The Influence of Dancesport on College Students’ Rhythm Perception Ability
Abstract
1. Introduction
2. Experiment 1: The Impact of Dancesport on Rhythm Perception Ability of College Students
2.1. Subjects and Methods
2.1.1. Study Subjects
2.1.2. Exercise Intervention Program
2.1.3. Experimental Procedures
Rhythm Perception Measurement
2.1.4. Data Statistics and Analysis
2.2. Research Findings and Analysis
2.2.1. Baseline Test Comparison Analysis Between Groups Before Intervention
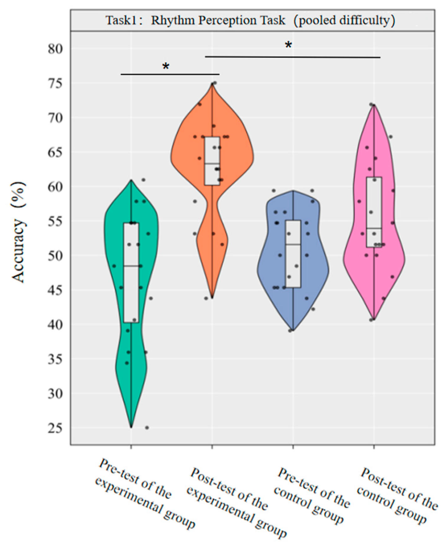
2.2.2. The Influence of Dancesport on Rhythm Perception Ability of College Students
3. Experiment 2: The Impact of Dancesport on Rhythmic Perception Capabilities of Multiple Sensory Channels in College Students
3.1. Subjects and Methods
3.1.1. Study Subjects
3.1.2. Exercise Intervention Program
3.1.3. Experimental Procedures
Measurement of Rhythm Perception in the Somatosensory Modality
Measurement of Rhythm Perception in Visual Channels
Measurement of Rhythmic Perception in the Auditory Channel
3.1.4. Data Statistics and Analysis
3.2. Research Findings and Analysis
3.2.1. Baseline Test Comparison Analysis Between Groups Before Intervention
3.2.2. The Effect of Dancesport on the Rhythm Perception Ability of the Body Sensory Channel in College Students
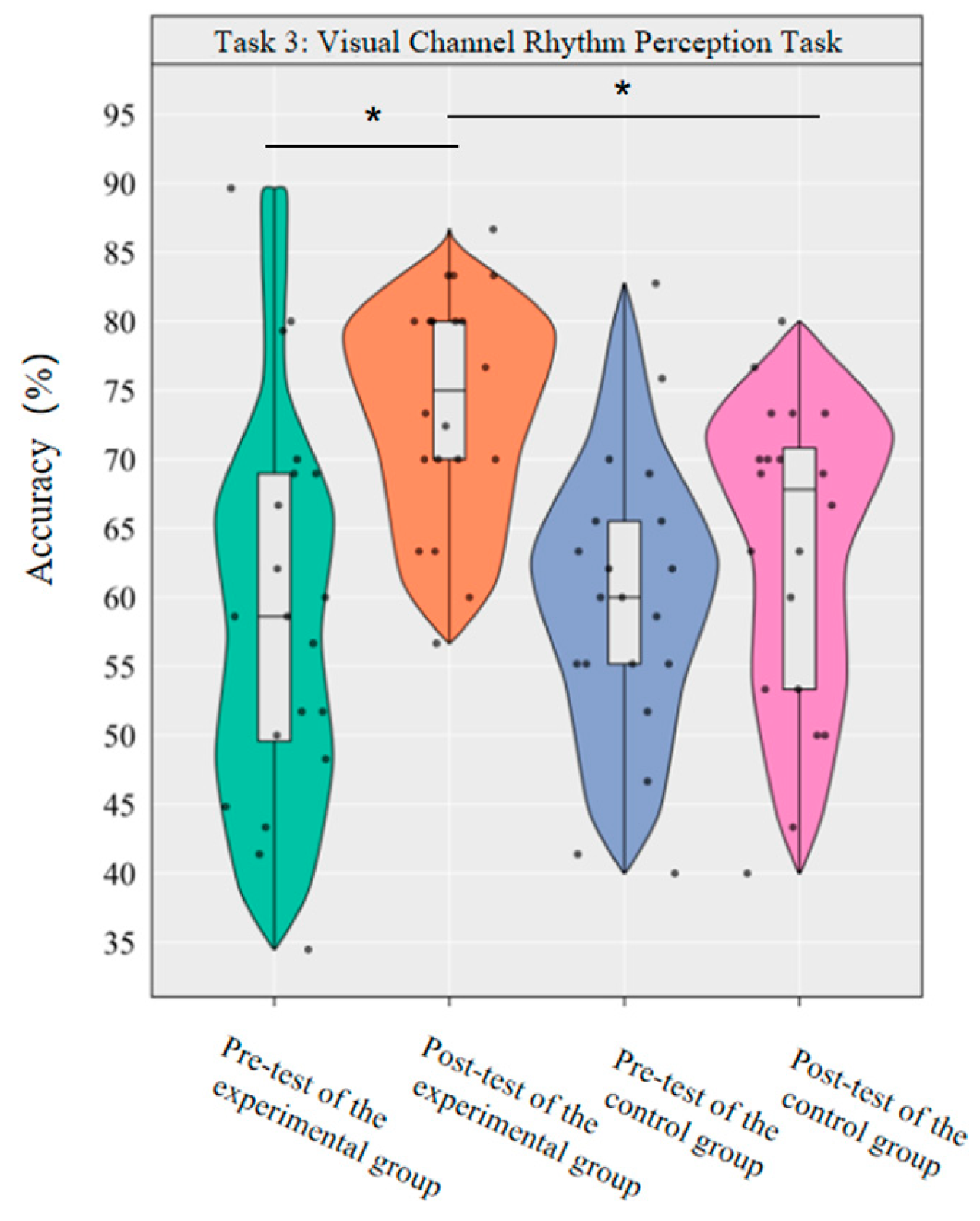
3.2.3. The Effect of Dancesport on the Rhythm Perception Ability of College Students’ Visual Channel
3.2.4. The Effect of Dancesport on the Rhythm Perception Ability of College Students’ Auditory Channel
4. Discussion
4.1. The Effect of Dancesport on Rhythm Perception Ability of College Students
4.2. The Influence of Dancesport on the Multi-Channel Rhythm Perception Ability of College Students
4.3. Research Perspectives and Limitations
5. Conclusions
Author Contributions
Funding
Institutional Review Board Statement
Informed Consent Statement
Data Availability Statement
Conflicts of Interest
References
- Toader, C.; Tataru, C.P.; Florian, I.; Covache-Busuioc, R.; Bratu, B.; Glavan, L.A.; Bordeianu, A.; Dumitrascu, D.; Ciurea, A.V. Cognitive Crescendo: How Music Shapes the Brain’s Structure and Function. Brain Sci. 2023, 13, 1390. [Google Scholar] [CrossRef]
