Repetitive Transcranial Magnetic Stimulation for the Treatment of Depression in a Real-World Setting: Findings from a Cohort Study
Abstract
1. Introduction
1.1. Neuromodulation in Depressive Episodes
1.2. The Case of Transcranial Magnetic Stimulation
1.3. Aim of the Study
2. Materials and Methods
2.1. Data Collection and Sample Features
2.2. TMS Protocols
2.3. Statistical Analysis
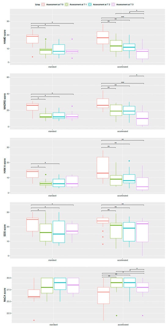
3. Results
4. Discussion
4.1. Depressive Symptoms
4.2. Anxiety Symptoms
4.3. Cognitive Symptoms
4.4. Suicidal Ideation and Gravity of Illness
4.5. Study Limitations
5. Conclusions
Author Contributions
Funding
Institutional Review Board Statement
Informed Consent Statement
Data Availability Statement
Conflicts of Interest
References
- Fitzsimmons, S.M.D.D.; Oostra, E.; Postma, T.S.; van der Werf, Y.D.; van den Heuvel, O.A. Repetitive Transcranial Magnetic Stimulation-Induced Neuroplasticity and the Treatment of Psychiatric Disorders: State of the Evidence and Future Opportunities. Biol. Psychiatry 2024, 95, 592–600. [Google Scholar] [CrossRef] [PubMed]
- Burt, T.; Lisanby, S.H.; Sackeim, H.A. Neuropsychiatric applications of transcranial magnetic stimulation: A meta-analysis. Int. J. Neuropsychopharmacol. 2002, 5, 73–103. [Google Scholar] [CrossRef] [PubMed]
- McIntyre, R.S.; Alsuwaidan, M.; Baune, B.T.; Berk, M.; Demyttenaere, K.; Goldberg, J.F.; Gorwood, P.; Ho, R.; Kasper, S.; Kennedy, S.H.; et al. Treatment-resistant depression: Definition, prevalence, detection, management, and investigational interventions. World Psychiatry 2023, 22, 394–412. [Google Scholar] [CrossRef] [PubMed]
- Rush, A.J.; Fava, M.; Wisniewski, S.R.; Lavori, P.W.; Trivedi, M.H.; Sackeim, H.A.; Thase, M.E.; Nierenberg, A.A.; Quitkin, F.M.; Kashner, T.M.; et al. Sequenced treatment alternatives to relieve depression (STAR*D): Rationale and design. Control Clin. Trials 2004, 25, 119–142. [Google Scholar] [CrossRef] [PubMed]
- Adu, M.K.; Shalaby, R.; Chue, P.; Agyapong, V.I.O. Repetitive Transcranial Magnetic Stimulation for the Treatment of Resistant Depression: A Scoping Review. Behav. Sci. 2022, 12, 195. [Google Scholar] [CrossRef] [PubMed]
- Merkl, A.; Heuser, I.; Bajbouj, M. Antidepressant electroconvulsive therapy: Mechanism of action, recent advances and limitations. Exp. Neurol. 2009, 219, 20–26. [Google Scholar] [CrossRef]
- Mutz, J.; Vipulananthan, V.; Carter, B.; Hurlemann, R.; Fu, C.H.Y.; Young, A.H. Comparative efficacy and acceptability of non-surgical brain stimulation for the acute treatment of major depressive episodes in adults: Systematic review and network meta-analysis. BMJ 2019, 364, l1079. [Google Scholar] [CrossRef]
- Piccoli, E.; Cerioli, M.; Castiglioni, M.; Larini, L.; Scarpa, C.; Dell’Osso, B. Recent innovations in non-invasive brain stimulation (NIBS) for the treatment of unipolar and bipolar depression: A narrative review. Int. Rev. Psychiatry 2022, 34, 715–726. [Google Scholar] [CrossRef]
- Sackeim, H.A.; Aaronson, S.T.; Carpenter, L.L.; Hutton, T.M.; Mina, M.; Pages, K.; Verdoliva, S.; West, W. Clinical outcomes in a large registry of patients with major depressive disorder treated with Transcranial Magnetic Stimulation. J. Affect. Disord. 2020, 277, 65–74. [Google Scholar] [CrossRef]
