Analysis of Epilepsy Treatment Strategies Based on an Astrocyte–Neuron-Coupled Network Model
Abstract
1. Introduction
2. Materials and Methods
2.1. Epileptic Seizure Network Model
2.2. Phase Locking Value and Coefficient of Variation
2.3. Stimulation-Controlled Network Model
2.4. Surgical Resection Local Node Network Model and Treatment Strategy
3. Results
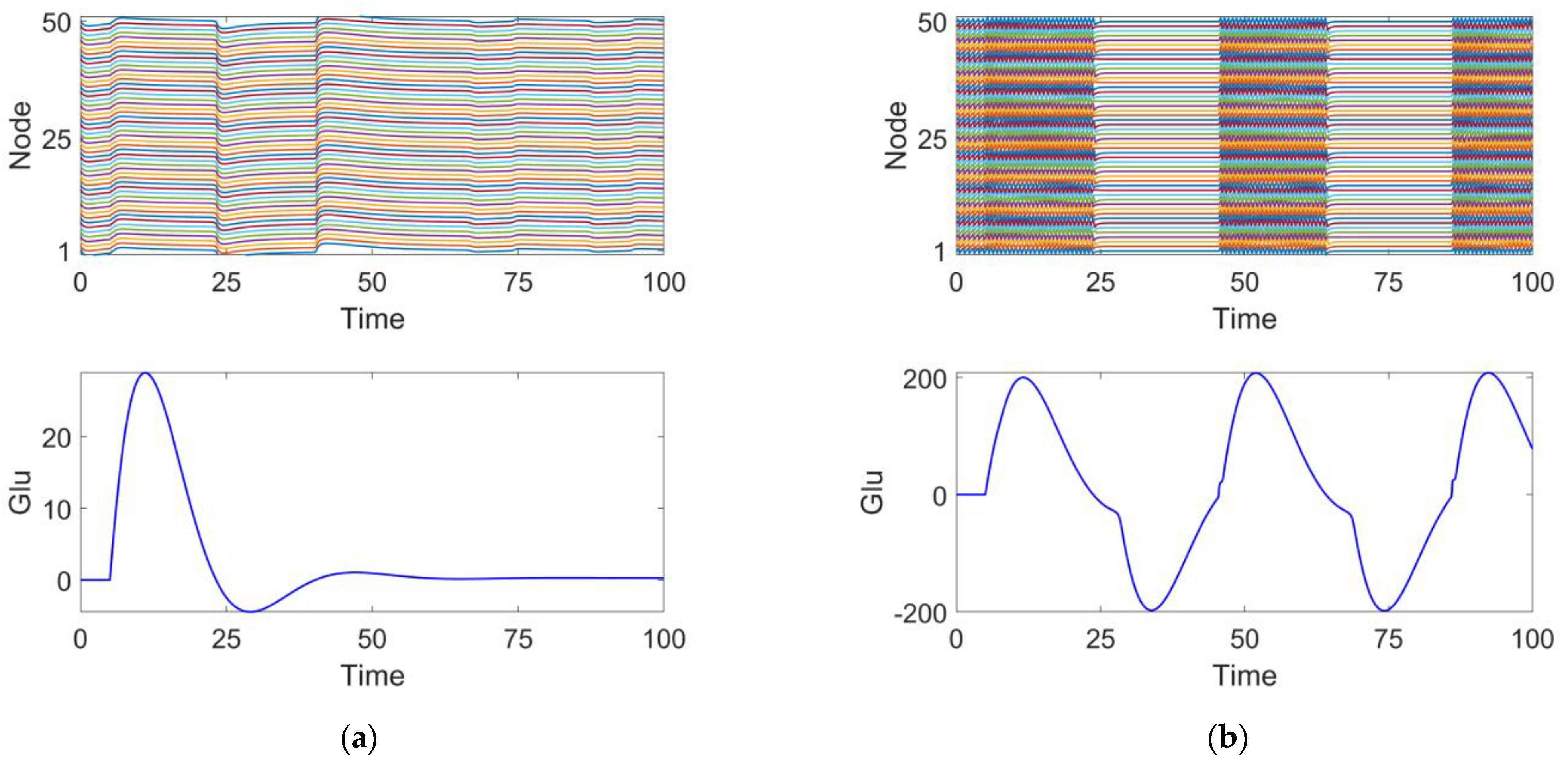
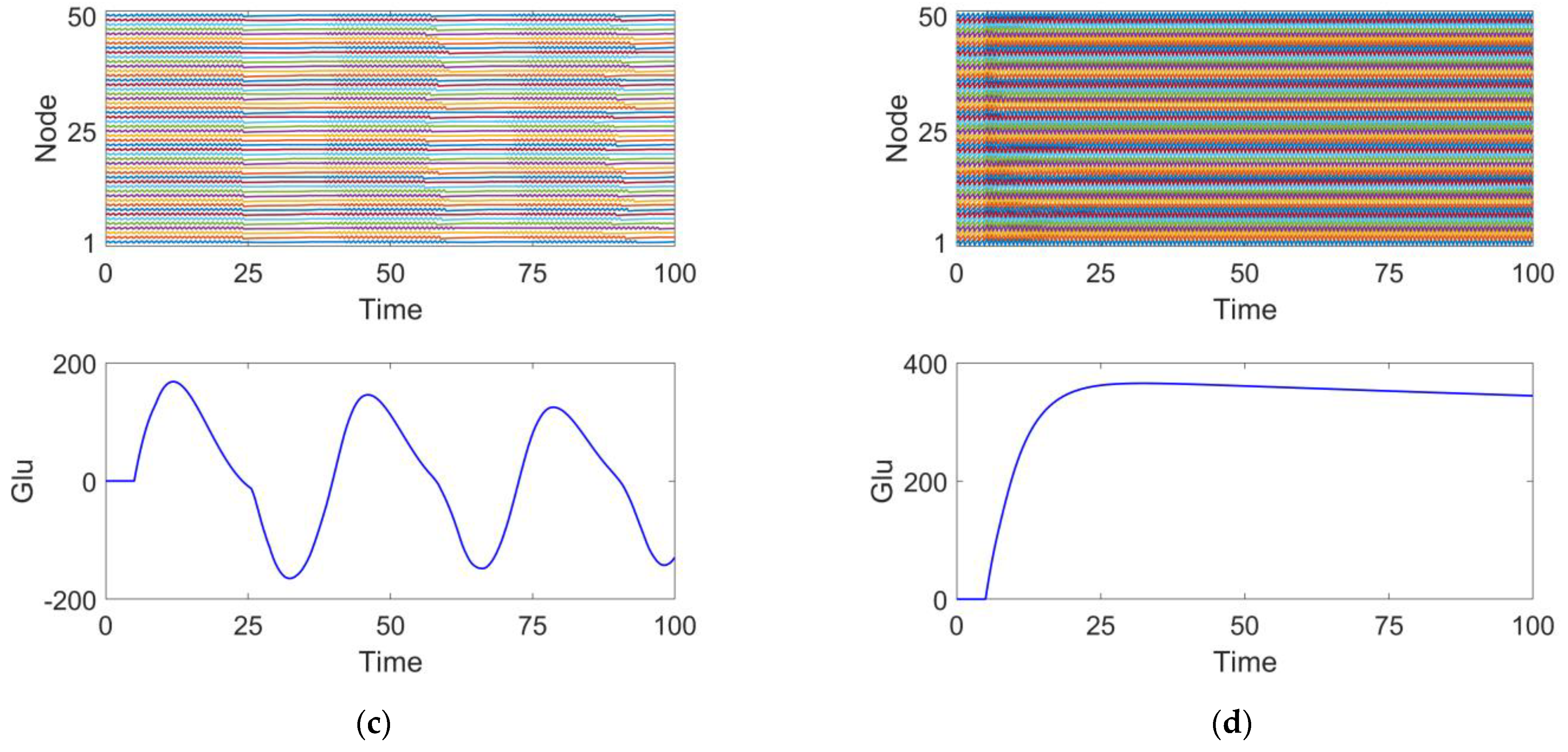
3.1. Four Types of Epileptic Discharge Patterns
3.2. Analysis of Stimulus-Induced Suppression of Epilepsy
3.3. Outcome Analysis of Surgical Resection in the Treatment of Epilepsy
4. Discussion
5. Limitations
6. Conclusions
Author Contributions
Funding
Institutional Review Board Statement
Informed Consent Statement
Data Availability Statement
Conflicts of Interest
References
- Steinhaeuser, C.; Grunnet, M.; Carmignoto, G. Crucial role of astrocytes in temporal lobe epilepsy. Neuroscience 2016, 323, 157–169. [Google Scholar] [CrossRef] [PubMed]
- Myers, M.H.; Kozma, R. Mesoscopic neuron population modeling of normal/epileptic brain dynamics. Cogn. Neurodyn. 2018, 12, 211–223. [Google Scholar] [CrossRef]
- Dong, Y.; Zhang, X.; Wang, Y. Interleukins in Epilepsy: Friend or Foe. Neurosci. Bull. 2024, 40, 635–657. [Google Scholar] [CrossRef] [PubMed]
- Stefanescu, R.A.; Shivakeshavan, R.G.; Talathi, S.S. Computational models of epilepsy. Seizure Eur. J. Epilepsy 2012, 21, 748–759. [Google Scholar] [CrossRef]
- Yakovlev, A.A.; Druzhkova, T.A.; Stefanovich, A.; Moiseeva, Y.V.; Lazareva, N.A.; Zinchuk, M.S.; Rider, F.K.; Guekht, A.B.; Gulyaeva, N.V. Elevated Level of Small Extracellular Vesicles in the Serum of Patients With Depression, Epilepsy and Epilepsy with Depression. Neurochem. J. 2023, 17, 571–583. [Google Scholar] [CrossRef]
- Zhang, D.D.; Wang, Z.Y.; Zhang, Y.R.; Gao, P.Y.; Zhang, W.; Fu, Y.; Chi, H.C.; Ma, L.Y.; Ge, Y.J.; He, X.Y.; et al. Epilepsy and Brain Health: A Large Prospective Cohort Study. J. Transl. Med. 2024, 22, 1172. [Google Scholar] [CrossRef] [PubMed]
- Shaikh, I.; Bhatt, L.K. Targeting Adipokines: A Promising Therapeutic Strategy for Epilepsy. Neurochem. Res. 2024, 49, 2973–2987. [Google Scholar] [CrossRef]
