedure
2.4. Statistical Analysis
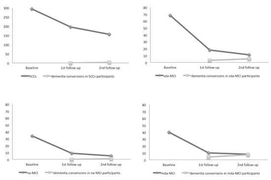
3. Results
4. Discussion
5. Conclusions
Supplementary Materials
Author Contributions
Funding
Conflicts of Interest
References
- Gerstenecker, A.; Mast, B. Mild cognitive impairment: A history and the state of current diagnostic criteria. Int. Psychogeriatr. 2015, 27, 199–211. [Google Scholar] [CrossRef]
- Peters, K.R.; Katz, S. Voices from the field: Expert reflections on mild cognitive impairment. Dementia 2015, 14, 285–297. [Google Scholar] [CrossRef] [PubMed]
- Petersen, R.C. Mild cognitive impairment as a diagnostic entity. J. Intern. Med. 2004, 256, 183–194. [Google Scholar] [CrossRef] [PubMed]
- Winblad, B.; Palmer, K.; Kiyipelto, M. Mild cognitive impairment--beyond controversies, towards a consensus: Report of the International Working Group on Mild Cognitive Impairment. J. Intern. Med. 2004, 256, 240–246. [Google Scholar] [CrossRef] [PubMed]
- Albert, M.S.; DeKosky, S.T.; Dickson, D.; Dubois, B.; Feldman, H.H.; Fox, N.C.; Gamst, A.; Holtzman, D.M.; Jagust, W.J.; Petersen, R.C.; et al. The diagnosis of mild cognitive impairment due to Alzheimer’s disease: Recommendations from the National Institute on Aging and Alzheimer’s Association workgroup. Alzheimer’s Dement. 2011, 7, 270–279. [Google Scholar] [CrossRef]
- Dubois, B.; Feldman, H.H.; Jacova, C.; DeKosky, S.T.; Barberger-Gateau, P.; Cummings, J.; Delacourte, A.; Galasko, D.; Gauthier, S.; Jicha, G.; et al. Research criteria for the diagnosis of Alzheimer’s disease: Revising the NINCDS-ADRDA criteria. Lancet Neurol. 2007, 6, 734–746. [Google Scholar] [CrossRef]
- Petersen, R.C.; Lopez, O.; Armstrong, M.J.; Getchius, T.S.; Ganguli, M.; Gloss, D.; Gronseth, G.S.; Marson, D.; Pringsheim, T.; Day, G.S.; et al. Practice guideline update summary: Mild cognitive impairment: Report of the Guideline Development, Dissemination, and Implementation Subcommittee of the American Academy of Neurology. Neurology 2018, 90, 126–135. [Google Scholar] [CrossRef]
- Díaz-Mardomingo, M.D.C.; García-Herranz, S.; Rodríguez-Fernández, R.; Venero, C.; Peraita, H. Problems in classifying mild cognitive impairment (MCI): One or multiple syndromes. Brain Sci. 2017, 7, 111. [Google Scholar] [CrossRef]
- Facal, D.; Guàrdia-Olmos, J.; Juncos-Rabadán, O. Diagnostic transitions in mild cognitive impairment by use of simple Markov models. Int. J. Geriatr. Psychiatry 2015, 30, 669–676. [Google Scholar] [CrossRef]
- Han, J.W.; Kim, T.H.; Lee, S.B.; Park, J.H.; Lee, J.J.; Huh, Y.; Park, J.E.; Jhoo, J.H.; Lee, D.Y.; Kim, K.W. Predictive validity and diagnostic stability of mild cognitive impairment subtypes. Alzheimer’s Dement. 2012, 8, 553–559. [Google Scholar] [CrossRef]
- Cloutier, S.; Chertkow, H.; Kergoat, M.J.; Gauthier, S.; Belleville, S. Patterns of cognitive decline prior to dementia in persons with mild cognitive impairment. J. Alzheimer’s Dis. 2015, 47, 901–913. [Google Scholar] [CrossRef] [PubMed]
- Ding, D.; Zhao, Q.; Guo, Q. Progression and predictors of mild cognitive impairment in Chinese elderly: A prospective follow-up in the Shanghai Aging Study. Alzheimer’s Dement. 2016, 4, 28–36. [Google Scholar] [CrossRef]
