Self-Choice Emotion Regulation Enhances Stress Reduction: Neural Basis of Self-Choice Emotion Regulation
Abstract
1. Introduction
2. Materials and Methods
2.1. Pilot Study
2.1.1. Purpose-Pilot Study
2.1.2. Participants-Pilot Study
2.1.3. Stimuli-Pilot Study
2.1.4. Task-Pilot Study
2.2. fMRI Experiment
2.2.1. Purpose-fMRI Experiment
2.2.2. Participants-fMRI Experiment
2.2.3. Stimuli-fMRI Experiment
2.2.4. Measures-fMRI Experiment
2.2.5. Task-fMRI Experiment
- Selection part: After the stress-level rating, participants were presented with five text alternatives and were asked to choose one for 16 s (selection part). We provided five options because a meta-analysis reported that self-choice had the largest effect when participants were provided with three to five options [8]. We set three conditions–choice, forced, and control–each comprising 12 stimuli. The order of the conditions (three conditions) and stimuli (three sets, each containing 12 stimuli) was counterbalanced using a three-Latin-square design. In the choice condition, participants chose one ER strategy from the five strategies mentioned above, i.e., positive reappraisal, putting into perspective, acceptance, positive refocusing, and refocus on planning. In the forced condition, the participants were instructed to choose a predetermined (star-marked) ER strategy from five sentences using the same strategy. We selected a strategy for use under the forced condition based on the results of our pilot study. In the pilot study, we confirmed that the strategies used in the forced condition yielded the highest appropriate scores for each situation. Therefore, the types of strategies used differ slightly. The use frequency of each type of strategy was as follows: refocus on planning, 67.48%; acceptance, 29.62%); and positive reappraisal, 2.90%. In the control condition, we asked participants to choose one sentence to explain the situation selected in the pilot study. This decision-making task included the understanding of each circumstance but did not include the emotional process.
- ER or staying part: After selection, the participants performed the ER strategy or stayed silent for 8 s (ER or staying part). In the choice condition, the participants performed the ER strategy that they chose to use during the selection part. In the forced condition, participants performed the predominant ER strategy. The participants were instructed to perform putting into perspective and acceptance by repeating the strategy sentences in their minds. Participants were asked to perform positive reappraisal, positive refocusing, and refocus on planning by reading strategy sentences once, thinking about how to deal with each situation, then repeating each idea in their mind. In the control condition, participants did nothing silently in the MRI scanner during the ER or staying part. Therefore, in the control condition, participants did not perform ER. After the ER or staying part, the participants were asked to rate their stress level again, as well as the effectiveness of the strategy, in both the choice and forced conditions using a seven-point Likert scale.
2.2.6. General Procedure
2.2.7. Brain Imaging Data Acquisition
2.2.8. Data Analysis
- Behavioral data analysis: First, we calculated the frequency of use of each strategy in the choice condition. Secondly, we performed a linear mixed-model analysis to examine whether the degree of stress after the ER or staying part differed by condition. The model was a random-intercept model with stress level as the objective variable, condition (choice, forced, or control condition) and time (pre- and post-ER or staying) and their interaction terms as explanatory variables, and the subject as a random effect. To test the hypothesis that the stress level after ER or staying would be the lowest in the choice condition, we compared the choice vs. forced condition and the choice vs. control condition with corrections for multiple comparisons using Holm’s method. Thirdly, we tested whether the subjective effectiveness of ER strategies differed across conditions. We used a linear mixed model of a random intercept in which the objective variable was subjective effectiveness, the explanatory variable was the condition, and the random effect was the subject. Because subjective effectiveness was rated only in the choice and forced conditions, two conditions discounted the control condition. We used the “lmerTest” and “ppcor” R packages (version 3.5.3) for statistical analyses of behavioral data. The significance threshold was set at p < 0.05.
