TSANN-TG: Temporal–Spatial Attention Neural Networks with Task-Specific Graph for EEG Emotion Recognition
Abstract
1. Introduction
2. Related Work
2.1. CNNs for EEG Learning
2.2. Graph Learning and GNNs for EEG Emotion Recognition
3. Methods
3.1. Node Feature Encoding and Adjacency Matrices Construction
3.1.1. Node Feature Encoding Based on 1D CNNs Attention
3.1.2. Task-Specific Adjacency Matrices Construction
3.2. Graph Aggregation with Task-Specific Adjacency Based on Attention
3.3. Graph Feature Fusion and Classification
3.4. Algorithm for TSANN-TG
| Algorithm 1: TSANN-TG |
| Output: prediction of the target 1 initialization; 2 stage1: 3 temporal 1D CNNs; 5 6 ; 7 end 8 kernel attention modulation |
| 9 end 10 concatenation and flatten calculation 11 calculate task-specific adjacency matrices; 12 stage2: 13 ; 14 attention fusion of task-specific adjacency matrices; 15 ; 16 graph feature fusion and MLP classifier; 17 return: prediction |
4. Materials and Experiments
4.1. Emotional EEG Datasets
4.2. Experiment Settings
4.3. Performance Assessment
5. Results
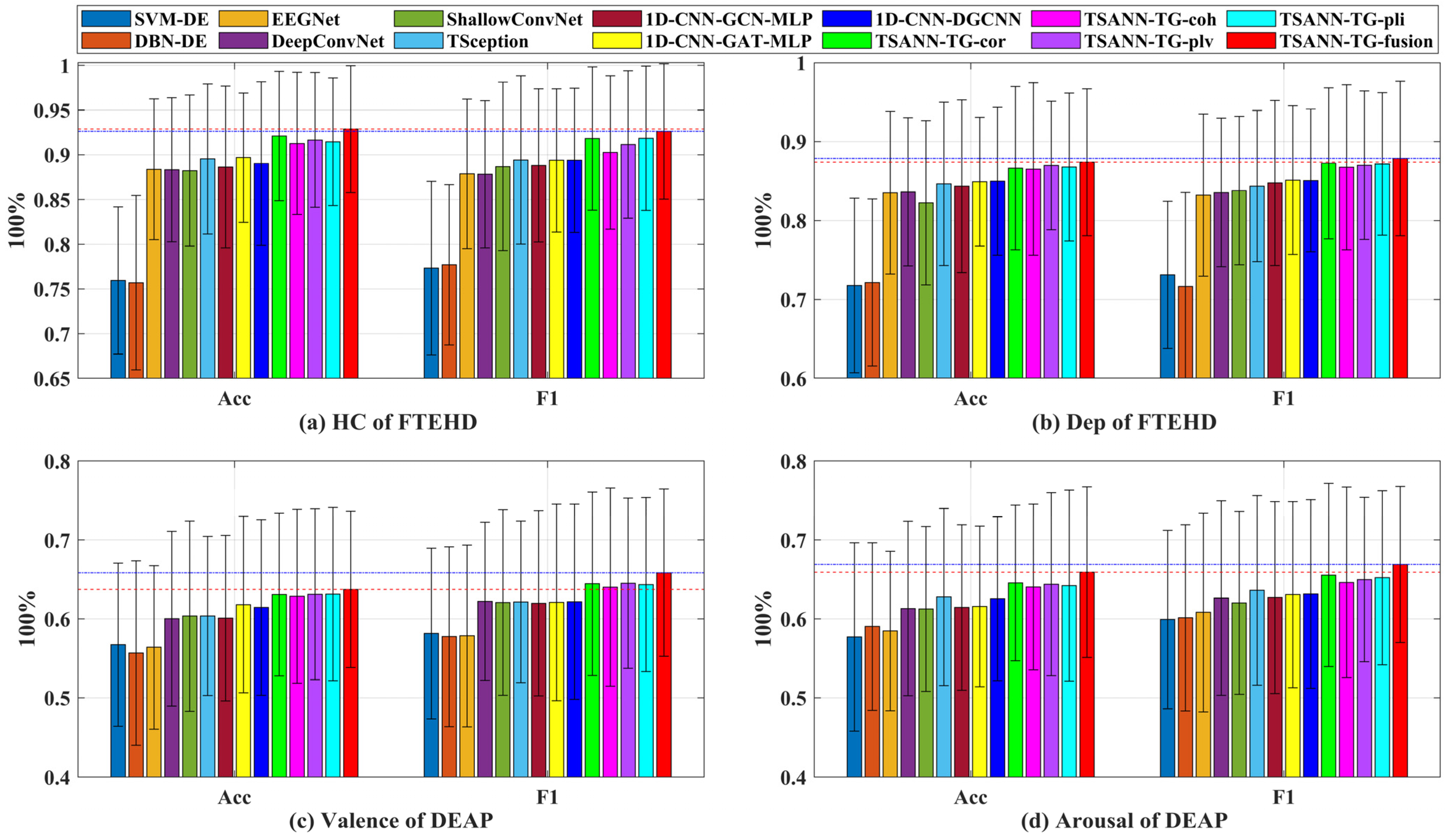
5.1. Statistical Analysis
5.2. Ablation Study
5.3. Effects of Fusion Task-Specific GCN–Attention Block
6. Discussion
7. Conclusions
Author Contributions
Funding
Institutional Review Board Statement
Informed Consent Statement
Data Availability Statement
Conflicts of Interest
References
- Wu, D.; Lu, B.; Hu, B.; Zeng, Z. Affective Brain–Computer Interfaces (aBCIs): A Tutorial. Proc. IEEE 2023, 111, 1314–1332. [Google Scholar] [CrossRef]
- Li, X.; Zhang, Y.; Tiwari, P.; Song, D.; Hu, B.; Yang, M.; Zhao, Z.; Kumar, N.; Marttinen, P. EEG based Emotion Recognition: A Tutorial and Review. ACM Comput. Surv. 2022, 55, 1–57. [Google Scholar] [CrossRef]
- Picard, R.; Vyzas, E.; Healey, J. Toward machine emotional intelligence: Analysis of affective physiological state. IEEE Trans. Pattern Anal. Mach. Intell. 2001, 23, 1175–1191. [Google Scholar] [CrossRef]
- Alarcao, S.M.; Fonseca, M.J. Emotions recognition using EEG signals: A survey. IEEE Trans. Affect. Comput. 2019, 10, 374–393. [Google Scholar] [CrossRef]
- Suhaimi, N.; Mountstephens, J.; Teo, J. EEG-based emotion recognition: A state-of-the-art review of current trends and opportunities. Comput. Intell. Neurosci. 2020, 2020, 8875426. [Google Scholar] [CrossRef] [PubMed]
- Soroush, M.; Maghooli, K.; Setarehdan, S.; Nasrabadi, A. A Review on EEG Signals Based Emotion Recognition. J. Clin. Neurosci. 2017, 4, 118–129. [Google Scholar] [CrossRef]
- Wang, H.; Xu, L.; Bezerianos, A.; Chen, C.; Zhang, Z. Linking attention-based multiscale CNN with dynamical GCN for driving fatigue detection. IEEE Trans. Instrum. Meas. 2020, 70, 1–11. [Google Scholar] [CrossRef]