- Klekociuk, S.Z.; Summers, M.J. Exploring the validity of mild cognitive impairment (MCI) subtypes: Multipledomain amnestic MCI is the only identifiable subtype at longitudinal follow-up. J. Clin. Exp. Neuropsychol. 2014, 36, 290–301. [Google Scholar] [CrossRef] [PubMed]
- Cui, Y.; Liu, B.; Luo, S.; Zhen, X.; Fan, M.; Liu, T.; Zhu, W.; Park, M.; Jiang, T.; Jin, J.S.; et al. Identification of conversion from mild cognitive impairment to Alzheimer’s disease using multivariate predictors. PLoS ONE 2011, 6, e21896. [Google Scholar] [CrossRef] [PubMed]
- Smith, G.E.; Pankratz, V.S.; Negash, S.; Machulda, M.M.; Petersen, R.C.; Boeve, B.F.; Knopman, D.S.; Lucas, J.A.; Ferman, T.J.; Graff-Radford, N.; et al. A plateau in pre-Alzheimer memory decline: Evidence for compensatory mechanisms? Neurology 2007, 69, 133–139. [Google Scholar] [CrossRef] [PubMed]
- Juncos-Rabadan, O.; Pereiro, A.X.; Facal, D.; Lojo, C.; Caamaño, J.A.; Sueiro, J.; Boveda, J.; Eiroa, P. Prevalence and correlates of mild cognitive impairment in adults aged over 50 years with subjective cognitive complaints in primary care centers. Geriatr. Gerontol. Int. 2014, 14, 667–673. [Google Scholar] [CrossRef] [PubMed]
- Benedet, M.J.; Alejandre, M.A. TAVEC: Test de Aprendizaje Verbal España-Complutense (TAVEC: Spanish-Complutense Verbal Learning Test); TEA Ediciones: Madrid, Spain, 1998. [Google Scholar]
- Lobo, A.; Saz, P.; Marcos, G.; Día, J.L.; de la Cámara, C.; Ventura, T.; Morales Asín, F.; Pascual, L.F.; Montañés, J.A.; Aznar, S. Revalidación y normalización del mini-examen cognoscitivo (primera versión en Castellano del mini-mental status examination) en la población general geriatrica. (Revalidation and standardization of the cognition mini-exam (first Spanish version of the mini-mental status examination) in the general geriatric population). Med. Clin. 1999, 112, 767–774. [Google Scholar]
- López-Pousa, S. CAMDEX-R: Prueba de Exploración Cambridge Revisada Para la Valoración de los Trastornos Mentales en la Vejez. Adaptación Española (CAMDEX-R: Revised Cambridge Screening Test for the Assessment of Mental Disorders in Old Age. Spanish Adaptation); TEA Ediciones: Madrid, Spain, 2003. [Google Scholar]
- Pauker, J.D. Constructing overlapping cell tables to maximize the clinical usefulness of normative test data: Rationale and an example from neuropsychology. J. Clin. Psychol. 1988, 44, 930–933. [Google Scholar] [CrossRef]
- Langa, K.M.L.; Levine, D.A. The diagnosis and management of mild cognitive impairment: A clinical review. JAMA 2014, 312, 2551–2562. [Google Scholar] [CrossRef] [PubMed]
- Malek-Ahmadi, M. Reversion from mild cognitive impairment to normal cognition. Alzheimer Dis. Assoc. Dis. 2016, 30, 324–330. [Google Scholar] [CrossRef] [PubMed]
- Forlenza, O.V.; Diniz, B.S.; Nunes, P.V.; Memória, C.M.; Yassuda, M.S.; Gattaz, W.F. Diagnostic transitions in mild cognitive impairment subtypes. Int. Psychoger. 2009, 21, 1088–1095. [Google Scholar] [CrossRef] [PubMed]