- Lee, H.G.; Wheeler, M.A.; Quintana, F.J. Function and therapeutic value of astrocytes in neurological diseases. Nat. Rev. Drug Discov. 2022, 21, 339–358. [Google Scholar] [CrossRef]
- Binder, D.K.; Steinhäuser, C. Astrocytes and Epilepsy. Neurochem. Res. 2021, 46, 2687–2695. [Google Scholar] [CrossRef]
- Li, D.; Li, S.; Pan, M.; Li, Q.; Song, J.; Zhang, R. The role of extracellular glutamate homeostasis dysregulated by astrocyte in epileptic discharges: A model evidence. Cogn. Neurodyn. 2024, 18, 485–502. [Google Scholar] [CrossRef]
- Du, M.; Li, J.; Ying, W.; Yu, Y. A dynamics model of neuron-astrocyte network accounting for febrile seizures. Cogn. Neurodyn. 2022, 16, 411–423. [Google Scholar] [CrossRef] [PubMed]
- Henning, L.; Unichenko, P.; Bedner, P.; Steinhäuser, C.; Henneberger, C. Astrocytes as Initiators of Epilepsy. Neurochem. Res. 2023, 48, 1091–1099. [Google Scholar] [CrossRef] [PubMed]
- Volterra, A.; Liaudet, N.; Savtchouk, I. Astrocyte Ca2+ signalling: An unexpected complexity. Nat. Rev. Neurosci. 2014, 15, 327–335. [Google Scholar] [CrossRef]
- Araque, A.; Parpura, V.; Sanzgiri, R.P.; Haydon, P.G. Tripartite synapses: Glia, the unacknowledged partner. Trends Neurosci. 1999, 22, 208–215. [Google Scholar] [CrossRef] [PubMed]
- Fujii, M.; Fujioka, H.; Oku, T.; Tanaka, N.; Imoto, H.; Maruta, Y.; Nomura, S.; Kajiwara, K.; Saito, T.; Yamakawa, T.; et al. Application of focal cerebral cooling for the treatment of intractable epilepsy. Neurol. Med. -Chir. 2010, 50, 839–844. [Google Scholar] [CrossRef]
- Soriano, J.; Kubo, T.; Inoue, T.; Kida, H.; Yamakawa, T.; Suzuki, M.; Ikeda, K. Differential temperature sensitivity of synaptic and firing processes in a neural mass model of epileptic discharges explains heterogeneous response of experimental epilepsy to focal brain cooling. PLoS Comput. Biol. 2017, 13, 10. [Google Scholar] [CrossRef]
- Wang, H.; Wang, B.; Normoyle, K.P.; Jackson, K.; Spitler, K.; Sharrock, M.F.; Miller, C.M.; Best, C.; Llano, D.; Du, R. Brain temperature and its fundamental properties: A review for clinical neuroscientists. Front. Neurosci. 2014, 8, 307. [Google Scholar] [CrossRef]
- Purushotham, S.S.; Buskila, Y. Astrocytic modulation of neuronal signalling. Front. Netw. Physiol. 2023, 3, 1205544. [Google Scholar] [CrossRef]