- Aaronson, S.T.; Carpenter, L.L.; Hutton, T.M.; Kraus, S.; Mina, M.; Pages, K.; Shi, L.; West, W.S.; Sackeim, H.A. Comparison of clinical outcomes with left unilateral and sequential bilateral Transcranial Magnetic Stimulation (TMS) treatment of major depressive disorder in a large patient registry. Brain Stimul. 2022, 15, 326–336. [Google Scholar] [CrossRef]
- Ridding, M.C.; Rothwell, J.C. Is there a future for therapeutic use of transcranial magnetic stimulation? Nat. Rev. Neurosci. 2007, 8, 559–567. [Google Scholar] [CrossRef] [PubMed]
- Wang, W.L.; Wang, S.Y.; Hung, H.Y.; Chen, M.H.; Juan, C.H.; Li, C.T. Safety of transcranial magnetic stimulation in unipolar depression: A systematic review and meta-analysis of randomized-controlled trials. J. Affect. Disord. 2022, 301, 400–425. [Google Scholar] [CrossRef]
- Dell’Osso, B.; Camuri, G.; Castellano, F.; Vecchi, V.; Benedetti, M.; Bortolussi, S.; Altamura, A.C. Meta-Review of Metanalytic Studies with Repetitive Transcranial Magnetic Stimulation (rTMS) for the Treatment of Major Depression. Clin. Pract. Epidemiol. Ment. Health 2011, 7, 167–177. [Google Scholar] [CrossRef] [PubMed]
- Lefaucheur, J.P.; André-Obadia, N.; Antal, A.; Ayache, S.S.; Baeken, C.; Benninger, D.H.; Cantello, R.M.; Cincotta, M.; de Carvalho, M.; De Ridder, D.; et al. Evidence-based guidelines on the therapeutic use of repetitive transcranial magnetic stimulation (rTMS): An update (2014–2018). Clin. Neurophysiol. 2020, 131, 474–528. [Google Scholar] [CrossRef] [PubMed]
- Benschop, L.; Vanhollebeke, G.; Li, J.; Leahy, R.M.; Vanderhasselt, M.A.; Baeken, C. Reduced subgenual cingulate-dorsolateral prefrontal connectivity as an electrophysiological marker for depression. Sci. Rep. 2022, 12, 16903. [Google Scholar] [CrossRef]
- Wassermann, E.M. Risk and safety of repetitive transcranial magnetic stimulation: Report and suggested guidelines from the International Workshop on the Safety of Repetitive Transcranial Magnetic Stimulation, June 5–7, 1996. Electroencephalogr. Clin. Neurophysiol. 1998, 108, 1–16. [Google Scholar] [CrossRef]
- Kaster, T.S.; Downar, J.; Vila-Rodriguez, F.; Thorpe, K.E.; Feffer, K.; Noda, Y.; Giacobbe, P.; Knyahnytska, Y.; Kennedy, S.H.; Lam, R.W.; et al. Trajectories of Response to Dorsolateral Prefrontal rTMS in Major Depression: A THREE-D Study. Am. J. Psychiatry 2019, 176, 367–375. [Google Scholar] [CrossRef]
- Chen, L.; Hudaib, A.R.; Hoy, K.E.; Fitzgerald, P.B. Efficacy, efficiency and safety of high-frequency repetitive transcranial magnetic stimulation applied more than once a day in depression: A systematic review. J. Affect. Disord. 2020, 277, 986–996. [Google Scholar] [CrossRef]
- Arici, C.; Benatti, B.; Cafaro, R.; Cremaschi, L.; Degoni, L.; Pozzoli, S.; Oldani, L.; Molteni, L.; Giorgetti, F.; Priori, A.; et al. A 6-month follow-up study on response and relapse rates following an acute trial of repetitive transcranial magnetic stimulation in patients with major depression. CNS Spectr. 2022, 27, 93–98. [Google Scholar] [CrossRef]
- Chen, L.; Klooster, D.C.; Tik, M.; Thomas, E.H.; Downar, J.; Fitzgerald, P.B.; Williams, N.R.; Baeken, C. Accelerated Repetitive Transcranial Magnetic Stimulation to Treat Major Depression: The Past, Present, and Future. Harv. Rev. Psychiatry 2023, 31, 142–161. [Google Scholar] [CrossRef]