- Jha, S.; Suvvari, S.; Kumar, M. Emotion Recognition from Electroencephalogram (EEG) Signals Using a Multiple Column Convolutional Neural Network Model. SN Comput. Sci. 2024, 5, 1–14. [Google Scholar] [CrossRef]
- Zhong, P.; Wang, D.; Miao, C. EEG-based emotion recognition using regularized graph neural networks. IEEE Trans. Affect. Comput. 2020, 13, 1290–1301. [Google Scholar] [CrossRef]
- Zeng, H.; Wu, Q.; Jin, Y.; Zheng, H.; Li, M.; Zhao, Y.; Hu, H.; Kong, W. Siam-GCAN: A Siamese graph convolutional attention network for EEG emotion recognition. IEEE Trans. Instrum. Meas. 2022, 71, 1–9. [Google Scholar] [CrossRef]
- Zheng, W.; Lu, B. Investigating critical frequency bands and channels for EEG-based emotion recognition with deep neural networks. IEEE Trans. Auton. Ment. Dev. 2015, 7, 162–175. [Google Scholar] [CrossRef]
- Zheng, W.; Zhu, J.; Lu, B. Identifying stable patterns over time for emotion recognition from EEG. IEEE Trans. Affect. Comput. 2019, 10, 417–429. [Google Scholar] [CrossRef]
- Schirrmeister, R.; Gemein, L.; Eggensperger, K.; Hutter, F.; Ball, T. Deep learning with convolutional neural networks for decoding and visualization of EEG pathology. In Proceedings of the 2017 IEEE Signal Processing in Medicine and Biology Symposium (SPMB), Philadelphia, PA, USA, 2 December 2017; pp. 1–7. [Google Scholar]
- Schirrmeister, R.; Springenberg, J.; Fiederer, L.; Glasstetter, M.; Eggensperger, K.; Tangermann, M.; Hutter, F.; Burgard, W.; Ball, T. Deep learning with convolutional neural networks for EEG decoding and visualization. Hum. Brain Mapp. 2017, 38, 5391–5420. [Google Scholar] [CrossRef] [PubMed]
- Zhang, Z.; Cui, P.; Zhu, W. Deep learning on graphs: A survey. IEEE Trans. Knowl. Data Eng. 2020, 34, 249–270. [Google Scholar] [CrossRef]
- Wu, Z.; Pan, S.; Chen, F.; Long, G.; Zhang, C.; Philip, S. A comprehensive survey on graph neural networks. IEEE Trans. Neural Netw. Learn. Syst. 2020, 32, 4–24. [Google Scholar] [CrossRef] [PubMed]
- Graña, M.; Morais-Quilez, I. A review of Graph Neural Networks for Electroencephalography data analysis. Neurocomputing 2023, 562, 126901. [Google Scholar] [CrossRef]
- Dwivedi, V.; Joshi, C.; Luu, A.; Laurent, T.; Bengio, Y.; Bresson, X. Benchmarking graph neural networks. J. Mach. Learn. Res. 2023, 43, 1–48. [Google Scholar]
- Hamilton, W.; Ying, Z.; Leskovec, J. Inductive representation learning on large graphs. In Advances in Neural Information Processing Systems 30 (NIPS 2017); Curran Associates, Inc.: Red Hook, NY, USA, 2017; Volume 30. [Google Scholar]
- Niepert, M.; Ahmed, M.; Kutzkov, K. Learning convolutional neural networks for graphs. In Proceedings of the the 33rd International Conference on Machine Learning, New York, NY, USA, 19–24 June 2016; pp. 2014–2023. [Google Scholar]
