Evidence of Audience Design in Amnesia: Adaptation in Gesture but Not Speech
Abstract
:1. Introduction
1.1. Speakers Adjust their Speech for the Listener
1.2. Speakers Adjust Their Gestures for the Listener
1.3. Hippocampal Contributions to Language and Social Behavior
1.4. Current Study
2. Materials and Methods
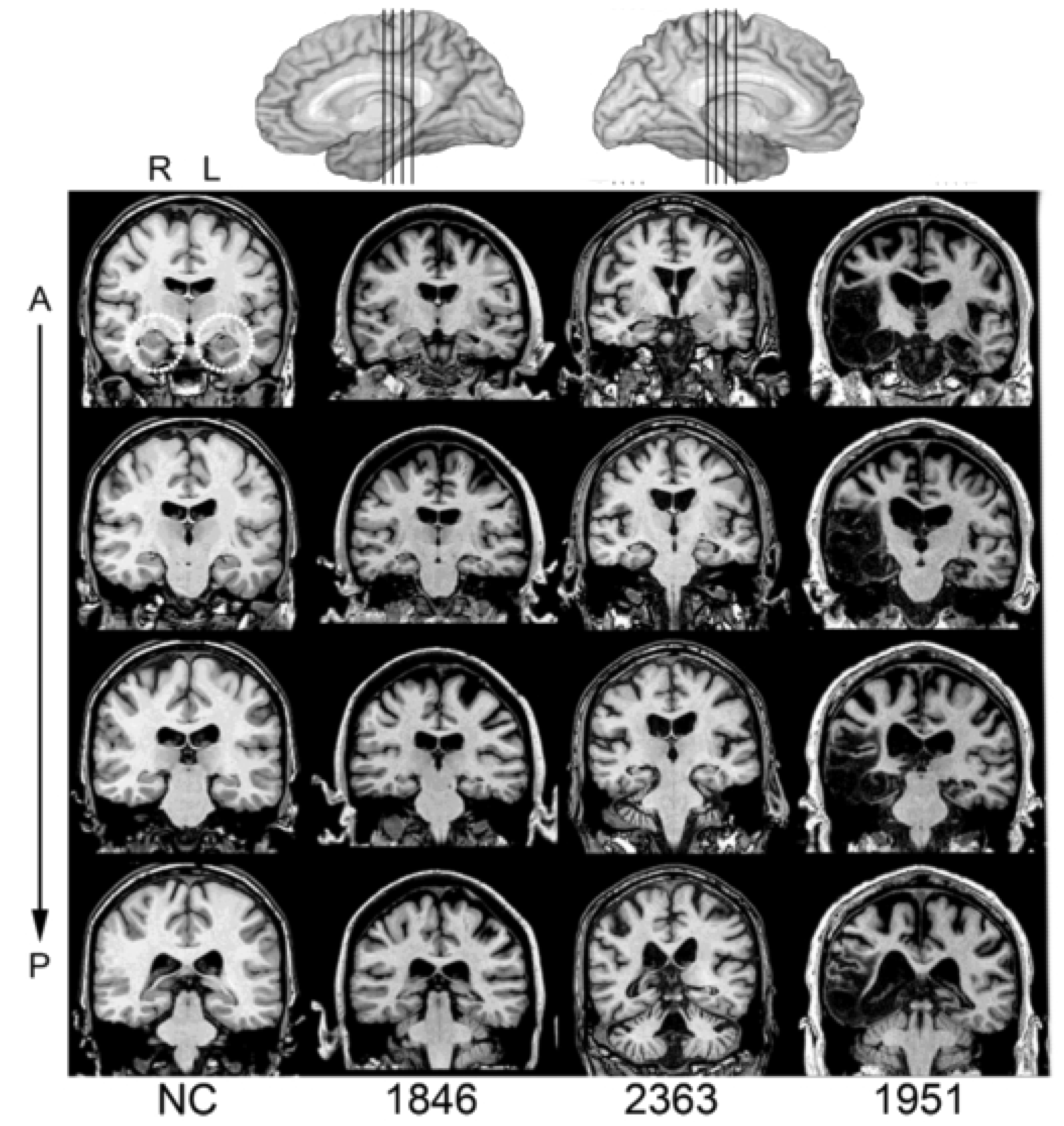
2.1. Participants
2.2. Procedure
2.2.1. Gesture Coding
2.2.2. Speech Coding
2.3. Analysis
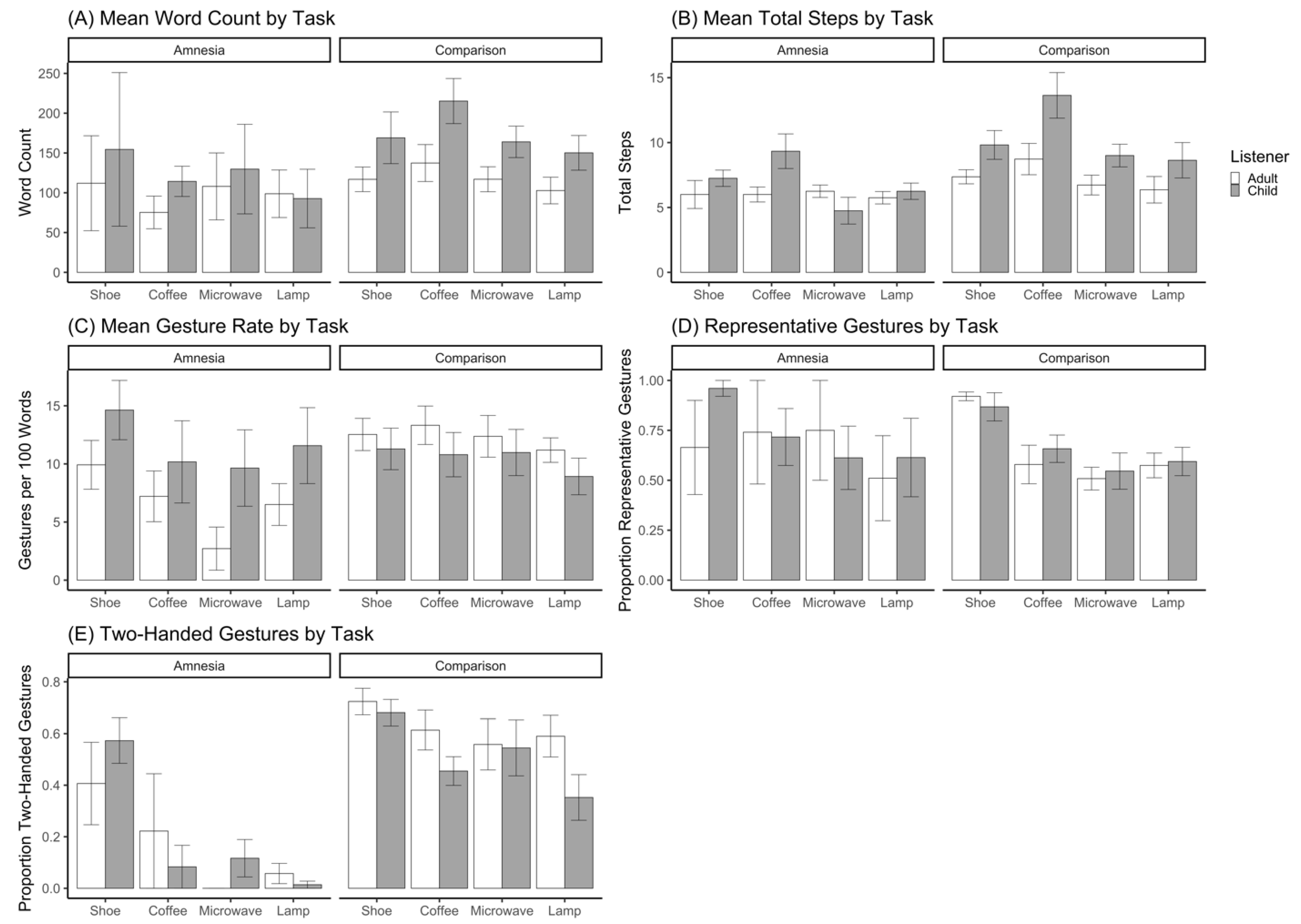
3. Results
3.1. Speech
3.1.1. Word Count
3.1.2. Total Steps
3.1.3. Speech Acts
3.2. Gesture
3.2.1. Gesture Rate
3.2.2. Gesture Informativeness
4. Discussion
4.1. Hippocampal Contributions to Audience Design in Speech
4.2. Hippocampal Contributions to Audience Design in Gesture
4.3. Gesture as a Window into Social Cognition and Social Communication
4.4. Limitations and Methodological Considerations for Future Studies
5. Conclusions
Supplementary Materials
Author Contributions
Funding
Institutional Review Board Statement
Informed Consent Statement
Data Availability Statement
Acknowledgments
Conflicts of Interest
Appendix A. Mixed Effect Models
| Fixed Effects | Estimate | Std. Error | z Value | Pr (>|z|) | |
|---|---|---|---|---|---|
| (Intercept) | 4.591 | 0.239 | 19.252 | <0.001 | |
| Group | 0.307 | 0.269 | 1.139 | 0.255 | |
| Listener | 0.176 | 0.116 | 1.514 | 0.130 | |
| Group:Listener | 0.196 | 0.133 | 1.468 | 0.142 | |
| Random effects | Variance | SD | |||
| Participant | (Intercept) | 0.199 | 0.447 | ||
| Task | (Intercept) | 0.015 | 0.121 |
| Fixed Effects | Estimate | Std. Error | z Value | Pr (>|z|) | |
|---|---|---|---|---|---|
| (Intercept) | 1.845 | 0.164 | 11.248 | <0.001 | |
| Group | 0.264 | 0.171 | 1.548 | 0.122 | |
| Listener | 0.115 | 0.144 | 0.799 | 0.425 | |
| Group:Listener | 0.227 | 0.162 | 1.404 | 0.160 | |
| Random effects | Variance | SD | |||
| Participant | (Intercept) | 0.065 | 0.256 | ||
| Task | (Intercept) | 0.021 | 0.145 |
| Fixed Effects | Estimate | Std. Error | z Value | Pr (>|z|) | |
|---|---|---|---|---|---|
| (Intercept) | 1.370 | 0.138 | 9.899 | <0.001 | |
| Group | 0.070 | 0.104 | 0.671 | 0.502 | |
| Listener | 0.050 | 0.182 | 0.273 | 0.785 | |
| Group:Listener | 0.045 | 0.209 | 0.217 | 0.828 | |
| Random effects | Variance | SD | |||
| Task | (Intercept) | 0.043 | 0.208 |
| Fixed Effects | Estimate | Std. Error | z Value | Pr (>|z|) | |
|---|---|---|---|---|---|
| (Intercept) | 0.788 | 0.315 | 2.505 | <0.001 | |
| Group | 0.486 | 0.293 | 1.660 | 0.097 | |
| Listener | 0.230 | 0.238 | 0.965 | 0.335 | |
| Group:Listener | 0.362 | 0.260 | 1.393 | 0.164 | |
| Random effects | Variance | SD | |||
| Participant | (Intercept) | 0.198 | 0.445 | ||
| Task | (Intercept) | 0.138 | 0.371 |
| Fixed Effects | Estimate | Std. Error | z Value | Pr (>|z|) | |
|---|---|---|---|---|---|
| (Intercept) | 0.352 | 0.372 | 0.946 | 0.344 | |
| Group | 0.343 | 0.362 | 0.948 | 0.343 | |
| Listener | 0.174 | 0.337 | 0.515 | 0.606 | |