- Sonmez, A.I.; Camsari, D.D.; Nandakumar, A.L.; Voort, J.L.V.; Kung, S.; Lewis, C.P.; Croarkin, P.E. Accelerated TMS for Depression: A systematic review and meta-analysis. Psychiatry Res. 2019, 273, 770–781. [Google Scholar] [CrossRef] [PubMed]
- van Rooij, S.J.H.; Arulpragasam, A.R.; McDonald, W.M.; Philip, N.S. Accelerated TMS—Moving quickly into the future of depression treatment. Neuropsychopharmacology 2024, 49, 128–137. [Google Scholar] [CrossRef]
- Neuteboom, D.; Zantvoord, J.B.; Goya-Maldonado, R.; Wilkening, J.; Dols, A.; van Exel, E.; Lok, A.; de Haan, L.; Scheepstra, K.W. Accelerated intermittent theta burst stimulation in major depressive disorder: A systematic review. Psychiatry Res. 2023, 327, 115429. [Google Scholar] [CrossRef] [PubMed]
- Holtzheimer, P.E., 3rd; McDonald, W.M.; Mufti, M.; Kelley, M.E.; Quinn, S.; Corso, G.; Epstein, C.M. Accelerated repetitive transcranial magnetic stimulation for treatment-resistant depression. Depress. Anxiety 2010, 27, 960–963. [Google Scholar] [CrossRef]
- Seok, J.H.; Chung, M.H. The efficacy and safety of accelerated repetitive transcranial magnetic stimulation in major depressive disorder: Single-blind, randomized study. Brain Stimul. 2015, 8, 384. [Google Scholar] [CrossRef]
- Fitzgerald, P.B.; Hoy, K.E.; Elliot, D.; Susan McQueen, R.N.; Wambeek, L.E.; Daskalakis, Z.J. Accelerated repetitive transcranial magnetic stimulation in the treatment of depression. Neuropsychopharmacology 2018, 43, 1565–1572. [Google Scholar] [CrossRef]
- Hamilton, M. A rating scale for depression. J. Neurol. Neurosurg. Psychiatry 1960, 23, 56–62. [Google Scholar] [CrossRef]
- Hamilton, M. The assessment of anxiety states by rating. Br. J. Med. Psychol. 1959, 32, 50–55. [Google Scholar] [CrossRef]
- Montgomery, S.A.; Asberg, M. A new depression scale designed to be sensitive to change. Br. J. Psychiatry 1979, 134, 382–389. [Google Scholar] [CrossRef]
- Young, R.C.; Biggs, J.T.; Ziegler, V.E.; Meyer, D.A. A rating scale for mania: Reliability, validity and sensitivity. Br. J. Psychiatry 1978, 133, 429–435. [Google Scholar] [CrossRef]
- Zung, W.W. A self-rating depression scale. Arch. Gen. Psychiatry 1965, 12, 63–70. [Google Scholar] [CrossRef] [PubMed]
- Nasreddine, Z.S.; Phillips, N.A.; Bédirian, V.; Charbonneau, S.; Whitehead, V.; Collin, I.; Cummings, J.L.; Chertkow, H. The Montreal Cognitive Assessment, MoCA: A brief screening tool for mild cognitive impairment. J. Am. Geriatr. Soc. 2005, 53, 695–699. [Google Scholar] [CrossRef] [PubMed]
- Guy, W. ECDEU Assessment Manual for Psychopharmacology; US Department of Health, Education, and Welfare Public Health Service Alcohol, Drug Abuse, and Mental Health Administration: Rockville, MD, USA, 1976. [Google Scholar]
- Posner, K.; Brown, G.K.; Stanley, B.; Brent, D.A.; Yershova, K.V.; Oquendo, M.A.; Currier, G.W.; Melvin, G.A.; Greenhill, L.; Shen, S.; et al. The Columbia-Suicide Severity Rating Scale: Initial validity and internal consistency findings from three multisite studies with adolescents and adults. Am. J. Psychiatry 2011, 168, 1266–1277. [Google Scholar] [CrossRef] [PubMed]