- Liu, C.; Zhou, X.; Wu, Y.; Yang, R.; Zhai, L.; Jia, Z.; Liu, Y. Graph Neural Networks in EEG-based Emotion Recognition: A Survey. arXiv 2024, arXiv:2402.01138. [Google Scholar]
- Zhou, J.; Cui, G.; Hu, S.; Zhang, Z.; Yang, C.; Liu, Z.; Wang, L.; Li, C.; Sun, M. Graph neural networks: A review of methods and applications. AI Open 2020, 1, 57–81. [Google Scholar] [CrossRef]
- Bashivan, P.; Rish, I.; Yeasin, M.; Codella, N. Learning representations from EEG with deep recurrent-convolutional neural networks. arXiv 2015, arXiv:1511.06448. [Google Scholar]
- Yang, Y.; Wu, Q.; Fu, Y.; Chen, X. Continuous convolutional neural network with 3D input for EEG-based emotion recognition. In Proceedings of the Neural Information Processing: 25th International Conference, ICONIP, Siem Reap, Cambodia, 13–16 December 2018; pp. 433–443. [Google Scholar]
- Kiranyaz, S.; Avci, O.; Abdeljaber, O.; Ince, T.; Gabbouj, M.; Inman, D. 1D convolutional neural networks and applications: A survey. Mech. Syst. Signal Process. 2021, 151, 107398. [Google Scholar] [CrossRef]
- Lawhern, V.J.; Solon, A.J.; Waytowich, N.R.; Gordon, S.M.; Hung, C.P.; Lance, B.J. EEGNet: A compact convolutional neural network for EEG-based brain–computer interfaces. J. Neural Eng. 2018, 15, 5–15. [Google Scholar] [CrossRef] [PubMed]
- Ding, Y.; Robinson, N.; Zeng, Q.; Chen, D.; Wai, A.; Lee, T.; Guan, C. Tsception: A deep learning framework for emotion detection using EEG. In Proceedings of the 2020 International Joint Conference on Neural Networks (IJCNN), Glasgow, UK, 19–24 July 2020; pp. 1–7. [Google Scholar]
- Ding, Y.; Robinson, N.; Zhang, S.; Zeng, Q.; Guan, C. TSception: Capturing Temporal Dynamics and Spatial Asymmetry from EEG for Emotion Recognition. IEEE Trans. Affect. Comput. 2022, 14, 2238–2250. [Google Scholar] [CrossRef]
- Scarselli, F.; Gori, M.; Tsoi, A.; Hagenbuchner, M.; Monfardini, G. The graph neural network model. IEEE Trans. Neural Netw. 2009, 20, 61–80. [Google Scholar] [CrossRef] [PubMed]
- Bruna, J.; Zaremba, W.; Szlam, A.; LeCun, Y. Spectral networks and locally connected networks on graphs. arXiv 2013, arXiv:1312.6203. [Google Scholar]
- Defferrard, M.; Bresson, X.; Vandergheynst, P. Convolutional neural networks on graphs with fast localized spectral filtering. In Advances in Neural Information Processing Systems 29 (NIPS 2016); Curran Associates, Inc.: Red Hook, NY, USA, 2016; Volume 29. [Google Scholar]
- Kipf, T.; Welling, M. Semi-supervised classification with graph convolutional networks. arXiv 2016, arXiv:1609.02907. [Google Scholar]
- Song, T.; Zheng, W.; Song, P.; Cui, Z. EEG emotion recognition using dynamical graph convolutional neural networks. IEEE Trans. Affect. Comput. 2018, 11, 532–541. [Google Scholar] [CrossRef]