- fMRI data analysis: To distinguish between brain activation related to choosing a strategy and that relates to its execution, we performed two types of first-level analyses. First, to identify the brain regions involved in choosing a strategy, we used a general linear model (GLM) to investigate the blood oxygen level-dependent (BOLD) signal during the target periods (16 s for the selection part) at a first level. The design matrix for the first-level analysis contained three regressors for the conditions (choice, forced, and control) and six motion regressors. Contrasting images were generated for each condition. In the second-level analysis, we examined the brain regions involved in ER, comparing choice and control conditions by performing t-tests on beta maps of contrasts. Secondly, to determine the brain regions involved in ER, we applied a GLM to model the BOLD signal during the target periods (8 s for the ER or staying part) in the first-level analysis. The design matrix for the first-level analysis contained three regressors for the conditions (choice, forced, and control) and six motion regressors. Contrasting images were generated for each condition. For the second-level analysis, a flexible factorial design was applied to compare the brain activation of regions involved in ER relative to the control condition. We examined brain regions that showed greater activity in the forced and choice conditions than in the control. In addition, to examine the brain regions specifically involved in the self-choice ER strategy, we searched for brain regions that showed greater activity in the choice condition than in the forced condition. To determine the common brain regions between self-choice and forced ER, we conducted a conjunction analysis at the voxel level. The statistical threshold was set at p < 0.05, and family-wise error was corrected at the voxel level. Finally, we examined the relationship between brain activity related to self-choice ER strategies and stress reduction. For these analyses, we calculated the beta values of the voxels surviving the subtraction of brain activation in the control condition from that in the choice condition. We evaluated the stress reduction level as the difference between the stress levels recorded pre and post ER in the choice condition. We then performed a partial correlation analysis, in which the above-mentioned beta values and stress reduction levels were analyzed. Similarly, we tested the partial correlation between the beta values of the forced condition and the stress reduction level. We included the pre-ER stress values as covariates of no interest. We used the SPM Neuromorphometrics atlas for all analyses.
3. Results
3.1. Behavioral Data Results
3.1.1. Frequency of Use of Each ER Strategy in the Choice Condition
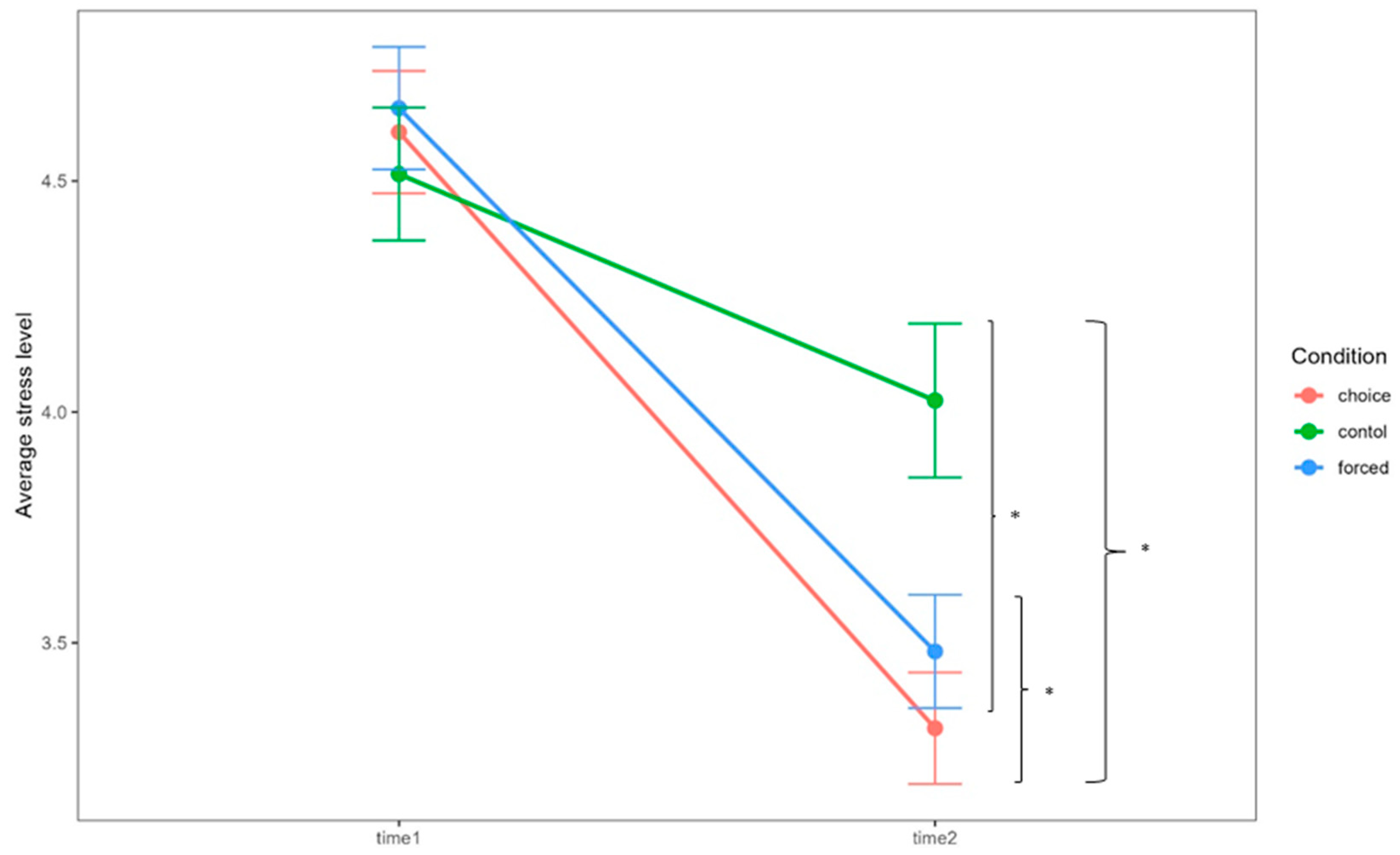
3.1.2. Stress Reduction
