Effect of Transcranial Direct Current Stimulation on Endurance Performance in Elite Female Rowers: A Pilot, Single-Blinded Study
Abstract
:1. Introduction
2. Materials and Methods
2.1. Subjects
2.2. Study Protocol
2.3. Transcranial Direct Current Stimulation (tDCS) Procedure
2.4. Endurance Training
2.5. Statistical Analysis
3. Results
3.1. Effect of tDCS on Rowing Endurance Performance
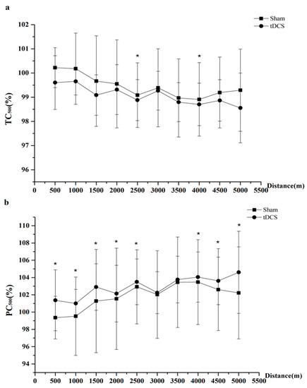
3.2. Effect of tDCS on Time Corresponding to 500 m (TC500) and Power Corresponding to 500 m (PC500)
4. Discussion
Author Contributions
Funding
Institutional Review Board Statement
Informed Consent Statement
Data Availability Statement
Acknowledgments
Conflicts of Interest
References
- Pripstein, L.; Rhodes, E.; McKenzie, D.; Coutts, K. Aerobic and anaerobic energy during a 2-km race simulation in female rowers. Eur. J. Appl. Physiol. Occup. Physiol. 1999, 79, 491–494. [Google Scholar] [CrossRef] [PubMed]
- Held, S.; Behringer, M.; Donath, L. Low intensity rowing with blood flow restriction over 5 weeks increases VO2max in elite rowers: A randomized controlled trial. J. Sci. Med. Sport 2020, 23, 304–308. [Google Scholar] [CrossRef] [PubMed]
- Seiler, S. What is best practice for training intensity and duration distribution in endurance athletes? Int. J. Sport Physiol. 2010, 5, 276–291. [Google Scholar] [CrossRef] [PubMed]
- Kaushalya, F.S.; Romero-Arenas, S.; García-Ramos, A.; Colomer-Poveda, D.; Marquez, G. Acute effects of Transcranial Direct Current Stimulation on Cycling and Running Performance. A Systematic Review and Meta-Analysis. Eur. J. Sport Sci. 2020, 22, 113–125. [Google Scholar] [CrossRef] [PubMed]
- Hyland-Monks, R.; Cronin, L.; McNaughton, L.; Marchant, D. The role of executive function in the self-regulation of endurance performance: A critical review. Prog. Brain Res. 2018, 240, 353–370. [Google Scholar] [PubMed]
- Enoka, B.R.M. The neurobiology of muscle fatigue: 15 years later. Integr. Comp. Biol. 2007, 47, 465–473. [Google Scholar]
- Gandevia, S.C.; Allen, G.M.; Butler, J.E.; Taylor, J.L. Supraspinal factors in human muscle fatigue: Evidence for suboptimal output from the motor cortex. J. Physiol. 1996, 490, 529–536. [Google Scholar] [CrossRef]
- Wang, L.; Wang, C.; Yang, H.; Shao, Q.; Niu, W.; Yang, Y.; Zheng, F. Halo Sport Transcranial Direct Current Stimulation Improved Muscular Endurance Performance and Neuromuscular Efficiency During an Isometric Submaximal Fatiguing Elbow Flexion Task. Front. Hum. Neurosci. 2022, 16, 758891. [Google Scholar] [CrossRef]
- Da Silva Machado, D.G.; Bikson, M.; Datta, A.; Caparelli-Dáquer, E.; Unal, G.; Baptista, A.F.; Cyrino, E.S.; Li, L.M.; Morya, E.; Moreira, A.; et al. Acute effect of high-definition and conventional tDCS on exercise performance and psychophysiological responses in endurance athletes: A randomized controlled trial. Sci. Rep. 2021, 11, 13911. [Google Scholar] [CrossRef]