- Zhang, J.; Zhang, X.; Chen, G.; Zhao, Q. Granger-causality-based multi-frequency band EEG graph feature extraction and fusion for emotion recognition. Brain Sci. 2022, 12, 1649. [Google Scholar] [CrossRef] [PubMed]
- Tian, W.; Li, M.; Ju, X.; Liu, Y. Applying multiple functional connectivity features in GCN for EEG-based human identification. Brain Sci. 2022, 12, 1072. [Google Scholar] [CrossRef] [PubMed]
- Zhang, J.; Hao, Y.; Wen, X.; Zhang, C.; Deng, H.; Zhao, J.; Cao, R. Subject-Independent Emotion Recognition Based on EEG Frequency Band Features and Self-Adaptive Graph Construction. Brain Sci. 2024, 14, 271. [Google Scholar] [CrossRef] [PubMed]
- Ghaderi, A.; Moradkhani, S.; Haghighatfard, A.; Akrami, F.; Khayyer, Z.; Balcı, F. Time estimation and beta segregation: An EEG study and graph theoretical approach. PLoS ONE 2018, 13, e0195380. [Google Scholar] [CrossRef] [PubMed]
- Xu, K.; Hu, W.; Leskovec, J.; Jegelka, S. How powerful are graph neural networks? arXiv 2018, arXiv:1810.00826. [Google Scholar]
- Liu, C.; Zhan, Y.; Wu, J.; Li, C.; Du, B.; Hu, W.; Liu, T.; Tao, D. Graph pooling for graph neural networks: Progress, challenges, and opportunities. arXiv 2022, arXiv:2204.07321. [Google Scholar]
- Qin, Y.; Yang, B.; Ke, S.; Liu, P.; Rong, F.; Xia, X. M-FANet: Multi-Feature Attention Convolutional Neural Network for Motor Imagery Decoding. IEEE Trans. Neural Syst. Rehabil. Eng. 2024, 32, 401–411. [Google Scholar] [CrossRef] [PubMed]
- Luong, M.; Pham, H.; Manning, C. Effective approaches to attention-based neural machine translation. arXiv 2015, arXiv:1508.04025. [Google Scholar]
- Gao, H.; Ji, S. Graph U-Nets. IEEE Trans. Pattern Anal. Mach. Intell. 2022, 44, 4948–4960. [Google Scholar] [CrossRef] [PubMed]
- Li, Z.; Zhang, G.; Wang, L.; Wei, J.; Dang, J. Emotion recognition using spatial-temporal EEG features through convolutional graph attention network. J. Neural Eng. 2023, 20, 016046. [Google Scholar] [CrossRef] [PubMed]
- Veličković, P.; Cucurull, G.; Casanova, A.; Romero, A.; Lio, P.; Bengio, Y. Graph attention networks. arXiv 2017, arXiv:1710.10903. [Google Scholar]
- Brody, S.; Alon, U.; Yahav, E. How attentive are graph attention networks? arXiv 2021, arXiv:2105.14491. [Google Scholar]
- Lee, J.; Lee, I.; Kang, J. Self-attention graph pooling. In Proceedings of the 36th International Conference on Machine Learning (ICML), Long Beach, CA, USA, 9–15 June 2019; pp. 3734–3743. [Google Scholar]
- Vaswani, A.; Shazeer, N.; Parmar, N.; Uszkoreit, J.; Jones, L.; Gomez, A.; Kaiser, Ł.; Polosukhin, I. Attention is all you need. In Advances in Neural Information Processing Systems 30 (NIPS 2017); Curran Associates, Inc.: Red Hook, NY, USA, 2017; Volume 30. [Google Scholar]