- Proksch, S.; Comstock, D.C.; Médé, B.; Pabst, A.; Balasubramaniam, R. Motor and predictive processes in auditory beat and rhythm perception. Front. Hum. Neurosci. 2020, 14, 578546. [Google Scholar] [CrossRef] [PubMed]
- Bouwer, F.L.; Fahrenfort, J.J.; Millard, S.K.; Kloosterman, N.A.; Slagter, H.A. A Silent Disco: Differential Effects of Beat-based and Pattern-based Temporal Expectations on Persistent Entrainment of Low-frequency Neural Oscillations. J. Cogn. Neurosci. 2023, 35, 990–1020. [Google Scholar] [CrossRef] [PubMed]
- Patel, A.D. Beat-based dancing to music has evolutionary foundations in advanced vocal learning. BMC Neurosci. 2024, 25, 65. [Google Scholar] [CrossRef] [PubMed]
- Danielsen, A.; Brvig, R.; Bhler, K.K.; Cmara, G.S.; Haugen, M.R.; Jacobsen, E.; Johansson, M.S.; Lartillot, O.; Nymoen, K.; Oddekalv, K.A.; et al. There’s more to timing than timeinvestigating musical microrhythm across disciplines and cultures. Music Percept. 2024, 41, 23. [Google Scholar] [CrossRef]
- Large, E.W.; Roman, I.; Kim, J.C.; Cannon, J.; Pazdera, J.K.; Trainor, L.J.; Rinzel, J.; Bose, A. Dynamic models for musical rhythm perception and coordination. Front. Comput. Neurosci. 2023, 17, 1151895. [Google Scholar] [CrossRef]
- Pan, L.; Qian, X. Rhythm perception and interactions between different sensory channels. Adv. Psychol. Sci. 2015, 23, 1910. [Google Scholar] [CrossRef]
- Nguyen, T.; Reisner, S.; Lueger, A.; Wass, S.V.; Hoehl, S.; Markova, G. Sing to me, baby: Infants show neural tracking and rhythmic movements to live and dynamic maternal singing. Dev. Cogn. Neurosci. 2023, 64, 101313. [Google Scholar] [CrossRef]
- Kolumbet, A.N.; Paryshkura, Y.V. Specialized functional properties of muscular activity energy supply system of highly skilled cyclists of different specialization. Rehabil. Recreat. 2024, 18, 137–151. [Google Scholar] [CrossRef]
- Yamanaka, T.; Hirata, Y. Cross-modal predictive oculomotor control: Visually acquired prediction transfers to vestibular-driven eye movements. J. Physiol. 2025, 604, 1353–1372. [Google Scholar] [CrossRef]
- Karpati, F.J.; Giacosa, C.; Foster, N.E.V.; Penhune, V.B.; Hyde, K.L. Dance and music share gray matter structural correlates. Brain Res. 2017, 1657, 62–73. [Google Scholar] [CrossRef]