- Reisberg, B.; Shulman, M.B.; Torossian, C.; Leng, L.; Zhu, W. Outcome over seven years of healthy adults with and without subjective cognitive impairment. Alzheimer’s Dement. 2010, 6, 11–24. [Google Scholar] [CrossRef] [PubMed]
- Klekociuk, S.Z.; Summers, J.J.; Vickers, J.C.; Summers, M.J. Reducing false positive diagnoses in mild cognitive impairment: The importance of comprehensive neuropsychological assessment. Eur. J. Neurol. 2014, 21, 1330–1336. [Google Scholar] [CrossRef] [PubMed]
- Edmonds, E.C.; Delano-Woods, L.; Jak, A.J.; Galasko, D.R.; Salmon, D.P.; Bondi, M.W. “Missed” mild cognitive impairment: High false-negative error rate based on conventional diagnostic criteria. J. Alzheimer’s Dis. 2016, 52, 685–691. [Google Scholar] [CrossRef] [PubMed]
- Edmonds, E.C.; Delano-Wood, L.; Galasko, D.R.; Salmon, D.P.; Bondi, M.W. Subjective cognitive complaints contribute to misdiagnosis of mild cognitive impairment. J. Int. Neuropsychol. Soc. 2014, 20, 836–847. [Google Scholar] [CrossRef] [PubMed]
- Edmonds, E.C.; Delano-Woods, L.; Clark, L.R.; Jaka, A.J.; Nationd, D.A.; McDonald, C.R.; Libone, D.J.; Auf, R.; Galasko, D.; Salmonh, D.P.; et al. Susceptibility of the conventional criteria for mild cognitive impairment to false-positive diagnostic errors. Alzheimer’s Dement. 2015, 11, 415–424. [Google Scholar] [CrossRef] [PubMed]
- Campos-Magdaleno, M.; Facal, D.; Juncos-Rabadán, O.; Picón, E.; Pereiro, A.X. Comparison between an empirically derived and a standard classification of amnestic mild cognitive impairment from a sample of adults with subjective cognitive complaints. J. Aging Health 2016, 28, 1105–1115. [Google Scholar] [CrossRef]




| mda-MCI | na-MCI | sda-MCI | SCCs | Group Differences χ² (gl) | Group Comparisons | |
|---|---|---|---|---|---|---|
| Age | 72.42 (8.33) | 67.12 (8.82) | 69.29 (9.36) | 65.49 (9.05) | 24.83 ** | mda-MCI > naMCI, SCCs; sda-MCI>SCCs | 
| Years of education | 9.68 (8.82) | 8.29 (3.75) | 9.40 (4.17) | 9.92 (4.70) | 1.81 | |
| Memory complaints—participant | 19.43 (4.69) | 20.35 (3.45) | 19.03 (4.69) | 18.81 (4.51) | 8.53 * | naMCI > SCCs | 
| Memory complaints—proxy | 17.97 (4.54) | 18.03 (4.76) | 16.84 (4.46) | 15.49 (4.23) | 17.03 ** | mda-MCI, naMCI > sdaMCI, SCCs; sda-MCI > SCCs | 
| CVLT Short Delay Free Recall | 3.10 (2.03) | 9.18 (2.21) | 3.88 (2.05) | 10.34 (2.70) | 228.58 ** | SCCs, na-MCI > mda-MCI, sda-MCI; sda-MCI > mda-MCI | 
| CVLT Long Delay Free Recall | 3.82 (3.19) | 9.76 (2.69) | 5.12 (3.06) | 11.14 (2.83) | 184.80 ** | SCCs, sda-MCI, na-MCI > mdaMCI; SCCs> na-MCI, sda-MCI; na-MCI>sda-MCI | 
| CAMCOG-R memory | 15.50 (3.80) | 18.56 (2.87) | 18.53 (3.88) | 21.26 (2.78) | 99.18 ** | SCCs, sda-MCI, na-MCI > mdaMCI; SCCs > na-MCI, sda-MCI | 
| CAMCOG-R orientation | 7.98 (1.46) | 9.29 (0.80) | 9.31 (0.83) | 9.64 (0.63) | 79.19 ** | SCCs, sda-MCI, na-MCI > mdaMCI; SCCs > na-MCI, sda-MCI | 
| CAMCOG-R language | 22.77 (2.36) | 23.53 (2.00) | 24.90 (2.43) | 25.60 (2.40) | 54.55 ** | SCCs, sda-MCI > mdaMCI, na-MCI | 
| CAMCOG-R attention - calculation | 5.03 (2.21) | 4.29 (1.73) | 7.25 (1.70) | 7.05 (1.97) | 100.90 ** | SCCs, sda-MCI > mdaMCI, na-MCI | 