| Group:Listener | 0.332 | 0.368 | 0.902 | 0.367 | |
| Random effects | Variance | SD | |||
| Participant | (Intercept) | 0.300 | 0.547 | ||
| Listener | 0.097 | 0.312 | |||
| Task | (Intercept) | 0.156 | 0.395 |
| Fixed Effects | Estimate | Std. Error | df | t Value | Pr (>|t|) | |
|---|---|---|---|---|---|---|
| (Intercept) | 9.090 | 2.064 | 13.968 | 4.404 | <0.001 | |
| Group | 2.335 | 2.363 | 13.142 | 0.988 | 0.341 | |
| Listener | 4.844 | 2.142 | 13.320 | 2.262 | 0.041 | |
| Group:Listener | −6.701 | 2.493 | 13.160 | −2.688 | 0.018 | |
| Random effects | Variance | SD | ||||
| Participant | (Intercept) | 14.818 | 3.849 | |||
| Listener | 11.993 | 3.463 | ||||
| Task | (Intercept) | 0.618 | 0.786 |
| Fixed Effects | Estimate | Std. Error | df | t Value | Pr (>|t|) | |
|---|---|---|---|---|---|---|
| (Intercept) | 11.425 | 1.279 | 14.056 | 8.933 | <0.001 | |
| Group | −2.335 | 2.363 | 13.142 | −0.988 | 0.341 | |
| Listener | −1.857 | 1.276 | 12.722 | −1.456 | 0.170 | |
| Group:Listener | 6.701 | 2.493 | 13.160 | 2.688 | 0.019 | |
| Random effects | Variance | SD | ||||
| Participant | (Intercept) | 14.818 | 3.849 | |||
| Listener | 11.993 | 3.463 | ||||
| Task | (Intercept) | 0.618 | 0.786 |
| Fixed Effects | Estimate | Std. Error | z Value | Pr (>|z|) | |
|---|---|---|---|---|---|
| (Intercept) | 0.966 | 0.635 | 1.522 | 0.128 | |
| Group | −0.086 | 0.546 | −0.158 | 0.874 | |
| Listener | 0.437 | 0.417 | 1.048 | 0.295 | |
| Group:Listener | −0.302 | 0.458 | −0.660 | 0.509 | |
| Random effects | Variance | SD | |||
| Participant | (Intercept) | 0.716 | 0.846 | ||
| Listener | 0.192 | 0.438 | |||
| Task | (Intercept) | 0.702 | 0.838 |
| Fixed Effects | Estimate | Std. Error | z Value | Pr (>|z|) | |
|---|---|---|---|---|---|
| (Intercept) | −1.313 | 0.462 | −2.844 | 0.004 | |
| Group | 1.623 | 0.436 | 3.725 | <0.001 | |
| Listener | 0.417 | 0.286 | 1.456 | 0.145 | |
| Group:Listener | −0.908 | 0.313 | −2.901 | 0.004 | |
| Random effects | Variance | SD | |||
| Participant | (Intercept) | 0.457 | 0.676 | ||
| Task | (Intercept) | 0.278 | 0.527 |
Appendix B. Differences in Outcome Variables by Task
| Amnesia | Neurotypical | |||||||
|---|---|---|---|---|---|---|---|---|
| Shoe | Coffee | Microwave | Lamp | Shoe | Coffee | Microwave | Lamp | |
| Word Count | 133 (150) | 95 (37) | 119 (93) | 96 (62) | 143 (87) | 176 (93) | 141 (63) | 127 (67) |
| Total Steps | 6.6 (1.8) | 7.7 (2.4) | 5.5 (1.7) | 6.0 (1.1) | 8.6 (3.1) | 11.2 (5.5) | 7.9 (2.9) | 7.5 (4.1) |
| Gesture Rate | 12.3 (5.0) | 8.7 (4.8) | 6.2 (6.2) | 9.0 (5.6) | 11.9 (5.2) | 12.1 (5.9) | 11.7 (6.2) | 10.1 (4.5) |
| Representative Gestures | 0.81 (0.35) | 0.73 (0.32) | 0.66 (0.30) | 0.56 (0.38) | 0.89 (0.16) | 0.62 (0.27) | 0.53 (0.25) | 0.58 (0.21) |
| Two-Handed Gestures | 0.49 (0.26) | 0.15 (0.27) | 0.08 (0.13) | 0.04 (0.06) | 0.70 (0.16) | 0.54 (0.23) | 0.55 (0.33) | 0.48 (0.29) |

References
- Clark, H.H.; Murphy, G.L. Audience design in meaning and reference. In Advances in Psychology; North-Holland Publishing Company: Amsterdam, The Netherlands, 1982; pp. 287–299. [Google Scholar] [CrossRef]