- Yang, C.J.; Yu, H.Y.; Hong, T.Y.; Shih, C.H.; Yeh, T.C.; Chen, L.F.; Hsieh, J.C. Trait representation of embodied cognition in dancers pivoting on the extended mirror neuron system: A resting-state fMRI study. Front. Hum. Neurosci. 2023, 17, 1173993. [Google Scholar] [CrossRef]
- Tokida, S.; Ishiguro, Y. Understanding the Effects of Rhythmic Frame-by-Frame Presentation for Improving Dance Learning. In Proceedings of the Augmented Humans International Conference, Abu Dhabi, United Arab Emirates, 16–20 March 2025; pp. 7–17. [Google Scholar]
- Lukitsch, O. Effort, uncertainty, and the sense of agency. Rev. Philos. Psychol. 2020, 11, 955–975. [Google Scholar] [CrossRef]
- Jin, X.H.; Wang, X.Y.; Wang, B.Y.; Wang, Y.X.; Zhou, C.L. Rhythm perception synchronization advantage and characteristics of brain neural activity in dancers. China Sports Sci. Technol. 2022, 58, 43–50. [Google Scholar] [CrossRef]
- Groen, Y. Een optimistische kijk op de kneedbaarheid van het tienerbrein en het jonge-twintigersbrein. Neuropraxis 2017, 21, 43–45. [Google Scholar] [CrossRef]
- Qu, N.N.; Li, K.J. Reliability and validity of the Chinese version of the international physical activity questionnaire. Chin. J. Epidemiol. 2004, 1, 87–90. [Google Scholar]
- Chauhan, S.; Najaf, S.S.; Gergely, L.; Kinga, K.A.; Karsai, I.; Prémusz, V. Impact of 10 Weeks of Yoga Intervention on Mental Health and Overall Well-Being Among Medical Students: GSY Study. Sports 2025, 13, 114. [Google Scholar] [CrossRef] [PubMed]
- Klare, P.; Nigg, J.; Nold, J.; Haller, B.; Krug, A.B.; Mair, S.; Thoeringer, C.K.; Christle, J.W.; Schmid, R.M.; Halle, M.; et al. The impact of a ten-week physical exercise program on health-related quality of life in patients with inflammatory bowel disease: A prospective randomized controlled trial. Digestion 2015, 91, 239–247. [Google Scholar] [CrossRef]
- Zhang, H.; Wang, T.; Feng, X.H.; Wei, Y.P.; Zhang, J.J. The influence of the Tonggu experience on rhythm perception and execution function in Zhuang drummers. Acta Psychol. Sin. 2023, 55, 1762–1779. [Google Scholar] [CrossRef]
- IBM SPSS Statistics for Windows, version 31; IBM Corp: Armonk, NY, USA, 2019. Available online: https://www.ibm.com/products/spss (accessed on 2 May 2025).
