Real-Time Stress Analysis Affecting Nurse during Elective Spinal Surgery Using a Wearable Device
Abstract
1. Introduction
2. Materials and Methods
2.1. Evaluation of Intraoperative Stress Using a Wearable Device
2.2. Statistical Analyses
3. Results
3.1. Stress Parameters Differed between Surgeons, Assistants, Scrub Nurses, and Circulating Nurses
3.2. All Parameters Significantly Differed between Scrub and Circulating Nurses during All Surgical Stages
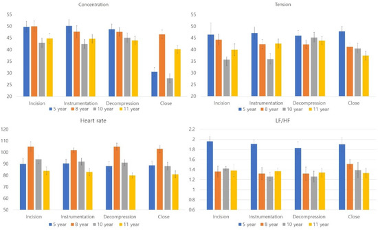
3.3. Stress Parameters Differed in Scrub Nurses Based on Work Experience
3.4. Correlation of Stress Parameters Differed by Role
4. Discussion
5. Conclusions
Author Contributions
Funding
Institutional Review Board Statement
Informed Consent Statement
Data Availability Statement
Acknowledgments
Conflicts of Interest
References
- Yates, S.W. Physician Stress and Burnout. Am. J. Med. 2019, 133, 160–164. [Google Scholar] [CrossRef] [PubMed]
- Balch, C.M.; Freischlag, J.A.; Shanafelt, T.D. Stress and Burnout Among Surgeons: Understanding and Managing the Syndrome and Avoiding the Adverse Consequences. Arch. Surg. 2009, 144, 371–376. [Google Scholar] [CrossRef]
- Murgai, R.R.; Andras, L.M.; Nielsen, E.; Scott, G.; Gould, H.; Skaggs, D.L. Dedicated spine nurses and scrub technicians improve intraoperative efficiency of surgery for adolescent idiopathic scoliosis. Spine Deform. 2020, 8, 171–176. [Google Scholar] [CrossRef] [PubMed]
- Georgiou, K.; Larentzakis, A.; Papavassiliou, A.G. Surgeons’ and surgical trainees’ acute stress in real operations or simulation: A systematic review. Surgeon 2017, 15, 355–365. [Google Scholar] [CrossRef] [PubMed]
- Kuhn, E.W.; Choi, Y.-H.; Schönherr, M.; Liakopoulos, O.J.; Rahmanian, P.B.; Choi, C.Y.-U.; Wittwer, T.; Wahlers, T. Intraoperative stress in cardiac surgery: Attendings versus residents. J. Surg. Res. 2013, 182, e43–e49. [Google Scholar] [CrossRef]
- Weenk, M.; Alken, A.P.B.; Engelen, L.J.L.P.G.; Bredie, S.J.H.; van de Belt, T.H.; van Goor, H. Stress measurement in surgeons and residents using a smart patch. Am. J. Surg. 2018, 216, 361–368. [Google Scholar] [CrossRef]
- Sonoda, Y.; Onozuka, D.; Hagihara, A. Factors related to teamwork performance and stress of operating room nurses. J. Nurs. Manag. 2017, 26, 66–73. [Google Scholar] [CrossRef]
- Rolstad, S.; Adler, J.; Rydén, A. Response Burden and Questionnaire Length: Is Shorter Better? A Review and Meta-analysis. Value Health 2011, 14, 1101–1108. [Google Scholar] [CrossRef]
- Sivo, S.A.; Saunders, C.; Chang, Q.; Jiang, J.J. How low should you go? Low response rates and the validity of inference in IS questionnaire research. J. Assoc. Inf. Syst. 2006, 7, 17. [Google Scholar] [CrossRef]
- Kwon, J.-W.; Sung, S.; Lee, S.-B.; Lee, H.-M.; Moon, S.-H.; Lee, B.H. Intraoperative real-time stress in degenerative lumbar spine surgery: Simultaneous analysis of electroencephalography signals and heart rate variability: A pilot study. Spine J. 2020, 20, 1203–1210. [Google Scholar] [CrossRef]
- Kwon, J.-W.; Lee, S.-B.; Sung, S.; Park, Y.; Ha, J.-W.; Kim, G.; Suk, K.-S.; Kim, H.-S.; Lee, H.-M.; Moon, S.-H.; et al. Which Factors Affect the Stress of Intraoperative Orthopedic Surgeons by Using Electroencephalography Signals and Heart Rate Variability? Sensors 2021, 21, 4016. [Google Scholar] [CrossRef]
- Hull, L.; Arora, S.; Kassab, E.; Kneebone, R.; Sevdalis, N. Assessment of stress and teamwork in the operating room: An exploratory study. Am. J. Surg. 2011, 201, 24–30. [Google Scholar] [CrossRef]