3.1.3. Subjective Effectiveness of the Used Strategy
3.2. fMRI Data Results
3.2.1. Brain Activation While Choosing a Strategy in the Choice Condition
3.2.2. Brain Activation During Performance of Forced ER Strategies
3.2.3. Brain Activation While Performing Self-Choice ER Strategies
3.2.4. Shared Brain Activation Between Self-Choice and Forced ER
3.2.5. Correlated Brain Regions Between Self-Choice ER and Stress Reduction
4. Discussion
5. Conclusions
Supplementary Materials
Author Contributions
Funding
Institutional Review Board Statement
Informed Consent Statement
Data Availability Statement
Acknowledgments
Conflicts of Interest
References
- Gross, J.J. The Emerging Field of Emotion Regulation: An Integrative Review. Rev. Gen. Psychol. 1998, 2, 271–299. [Google Scholar] [CrossRef]
- Thompson, R.A. Emotion Regulation: A Theme in Search of Definition. Monogr. Soc. Res. Child Dev. 1994, 59, 25–52. [Google Scholar] [CrossRef] [PubMed]
- Wang, M.; Saudino, K.J. Emotion Regulation and Stress. J. Adult Dev. 2011, 18, 95–103. [Google Scholar] [CrossRef]
- Sheppes, G.; Scheibe, S.; Suri, G.; Radu, P.; Blechert, J.; Gross, J.J. Emotion Regulation Choice: A Conceptual Framework and Supporting Evidence. J. Exp. Psychol. Gen. 2014, 143, 163–181. [Google Scholar] [CrossRef]
- Parfitt, G.; Gledhill, C. The Effect of Choice of Exercise Mode on Psychological Responses. Psychol. Sport Exerc. 2004, 5, 111–117. [Google Scholar] [CrossRef]
- DuBrow, S.; Eberts, E.A.; Murty, V.P. A Common Mechanism Underlying Choice’s Influence on Preference and Memory. Psychon. Bull. Rev. 2019, 26, 1958–1966. [Google Scholar] [CrossRef]
- Murayama, K.; Matsumoto, M.; Izuma, K.; Sugiura, A.; Ryan, R.M.; Deci, E.L.; Matsumoto, K. How Self-Determined Choice Facilitates Performance: A Key Role of the Ventromedial Prefrontal Cortex. Cereb. Cortex 2015, 25, 1241–1251. [Google Scholar] [CrossRef] [PubMed]
- Patall, E.A.; Cooper, H.; Robinson, J.C. The Effects of Choice on Intrinsic Motivation and Related Outcomes: A Meta-Analysis of Research Findings. Psychol. Bull. 2008, 134, 270–300. [Google Scholar] [CrossRef]
- Ryan, R.M.; Deci, E.L. Self-Determination Theory and the Facilitation of Intrinsic Motivation, Social Development, and Well-Being. Am. Psychol. 2000, 55, 68–78. [Google Scholar] [CrossRef]
- Matthews, M.; Webb, T.L.; Shafir, R.; Snow, M.; Sheppes, G. Identifying the Determinants of Emotion Regulation Choice: A Systematic Review with Meta-Analysis. Cogn. Emot. 2021, 35, 1056–1084. [Google Scholar] [CrossRef]
- Kühn, S.; Haggard, P.; Brass, M. Differences between Endogenous and Exogenous Emotion Inhibition in the Human Brain. Brain Struct. Funct. 2014, 219, 1129–1138. [Google Scholar] [CrossRef] [PubMed]
- McRae, K.; Gross, J.J. Emotion Regulation. Emotion 2020, 20, 1–9. [Google Scholar] [CrossRef]
- Grundmann, F.; Epstude, K.; Scheibe, S. Whether and How to Regulate: Emotion Regulation in Negative-Feedback Situations. J. Exp. Psychol. Gen. 2024, 153, 1281–1308. [Google Scholar] [CrossRef] [PubMed]