- Rossi, S.; Antal, A.; Bestmann, S.; Bikson, M.; Brewer, C.; Brockmöller, J.; Carpenter, L.L.; Cincotta, M.; Chen, R.; Daskalakis, J.D.; et al. Safety and recommendations for TMS use in healthy subjects and patient populations, with updates on training, ethical and regulatory issues: Expert Guidelines. Clin. Neurophysiol. 2021, 132, 269–306. [Google Scholar] [CrossRef]
- Azur, M.J.; Stuart, E.A.; Frangakis, C.; Leaf, P.J. Multiple imputation by chained equations: What is it and how does it work? Int. J. Methods Psychiatr. Res. 2011, 20, 40–49. [Google Scholar] [CrossRef] [PubMed]
- Chen, J.; Zhou, C.; Wu, B.; Wang, Y.; Li, Q.; Wei, Y.; Yang, D.; Mu, J.; Zhu, D.; Zou, D.; et al. Left versus right repetitive transcranial magnetic stimulation in treating major depression: A meta-analysis of randomised controlled trials. Psychiatry Res. 2013, 210, 1260–1264. [Google Scholar] [CrossRef]
- Loo, C.K.; Mitchell, P.B. A review of the efficacy of transcranial magnetic stimulation (TMS) treatment for depression, and current and future strategies to optimize efficacy. J. Affect. Disord. 2005, 88, 255–267. [Google Scholar] [CrossRef]
- Martinotti, G.; Montemitro, C.; Pettorruso, M.; Viceconte, D.; Alessi, M.C.; Di Carlo, F.; Lucidi, L.; Picutti, E.; Santacroce, R.; Di Giannantonio, M. Augmenting pharmacotherapy with neuromodulation techniques for the treatment of bipolar disorder: A focus on the effects of mood stabilizers on cortical excitability. Expert. Opin. Pharmacother. 2019, 20, 1575–1588. [Google Scholar] [CrossRef]
- Prato, M.; Ragone, N.; Passani, C.; Cardaci, V.; Seghi, F.; Barbini, B.; Colombo, C. Accelerated repetitive transcranial magnetic stimulation (ATMS) vs standard repetitive transcranial magnetic stimulation (RTMS) in the treatment of major depressive episodes. preliminary data of a randomized, single-blind, controlled trial. Eur. Psychiatry 2023, 66, S117. [Google Scholar] [CrossRef]
- Isogawa, K.; Fujiki, M.; Akiyoshi, J.; Tsutsumi, T.; Horinouchi, Y.; Kodama, K.; Nagayama, H. Anxiety induced by repetitive transcranial magnetic stimulation is suppressed by chronic treatment of paroxetine in rats. Pharmacopsychiatry 2003, 36, 7–11. [Google Scholar] [CrossRef]
- Isogawa, K.; Fujiki, M.; Akiyoshi, J.; Tsutsumi, T.; Kodama, K.; Matsushita, H.; Tanaka, Y.; Kobayashi, H. Anxiolytic suppression of repetitive transcranial magnetic stimulation-induced anxiety in the rats. Prog. Neuropsychopharmacol. Biol. Psychiatry 2005, 29, 664–668. [Google Scholar] [CrossRef]
- Clarke, E.; Clarke, P.; Gill, S.; Paterson, T.; Hahn, L.; Galletly, C. Efficacy of repetitive transcranial magnetic stimulation in the treatment of depression with comorbid anxiety disorders. J. Affect. Disord. 2019, 252, 435–439. [Google Scholar] [CrossRef] [PubMed]
- Duval, E.R.; Javanbakht, A.; Liberzon, I. Neural circuits in anxiety and stress disorders: A focused review. Ther. Clin. Risk Manag. 2015, 11, 115–126. [Google Scholar] [PubMed]
- Arnsten, A.F.; Rubia, K. Neurobiological circuits regulating attention, cognitive control, motivation, and emotion: Disruptions in neurodevelopmental psychiatric disorders. J. Am. Acad. Child. Adolesc. Psychiatry 2012, 51, 356–367. [Google Scholar] [CrossRef]