- Mierlo, P.; Papadopoulou, M.; Carrette, E.; Boon, P.; Vandenberghe, S.; Vonck, K.; Marinazzo, D. Functional brain connectivity from EEG in epilepsy: Seizure prediction and epileptogenic focus localization. Prog. Neurobiol. 2014, 121, 19–35. [Google Scholar] [CrossRef]
- Shan, X.; Cao, J.; Huo, S.; Chen, L.; Sarrigiannis, P.; Zhao, Y. Spatial–temporal graph convolutional network for Alzheimer classification based on brain functional connectivity imaging of electroencephalogram. Hum. Brain Mapp. 2022, 43, 5194–5209. [Google Scholar] [CrossRef] [PubMed]
- Nam, H.; Kim, J.; Choi, W.; Bak, S.; Kam, T. The effects of layer-wise relevance propagation-based feature selection for EEG classification: A comparative study on multiple datasets. Front. Hum. Neurosci. 2023, 17, 1205881. [Google Scholar] [CrossRef] [PubMed]
- Li, M.; Qiu, M.; Kong, W.; Zhu, L.; Ding, Y. Fusion graph representation of EEG for emotion recognition. Sensors 2023, 3, 1404. [Google Scholar] [CrossRef]
- Li, Y.; Cao, D.; Wei, L.; Tang, Y.; Wang, J. Abnormal functional connectivity of EEG gamma band in patients with depression during emotional face processing. Clin. Neurophysiol. 2015, 126, 2078–2089. [Google Scholar] [CrossRef] [PubMed]
- Jiang, C.; Li, Y.; Tang, Y.; Guan, C. Enhancing EEG-based classification of depression patients using spatial information. IEEE Trans. Neural Syst. Rehabil. Eng. 2021, 29, 566–575. [Google Scholar] [CrossRef]
- Koelstra, S.; Muhl, C.; Soleymani, M.; Lee, J.; Yazdani, A.; Ebrahimi, T.; Pun, T.; Nijholt, A.; Patras, I. DEAP: A database for emotion analysis using physiological signals. IEEE Trans. Affect. Comput. 2012, 3, 18–31. [Google Scholar] [CrossRef]
- Bates, S.; Hastie, T.; Tibshirani, R. Cross-validation: What does it estimate and how well does it do it? J. Am. Stat. Assoc. 2023, 1–12. [Google Scholar] [CrossRef]
- Wainer, J.; Cawley, G. Nested cross-validation when selecting classifiers is overzealous for most practical applications. Expert Syst. Appl. 2021, 182, 115222. [Google Scholar] [CrossRef]
- Zhang, Y.; Liu, H.; Zhang, D.; Chen, X.; Qin, T.; Zheng, Q. EEG-Based Emotion Recognition with Emotion Localization via Hierarchical Self-Attention. IEEE Trans. Affect. Comput. 2023, 14, 2458–2469. [Google Scholar] [CrossRef]










| Method | HC Group | Dep Group | ||||||
|---|---|---|---|---|---|---|---|---|
| mACC | std | mF1 | std | mACC | std | mF1 | std | |
| SVM-DE | 75.95% (***) | 8.23% | 77.33% (***) | 9.71% | 71.77% (***) | 11.06% | 73.12% (***) | 9.32% |
| DBN-DE | 75.70% (***) | 9.76% | 77.70% (***) | 8.97% | 72.15% (***) | 10.59% | 71.66% (***) | 11.93% |
| EEGNet | 88.38% (*) | 7.87% | 87.88% (*) | 8.36% | 83.53% (*) | 10.31% | 83.23% (*) | 10.26% |