- Ortner, C.N.M.; Grapes, A.; Stoney, M. The Effect of Temporal Goals on Emotion Regulation Choice: A Replication and Extension. Cogn. Emot. 2021, 35, 1248–1255. [Google Scholar] [CrossRef] [PubMed]
- Horner, S.; Burleigh, L.; Traylor, Z.; Greening, S.G. Looking on the Bright Side: The Impact of Ambivalent Images on Emotion Regulation Choice. Cogn. Emot. 2023, 37, 1213–1229. [Google Scholar] [CrossRef] [PubMed]
- Ortner, C.N.M.; Stoney, M.; Horst, A. Reappraisal Affordances: A Replication of Suri et al. (2018) and Investigation of Alternate Predictors of Reappraisal Choice. Cogn. Emot. 2023, 37, 1006–1013. [Google Scholar] [CrossRef]
- Rammensee, R.A.; Morawetz, C.; Basten, U. Individual Differences in Emotion Regulation: Personal Tendency in Strategy Selection Is Related to Implementation Capacity and Well-Being. Emotion 2023, 23, 2331–2343. [Google Scholar] [CrossRef]
- Wenzel, M.; Bürgler, S.; Brandstätter, V.; Kreibich, A.; Hennecke, M. Self-Regulatory Strategy Use, Efficacy, and Strategy-Situation-Fit in Self-Control Conflicts of Initiation, Persistence, and Inhibition. Eur. J. Personal. 2024, 38, 189–208. [Google Scholar] [CrossRef]
- Garnefski, N.; Kraaij, V.; Spinhoven, P. Negative Life Events, Cognitive Emotion Regulation and Emotional Problems. Personal. Individ. Differ. 2001, 30, 1311–1327. [Google Scholar] [CrossRef]
- Frank, D.W.; Dewitt, M.; Hudgens-Haney, M.; Schaeffer, D.J.; Ball, B.H.; Schwarz, N.F.; Hussein, A.A.; Smart, L.M.; Sabatinelli, D. Emotion Regulation: Quantitative Meta-Analysis of Functional Activation and Deactivation. Neurosci. Biobehav. Rev. 2014, 45, 202–211. [Google Scholar] [CrossRef]
- Etkin, A.; Büchel, C.; Gross, J.J. The Neural Bases of Emotion Regulation. Nat. Rev. Neurosci. 2015, 16, 693–700. [Google Scholar] [CrossRef] [PubMed]
- Buhle, J.T.; Silvers, J.A.; Wage, T.D.; Lopez, R.; Onyemekwu, C.; Kober, H.; Webe, J.; Ochsner, K.N. Cognitive Reappraisal of Emotion: A Meta-Analysis of Human Neuroimaging Studies. Cereb. Cortex 2014, 24, 2981–2990. [Google Scholar] [CrossRef] [PubMed]
- Morawetz, C.; Bode, S.; Derntl, B.; Heekeren, H.R. The Effect of Strategies, Goals and Stimulus Material on the Neural Mechanisms of Emotion Regulation: A Meta-Analysis of FMRI Studies. Neurosci. Biobehav. Rev. 2017, 72, 111–128. [Google Scholar] [CrossRef] [PubMed]
- Tafarodi, R.W.; Milne, A.B.; Smith, A.J. The Confidence of Choice: Evidence for an Augmentation Effect on Self-Perceived Performance. Personal. Soc. Psychol. Bull. 1999, 25, 1405–1416. [Google Scholar] [CrossRef]
- Henry, R.; Sniezek, J. Situational Factors Affecting Judgments of Future Performance. Organ. Behav. Hum. Decis. Process. 1993, 54, 104–132. [Google Scholar] [CrossRef]
- Leotti, L.A.; Iyengar, S.S.; Ochsner, K.N. Born to Choose: The Origins and Value of the Need for Control. Trends Cogn. Sci. 2010, 14, 457–463. [Google Scholar] [CrossRef]