- Mogul, D.J.; van Drongelen, W. Electrical control of epilepsy. Annu. Rev. Biomed. Eng. 2014, 16, 483–504. [Google Scholar] [CrossRef]
- Huneau, C.; Benquet, P.; Dieuset, G.; Biraben, A.; Martin, B.; Wendling, F. Shape features of epileptic spikes are a marker of epileptogenesis in mice. Epilepsia 2013, 54, 2219–2227. [Google Scholar] [CrossRef]
- Chen, M.; Guo, D.; Xia, Y.; Yao, D. Control of absence seizures by the thalamic feed-forward inhibition. Front. Comput. Neurosci. 2017, 11, 31. [Google Scholar] [CrossRef]
- Wlodarczyk, B.J.; Palacios, A.M.; George, T.M.; Finnell, R.H. Antiepileptic drugs and pregnancy outcomes. Am. J. Med. Genet. Part A 2012, 158A, 2071–2090. [Google Scholar] [CrossRef] [PubMed]
- Xiao, W.; Li, P.; Kong, F.; Kong, J.; Pan, A.; Long, L.; Yan, X.; Xiao, B.; Gong, J.; Wan, L. Unraveling the Neural Circuits: Techniques, Opportunities, and Challenges in Epilepsy Research. Cell. Mol. Neurobiol. 2024, 44, 27. [Google Scholar] [CrossRef]
- Liu, S.; Wang, Q.; Fan, D. Disinhibition-induced delayed onset of epileptic spike-wave discharges in a five variable model of cortex and thalamus. Front. Comput. Neurosci. 2016, 10, 28. [Google Scholar] [CrossRef] [PubMed][Green Version]
- Poo, M.M.; Du, J.L.; Ip, N.Y.; Xiong, Z.Q.; Xu, B.; Tan, T. China brain project: Basic neuroscience, brain diseases, and brain-inspired computing. Neuron 2016, 92, 591–596. [Google Scholar] [CrossRef] [PubMed]
- Lin, Y.; Wang, Y. Neurostimulation as a promising epilepsy therapy. Epilepsia Open 2017, 2, 371–387. [Google Scholar] [CrossRef]
- Berényi, A.; Belluscio, M.; Mao, D.; Buzsáki, G. Closed-loop control of epilepsy by transcranial electrical stimulation. Science 2012, 337, 735–737. [Google Scholar] [CrossRef]
- Durand, D.M. Control of seizure activity by electrical stimulation: Effect of frequency. In Proceedings of the Annual International Conference of the IEEE Engineering in Medicine and Biology Society, Minneapolis, MN, USA, 3–6 September 2009; p. 2375. [Google Scholar] [CrossRef]
- Cao, Y.; Ren, K.; Su, F.; Deng, B.; Wei, X.; Wang, J. Suppression of seizures based on the multi-coupled neural mass model. Chaos 2015, 25, 103120. [Google Scholar] [CrossRef]