| DeepConvNet | 88.33% (*) | 8.05% | 87.83% (*) | 8.24% | 83.64% (*) | 9.39% | 83.56% (*) | 9.41% |
| ShallowConvNet | 88.24% (*) | 8.45% | 88.70% (*) | 9.40% | 82.25% (*) | 10.40% | 83.79% (*) | 9.40% |
| TSception | 89.54% | 8.39% | 89.42% | 9.41% | 84.64% | 10.35% | 84.36% | 9.58% |
| 1D CNN-GCN-MLP | 88.64% (*) | 9.05% | 88.82% (*) | 8.57% | 84.35% | 10.94% | 84.76% | 10.47% |
| 1D CNN-GAT-MLP | 89.69% | 7.23% | 89.38% | 8.02% | 84.92% | 8.15% | 85.12% | 9.42% |
| 1D CNN-DGCNN | 89.02% | 9.13% | 89.39% | 8.06% | 84.98% | 9.38% | 85.07% | 9.03% |
| TSANN-TG-cor | 92.10% | 7.23% | 91.82% | 8.02% | 86.64% | 10.35% | 87.25% | 9.58% |
| TSANN-TG-coh | 91.27% | 7.95% | 90.26% | 8.57% | 86.53% | 10.94% | 86.76% | 10.47% |
| TSANN-TG-plv | 91.66% | 7.53% | 91.16% | 8.24% | 86.98% | 8.15% | 87.02% | 9.42% |
| TSANN-TG-pli | 91.46% | 7.13% | 91.85% | 8.06% | 86.79% | 9.38% | 87.17% | 9.03% |
| TSANN-TG fusion | 92.88% | 7.09% | 92.62% | 7.57% | 87.39% | 9.32% | 87.86% | 9.78% |
| Method | Valence | Arousal | ||||||
|---|---|---|---|---|---|---|---|---|
| mACC | std | mF1 | std | mACC | std | mF1 | std | |
| SVM-DE | 56.75% (**) | 10.32% | 58.17% (**) | 10.79% | 57.73% (**) | 11.90% | 59.92% (**) | 11.29% |
| DBN-DE | 55.70% (**) | 11.67% | 57.77% (**) | 11.38% | 59.05% (**) | 10.59% | 60.16% (**) | 11.78% |
| EEGNet | 56.41% (**) | 10.34% | 57.87% (**) | 11.50% | 58.49% (**) | 10.08% | 60.83% (**) | 12.56% |
| DeepConvNet | 60.02% (*) | 11.07% | 62.23% | 10.02% | 61.32% (*) | 11.05% | 62.64% | 12.32% |
| ShallowConvNet | 60.38% | 12.03% | 62.08% (*) | 11.76% | 61.26% (*) | 10.45% | 62.03% (*) | 11.58% |
| TSception | 60.36% | 10.08% | 62.16% | 10.25% | 62.78% | 11.23% | 63.62% | 12.03% |
| 1D CNN-GCN-MLP | 60.09% | 10.49% | 61.97% (*) | 11.74% | 61.45% | 10.49% | 62.71% | 12.17% |
| 1D CNN-GAT-MLP | 61.81% | 11.18% | 62.09% | 12.47% | 62.58% | 10.18% | 63.08% | 11.79% |
| 1D CNN-DGCNN | 61.45% | 11.13% | 62.17% | 12.37% | 62.56% | 10.39% | 63.17% | 11.96% |
| TSANN-TG-cor | 63.08% | 10.30% | 64.46% | 11.63% | 64.58% | 9.86% | 65.56% | 11.60% |
| TSANN-TG-coh | 62.86% | 11.02% | 64.03% | 12.56% | 64.05% | 10.50% | 64.63% | 12.06% |
| TSANN-TG-plv | 63.12% | 10.83% | 64.53% | 10.78% | 64.41% | 11.60% | 65.00% | 10.42% |
| TSANN-TG-pli | 63.15% | 10.98% | 64.36% | 11.03% | 64.23% | 12.10% | 65.23% | 11.03% |
| TSANN-TG fusion | 63.74% | 9.90% | 65.28% | 10.59% | 65.93% | 10.80% | 66.90% | 9.88% |
| Method | HC | Dep | |||||||
|---|---|---|---|---|---|---|---|---|---|
| 1D CNN–Attention | Task-Specific GCN–Attention | mACC | Variation | mF1 | Variation | mACC | Variation | mF1 | Variation |
| √ | 79.72% | −13.16% | 79.34% | −13.28% | 76.77% | −10.62% | 77.45% | −10.41% | |