- Andrewes, D.G.; Jenkins, L.M. The Role of the Amygdala and the Ventromedial Prefrontal Cortex in Emotional Regulation: Implications for Post-Traumatic Stress Disorder. Neuropsychol. Rev. 2019, 29, 220–243. [Google Scholar] [CrossRef]
- Leotti, L.A.; Delgado, M.R. The Inherent Reward of Choice. Psychol. Sci. 2011, 22, 1310–1318. [Google Scholar] [CrossRef]
- Sekiguchi, A.; Sugiura, M.; Yokoyama, S.; Sassa, Y.; Horie, K.; Sato, S.; Kawashima, R. Neural Correlates of Adaptive Social Responses to Real-Life Frustrating Situations: A Functional MRI Study. BMC Neurosci. 2013, 14, 29. [Google Scholar] [CrossRef]
- Sakakibara, R. The Usage Tendency of and the Relation with Psychological Health of Cognitive Emotion Regulation: Development of Japanese-Version Cognitive Emotion Regulation Questionnaire and Focus on the Effects of Negative Emotional Intensity. Jpn. J. Res. Emot. 2015, 23, 46–58. [Google Scholar] [CrossRef]
- Shima, S.; Shikano, T.; Kitamura, T.; Asai, M. New Self-Rating Scales for Depression. Clin. Psychiatry 1985, 27, 717–723. [Google Scholar]
- Abler, B.; Hofer, C.; Walter, H.; Erk, S.; Hoffmann, H.; Traue, H.C.; Kessler, H. Habitual Emotion Regulation Strategies and Depressive Symptoms in Healthy Subjects Predict FMRI Brain Activation Patterns Related to Major Depression. Psychiatry Res. Neuroimaging 2010, 183, 105–113. [Google Scholar] [CrossRef] [PubMed]
- Cosme, D.; Mobasser, A.; Zeithamova, D.; Berkman, E.T.; Pfeifer, J.H. Choosing to Regulate: Does Choice Enhance Craving Regulation? Soc. Cogn. Affect. Neurosci. 2018, 13, 300–309. [Google Scholar] [CrossRef] [PubMed]
- Peirce, J.; Gray, J.R.; Simpson, S.; MacAskill, M.; Höchenberger, R.; Sogo, H.; Kastman, E.; Lindeløv, J.K. PsychoPy2: Experiments in Behavior Made Easy. Behav. Res. Methods 2019, 51, 195–203. [Google Scholar] [CrossRef]
- Kobylińska, D.; Kusev, P. Flexible Emotion Regulation: How Situational Demands and Individual Differences Influence the Effectiveness of Regulatory Strategies. Front. Psychol. 2019, 10, 72. [Google Scholar] [CrossRef]
- Cook, D.A.; Artino, A.R. Motivation to Learn: An Overview of Contemporary Theories. Med. Educ. 2016, 50, 997–1014. [Google Scholar] [CrossRef]
- Allen, M.S.; Iliescu, D.; Greiff, S. Single Item Measures in Psychological Science: A Call to Action. Eur. J. Psychol. Assess. 2022, 38, 1–5. [Google Scholar] [CrossRef]
- Li, W.; Xie, K.; Ngetich, R.K.; Zhang, J.; Jin, Z.; Li, L. Inferior Frontal Gyrus-Based Resting-State Functional Connectivity and Medium Dispositional Use of Reappraisal Strategy. Front. Neurosci. 2021, 15, 681859. [Google Scholar] [CrossRef]