- Kedzior, K.K.; Rajput, V.; Price, G.; Lee, J.; Martin-Iverson, M. Cognitive correlates of repetitive transcranial magnetic stimulation (rTMS) in treatment-resistant depression—A pilot study. BMC Psychiatry 2012, 12, 163. [Google Scholar] [CrossRef]
- Hoy, K.E.; Segrave, R.A.; Daskalakis, Z.J.; Fitzgerald, P.B. Investigating the relationship between cognitive change and antidepressant response following rTMS: A large scale retrospective study. Brain Stimul. 2012, 5, 539–546. [Google Scholar] [CrossRef]
- Serafini, G.; Pompili, M.; Belvederi Murri, M.; Respino, M.; Ghio, L.; Girardi, P.; Fitzgerald, P.B.; Amore, M. The effects of repetitive transcranial magnetic stimulation on cognitive performance in treatment-resistant depression. A systematic review. Neuropsychobiology 2015, 71, 125–139. [Google Scholar] [CrossRef] [PubMed]
- Serafini, G.; Canepa, G.; Aguglia, A.; Amerio, A.; Bianchi, D.; Magnani, L.; Dell’Osso, B.; Pompili, M.; Fitzgerald, P.B.; Amore, M. Effects of repetitive transcranial magnetic stimulation on suicidal behavior: A systematic review. Prog. Neuropsychopharmacol. Biol. Psychiatry 2021, 105, 109981. [Google Scholar] [CrossRef] [PubMed]
- Godi, S.M.; Spoorthy, M.S.; Purushotham, A.; Tikka, S.K. Repetitive transcranial magnetic stimulation and its role in suicidality—A systematic review. Asian J. Psychiatr. 2021, 63, 102755. [Google Scholar] [CrossRef]
- Chen, G.W.; Hsu, T.W.; Ching, P.Y.; Pan, C.C.; Chou, P.H.; Chu, C.S. Efficacy and Tolerability of Repetitive Transcranial Magnetic Stimulation on Suicidal Ideation: A Systemic Review and Meta-Analysis. Front. Psychiatry 2022, 13, 884390. [Google Scholar] [CrossRef]


| rTMS (Standard) | arTMS (Accelerated) | |
|---|---|---|
| N patients | 9 | 19 |
| Duration of the treatment (weeks) | 4 | 2 |
| Sessions per day | 1 | 2 |
| Stimulation site | Left DLPFC | Left DLPFC |
| Frequency (Hz) | 10 | 10 |
| Intensity | 120% of MT | 120% of MT |
| Stimuli per session | 3000 | 3000 |
| Total Sample | Standard | Accelerated | |
|---|---|---|---|
| n | 28 | 9 | 19 |
| Age (median [IQR], years) | 55.00 [42.75, 58.75] | 55.00 [49.00, 57.00] | 55.00 [41.50, 61.00] |
| Gender, female (%) | 18 (64.29) | 7 (77.78) | 11 (57.89) |
| Diagnosis (%) | |||
| Unipolar depression | 20 (71.43) | 8 (88.89) | 12 (63.16) |
| Bipolar depression | 8 (28.57) | 1 (11.11) | 7 (36.84) |
| Family history (%) | 25 (89.29) | 7 (77.78) | 18 (94.74) |
| Marital status (%) | |||
| Single | 7 (25.00) | 2 (22.22) | 5 (26.32) |
| Engaged/married | 18 (64.29) | 5 (55.56) | 13 (68.42) |
| Separated/divorced | 3 (10.71) | 2 (22.22) | 1 (5.26) |
| Employment (%) | |||
| Full-time | 12 (42.86) | 4 (44.44) | 8 (42.11) |
| Part-time | 3 (10.71) | 1 (11.11) | 2 (10.53) |
| Unemployed | 8 (28.57) | 4 (44.44) | 4 (21.05) |
| Retired | 3 (10.71) | 0 (0) | 3 (15.79) |
| Housewife | 2 (7.14) | 0 (0) | 2 (10.53) |
| Educational status (%) | |||
| Primary school | 1 (3.57) | 0 (0) | 1 (5.26) |
| Secondary school | 6 (21.43) | 3 (33.33) | 3 (15.79) |
| High school | 11 (39.29) | 2 (22.22) | 9 (47.37) |
| Degree | 10 (35.71) | 4 (44.44) | 6 (31.58) |
| Age at psychiatric onset (years) (median [IQR]) | 30.00 [24.75, 45.00] | 30.00 [24.00, 36.00] | 30.00 [25.50, 45.00] |
| Duration of illness (months) (median [IQR]) | 210.00 [93.00, 315.00] | 204.00 [132.00, 312.00] | 216.00 [78.00, 342.00] |