- Lu, H.; Zhao, Y.; While, A. Job satisfaction among hospital nurses: A literature review. Int. J. Nurs. Stud. 2019, 94, 21–31. [Google Scholar] [CrossRef]
- Sinclair, S.; Raffin-Bouchal, S.; Venturato, L.; Mijovic-Kondejewski, J.; Smith-MacDonald, L. Compassion fatigue: A meta-narrative review of the healthcare literature. Int. J. Nurs. Stud. 2017, 69, 9–24. [Google Scholar] [CrossRef]
- Kim, Y.-H.; Ha, K.-Y.; Rhyu, K.-W.; Park, H.-Y.; Cho, C.-H.; Kim, H.-C.; Lee, H.-J.; Kim, S.-I. Lumbar Interbody Fusion: Techniques, Pearls and Pitfalls. Asian Spine J. 2020, 14, 730. [Google Scholar] [CrossRef]
- Lee, B.H.; Moon, S.-H.; Suk, K.-S.; Kim, H.-S.; Yang, J.-H.; Lee, H.-M. Lumbar Spinal Stenosis: Pathophysiology and Treatment Principle: A Narrative Review. Asian Spine J. 2020, 14, 682–693. [Google Scholar] [CrossRef]
- Arora, S.; Sevdalis, N.; Nestel, D.; Tierney, T.; Woloshynowych, M.; Kneebone, R. Managing intraoperative stress: What do surgeons want from a crisis training program? Am. J. Surg. 2009, 197, 537–543. [Google Scholar] [CrossRef]
- Agbuya-Gates, A.R. Aim High, Win Big: Optimizing the OR Nurse’s Skills to Improve Surgical Outcomes. Master’s Thesis, School of Nursing and Health Professions, Singapore, 2017. [Google Scholar]
- Jang, K.I.; Shim, M.; Lee, S.M.; Huh, H.J.; Huh, S.; Joo, J.-Y.; Lee, S.-H.; Chae, J.-H. Increased beta power in the bereaved families of the S ewol ferry disaster: A paradoxical compensatory phenomenon? A two-channel electroencephalography study. Psychiatry Clin. Neurosci. 2017, 71, 759–768. [Google Scholar] [CrossRef]
- Vescio, B.; Salsone, M.; Gambardella, A.; Quattrone, A. Comparison between Electrocardiographic and Earlobe Pulse Photoplethysmographic Detection for Evaluating Heart Rate Variability in Healthy Subjects in Short- and Long-Term Recordings. Sensors 2018, 18, 844. [Google Scholar] [CrossRef]
- Cahn, B.R.; Polich, J. Meditation states and traits: EEG, ERP, and neuroimaging studies. Psychol. Bull. 2006, 132, 180. [Google Scholar] [CrossRef]
- Kirmizi-Alsan, E.; Bayraktaroglu, Z.; Gurvit, H.; Keskin, Y.H.; Emre, M.; Demiralp, T. Comparative analysis of event-related potentials during Go/NoGo and CPT: Decomposition of electrophysiological markers of response inhibition and sustained attention. Brain Res. 2006, 1104, 114–128. [Google Scholar] [CrossRef] [PubMed]
- Abhang, P.A.; Gawali, B.W.; Mehrotra, S.C. Introduction to EEG- and Speech-Based Emotion Recognition; Academic Press: Cambridge, MA, USA, 2016; pp. 51–79. [Google Scholar]
- Herrmann, C.; Demiralp, T. Human EEG gamma oscillations in neuropsychiatric disorders. Clin. Neurophysiol. 2005, 116, 2719–2733. [Google Scholar] [CrossRef]
- Pfurtscheller, G.; da Silva, F.L. Event-related EEG/MEG synchronization and desynchronization: Basic principles. Clin. Neurophysiol. 1999, 110, 1842–1857. [Google Scholar] [CrossRef]
- Angelakis, E.; Stathopoulou, S.; Frymiare, J.L.; Green, D.L.; Lubar, J.F.; Kounios, J. EEG Neurofeedback: A Brief Overview and an Example of Peak Alpha Frequency Training for Cognitive Enhancement in the Elderly. Clin. Neuropsychol. 2007, 21, 110–129. [Google Scholar] [CrossRef]
- von Rosenberg, W.; Chanwimalueang, T.; Adjei, T.; Jaffer, U.; Goverdovsky, V.; Mandic, D.P. Resolving Ambiguities in the LF/HF Ratio: LF-HF Scatter Plots for the Categorization of Mental and Physical Stress from HRV. Front. Physiol. 2017, 8, 360. [Google Scholar] [CrossRef]
- Lubar, J.O.; Lubar, J.F. Electroencephalographic biofeedback of SMR and beta for treatment of attention deficit disorders in a clinical setting. Biofeedback Self Regul. 1984, 9, 1–23. [Google Scholar] [CrossRef]