- Yang, Y.; Tosaka, E.; Yang, X.; Imamura, K.; Lei, X.; Wang, G.; Hu, B.; Lu, S.; Zhong, N. Shift of brain-state during recovery from discomfort induced by aversive pictures. In Proceedings of the Brain Informatics and Health: International Conference, BIH 2014, Warsaw, Poland, 11–14 August 2014; Lecture Notes in Computer Science (Including Subseries Lecture Notes in Artificial Intelligence (LNAI) and Lecture Notes in Bioinformatics); Springer: Cham, Switzerland, 2014; Volume 8609, pp. 45–56. [Google Scholar] [CrossRef]
- Morawetz, C.; Riedel, M.C.; Salo, T.; Berboth, S.; Eickhoff, S.B.; Laird, A.R.; Kohn, N. Multiple Large-Scale Neural Networks Underlying Emotion Regulation. Neurosci. Biobehav. Rev. 2020, 116, 382–395. [Google Scholar] [CrossRef]
- Engen, H.; Kanske, P. How Working Memory Training Improves Emotion Regulation: Neural Efficiency, Effort, and Transfer Effects. J. Neurosci. 2013, 33, 12152–12153. [Google Scholar] [CrossRef]
- Culham, J.C.; Kanwisher, N.G. Neuroimaging of Cognitive Functions in Human Parietal Cortex. Curr. Opin. Neurobiol. 2001, 11, 157–163. [Google Scholar] [CrossRef] [PubMed]
- Silk, T.J.; Bellgrove, M.A.; Wrafter, P.; Mattingley, J.B.; Cunnington, R. Spatial Working Memory and Spatial Attention Rely on Common Neural Processes in the Intraparietal Sulcus. Neuroimage 2010, 53, 718–724. [Google Scholar] [CrossRef]
- Mccandliss, B.D.; Cohen, L.; Dehaene, S. The Visual Word Form Area: Expertise for Reading in the Fusiform Gyrus. Trends Cogn. Sci. 2003, 7, 293–299. [Google Scholar] [CrossRef] [PubMed]
- Klein, I.; Paradis, A.L.; Poline, J.B.; Kosslyn, S.M.; Le Bihan, D. Transient Activity in the Human Calcarine Cortex during Visual-Mental Imagery: An Event-Related FMRI Study. J. Cogn. Neurosci. 2000, 12, 15–23. [Google Scholar] [CrossRef] [PubMed]
- Knutson, B.; Adams, C.M.; Fong, G.W.; Hommer, D. Anticipation of Increasing Monetary Reward Selectively Recruits Nucleus Accumbens. J. Neurosci. 2001, 21, RC159. [Google Scholar] [CrossRef]
- Kohn, N.; Eickhoff, S.B.; Scheller, M.; Laird, A.R.; Fox, P.T.; Habel, U. Neural Network of Cognitive Emotion Regulation—An ALE Meta-Analysis and MACM Analysis. Neuroimage 2014, 87, 345–355. [Google Scholar] [CrossRef]
- Boemo, T.; Nieto, I.; Vazquez, C.; Sanchez-Lopez, A. Relations between Emotion Regulation Strategies and Affect in Daily Life: A Systematic Review and Meta-Analysis of Studies Using Ecological Momentary Assessments. Neurosci. Biobehav. Rev. 2022, 139, 104747. [Google Scholar] [CrossRef]
- Hermann, A.; Neudert, M.K.; Schäfer, A.; Zehtner, R.I.; Fricke, S.; Seinsche, R.J.; Stark, R. Lasting Effects of Cognitive Emotion Regulation: Neural Correlates of Reinterpretation and Distancing. Soc. Cogn. Affect. Neurosci. 2021, 16, 268–279. [Google Scholar] [CrossRef]
- Westermann, S.; Boden, M.T.; Gross, J.J.; Lincoln, T.M. Maladaptive Cognitive Emotion Regulation Prospectively Predicts Subclinical Paranoia. Cogn. Ther. Res. 2013, 37, 881–885. [Google Scholar] [CrossRef]
- Martin, R.C.; Dahlen, E.R. Cognitive Emotion Regulation in the Prediction of Depression, Anxiety, Stress, and Anger. Personal. Individ. Differ. 2005, 39, 1249–1260. [Google Scholar] [CrossRef]