- Buckner, R.L.; Carroll, D.C. Self-projection and the brain. Trends Cogn. Sci. 2007, 11, 49–57. [Google Scholar] [CrossRef] [PubMed]
- Spreng, R.N.; Grady, C.L. Patterns of Brain Activity Supporting Autobiographical Memory, Prospection, and Theory of Mind, and Their Relationship to the Default Mode Network. J. Cogn. Neurosci. 2010, 22, 1112–1123. [Google Scholar] [CrossRef] [PubMed]
- Duff, M.C.; Brown-Schmidt, S. Hippocampal contributions to language use and processing. In The Hippocampus from Cells to Systems; Hannula, D.E., Duff, M.C., Eds.; Springer International Publishing: Cham, Switzerland, 2017; pp. 503–536. [Google Scholar]
- Duff, M.C.; Brown-Schmidt, S. The hippocampus and the flexible use and processing of language. Front. Hum. Neurosci. 2012, 6, 1–11. [Google Scholar] [CrossRef]
- Clark, H.H. Using Language; Cambridge University Press: Cambridge, UK, 1996. [Google Scholar]
- Isaacs, E.A.; Clark, H.H. References in Conversation Between Experts and Novices. J. Exp. Psychol. Gen. 1987, 116, 26–37. [Google Scholar] [CrossRef]
- Brennan, S.E.; Clark, H.H. Conceptual pacts and lexical choice in conversation. J. Exp. Psychol. Learn. Mem. Cogn. 1996, 22, 1482–1493. [Google Scholar] [CrossRef] [PubMed]
- Clark, H.H.; Wilkes-Gibbs, D. Referring as a collaborative process. Cognition 1986, 22, 1–39. [Google Scholar] [CrossRef]
- Krauss, R.M.; Weinheimer, S. Changes in reference phrases as a function of frequency of usage in social interaction: A preliminary study. Psychon. Sci. 1964, 1, 113–114. [Google Scholar] [CrossRef]
- Wilkes-Gibbs, D.; Clark, H.H. Coordinating beliefs in conversation. J. Mem. Lang. 1992, 31, 183–194. [Google Scholar] [CrossRef]
- Holler, J.; Wilkin, K. Communicating common ground: How mutually shared knowledge influences speech and gesture in a narrative task. Lang. Cogn. Processes 2009, 24, 267–289. [Google Scholar] [CrossRef]
- Galati, A.; Brennan, S.E. Attenuating information in spoken communication: For the speaker, or for the addressee? J. Mem. Lang. 2010, 62, 35–51. [Google Scholar] [CrossRef]
- Alibali, M.W.; Heath, D.C.; Myers, H.J. Effects of visibility between speaker and listener on gesture production: Some gestures are meant to be seen. J. Mem. Lang. 2001, 44, 169–188. [Google Scholar] [CrossRef]
- Özyürek, A. Do speakers design their cospeech gestures for their addressees? The effects of addressee location on representational gestures. J. Mem. Lang. 2002, 46, 688–704. [Google Scholar] [CrossRef]
- Cook, S.W.; Tanenhaus, M.K. Embodied communication: Speakers’ gestures affect listeners’ actions. Cognition 2009, 113, 98–104. [Google Scholar] [CrossRef] [PubMed]
- Hilliard, C.; Cook, S.W. A technique for continuous measurement of body movement from video. Behav. Res. Methods 2017, 49, 1–12. [Google Scholar] [CrossRef] [PubMed]