| √ | 77.86% | −15.02% | 79.15% | −13.47% | 75.09% | −12.30% | 76.17% | −11.69% | |
| √ | √ | 92.88% | - | 92.62% | - | 87.39% | - | 87.86% | - |
| Method | Valence | Arousal | |||||||
|---|---|---|---|---|---|---|---|---|---|
| 1D CNN–Attention | Task-Specific GCN–Attention | mACC | Variation | mF1 | Variation | mACC | Variation | mF1 | Variation |
| √ | 56.29% | −7.45% | 56.45% | −8.83% | 58.30% | −7.63% | 59.33% | −7.57% | |
| √ | 56.20% | −7.54% | 57.61% | −7.67% | 58.26% | −7.67% | 59.17% | −7.73% | |
| √ | √ | 63.74% | - | 65.28% | - | 65.93% | - | 66.90% | - |
| Method | HC | Dep | |||||||
|---|---|---|---|---|---|---|---|---|---|
| Temporal Attention | Adjacency Attention | mACC | Variation | mF1 | Variation | mACC | Variation | mF1 | Variation |
| 88.98% | −3.90% | 89.36% | −3.26% | 84.36% | −3.03% | 84.38% | −3.48% | ||
| √ | 91.02% | −1.86% | 90.26% | −0.72% | 85.43% | −1.96% | 85.78% | −2.08% | |
| √ | 91.33% | −1.55% | 90.98% | −1.64% | 85.59% | −1.80% | 85.36% | −2.50% | |
| √ | √ | 92.88% | - | 92.62% | - | 87.39% | - | 87.86% | - |
| Method | Valence | Arousal | |||||||
|---|---|---|---|---|---|---|---|---|---|
| Temporal Attention | Adjacency Attention | mACC | Variation | mF1 | Variation | mACC | Variation | mF1 | Variation |
| 60.07% | −3.67% | 61.99% | −3.29% | 61.76% | −4.17% | 62.89% | −4.01% | ||
| √ | 61.25% | −2.49% | 62.17% | −3.11% | 62.49% | −3.44% | 63.43% | −3.47% | |
| √ | 61.39% | −2.35% | 63.24% | −2.04% | 62.54% | −3.39% | 63.26% | −3.64% | |
| √ | √ | 63.74% | - | 65.28% | - | 65.93% | - | 66.90% | - |
| Method | HC | Dep | |||||||||
|---|---|---|---|---|---|---|---|---|---|---|---|
| tAdj-cor | tAdj-coh | tAdj-plv | tAdj-pli | mACC | Variation | mF1 | Variation | mACC | Variation | mF1 | Variation |
| √ | √ | 92.11% | −0.77% | 91.84% | −0.78% | 86.76% | −0.63% | 87.85% | −0.01% | ||
| √ | √ | 92.18% | −0.71% | 92.59% | −0.03% | 86.95% | −0.44% | 87.35% | −0.51% | ||
| √ | √ | 92.13% | −0.75% | 91.85% | −0.77% | 87.27% | −0.12% | 87.28% | −0.58% | ||
| √ | √ | 91.87% | −1.02% | 91.21% | −1.41% | 86.43% | −0.96% | 86.96% | −0.90% | ||
| √ | √ | 91.71% | −1.17% | 91.87% | −0.75% | 86.35% | −1.04% | 87.18% | −0.68% | ||
| √ | √ | 91.82% | −1.06% | 91.83% | −0.79% | 86.46% | −0.93% | 87.29% | −0.57% | ||
| √ | √ | √ | 92.15% | −0.74% | 91.97% | −0.65% | 87.08% | −0.31% | 87.82% | −0.04% | |
| √ | √ | √ | 92.65% | −0.23% | 92.21% | −0.41% | 86.93% | −0.46% | 87.62% | −0.24% | |
| √ | √ | √ | 92.19% | −0.69% | 92.54% | −0.08% | 87.34% | −0.05% | 87.53% | −0.33% | |
| √ | √ | √ | 92.37% | −0.51% | 91.76% | −0.86% | 87.28% | −0.11% | 87.78% | −0.08% | |
| √ | √ | √ | √ | 92.88% | - | 92.62% | - | 87.39% | - | 87.86% | - |
| Method | Valence | Arousal | |||||||||