- Mcrae, K.; Hughes, B.; Chopra, S.; Gabrieli, J.D.E.; Gross, J.J.; Ochsner, K.N. The Neural Bases of Distraction and Reappraisal. J. Cogn. Neurosci. 2010, 22, 248–262. [Google Scholar] [CrossRef] [PubMed]
- Kanske, P.; Heissler, J.; Schönfelder, S.; Bongers, A.; Wessa, M. How to Regulate Emotion? Neural Networks for Reappraisal and Distraction. Cereb. Cortex 2011, 21, 1379–1388. [Google Scholar] [CrossRef] [PubMed]
- Raccanello, D.; Brondino, M.; Moè, A. Malleability Beliefs Shape Mathematics-Related Achievement Emotions: The Mediating Role of Emotion Regulation in Primary School Children. Learn. Individ. Differ. 2022, 97, 102177. [Google Scholar] [CrossRef]




| Area | Hemisphere | t Value | MNI Peak Coordinates | p Value | k | ||
|---|---|---|---|---|---|---|---|
| x | y | z | |||||
| Lingual gyrus * | L | 8.35 | −10 | −78 | 0 | <0.001 | 2201 |
| L | 8.21 | −10 | −70 | −6 | <0.001 | ||
| Cuneus | L | 7.61 | 0 | −80 | 22 | <0.001 | |
| Frontal pole | L | 5.27 | −12 | 64 | 2 | 0.011 | 12 |
| Frontal pole | R | 5.18 | 10 | 62 | 2 | 0.014 | 19 |
| Caudate | L | 4.90 | −10 | 16 | 12 | 0.036 | 2 |
| Superior frontal gyrus | R | 4.85 | 18 | 50 | 8 | 0.042 | 1 |
| Middle frontal gyrus | L | 4.82 | 0 | 50 | −8 | 0.047 | 1 |
| Area | Hemisphere | t Value | MNI Peak Coordinates | p Value | k | ||
|---|---|---|---|---|---|---|---|
| x | y | z | |||||
| Supplementary motor area * | L | 7.97 | −6 | 12 | 62 | <0.001 | 764 |
| 6.45 | −6 | 20 | 50 | <0.001 | |||
| 5.70 | −4 | 24 | 40 | 0.002 | |||
| Middle frontal gyrus | L | 7.31 | −46 | 4 | 52 | <0.001 | 307 |
| Opercular part of the inferior frontal gyrus | L | 6.52 | −50 | 20 | 18 | <0.001 | 570 |
| Frontal operculum | L | 5.60 | −50 | 18 | −6 | 0.003 | |
| Opercular part of the inferior frontal gyrus | L | 5.45 | −50 | 20 | 4 | 0.006 | |
| Middle temporal gyrus | L | 5.90 | −52 | −38 | −4 | 0.001 | 215 |
| 5.02 | −54 | −24 | −8 | 0.025 | |||
| Fusiform gyrus | L | 5.77 | −30 | −44 | −14 | 0.002 | 23 |
| Temporal pole | L | 5.17 | −48 | 10 | −22 | 0.015 | 13 |
| Temporal pole | 5.12 | −40 | 14 | −24 | 0.018 | 21 | |
| Caudate | L | 5.10 | −14 | 10 | 10 | 0.020 | 26 |
| Area | Hemisphere | t Value | MNI Peak Coordinates | p Value | k | ||
|---|---|---|---|---|---|---|---|
| x | y | z | |||||
| Supplementary motor area * | L | 7.52 | −6 | 10 | 64 | <0.001 | 674 |
| Precentral gyrus | L | 6.34 | −46 | 2 | 50 | <0.001 | 193 |
| Frontal operculum | L | 5.36 | −48 | 14 | −6 | 0.001 | 321 |
| Opercular part of the inferior frontal gyrus | 5.21 | −50 | 20 | 10 | 0.002 | ||
| Middle temporal gyrus | L | 5.03 | −54 | −26 | −8 | 0.005 | 83 |
| Caudate | L | 4.92 | −16 | 10 | 12 | 0.008 | 23 |
| Area | Hemisphere | t Value | MNI Peak Coordinates | Uncorrected p Value | k | ||
|---|---|---|---|---|---|---|---|
| x | y | z | |||||