- Holler, J.; Bavelas, J. Multi-modal communication of common ground. In Why Gesture? How the Hands Function in Speaking, Thinking and Communicating; Breckinridge Church, R., Alibali, M.W., Kelly, S.D., Eds.; John Benjamins: Amsterdam, The Netherlands, 2017; Volume 10, pp. 213–240. [Google Scholar]
- Campisi, E.; Özyürek, A. Iconicity as a communicative strategy: Recipient design in multimodal demonstrations for adults and children. J. Pragmat. 2013, 47, 14–27. [Google Scholar] [CrossRef]
- Galati, A.; Brennan, S.E. Speakers adapt gestures to addressees’ knowledge: Implications for models of co-speech gesture. Lang. Cogn. Neurosci. 2013, 29, 435–451. [Google Scholar] [CrossRef]
- Hilliard, C.; Cook, S.W. Bridging gaps in common ground: Speakers design their gestures for their listeners. J. Exp. Psychol. Learn. Mem. Cogn. 2016, 42, 91–103. [Google Scholar] [CrossRef]
- Hoetjes, M.; Koolen, R.; Goudbeek, M.; Krahmer, E.; Swerts, M. Reduction in gesture during the production of repeated references. J. Mem. Lang. 2015, 79–80, 1–17. [Google Scholar] [CrossRef]
- Jacobs, N.; Garnham, A. The role of conversational hand gestures in a narrative task. J. Mem. Lang. 2007, 56, 291–303. [Google Scholar] [CrossRef]
- Gerwing, J.; Bavelas, J. Linguistic influences on gesture’s form. Gesture 2004, 4, 157–195. [Google Scholar] [CrossRef]
- Cavaco, S.; Anderson, S.W.; Allen, J.S.; Castro-Caldas, A.; Damasio, H. The scope of preserved procedural memory in amnesia. Brain 2004, 127, 1853–1867. [Google Scholar] [CrossRef] [PubMed]
- Cohen, N.; Squire, L. Preserved learning and retention of pattern-analyzing skill in amnesia: Dissociation of knowing how and knowing that. Science 1980, 210, 207–210. [Google Scholar] [CrossRef] [PubMed]
- Corkin, S. What’s new with the amnesic patient H.M.? Nat. Rev. Neurosci. 2002, 3, 153–160. [Google Scholar] [CrossRef] [PubMed]
- Scoville, W.B.; Milner, B. Loss of recent memory after bilateral hippocampal lesions. J. Neurol. Neurosurg. Psychiatry 1957, 20, 11–21. [Google Scholar] [CrossRef]
- Rubin, R.D.; Watson, P.D.; Duff, M.C.; Cohen, N.J. The role of the hippocampus in flexible cognition and social behavior. Front. Hum. Neurosci. 2014, 8, 1–15. [Google Scholar] [CrossRef]
- Duff, M.C.; Gupta, R.; Hengst, J.A.; Tranel, D.; Cohen, N.J. The use of definite references signals declarative memory: Evidence from patients with hippocampal amnesia. Psychol. Sci. 2011, 22, 666–673. [Google Scholar] [CrossRef]
- Duff, M.C.; Hengst, J.A.; Tranel, D.; Cohen, N.J. Collaborative discourse facilitates efficient communication and new learning in amnesia. Brain Lang. 2008, 106, 41–54. [Google Scholar] [CrossRef]
- Duff, M.C.; Hengst, J.A.; Tranel, D.; Cohen, N.J. Hippocampal amnesia disrupts verbal play and the creative use of language in social interaction. Aphasiology 2009, 23, 926–939. [Google Scholar] [CrossRef]
- Laurita, A.C.; Spreng, R.N. The hippocampus and social cognition. In The Hippocampus from Cells to Systems; Hannula, D., Duff, M., Eds.; Springer International Publishing: Cham, Switzerland, 2017; pp. 537–558. [Google Scholar]