|---|---|---|---|---|---|---|---|---|---|---|---|
| tAdj_cor | tAdj_coh | tAdj_plv | tAdj_pli | mACC | Variation | mF1 | Variation | mACC | Variation | mF1 | Variation |
| √ | √ | 63.09% | −0.65% | 64.19% | −1.67% | 64.25% | −1.68% | 65.32% | −1.58% | ||
| √ | √ | 63.59% | −0.15% | 65.08% | −0.78% | 65.46% | −0.47% | 65.65% | −1.25% | ||
| √ | √ | 63.41% | −0.33% | 65.59% | −0.27% | 65.86% | −0.07% | 65.99% | −0.91% | ||
| √ | √ | 63.29% | −0.45% | 64.39% | −1.47% | 64.32% | −1.61% | 66.09% | −0.81% | ||
| √ | √ | 63.17% | −0.57% | 64.56% | −1.30% | 64.25% | −1.68% | 66.27% | −0.63% | ||
| √ | √ | 63.14% | −0.60% | 64.76% | −1.10% | 64.66% | −1.27% | 66.03% | −0.87% | ||
| √ | √ | √ | 63.15% | −0.59% | 65.29% | −0.57% | 64.94% | −0.99% | 66.58% | −0.32% | |
| √ | √ | √ | 63.30% | −0.44% | 65.26% | −0.60% | 65.65% | −0.28% | 66.83% | −0.07% | |
| √ | √ | √ | 63.64% | −0.10% | 65.58% | −0.28% | 65.82% | −0.11% | 66.42% | −0.48% | |
| √ | √ | √ | 63.53% | −0.21% | 65.51% | −0.35% | 65.75% | −0.18% | 66.77% | −0.13% | |
| √ | √ | √ | √ | 63.74% | - | 65.86% | - | 65.93% | - | 66.90% | - |
Disclaimer/Publisher’s Note: The statements, opinions and data contained in all publications are solely those of the individual author(s) and contributor(s) and not of MDPI and/or the editor(s). MDPI and/or the editor(s) disclaim responsibility for any injury to people or property resulting from any ideas, methods, instructions or products referred to in the content. |
© 2024 by the authors. Licensee MDPI, Basel, Switzerland. This article is an open access article distributed under the terms and conditions of the Creative Commons Attribution (CC BY) license (https://creativecommons.org/licenses/by/4.0/).
Share and Cite
Jiang, C.; Dai, Y.; Ding, Y.; Chen, X.; Li, Y.; Tang, Y. TSANN-TG: Temporal–Spatial Attention Neural Networks with Task-Specific Graph for EEG Emotion Recognition. Brain Sci. 2024, 14, 516. https://doi.org/10.3390/brainsci14050516
Jiang C, Dai Y, Ding Y, Chen X, Li Y, Tang Y. TSANN-TG: Temporal–Spatial Attention Neural Networks with Task-Specific Graph for EEG Emotion Recognition. Brain Sciences. 2024; 14(5):516. https://doi.org/10.3390/brainsci14050516
Chicago/Turabian StyleJiang, Chao, Yingying Dai, Yunheng Ding, Xi Chen, Yingjie Li, and Yingying Tang. 2024. "TSANN-TG: Temporal–Spatial Attention Neural Networks with Task-Specific Graph for EEG Emotion Recognition" Brain Sciences 14, no. 5: 516. https://doi.org/10.3390/brainsci14050516
APA StyleJiang, C., Dai, Y., Ding, Y., Chen, X., Li, Y., & Tang, Y. (2024). TSANN-TG: Temporal–Spatial Attention Neural Networks with Task-Specific Graph for EEG Emotion Recognition. Brain Sciences, 14(5), 516. https://doi.org/10.3390/brainsci14050516