- Cohen, J. Statistical Power Analysis for the Behavioral Sciences, 2nd ed.; Lawrence Erlbaum Associates: Mahwah, NJ, USA, 1988. [Google Scholar]
- Casella, C.; Bourbon-Teles, J.; Bells, S.; Coulthard, E.; Parker, G.D.; Rosser, A.; Jones, D.K.; Metzler-Baddeley, C. Drumming Motor Sequence Training Induces Apparent Myelin Remodelling in Huntington’s Disease: A Longitudinal Diffusion MRI and Quantitative Magnetization Transfer Study. J. Huntington’s Dis. 2020, 9, 303–320. [Google Scholar] [CrossRef]
- Karageorghis, C.I.; Lyne, L.P.; Bigliassi, M.; Vuust, P. Effects of auditory rhythm on movement accuracy in dance performance. Hum. Mov. Sci. 2019, 67, 102511. [Google Scholar] [CrossRef] [PubMed]
- Wang, X.; Zhou, C.; Jin, X. Resonance and beat perception of ballroom dancers: An EEG study. PLoS ONE 2024, 19, e312302. [Google Scholar] [CrossRef] [PubMed]
- Poikonen, H.; Toiviainen, P.; Tervaniemi, M. Dance on cortex: Enhanced theta synchrony in experts when watching a dance piece. Eur. J. Neurosci. 2018, 47, 433–445. [Google Scholar] [CrossRef] [PubMed]
- Chemin, B. From Locomotion to Dance and Back: Exploring Rhythmic Sensorimotor Synchronization. Ph.D. Thesis, Université de Montréal, Montreal, QC, Canada, 2021. [Google Scholar]
- Todd, N.P.; Keller, P.E.; Govender, S.; Colebatch, J.G. Effects of stimulus intensity and frequency on the force and timing of sensorimotor synchronisation. Timing Time Percept. 2021, 10, 158–180. [Google Scholar] [CrossRef]
- Tichko, P.; Kim, A.J. Cerebellum and the deciphering of motor coding. Cerebellum 2007, 6, 3–6. [Google Scholar] [CrossRef]
- Thiel, C.; Foster, C.; Banzer, W.; De Koning, J. Pacing in Olympic track races: Competitive tactics versus best performance strategy. J. Sports Sci. 2012, 30, 1107–1115. [Google Scholar] [CrossRef]
- Karpati, F.J.; Giacosa, C.; Foster, N.E.; Penhune, V.B.; Hyde, K.L. Sensorimotor integration is enhanced in dancers and musicians. Exp. Brain Res. 2016, 234, 893–903. [Google Scholar] [CrossRef]
- Herman, A.M.; Olszewska, A.; Gaca, M.; Dro Dziel, D.; Marchewka, A. Interoception and the musical brain: Evidence from cross-sectional and longitudinal behavioral and resting-state fMRI study. Psychophysiology 2023, 60, e14402. [Google Scholar] [CrossRef]
- Nguyen, T.; Lagacé-Cusiac, R.; Everling, J.C.; Henry, M.J.; Grahn, J.A. Audiovisual integration of rhythm in musicians and dancers. Atten. Percept. Psychophys. 2024, 86, 1400–1416. [Google Scholar] [CrossRef]
- Ladda, A.M.; Wallwork, S.B.; Lotze, M. Multimodal Sensory-Spatial Integration and Retrieval of Trained Motor Patterns for Body Coordination in Musicians and Dancers. Front. Psychol. 2020, 11, 576120. [Google Scholar] [CrossRef]