- Hilverman, C.; Cook, S.W.; Duff, M.C. Hippocampal declarative memory supports gesture production: Evidence from amnesia. Cortex 2016, 85, 25–36. [Google Scholar] [CrossRef]
- Hostetter, A.B.; Alibali, M.W. Gesture as simulated action: Revisiting the framework. Psychon. Bull. Rev. 2019, 26, 721–752. [Google Scholar] [CrossRef]
- Goldin-Meadow, S.; Alibali, M.W.; Church, R.B. Transitions in concept acquisition: Using the hand to read the mind. Psychol. Rev. 1993, 100, 279–297. [Google Scholar] [CrossRef] [PubMed]
- Gullberg, M.; Holmqvist, K. What speakers do and what addressees look at. Pragmat. Cogn. Cogn. 2006, 14, 53–82. [Google Scholar] [CrossRef]
- Gullberg, M.; Kita, S. Attention to speech-accompanying gestures: Eye movements and information uptake. J. Nonverbal Behav. 2009, 33, 251–277. [Google Scholar] [CrossRef] [PubMed]
- Church, R.B.; Goldin-Meadow, S. The mismatch between gesture and speech as an index of transitional knowledge. Cognition 1986, 23, 43–71. [Google Scholar] [CrossRef]
- Klooster, N.B.; Cook, S.W.; Uc, E.Y.; Duff, M.C. Gestures make memories, but what kind? Patients with impaired procedural memory display disruptions in gesture production and comprehension. Front. Hum. Neurosci. 2015, 8, 1–13. [Google Scholar] [CrossRef]
- Humphries, S.; Holler, J.; Crawford, T.; Poliakoff, E. Cospeech gestures are a window into the effects of Parkinson’s disease on action representations. J. Exp. Psychol. Gen. 2021, 150, 1581–1597. [Google Scholar] [CrossRef]
- Hilverman, C.; Clough, S.A.; Duff, M.C.; Cook, S.W. Patients with hippocampal amnesia successfully integrate gesture and speech. Neuropsychologia 2018, 117, 332–338. [Google Scholar] [CrossRef]
- Hilverman, C.; Cook, S.W.; Duff, M.C. Hand gestures support word learning in patients with hippocampal amnesia. Hippocampus 2018, 28, 406–415. [Google Scholar] [CrossRef]
- Hilverman, C.; Brown-Schmidt, S.; Duff, M.C. Gesture height reflects common ground status even in patients with amnesia. Brain Lang. 2019, 190, 31–37. [Google Scholar] [CrossRef]
- Allen, J.S.; Tranel, D.; Bruss, J.; Damasio, H. Correlations between regional brain volumes and memory performance in anoxia. J. Clin. Exp. Neuropsychol. 2006, 28, 457–476. [Google Scholar] [CrossRef]
- Buchanan, T.W.; Tranel, D.; Adolphs, R. Emotional autobiographical memories in amnesic patients with medial temporal lobe damage. J. Neurosci. 2005, 25, 3151–3160. [Google Scholar] [CrossRef] [PubMed]
- Feinstein, J.S.; Rudrauf, D.; Khalsa, S.S.; Cassell, M.D.; Bruss, J.; Grabowski, T.J.; Tranel, D. Bilateral limbic system destruction in man. J. Clin. Exp. Neuropsychol. 2010, 32, 88–106. [Google Scholar] [CrossRef] [PubMed]
- Lausberg, H.; Sloetjes, H. Coding gestural behavior with the NEUROGES-ELAN system. Behav. Res. Methods 2009, 41, 841–849. [Google Scholar] [CrossRef] [PubMed]
- ELAN, Version 5.6. Nijmegen: Max Planck Institute for Psycholinguistics, The Language Archive, 2019. Available online: https://archive.mpi.nl/tla/elan(accessed on 20 September 2019).