- Fenoy, A.J.; Goetz, L.; Chabardes, S.; Xia, Y. Deep brain stimulation: Are astrocytes a key driver behind the scene? Cns Neurosci. Ther. 2014, 20, 191–201. [Google Scholar] [CrossRef]
- Sheng, J.; Liu, S.; Qin, H.; Li, B.; Zhang, X. Drug-Resistant Epilepsy and Surgery. Current Neuropharmacol. 2018, 16, 17–28. [Google Scholar] [CrossRef]
- Li, Y.X.; Hu, C.Q.; Ma, L.F. Research Progress on Intelligent and Precise Optical Diagnosis and Treatment Technologies. Chin. J. Lasers 2021, 48, 1507002. [Google Scholar]
- Wen, S.; Zhang, X. Research Progress on Early Surgical Treatment of Drug-Resistant Epilepsy in Children. Adv. Clin. Med. 2023, 13, 7257. [Google Scholar] [CrossRef]
- Sotero, R.C.; Martinez-Cancino, R. Dynamical mean field model of a neural-glial mass. Neural Comput. 2010, 22, 969–997. [Google Scholar] [CrossRef] [PubMed]
- Lan, J.N.; Wang, R.; Cheng, X.H. The Dynamics and Control of Focal Epilepsy Modulated by Astrocytes. J. Dyn. Control. 2025, 23, 59–68. [Google Scholar]
- Pasti, L.; Zonta, M.; Pozzan, T.; Vicini, S.; Carmignoto, G. Cytosolic calcium oscillations in astrocytes may regulate exocytotic release of glutamate. J. Neurosci. Off. J. Soc. Neurosci. 2001, 21, 477–484. [Google Scholar] [CrossRef]
- Baier, G.; Rosch, R.; Taylor, P.N.; Wang, Y. Design principle for a population-based model of epileptic dynamics. In Complexity and Synergetics; Springer: Cham, Switzerland, 2018; pp. 333–347. [Google Scholar]
- Zhang, L.; Wang, Q.; Baier, G. Dynamical features of a focal epileptogenic network model for stimulation-based control. IEEE Trans. Neural Syst. Rehabil. Eng. 2020, 28, 1856–1865. [Google Scholar] [CrossRef]
- Reato, D.; Cammarota, M.; Parra, L.C.; Carmignoto, G. Computational model of astrocyte-neuron interactions during focal seizure generation. Front. Comput. Neurosci. 2012, 6, 81. [Google Scholar] [CrossRef]
- Rosenblum, M.; Pikovsky, A.; Kurths, J.; Schäfer, C.; Tass, P.A. Phase Synchronization: From Theory to Data Analysis. In Handbook of Biological Physics; Elsevier: Amsterdam, The Netherlands, 2001; Volume 4, pp. 279–321. [Google Scholar]
- Wang, W.S. Coefficient of Variation—A Simple and Useful Statistical Index for Measuring Dispersion. China Stat. 2007, 22, 41–42. [Google Scholar]