| N of lifetime episodes (median [IQR]) | 4.00 [3.00, 6.25] | 3.00 [3.00, 4.00] | 5.00 [3.00, 9.00] |
| N lifetime depressive episodes (median [IQR]) | 4.00 [2.75, 6.00] | 3.00 [2.00, 4.00] | 5.00 [3.00, 6.50] |
| N lifetime hypo/manic episodes | 0 | 0 | 0 |
| Duration of last episode (days) (median [IQR]) | 150.00 [60.00, 260.00] | 180.00 [60.00, 240.00] | 120.00 [75.00, 280.00] |
| Psychiatric comorbidities (%) | 13 (46.43) | 4 (44.44) | 9 (47.37) |
| Medical comorbidities (%) | 13 (46.43) | 4 (44.44) | 9 (47.37) |
| Current psychotherapy (%) | 13 (46.43) | 5 (55.56) | 8 (42.11) |
| Assuming antidepressants (%) | 27 (96.43) | 9 (100.00) | 18 (94.74) |
| Assuming mood stabilizers (%) | 10 (35.71) | 3 (33.33) | 7 (36.84) |
| Assuming antipsychotics (%) | 19 (67.86) | 7 (77.78) | 12 (63.16) |
| Assuming benzodiazepine (%) | 14 (50.00) | 6 (66.67) | 8 (42.11) |
| DUI (months) (mean [SD]) | 10.59 [26.19] | 24.44 [42.59] | 3.67 [6.55] |
| Suicidal thoughts lifetime (%) | 20 (71.43) | 6 (66.67) | 14 (73.68) |
| Suicide attempts lifetime (%) | 5 (17.86) | 2 (22.22) | 3 (15.79) |
| Current suicidal thoughts (last month) (%) | 9 (32.14) | 3 (33.33) | 6 (31.58) |
| Current suicide attempts (last 3 months) (%) | 2 (7.14) | 0 (0) | 2 (10.53) |
| Overall | Standard | Accelerated | |
|---|---|---|---|
| n | 28 | 9 | 19 |
| HAM-D21 T0 (median [IQR]) | 18.50 [13.75, 21.00] | 19.00 [14.00, 20.00] | 18.00 [13.50, 22.50] |
| HAM-A T0 (median [IQR]) | 13.50 [9.75, 16.00] | 14.00 [10.00, 15.00] | 13.00 [9.50, 23.50] |
| MADRS T0 (median [IQR]) | 26.00 [23.00, 30.25] | 26.00 [20.00, 28.00] | 26.00 [23.00, 34.00] |
| YMRS T0 (median [IQR]) | 0.00 [0.00, 0.25] | 0.00 [0.00, 0.00] | 0.00 [0.00, 0.50] |
| SDS T0 (median [IQR]) | 24.50 [19.75, 26.00] | 25.00 [17.00, 26.00] | 24.00 [22.50, 26.00] |
| MoCA T0 (median [IQR]) * | 27.00 [25.00, 28.00] | 26.00 [25.75, 27.50] | 27.00 [25.00, 28.00] |
| CGI-S T0 (median [IQR]) | 5.00 [4.00, 5.00] | 5.00 [4.00, 5.00] | 5.00 [4.00, 5.00] |
| C-SSRS T0 (median [IQR]) | 0.50 [0.00, 2.00] | 0.00 [0.00, 2.00] | 1.00 [0.00, 1.50] |
| Estimate | 95% Confidence Interval | p-Value | ||
|---|---|---|---|---|
| HAM-D21 | ||||
| score ~ 1 + (1|ID) | |||
| (Intercept) | 11.768 | 10.390 | 13.145 | ≤0.001 |
| score ~ D1 + D2 + D3 + (1|ID) | |||
| (Intercept) | 17.571 | 15.690 | 19.453 | ≤0.001 |
| D1 | −6.536 | −8.630 | −4.442 | ≤0.001 |
| D2 | −0.429 | −2.523 | 1.665 | 0.689 |
| D3 | −2.750 | −4.844 | −0.656 | 0.012 |
| score ~ D1 + D2 + D3 + protocol + (1|ID) | |||
| (Intercept) | 16.581 | 13.832 | 19.331 | ≤0.001 |
| D1 | −6.536 | −8.630 | −4.442 | ≤0.001 |
| D2 | −0.429 | −2.523 | 1.665 | 0.689 |
| D3 | −2.750 | −4.844 | −0.656 | 0.012 |
| Protocol type (accelerated) | 1.459 | −1.494 | 4.412 | 0.342 |
| score ~ D1 + D2 + D3 + protocol + D1*protocol + D2*protocol + D3*protocol + (1|ID) | |||
| (Intercept) | 16.444 | 13.120 | 19.769 | ≤0.001 |
| D1 | −7.333 | −11.035 | −3.632 | ≤0.001 |
| D2 | 0.111 | −3.591 | 3.813 | 0.953 |
| D3 | −0.889 | −4.591 | 2.813 | 0.639 |
| Protocol type (accelerated) | 1.661 | −2.375 | 5.697 | 0.423 |
| D1*protocol type (accelerated) | 1.175 | −3.318 | 5.669 | 0.610 |
| D2*protocol type (accelerated) | −0.795 | −5.289 | 3.698 | 0.730 |