- McNeill, D. Hand and Mind: What Gestures Reveal about Thought; University of Chicago Press: Chicago, IL, USA, 1992. [Google Scholar]
- Ulatowska, H.K.; Doyel, A.W.; Stern, R.F.; Haynes, S.M.; North, A.J. Production of procedural discourse in aphasia. Brain Lang. 1983, 18, 315–341. [Google Scholar] [CrossRef]
- Bates, D.; Mächler, M.; Bolker, B.M.; Walker, S.C. Fitting linear mixed-effects models using lme4. J. Stat. Softw. 2015, 67, 1–51. [Google Scholar] [CrossRef]
- Brooks, M.E.; Kristensen, K.; van Benthem, K.J.; Magnusson, A.; Berg, C.W.; Nielsen, A.; Skaug, H.J.; Machler, M.; Bolker, B.M. glmmTMB balances speed and flexibility among packages for zero-inflated generalized linear mixed modeling. R J. 2017, 9, 378–400. [Google Scholar] [CrossRef]
- Barr, D.J.; Levy, R.; Scheepers, C.; Tily, H.J. Random effects structure for confirmatory hypothesis testing: Keep it maximal. J. Mem. Lang. 2013, 68, 255–278. [Google Scholar] [CrossRef]
- Duff, M.C.; Hengst, J.A.; Tengshe, C.; Krema, A.; Tranel, D.; Cohen, N.J. Hippocampal amnesia disrupts the flexible use of procedural discourse in social interaction. Aphasiology 2008, 22, 866–880. [Google Scholar] [CrossRef]
- Hassabis, D.; Kumaran, D.; Vann, S.D.; Maguire, E.A. Patients with hippocampal amnesia cannot imagine new experiences. Proc. Natl. Acad. Sci. USA 2007, 104, 1726–1731. [Google Scholar] [CrossRef]
- Duff, M.C.; Hengst, J.; Tranel, D.; Cohen, N.J. Development of shared information in communication despite hippocampal amnesia. Nat. Neurosci. 2006, 9, 140–146. [Google Scholar] [CrossRef]
- Yoon, S.O.; Duff, M.C.; Brown-Schmidt, S. Learning and using knowledge about what other people do and don’t know despite amnesia. Cortex 2017, 94, 164–175. [Google Scholar] [CrossRef] [PubMed]
- Gordon, R.G.; Tranel, D.; Duff, M.C. The physiological basis of synchronizing conversational rhythms: The role of the ventromedial prefrontal cortex. Neuropsychology 2014, 28, 624–630. [Google Scholar] [CrossRef] [PubMed]
- Clark, H.H.; Marshall, C.R. Definite Knowledge. In Elements of Discourse Understanding; Joshi, A.K., Webber, B.L., Sag, I.A., Eds.; Cambridge University Press: Cambridge, UK, 1981; pp. 10–63. [Google Scholar]
- Pickering, M.J.; Garrod, S. Toward a mechanistic psychology of dialogue. Behav. Brain Sci. 2004, 27, 169–190. [Google Scholar] [CrossRef] [PubMed]
- Brown-Schmidt, S.; Duff, M.C. Memory and Common Ground Processes in Language Use. Top. Cogn. Sci. 2016, 8, 722–736. [Google Scholar] [CrossRef]
- Yoon, S.O.; Brown-Schmidt, S. Aim Low: Mechanisms of Audience Design in Multiparty Conversation. Discourse Processes 2018, 55, 566–592. [Google Scholar] [CrossRef]
- Leon, A.C.; Heo, M. Sample sizes required to detect interactions between two binary fixed-effects in a mixed-effects linear regression model. Comput. Stat. Data Anal. 2009, 53, 603–608. [Google Scholar] [CrossRef]
- Stubbs, E.; Togher, L.; Kenny, B.; Fromm, D.; Forbes, M.; MacWhinney, B.; McDonald, S.; Tate, R.; Turkstra, L.; Power, E. Procedural discourse performance in adults with severe traumatic brain injury at 3 and 6 months post injury. Brain Inj. 2018, 32, 167–181. [Google Scholar] [CrossRef]
- Ianì, F.; Bucciarelli, M. Mechanisms underlying the beneficial effect of a speaker’s gestures on the listener. J. Mem. Lang. 2017, 96, 110–121. [Google Scholar] [CrossRef]
- Hall, C. Gesture as a Bridge between Non-Declarative and Declarative Knowledge. Ph.D. Thesis, The University of Chicago, Chicago, IL, USA, 2020. [Google Scholar]
- Hostetter, A.B. When do gestures communicate? A meta-analysis. Psychol. Bull. 2011, 137, 297–315. [Google Scholar] [CrossRef]
- Goldin-Meadow, S.; Cook, S.W.; Mitchell, Z.A. Gesturing gives children new ideas about math. Psychol. Sci. 2009, 20, 267–272. [Google Scholar] [CrossRef]
- Singer, M.A.; Goldin-Meadow, S. Children learn when their teacher’s gestures and speech differ. Psychol. Sci. 2005, 16, 85–89. [Google Scholar] [CrossRef] [PubMed]