- Muldoon, S.F.; Pasqualetti, F.; Gu, S.; Cieslak, M.; Grafton, S.T.; Vettel, J.M.; Bassett, D.S. Stimulation-based control of dynamic brain networks. PLoS Comput. Biol. 2016, 12, e1005076. [Google Scholar] [CrossRef]
- Carter, D.S.; Deshpande, L.S.; Rafiq, A.; Sombati, S.; DeLorenzo, R.J. Characterization of Spontaneous Recurrent Epileptiform Discharges in Hippocampal-Entorhinal Cortical Slices Prepared from Chronic Epileptic Animals. Seizure 2011, 20, 218–224. [Google Scholar] [CrossRef][Green Version]
- Jiruska, P.; de Curtis, M.; Jefferys, J.G.; Schevon, C.A.; Schiff, S.J.; Schindler, K. Synchronization and Desynchronization in Epilepsy: Controversies and Hypotheses. J. Physiol. 2013, 591, 787–797. [Google Scholar] [CrossRef]
- Wu, Y.C.; Liao, Y.S.; Yeh, W.H.; Liang, S.F.; Shaw, F.Z. Directions of deep brain stimulation for epilepsy and parkinson’s disease. Front. Neurosci. 2021, 15, 680938. [Google Scholar] [CrossRef] [PubMed]
- Wang, Z.; Song, X.; Chen, L.; Nan, J.; Sun, Y.; Pang, M.; Zhang, K.; Liu, X.; Ming, D. Research progress of epileptic seizure prediction methods based on EEG. Cogn. Neurodyn. 2024, 18, 2731–2750. [Google Scholar] [CrossRef]
- Sa, A.; P, D.; PS, S.; ML, A.; Kumar, D.; Thomas, S.V.; Menon, R.N. Resting state EEG microstate profiling and a machine-learning based classifier model in epilepsy. Cogn. Neurodyn. 2024, 18, 2419–2432. [Google Scholar] [CrossRef]
- Islam, M.R.; Zhao, X.; Miao, Y.; Sugano, H.; Tanaka, T. Epileptic seizure focus detection from interictal electroencephalogram: A survey. Cogn. Neurodyn. 2023, 17, 1–23. [Google Scholar] [CrossRef]
- Li, B.; Liu, J.; Zhang, T.; Cao, Y.; Cao, J. Quantitative analysis and machine learning-based interpretation of EEG signals in coma and brain-death diagnosis. Cogn. Neurodyn. 2024, 18, 2947–2962. [Google Scholar] [CrossRef] [PubMed]
- Hejazi, M.; Motie Nasrabadi, A. Prediction of epilepsy seizure from multi-channel electroencephalogram by effective connectivity analysis using Granger causality and directed transfer function methods. Cogn. Neurodyn. 2019, 13, 461–473. [Google Scholar] [CrossRef] [PubMed]
- Atal, D.K.; Singh, M. Effectual seizure detection using MBBF-GPSO with CNN network. Cogn. Neurodyn. 2024, 18, 907–918. [Google Scholar] [CrossRef]