| D3*protocol type (accelerated) | −2.743 | −7.236 | 1.751 | 0.235 |
| HAM-A | ||||
| score ~ 1 + (1|ID) | |||
| (Intercept) | 9.464 | 8.165 | 10.764 | ≤0.001 |
| score ~ D1 + D2 + D3 + (1|ID) | |||
| (Intercept) | 14.464 | 12.565 | 16.363 | ≤0.001 |
| D1 | −6.143 | −8.404 | −3.882 | ≤0.001 |
| D2 | 0.286 | −1.975 | 2.547 | 0.805 |
| D3 | −2.143 | −4.404 | 0.118 | 0.067 |
| score ~ D1 + D2 + D3 + protocol + (1|ID) | |||
| (Intercept) | 13.028 | 10.396 | 15.659 | ≤0.001 |
| D1 | −6.143 | −8.404 | −3.882 | ≤0.001 |
| D2 | 0.286 | −1.975 | 2.547 | 0.805 |
| D3 | −2.143 | −4.404 | 0.118 | 0.067 |
| Protocol type (accelerated) | 2.117 | −0.600 | 4.834 | 0.139 |
| score ~ D1 + D2 + D3 + protocol + D1*protocol + D2*protocol + D3*protocol + (1|ID) | |||
| (Intercept) | 12.333 | 9.025 | 15.642 | ≤0.001 |
| D1 | −5.889 | −9.868 | −1.909 | 0.005 |
| D2 | 0.000 | −3.979 | 3.979 | 1.000 |
| D3 | 0.444 | −3.535 | 4.424 | 0.827 |
| Protocol type (accelerated) | 3.140 | −0.876 | 7.157 | 0.129 |
| D1*protocol type (accelerated) | −0.374 | −5.205 | 4.457 | 0.880 |
| D2*protocol type (accelerated) | 0.421 | −4.410 | 5.252 | 0.865 |
| D3*protocol type (accelerated) | −3.813 | −8.644 | 1.018 | 0.126 |
| MADRS | ||||
| score ~ 1 + (1|ID) | |||
| (Intercept) | 18.357 | 16.529 | 20.185 | ≤0.001 |
| score ~ D1 + D2 + D3 + (1|ID) | |||
| (Intercept) | 26.857 | 24.010 | 29.704 | ≤0.001 |
| D1 | −9.464 | −13.028 | −5.900 | ≤0.001 |
| D2 | 0.214 | −3.350 | 3.778 | 0.906 |
| D3 | −6.036 | −9.600 | −2.472 | 0.001 |
| score ~ D1 + D2 + D3 + protocol + (1|ID) | |||
| (Intercept) | 24.611 | 20.809 | 28.413 | ≤0.001 |
| D1 | −9.464 | −13.028 | −5.900 | ≤0.001 |
| D2 | 0.214 | −3.350 | 3.778 | 0.906 |
| D3 | −6.036 | −9.600 | −2.472 | 0.001 |
| Protocol type (accelerated) | 3.310 | −0.470 | 7.090 | 0.098 |
| score ~ D1 + D2 + D3 + protocol + D1*protocol + D2*protocol + D3*protocol + (1|ID) | |||
| (Intercept) | 23.778 | 18.904 | 28.652 | ≤0.001 |
| D1 | −10.222 | −16.346 | −4.098 | 0.002 |
| D2 | 0.000 | −6.124 | 6.124 | 1.000 |
| D3 | 0.000 | −6.124 | 6.124 | 1.000 |
| Protocol type (accelerated) | 4.538 | −1.379 | 10.455 | 0.136 |
| D1*protocol type (accelerated) | 1.117 | −6.317 | 8.551 | 0.769 |
| D2*protocol type (accelerated) | 0.316 | −7.118 | 7.750 | 0.934 |
| D3*protocol type (accelerated) | −8.895 | −16.329 | −1.461 | 0.022 |
| SDS | ||||
| score ~ 1 + (1|ID) | |||
| (Intercept) | 18.634 | 16.396 | 20.872 | ≤0.001 |
| score ~ D1 + D2 + D3 + (1|ID) | |||
| (Intercept) | 22.643 | 20.060 | 25.226 | ≤0.001 |
| D1 | −4.964 | −7.069 | −2.860 | ≤0.001 |
| D2 | −0.536 | −2.640 | 1.569 | 0.619 |
| D3 | −0.071 | −2.176 | 2.033 | 0.947 |
| score ~ D1 + D2 + D3 + protocol + (1|ID) | |||
| (Intercept) | 22.453 | 18.230 | 26.677 | ≤0.001 |
| D1 | −4.964 | −7.069 | −2.860 | ≤0.001 |
| D2 | −0.536 | −2.640 | 1.569 | 0.619 |
| D3 | −0.071 | −2.176 | 2.033 | 0.947 |
| Protocol type (accelerated) | 0.279 | −4.604 | 5.162 | 0.912 |
| score ~ D1 + D2 + D3 + protocol + D1*protocol + D2*protocol + D3*protocol + (1|ID) | |||
| (Intercept) | 22.222 | 17.584 | 26.861 | ≤0.001 |
| D1 | −5.111 | −8.883 | −1.339 | 0.010 |
| D2 | 0.444 | −3.328 | 4.217 | 0.818 |
| D3 | −0.667 | −4.439 | 3.106 | 0.730 |