- Cook, S.W.; Mitchell, Z.; Goldin-Meadow, S. Gesturing makes learning last. Cognition 2008, 106, 1047–1058. [Google Scholar] [CrossRef] [PubMed]
- Dargue, N.; Sweller, N.; Jones, M.P. When our hands help us understand: A meta-analysis into the effects of gesture on comprehension. Psychol. Bull. 2019, 145, 765–784. [Google Scholar] [CrossRef] [PubMed]
- Clough, S.; Duff, M.C. The role of gesture in communication and cognition: Implications for understanding and treating neurogenic communication disorders. Front. Hum. Neurosci. 2020, 11, 14. [Google Scholar] [CrossRef]
- Kita, S.; Alibali, M.W.; Chu, M. How do gestures influence thinking and speaking? The gesture-for-conceptualization hypothesis. Psychol. Rev. 2017, 124, 245–266. [Google Scholar] [CrossRef]
- Ping, R.M.; Goldin-Meadow, S.; Beilock, S.L. Understanding gesture: Is the listener’s motor system involved? J. Exp. Psychol. Gen. 2014, 143, 195–204. [Google Scholar] [CrossRef]
- Amodio, D.M.; Frith, C.D. Meeting of minds: The medial frontal cortex and social cognition. Nat. Rev. Neurosci. 2006, 7, 268–277. [Google Scholar] [CrossRef]
- Shallice, T. ‘Theory of mind’ and the prefrontal cortex. Brain 2001, 124, 247–248. [Google Scholar] [CrossRef]
- Stuss, D.T.; Gallup, G.G.; Alexander, M.A. The frontal lobes are necessary for ‘theory of mind’. Brain 2001, 124, 279–286. [Google Scholar] [CrossRef]
- Spreng, R.N.; Andrews-Hanna, J.R. The Default Network and Social Cognition. In Brain Mapping; Elsevier: Amsterdam, The Netherlands, 2015; pp. 165–169. [Google Scholar] [CrossRef]
- Andrews-Hanna, J.R.; Reidler, J.S.; Sepulcre, J.; Poulin, R.; Buckner, R.L. Functional-Anatomic Fractionation of the Brain’s Default Network. Neuron 2010, 65, 550–562. [Google Scholar] [CrossRef]
- Cohen, N.J.; Eichenbaum, H. Memory, Amnesia, and the Hippocampal System; MIT Press: Cambridge, CA, USA, 1993. [Google Scholar]
- Irish, M.; Addis, D.R.; Hodges, J.R.; Piguet, O. Considering the role of semantic memory in episodic future thinking: Evidence from semantic dementia. Brain 2012, 135, 2178–2191. [Google Scholar] [CrossRef] [PubMed]
- Race, E.; Keane, M.M.; Verfaellie, M. Medial temporal lobe damage causes deficits in episodic memory and episodic future thinking not attributable to deficits in narrative construction. J. Neurosci. 2011, 31, 10262–10269. [Google Scholar] [CrossRef] [PubMed]
- Zeman, A.Z.J.; Beschin, N.; Dewar, M.; Della, S. Imagining the present: Amnesia may impair descriptions of the present as well as of the future and the past. Cortex 2012, 49, 637–645. [Google Scholar] [CrossRef] [PubMed]
- Bavelas, J.; Gerwing, J.; Sutton, C.; Prevost, D. Gesturing on the telephone: Independent effects of dialogue and visibility. J. Mem. Lang. 2008, 58, 495–520. [Google Scholar] [CrossRef]
- Holler, J.; Turner, K.; Varcianna, T. It’s on the tip of my fingers: Co-speech gestures during lexical retrieval in different social contexts. Lang. Cogn. Processes 2013, 28, 1509–1518. [Google Scholar] [CrossRef]
- Kang, S.; Tversky, B.; Black, J.B. Coordinating Gesture, Word, and Diagram: Explanations for Experts and Novices. Spat. Cogn. Comput. 2015, 15, 1–26. [Google Scholar] [CrossRef]
- Horton, W.S.; Spieler, D.H. Age-Related Differences in Communication and Audience Design. Psychol. Aging 2007, 22, 281–290. [Google Scholar] [CrossRef]
- Stark, B.C.; Clough, S.; Duff, M. Suggestions for Improving the Investigation of Gesture in Aphasia. J. Speech Lang. Hear. Res. 2021, 64, 4004–4013. [Google Scholar] [CrossRef]
- Geladó, S.; Gómez-Ruiz, I.; Diéguez-Vide, F. Gestures analysis during a picture description task: Capacity to discriminate between healthy controls, mild cognitive impairment, and Alzheimer’s disease. J. Neurolinguist. 2022, 61, 101038. [Google Scholar] [CrossRef]
- Sgard, C.; Bier, J.C.; Peigneux, P. Gesturing helps memory encoding in aMCI. J. Neuropsychol. 2020. [Google Scholar] [CrossRef]





| Neuropsychological Scores | |||||||||||