- Ryn Junior, F.V.; Lüders, D.; Casali, R.L.; Amaral, M.I.R.D. Temporal auditory processing in people exposed to musical instrument practice. Codas 2022, 34, e20210256. [Google Scholar] [CrossRef]
- Desouza, J.F.; Bar, R. The effects of rehearsal on auditory cortex: An fmri study of the putative neural mechanisms of dance therapy. Seeing Perceiving 2012, 25, 45. [Google Scholar] [CrossRef]
- Su, Y. Metrical congruency and kinematic familiarity facilitate temporal binding between musical and dance rhythms. Psychon. Bull. Rev. 2018, 25, 1416–1422. [Google Scholar] [CrossRef]
- Phillips-Silver, J.; Trainor, L.J. Hearing what the body feels: Auditory encoding of rhythmic movement. Cognition 2007, 105, 533–546. [Google Scholar] [CrossRef]
- Orlandi, A.; Zani, A.; Proverbio, A.M. Dance expertise modulates visual sensitivity to complex biological movements. Neuropsychologia 2017, 104, 168–181. [Google Scholar] [CrossRef]
- Kausel, L.; Basso, J.C.; Grinspun, N.; Alain, C. Editorial: Effects of performing arts training on the brain, (socio)cognitive and motor functions across the lifespan. Front. Hum. Neurosci. 2023, 17, 1342325. [Google Scholar] [CrossRef]
- Ward, P.; Farrow, D.; Harris, K.R.; Williams, A.M.; Eccles, D.W.; Ericsson, K.A. Training perceptual-cognitive skills: Can sport psychology research inform military decision training? Mil. Psychol. 2008, 20, S71–S102. [Google Scholar] [CrossRef]











| Class | Experimental Group (20 Individuals) | Control Group (20 Individuals) | t | p |
|---|---|---|---|---|
| Gender (Male:Female) | 12:8 | 12:8 | - | - |
| age (M ± SD) | 20.60 ± 2.16 | 20.55 ± 1.73 | 0.081 | 0.936 |
| Discipline of the major | 3 STEM students Art category: 5 people 12 liberal arts students | 9 STEM students Art category: 3 people 8 liberal arts students | −0.395 | 0.695 |
| Do you have any sports hobbies? | 12 with; 8 without | 11 vs. 9 | −0.789 | 0.435 |
| Duration of sports activity (years) (M ± SD) | 4.08 ± 2.64 | 4.67 ± 3.08 | −0.466 | 0.646 |
| Average weekly exercise duration (min/week) (M ± SD) | 123.33 ± 56.62 | 175.50 ± 102.48 | −1.512 | 0.146 |
| MET-min/week | 1276.80 ± 298.83 | 1554.30 ± 448.12 | −0.515 | 0.221 |
| Have you studied music-related specialties? | Yes: 7; No: 13 | Yes: 6; No: 14 | −0.330 | 0.744 |
| Duration of music-related special skills training (years) (M ± SD) | 3.43 ± 1.99 | 1.33 ± 0.58 | 1.739 | 0.120 |
| Average weekly time spent learning music-related skills (min/week) (M ± SD) | 118.57 ± 66.94 | 130.00 ± 121.24 | −0.197 | 0.848 |
| Have you studied dance-related skills? | Yes: 6; No: 14 | 4 yes; 16 no | −0.717 | 0.478 |
| Duration of dance-related specialty training (years) (M ± SD) | 5 ± 3.35 | 3.33 ± 1.16 | 0.814 | 0.442 |
| Average weekly time spent learning dance-related skills (min/week) (M ± SD) | 215.00 ± 209.93 | 210.00 ± 127.28 | 0.031 | 0.976 |