| CAMCOG-R praxis | 9.10 (2.53) | 10.03 (1.71) | 10.71 (1.47) | 11.14 (1.19) | 48.01 ** | SCCs, sda-MCI > mdaMCI, na-MCI | 
| CAMCOG-R perception | 5.97 (1.64) | 6.50 (1.28) | 6.53 (1.48) | 7.06 (1.44) | 21.68 ** | SCCs, sda-MCI > mdaMCI; SCCs > na-MCI, sda-MCI | 
| CAMCOG-R executive function | 13.22 (3.94) | 15.35 (4.20) | 15.93 (4.28) | 18.42 (4.20) | 58.84 ** | SCCs, sda-MCI > mdaMCI; SCCs > na-MCI, sda-MCI | 
| Interval | mda-MCI | na-MCI | sda-MCI | SCCs | 
|---|---|---|---|---|
| 9–15 months | 6 | 3 | 10 | 35 | 
| 12–18 months | 14 | 15 | 30 | 125 | 
| 15–21 months | 16 | 16 | 31 | 155 | 
| 18–24 months | 13 | 11 | 22 | 105 | 
| 21–27 months | 5 | 8 | 13 | 49 | 
| 24–30 months | 4 | 4 | 7 | 25 | 
| 27–33 months | 6 | 3 | 11 | 47 | 
| 30–36 months | 9 | 7 | 21 | 98 | 
| 33–39 months | 10 | 15 | 21 | 98 | 
| 36–42 months | 8 | 12 | 14 | 56 | 
| 39–45 months | 8 | 8 | 9 | 51 | 
| 42–48 months | 6 | 3 | 9 | 27 | 
| 45–51 months | 4 | 4 | 9 | 18 | 
| Interval | sda-MCI OR (95% CI) | mda-MCI OR (95% CI) | 
|---|---|---|
| 9–15 months | 9 (8.20–9.80) | 3.36 (3.06–3.66) | 
| 12–18 months | 4 (3.35–4.65) | 1 (1.00–2.12) | 
| 15–21 months | 1.62 (1.22–2.02) | 0.41 (0–1.21) | 
| 18–24 months | 5.22 (4.67–5.77) | 1.31 (1.08–1.34) | 
| 21–27 months | 2.39 (1.45–3.34) | 0.41 (0–1.21) | 
| 24–30 months | 2.89 (2.10–3.68) | 1 (1.00–2.12) | 
| 27–33 months | 16 (12.10–19.90) | 5.06 (4.85–5.27) | 
| 30–36 months | 11.56 (10.10–12.45) | 1.96 (1.52–2.40) | 
| 33–39 months | 2.25 (1,10–3.40) | 0.49 (0–1.21) | 
| 36–42 months | 1.51 (1.10–1.92) | 0.48 (0–1.21) | 
| 39–45 months | 1.19 (1.00–1.77) | 1 (1.00–2.12) | 
| 42–48 months | 8.16 (6.80–9.54) | 3.45 (2.90–4.05) | 
| 45–51 months | 3.31 (2.80–3.82) | 1 (1.00–2.12) | 
© 2019 by the authors. Licensee MDPI, Basel, Switzerland. This article is an open access article distributed under the terms and conditions of the Creative Commons Attribution (CC BY) license (http://creativecommons.org/licenses/by/4.0/).
Share and Cite
Facal, D.; Guàrdia-Olmos, J.; Pereiro, A.X.; Lojo-Seoane, C.; Peró, M.; Juncos-Rabadán, O. Using an Overlapping Time Interval Strategy to Study Diagnostic Instability in Mild Cognitive Impairment Subtypes. Brain Sci. 2019, 9, 242. https://doi.org/10.3390/brainsci9090242
Facal D, Guàrdia-Olmos J, Pereiro AX, Lojo-Seoane C, Peró M, Juncos-Rabadán O. Using an Overlapping Time Interval Strategy to Study Diagnostic Instability in Mild Cognitive Impairment Subtypes. Brain Sciences. 2019; 9(9):242. https://doi.org/10.3390/brainsci9090242
Chicago/Turabian StyleFacal, David, Joan Guàrdia-Olmos, Arturo X. Pereiro, Cristina Lojo-Seoane, Maribel Peró, and Onésimo Juncos-Rabadán. 2019. "Using an Overlapping Time Interval Strategy to Study Diagnostic Instability in Mild Cognitive Impairment Subtypes" Brain Sciences 9, no. 9: 242. https://doi.org/10.3390/brainsci9090242
APA StyleFacal, D., Guàrdia-Olmos, J., Pereiro, A. X., Lojo-Seoane, C., Peró, M., & Juncos-Rabadán, O. (2019). Using an Overlapping Time Interval Strategy to Study Diagnostic Instability in Mild Cognitive Impairment Subtypes. Brain Sciences, 9(9), 242. https://doi.org/10.3390/brainsci9090242
 
        



 
       