|---|---|---|---|---|---|---|---|---|---|---|---|
| Demographic Characteristics | Anatomical | Intelligence | Memory | Language | |||||||
| Participant | Sex | Birth Year | Hand. | Ed. | Etiology | Damage | HC Volume | WAIS-III FSIQ | WMS-III GMI | BNT | TT |
| 1846 | F | 1963 | R | 14 | Anoxia | Bilateral HC | −4.23 | 84 | 57 | 43 | 41 |
| 2363 | M | 1956 | R | 18 | Anoxia | Bilateral HC | −2.64 | 98 | 73 | 58 | 44 |
| 2563 | M | 1955 | L | 16 | Anoxia | Bilateral HC | N/A | 102 | 75 | 52 | 44 |
| 1951 | M | 1952 | R | 16 | HSE | Bilateral HC + MTL | −8.10 | 106 | 57 | 49 | 44 |
| Group Mean | −5.0 | 97.5 | 65.5 | 50.5 | 43.3 | ||||||
| Amnesia | Neurotypical | ||
|---|---|---|---|
| Adult | Child | Adult | Child |
| Um, depending on what leftovers dictates the time. Okay, so we’ll just say something simple—mac and cheese. Set it for about forty-five seconds for a dish of mac and cheese. Open the door and put it, uh, put the mac and cheese in a bowl, a glass bowl. It has to be a glass bowl or a Pyrex bowl, one of the two, and, uh, nonmetal. Then you put that into the microwave. Close the door. Time is already set. So, you push start, and then it rings when it’s finished. | First you take a, uh, Pyrex plate, not metal. And you, uh, put your leftovers on the plate that you take out of the refrigerator. And you put it on the amount of time you want to heat it which in this case is probably about a minute and a half or two. Take it out of the microwave. Stir it up to make sure it’s equally heated, and then check to see if it’s the right temperature. If it’s not, then you reheat it, for another, say, fifteen seconds. Once it’s hot enough, then you can eat it. | Um, I would take the leftovers, uh, out of the refrigerator. I would, uh, put them in a microwave-safe vessel. Uh, I would place that vessel… Uh, I would carry that vessel to the microwave. I would open the microwave door. I would place the vessel into the microwave. I would close the door. I would use the keypad to select an appropriate amount of time. And I would push the start button. | So, I want you to go to the refrigerator and take out the leftovers that you want to eat. And those are in a plastic dish, and we can’t put plastic in the microwave. So, I want you to take your leftovers, however much you want to eat, and put them in this glass bowl. Now I want you to take the leftovers that you’ve put in the bowl, and open the microwave door, and put them inside. Close the door. And then I think we need to cook these for one minute. So, push one-zero-zero. And then I want you to push start, and they will be cooking. And when they’re done, you can open the door and take them out. |
Publisher’s Note: MDPI stays neutral with regard to jurisdictional claims in published maps and institutional affiliations. |
© 2022 by the authors. Licensee MDPI, Basel, Switzerland. This article is an open access article distributed under the terms and conditions of the Creative Commons Attribution (CC BY) license (https://creativecommons.org/licenses/by/4.0/).
Share and Cite
Clough, S.; Hilverman, C.; Brown-Schmidt, S.; Duff, M.C. Evidence of Audience Design in Amnesia: Adaptation in Gesture but Not Speech. Brain Sci. 2022, 12, 1082. https://doi.org/10.3390/brainsci12081082
Clough S, Hilverman C, Brown-Schmidt S, Duff MC. Evidence of Audience Design in Amnesia: Adaptation in Gesture but Not Speech. Brain Sciences. 2022; 12(8):1082. https://doi.org/10.3390/brainsci12081082
Chicago/Turabian StyleClough, Sharice, Caitlin Hilverman, Sarah Brown-Schmidt, and Melissa C. Duff. 2022. "Evidence of Audience Design in Amnesia: Adaptation in Gesture but Not Speech" Brain Sciences 12, no. 8: 1082. https://doi.org/10.3390/brainsci12081082
APA StyleClough, S., Hilverman, C., Brown-Schmidt, S., & Duff, M. C. (2022). Evidence of Audience Design in Amnesia: Adaptation in Gesture but Not Speech. Brain Sciences, 12(8), 1082. https://doi.org/10.3390/brainsci12081082