| Supramarginal gyrus * | R | 3.87 | 54 | −40 | 50 | <0.001 | 117 |
| Superior parietal lobule | R | 3.39 | 42 | −46 | 56 | 0.001 | |
| Postcentral gyrus | L | 3.24 | −64 | −16 | 24 | 0.001 | 2 |
| Area | Hemisphere | t Value | MNI Peak Coordinates | p Value | k | ||
|---|---|---|---|---|---|---|---|
| x | y | z | |||||
| Calcarine cortex * | R | 9.79 | 12 | −78 | 0 | <0.001 | 837 |
| L | 6.95 | −12 | −80 | 0 | <0.001 | ||
| Fusiform gyrus | L | 5.77 | −30 | −78 | −16 | 0.002 | 55 |
| Fusiform gyrus | R | 4.98 | 32 | −74 | −10 | 0.029 | 4 |
| Area | Hemisphere | t Value | MNI Peak Coordinates | p Value | k | ||
|---|---|---|---|---|---|---|---|
| x | y | z | |||||
| Supplementary motor area * | L | 7.97 | −6 | 12 | 62 | <0.001 | 469 |
| Middle frontal gyrus | L | 7.22 | −44 | 4 | 52 | <0.001 | 182 |
| Opercular part of the inferior frontal gyrus | L | 5.69 | −50 | 20 | 12 | 0.002 | 188 |
| Frontal operculum | L | 5.60 | −50 | 18 | −6 | 0.003 | |
| Opercular part of the inferior frontal gyrus | L | 5.41 | −52 | 20 | 4 | 0.007 | |
| Middle temporal gyrus | L | 5.17 | −52 | −32 | −6 | 0.016 | 45 |
| L | 5.02 | −54 | −24 | −8 | 0.025 | ||
| Caudate | L | 5.08 | −14 | 10 | 10 | 0.021 | 11 |
Disclaimer/Publisher’s Note: The statements, opinions and data contained in all publications are solely those of the individual author(s) and contributor(s) and not of MDPI and/or the editor(s). MDPI and/or the editor(s) disclaim responsibility for any injury to people or property resulting from any ideas, methods, instructions or products referred to in the content. |
© 2024 by the authors. Licensee MDPI, Basel, Switzerland. This article is an open access article distributed under the terms and conditions of the Creative Commons Attribution (CC BY) license (https://creativecommons.org/licenses/by/4.0/).
Share and Cite
Imajo, N.; Matsuzaki, Y.; Kobayashi, A.; Sakaki, K.; Nouchi, R.; Kawashima, R. Self-Choice Emotion Regulation Enhances Stress Reduction: Neural Basis of Self-Choice Emotion Regulation. Brain Sci. 2024, 14, 1077. https://doi.org/10.3390/brainsci14111077
Imajo N, Matsuzaki Y, Kobayashi A, Sakaki K, Nouchi R, Kawashima R. Self-Choice Emotion Regulation Enhances Stress Reduction: Neural Basis of Self-Choice Emotion Regulation. Brain Sciences. 2024; 14(11):1077. https://doi.org/10.3390/brainsci14111077
Chicago/Turabian StyleImajo, Nozomi, Yutaka Matsuzaki, Akiko Kobayashi, Kohei Sakaki, Rui Nouchi, and Ryuta Kawashima. 2024. "Self-Choice Emotion Regulation Enhances Stress Reduction: Neural Basis of Self-Choice Emotion Regulation" Brain Sciences 14, no. 11: 1077. https://doi.org/10.3390/brainsci14111077
APA StyleImajo, N., Matsuzaki, Y., Kobayashi, A., Sakaki, K., Nouchi, R., & Kawashima, R. (2024). Self-Choice Emotion Regulation Enhances Stress Reduction: Neural Basis of Self-Choice Emotion Regulation. Brain Sciences, 14(11), 1077. https://doi.org/10.3390/brainsci14111077