| Do you have a habit of playing rhythm-based mobile games? | Yes: 4; No:16 | 5 people yes; 15 people no | 0.370 | 0.714 |
| Years of playing rhythm-based mobile games (M ± SD) | 3.75 ± 4.19 | 5 ± 3.83 | −0.440 | 0.675 |
| Average weekly playtime for rhythm-based mobile games (min/week) (M ± SD) | 82.50 ± 71.36 | 36.00 ± 32.86 | 1.310 | 0.231 |
| Experimental Group | Control Group | t | p | |
|---|---|---|---|---|
| Accuracy rate of difficulty and rhythm perception (%), not differentiated | 47 ± 9 | 51 ± 6 | −1.529 | 0.135 |
| Correct rate of moderate difficulty rhythm perception (%) | 40 ± 12 | 48 ± 13 | −1.877 | 0.068 |
| Accuracy rate of high-difficulty rhythm perception (%) | 48 ± 13 | 54 ± 9 | −1.887 | 0.067 |
| Experimental Group (M ± SD) | Control Group (M ± SD) | t | p | |
|---|---|---|---|---|
| Duration (s) for rhythm perception in the somatosensory modality | 40.86 ± 16.72 | 39.72 ± 18.25 | 0.206 | 0.838 |
| Visual pathway rhythm perception response time (ms) | 1447.00 ± 596.51 | 1670.19 ± 770.93 | −1.024 | 0.312 |
| Visual pathway rhythm perception accuracy (%) | 59 ± 14 | 60 ± 11 | −0.125 | 0.901 |
| Response time (ms) for rhythmic perception in the auditory pathway | 1906.20 ± 826.45 | 2041.27 ± 387.32 | −0.662 | 0.512 |
| Accuracy rate of rhythm perception in auditory channels (%) | 60 ± 16 | 56 ± 11 | 1.020 | 0.314 |
Disclaimer/Publisher’s Note: The statements, opinions and data contained in all publications are solely those of the individual author(s) and contributor(s) and not of MDPI and/or the editor(s). MDPI and/or the editor(s) disclaim responsibility for any injury to people or property resulting from any ideas, methods, instructions or products referred to in the content. |
© 2026 by the authors. Licensee MDPI, Basel, Switzerland. This article is an open access article distributed under the terms and conditions of the Creative Commons Attribution (CC BY) license.
Share and Cite
Yu, Q.; Jin, X.; Wang, Y. The Influence of Dancesport on College Students’ Rhythm Perception Ability. Brain Sci. 2026, 16, 238. https://doi.org/10.3390/brainsci16020238
Yu Q, Jin X, Wang Y. The Influence of Dancesport on College Students’ Rhythm Perception Ability. Brain Sciences. 2026; 16(2):238. https://doi.org/10.3390/brainsci16020238
Chicago/Turabian StyleYu, Qinran, Xinhong Jin, and Yingying Wang. 2026. "The Influence of Dancesport on College Students’ Rhythm Perception Ability" Brain Sciences 16, no. 2: 238. https://doi.org/10.3390/brainsci16020238
APA StyleYu, Q., Jin, X., & Wang, Y. (2026). The Influence of Dancesport on College Students’ Rhythm Perception Ability. Brain Sciences, 16(2), 238. https://doi.org/10.3390/brainsci16020238