- Coffey, L.B. Assessing Ratio-Based Fatigue Indexes Using a Single Channel EEG. Master’s Thesis, College of Computing, Engineering & Construction, Jacksonville, FL, USA, 2018. [Google Scholar]
- Ga, Y.; Choi, T.; Yoon, G. Analysis of Game Immersion using EEG signal for Computer Smart Interface. J. Sens. Sci. Technol. 2015, 24, 392–397. [Google Scholar] [CrossRef]
- Lubar, J.F. Discourse on the development of EEG diagnostics and biofeedback for attention-deficit/hyperactivity disorders. Appl. Psychophysiol. Biofeedback 1991, 16, 201–225. [Google Scholar] [CrossRef]
- Sung, Y.-S.; Cho, K.-G.; Um, K.-H. A Framework for Processing Brain Waves Used in a Brain-computer Interface. J. Inf. Process. Syst. 2012, 8, 315–330. [Google Scholar] [CrossRef]
- Xu, R.; Zhang, C.; He, F.; Zhao, X.; Qi, H.; Zhou, P.; Zhang, L.; Ming, D. How physical activities affect mental fatigue based on EEG energy, connectivity, and complexity. Front. Neurol. 2018, 9, 915. [Google Scholar] [CrossRef] [PubMed]
- Berguer, R.; Smith, W.D.; Chung, Y.H. Performing laparoscopic surgery is significantly more stressful for the surgeon than open surgery. Surg. Endosc. 2001, 15, 1204–1207. [Google Scholar] [CrossRef] [PubMed]
- Calland, J.F.; Guerlain, S.; Adams, R.; Tribble, C.; Foley, E.; Chekan, E. A systems approach to surgical safety. Surg. Endosc. Other Interv. Tech. 2002, 16, 1005–1014. [Google Scholar] [CrossRef] [PubMed]
- Hassan, I.; Weyers, P.; Maschuw, K.; Dick, B.; Gerdes, B.; Rothmund, M.; Zielke, A. Negative stress-coping strategies among novices in surgery correlate with poor virtual laparoscopic performance. Br. J. Surg. 2006, 93, 1554–1559. [Google Scholar] [CrossRef]
- Vincent, C.; Moorthy, K.; Sarker, S.K.; Chang, A.; Darzi, A.W. Systems approaches to surgical quality and safety: From concept to measurement. Ann. Surg. 2004, 239, 475. [Google Scholar] [CrossRef]
- Subramanian, P.; Kantharuban, S.; Willis-Owen, S.A.G.; Willis-Owen, C.A. Orthopaedic surgeons: As strong as an ox and almost twice as clever? Multicentre prospective comparative study. BMJ 2011, 343, d7506. [Google Scholar] [CrossRef]
- Tan, C.C. Occupational health problems among nurses. Scand. J. Work. Environ. Health 1991, 17, 221–230. [Google Scholar] [CrossRef][Green Version]




| Surgeon | Nurse | ||||||||
|---|---|---|---|---|---|---|---|---|---|
| Role during Surgery | Operator | Assistant | Assistant | Scrub | Scrub | Scrub | Scrub | Circulating | Circulating |
| Subject ID | O1 | A1 | A2 | S1 | S2 | S3 | S4 | C1 | C2 |
| Age (years) | 43 | 35 | 36 | 35 | 34 | 32 | 29 | 45 | 44 |
| Experience as a spinal surgeon/operation room nurse (years) | 9 | 1 (first-yearclinical fellow) | 1 (first-yearclinical fellow) | 11 | 10 | 8 | 5 | 22 | 19 |
| Experience in orthopedic surgery (years) | 16 | 8 | 8 | 3 | 10 | 5 | 3 | 17 | 16 |
| Accumulated number of orthopedic surgeries (cases) | 3600 cases | 5000 cases | 4800 cases | 3000 cases | Over 15,000 cases | Over 10,000 cases | |||
| Accumulated surgical experiences in spinal surgery (cases) | 1700 cases as an operator | 150 cases as an assistant | 100 cases as an assistant | 500 cases | 2500 cases | 400 cases | 240 cases | Over 7000 cases | Over 4000 cases |
| Enrolled cases in the present study | 40 | 20 | 20 | 10 | 10 | 10 | 10 | 20 | 20 |
| Delta Waves | Theta Waves | Alpha Waves | SMR Waves | M-Beta Waves | H-Beta Waves | Gamma Waves | Concentration Level | Tension Level | BPM | LF/HF Ratio | ||