- Luo, C.; Li, F.; Li, P.; Yi, C.; Li, C.; Tao, Q.; Zhang, X.; Si, Y.; Yao, D.; Yin, G.; et al. A survey of brain network analysis by electroencephalographic signals. Cogn. Neurodyn. 2022, 16, 17–41. [Google Scholar] [CrossRef]
- Gao, Z.; Dang, W.; Wang, X.; Hong, X.; Hou, L.; Ma, K.; Perc, M. Complex networks and deep learning for EEG signal analysis. Cogn. Neurodyn. 2021, 15, 369–388. [Google Scholar] [CrossRef]
- Mehdizadeh, A.; Barzegar, M.; Negargar, S.; Yahyavi, A.; Raeisi, S. The current and emerging therapeutic approaches in drug-resistant epilepsy management. Acta Neurol. Belg. 2019, 119, 155–162. [Google Scholar] [CrossRef] [PubMed]
- Engel, J., Jr. What can we do for people with drug-resistant epilepsy? The 2016 wartenberg lecture. Neurology 2016, 87, 2483–2489. [Google Scholar] [CrossRef] [PubMed]
















Disclaimer/Publisher’s Note: The statements, opinions and data contained in all publications are solely those of the individual author(s) and contributor(s) and not of MDPI and/or the editor(s). MDPI and/or the editor(s) disclaim responsibility for any injury to people or property resulting from any ideas, methods, instructions or products referred to in the content. |
© 2025 by the authors. Licensee MDPI, Basel, Switzerland. This article is an open access article distributed under the terms and conditions of the Creative Commons Attribution (CC BY) license (https://creativecommons.org/licenses/by/4.0/).
Share and Cite
Lan, J.; Wang, R. Analysis of Epilepsy Treatment Strategies Based on an Astrocyte–Neuron-Coupled Network Model. Brain Sci. 2025, 15, 465. https://doi.org/10.3390/brainsci15050465
Lan J, Wang R. Analysis of Epilepsy Treatment Strategies Based on an Astrocyte–Neuron-Coupled Network Model. Brain Sciences. 2025; 15(5):465. https://doi.org/10.3390/brainsci15050465
Chicago/Turabian StyleLan, Jianing, and Rong Wang. 2025. "Analysis of Epilepsy Treatment Strategies Based on an Astrocyte–Neuron-Coupled Network Model" Brain Sciences 15, no. 5: 465. https://doi.org/10.3390/brainsci15050465
APA StyleLan, J., & Wang, R. (2025). Analysis of Epilepsy Treatment Strategies Based on an Astrocyte–Neuron-Coupled Network Model. Brain Sciences, 15(5), 465. https://doi.org/10.3390/brainsci15050465