| Protocol type (accelerated) | 0.620 | −5.011 | 6.251 | 0.830 |
| D1*protocol type (accelerated) | 0.216 | −4.363 | 4.796 | 0.926 |
| D2*protocol type (accelerated) | −1.444 | −6.024 | 3.135 | 0.538 |
| D3*protocol type (accelerated) | 0.877 | −3.702 | 5.456 | 0.708 |
| MoCA | ||||
| score ~ 1 + (1|ID) | |||
| (Intercept) | 27.815 | 27.172 | 28.458 | ≤0.001 |
| score ~ D1 + D2 + D3 + (1|ID) | |||
| (Intercept) | 26.370 | 25.615 | 27.126 | 0.000 |
| D1 | 2.000 | 1.353 | 2.647 | 0.000 |
| D2 | 0.222 | −0.425 | 0.869 | 0.503 |
| D3 | −0.667 | −1.313 | −0.020 | 0.047 |
| score ~ D1 + D2 + D3 + protocol + (1|ID) | |||
| (Intercept) | 26.274 | 25.007 | 27.542 | 0.000 |
| D1 | 2.000 | 1.353 | 2.647 | 0.000 |
| D2 | 0.222 | −0.425 | 0.869 | 0.503 |
| D3 | −0.667 | −1.313 | −0.020 | 0.047 |
| Protocol type (accelerated) | 0.137 | −1.299 | 1.572 | 0.854 |
| score ~ D1 + D2 + D3 + protocol + D1*protocol + D2*protocol + D3*protocol + (1|ID) | |||
| (Intercept) | 26.250 | 24.841 | 27.659 | 0.000 |
| D1 | 1.750 | 0.554 | 2.946 | 0.005 |
| D2 | 0.375 | −0.821 | 1.571 | 0.541 |
| D3 | −0.125 | −1.321 | 1.071 | 0.838 |
| Protocol type (accelerated) | 0.171 | −1.509 | 1.851 | 0.843 |
| D1*protocol type (accelerated) | 0.355 | −1.070 | 1.780 | 0.627 |
| D2*protocol type (accelerated) | −0.217 | −1.642 | 1.208 | 0.766 |
| D3*protocol type (accelerated) | −0.770 | −2.195 | 0.655 | 0.293 |
Disclaimer/Publisher’s Note: The statements, opinions and data contained in all publications are solely those of the individual author(s) and contributor(s) and not of MDPI and/or the editor(s). MDPI and/or the editor(s) disclaim responsibility for any injury to people or property resulting from any ideas, methods, instructions or products referred to in the content. |
© 2024 by the authors. Licensee MDPI, Basel, Switzerland. This article is an open access article distributed under the terms and conditions of the Creative Commons Attribution (CC BY) license (https://creativecommons.org/licenses/by/4.0/).
Share and Cite
Prodi, T.; Pezzullo, G.; La Monica, K.; Priori, A.; Vismara, M.; Dell’Osso, B.; Benatti, B. Repetitive Transcranial Magnetic Stimulation for the Treatment of Depression in a Real-World Setting: Findings from a Cohort Study. Brain Sci. 2024, 14, 949. https://doi.org/10.3390/brainsci14090949
Prodi T, Pezzullo G, La Monica K, Priori A, Vismara M, Dell’Osso B, Benatti B. Repetitive Transcranial Magnetic Stimulation for the Treatment of Depression in a Real-World Setting: Findings from a Cohort Study. Brain Sciences. 2024; 14(9):949. https://doi.org/10.3390/brainsci14090949
Chicago/Turabian StyleProdi, Tiziano, Gabriele Pezzullo, Kevin La Monica, Alberto Priori, Matteo Vismara, Bernardo Dell’Osso, and Beatrice Benatti. 2024. "Repetitive Transcranial Magnetic Stimulation for the Treatment of Depression in a Real-World Setting: Findings from a Cohort Study" Brain Sciences 14, no. 9: 949. https://doi.org/10.3390/brainsci14090949
APA StyleProdi, T., Pezzullo, G., La Monica, K., Priori, A., Vismara, M., Dell’Osso, B., & Benatti, B. (2024). Repetitive Transcranial Magnetic Stimulation for the Treatment of Depression in a Real-World Setting: Findings from a Cohort Study. Brain Sciences, 14(9), 949. https://doi.org/10.3390/brainsci14090949