|---|---|---|---|---|---|---|---|---|---|---|---|---|
| Experience as OR nurse (Yrs) | Scrub | 0.925 ** | 0.447 ** | −0.593 ** | −0.659 ** | −0.767 ** | −0.787 ** | −0.227 ** | −0.832 ** | −0.287 ** | −0.871 ** | |
| Circulating | 0.910 ** | 0.858 ** | −0.782 ** | −0.782 ** | −0.742 ** | −0.889 ** | −0.907 ** | −0.833 ** | −0.900 ** | 0.309 ** | ||
| Experience in orthopedic surgery (Yrs) | Scrub | 0.485 ** | 0.298 ** | 0.388 ** | −0.358 ** | −0.583 ** | −0.718 ** | −0.312 ** | −0.662 ** | 0.250 ** | −0.482 ** | |
| Circulating | 0.910 ** | 0.858 ** | −0.782 ** | −0.742 ** | −0.834 ** | −0.889 ** | −0.907 ** | −0.833 ** | −0.900 ** | 0.309 ** | ||
| Experience in orthopedic surgery (cases) | Scrub | 0.452 ** | 0.763 ** | −0.429 ** | −0.652 ** | −0.655 ** | 0.599 ** | −0.748 ** | ||||
| Circulating | 0.910 ** | 0.858 ** | −0.782 ** | −0.742 ** | −0.834 ** | −0.889 ** | −0.907 ** | −0.833 ** | −0.900 ** | 0.309 ** | ||
| Experience in spinal surgery (cases) | Scrub | 0.625 ** | 0.380 ** | 0.234 ** | −0.375 ** | −0.539 ** | −0.710 ** | −0.780 ** | −0.404 ** | −0.718 ** | −0.460 ** | |
| Circulating | 0.910 ** | 0.858 ** | −0.782 ** | −0.742 ** | −0.834 ** | −0.889 ** | −0.907 ** | −0.833 ** | −0.900 ** | 0.309 ** | ||
| Duration of surgery | Scrub | 0.272 ** | −0.760 ** | −0.498 ** | −0.263 ** | 0.268 ** | 0.285 ** | −0.893 ** | 0.508 ** | |||
| Circulating | 0.908 ** | 0.888 ** | −0.853 ** | −0.838 ** | −0.891 ** | −0.903 ** | −0.892 ** | −0.884 ** | −0.891 ** | |||
| Intraoperative bleeding | Scrub | 0.214 ** | −0.716 ** | −0.189 ** | 0.473 ** | 0.391 ** | 0.342 ** | 0.271 ** | 0.359 ** | 0.445 ** | 0.538 ** | |
| Circulating | −0.895 ** | −0.878 ** | 0.849 ** | 0.837 ** | 0.885 ** | 0.892 ** | 0.877 ** | 0.877 ** | 0.876 ** | |||
| Stress of surgeon | Scrub | 0.894 ** | 0.902 ** | −0.028 ** | −0.869 ** | −0.889 ** | −0.898 ** | −0.907 ** | −0.717 ** | −0.861 ** | ||
| Circulating | 0.441 ** | 0.484 ** | −0.607 ** | −0.430 ** | −0.411 ** | −0.442 ** | −0.427 ** | −0.218 ** | −0.345 ** | −0.523 ** | −0.611 ** |
Publisher’s Note: MDPI stays neutral with regard to jurisdictional claims in published maps and institutional affiliations. |
© 2022 by the authors. Licensee MDPI, Basel, Switzerland. This article is an open access article distributed under the terms and conditions of the Creative Commons Attribution (CC BY) license (https://creativecommons.org/licenses/by/4.0/).
Share and Cite
Sung, S.; Kwon, J.-W.; Kim, J.-E.; Lee, Y.-J.; Lee, S.-B.; Lee, S.-K.; Moon, S.-H.; Lee, B.H. Real-Time Stress Analysis Affecting Nurse during Elective Spinal Surgery Using a Wearable Device. Brain Sci. 2022, 12, 909. https://doi.org/10.3390/brainsci12070909
Sung S, Kwon J-W, Kim J-E, Lee Y-J, Lee S-B, Lee S-K, Moon S-H, Lee BH. Real-Time Stress Analysis Affecting Nurse during Elective Spinal Surgery Using a Wearable Device. Brain Sciences. 2022; 12(7):909. https://doi.org/10.3390/brainsci12070909
Chicago/Turabian StyleSung, Sayhyun, Ji-Won Kwon, Jung-Eun Kim, Yu-Jin Lee, Soo-Bin Lee, Seung-Kyu Lee, Seong-Hwan Moon, and Byung Ho Lee. 2022. "Real-Time Stress Analysis Affecting Nurse during Elective Spinal Surgery Using a Wearable Device" Brain Sciences 12, no. 7: 909. https://doi.org/10.3390/brainsci12070909
APA StyleSung, S., Kwon, J.-W., Kim, J.-E., Lee, Y.-J., Lee, S.-B., Lee, S.-K., Moon, S.-H., & Lee, B. H. (2022). Real-Time Stress Analysis Affecting Nurse during Elective Spinal Surgery Using a Wearable Device. Brain Sciences, 12(7), 909. https://doi.org/10.3390/brainsci12070909