- Angius, L.; Hopker, J.G.; Marcora, S.M.; Mauger, A.R. The effect of transcranial direct current stimulation of the motor cortex on exercise-induced pain. Eur. J. Appl. Physiol. 2015, 115, 2311–2319. [Google Scholar] [CrossRef]
- Angius, L.A.; Mauger, A.R.; Hopker, J.; Pascual-Leone, A.; Santarnecchi, E.; Marcora, S.M. Bilateral extracephalic transcranial direct current stimulation improves endurance performance in healthy individuals. Brain Stimul. 2018, 11, 108–117. [Google Scholar] [CrossRef] [PubMed] [Green Version]
- Vieira, L.; Lattari, E.; de Jesus Abreu, M.A.; Rodrigues, G.M.; Viana, B.; Machado, S.; Oliveira, B.; Maranhão Neto, G.A. Transcranial Direct Current Stimulation (tDCS) Improves Back-Squat Performance in Intermediate Resistance-Training Men. Res. Q. Exerc. Sport 2022, 93, 210–218. [Google Scholar] [CrossRef] [PubMed]
- Fortes, L.S.; Faro, H.; de Lima-Junior, D.; Albuquerque, M.R.; Ferreira, M. Non-invasive brain stimulation over the orbital prefrontal cortex maintains endurance performance in mentally fatigued swimmers. Physiol. Behav. 2022, 250, 113783. [Google Scholar] [CrossRef] [PubMed]
- Huang, L.; Deng, Y.; Zheng, X.; Liu, Y. Transcranial Direct Current Stimulation With Halo Sport Enhances Repeated Sprint Cycling and Cognitive Performance. Front. Physiol. 2019, 10, 118–130. [Google Scholar] [CrossRef]
- Park, S.B.; Sung, D.J.; Kim, B.; Kim, S.; Han, J.K. Transcranial Direct Current Stimulation of motor cortex enhances running performance. PLoS ONE 2019, 14, e0211902. [Google Scholar] [CrossRef] [Green Version]
- Reardon, S. Neuroscience performance boost paves way for ‘brain doping’. Nature 2016, 531, 283–284. [Google Scholar]
- Vitor-Costa, M.; Okuno, N.M.; Bortolotti, H.; Bertollo, M.; Boggio, P.S.; Fregni, F.; Altimari, L.R. Improving Cycling Performance: Transcranial Direct Current Stimulation Increases Time to Exhaustion in Cycling. PLoS ONE 2015, 10, e0144916. [Google Scholar] [CrossRef]
- Dissanayaka, T.D.; Zoghi, M.; Farrell, M.; Egan, G.F.; Jaberzadeh, S. Sham transcranial electrical stimulation and its effects on corticospinal excitability: A systematic review and meta-analysis. Rev. Neurosci. 2018, 29, 223–232. [Google Scholar] [CrossRef]
- Neri, F.; Mencarelli, L.; Menardi, A.; Giovannelli, F.; Rossi, S.; Sprugnoli, G.; Rossi, A.; Pascual-Leone, A.; Salvador, R.; Ruffini, G.; et al. A novel tDCS sham approach based on model-driven controlled shunting. Brain Stimul. 2020, 13, 507–516. [Google Scholar] [CrossRef] [Green Version]
- Zhou, J.; Manor, B.; Yu, W.; Lo, O.-Y.; Gouskova, N.; Salvador, R.; Katz, R.; Cornejo Thumm, P.; Brozgol, M.; Ruffini, G.; et al. Targeted tDCS Mitigates Dual-Task Costs to Gait and Balance in Older Adults. Ann. Neurol. 2021, 90, 428–439. [Google Scholar] [CrossRef]
- Stagg, C.J.; Nitsche, M.A. Physiological Basis of Transcranial Direct Current Stimulation. Neuroscientist 2011, 17, 37–53. [Google Scholar] [CrossRef] [PubMed]
- Besson, P.; Muthalib, M.; De Vassoigne, C.; Rothwell, J.; Perrey, S. Effects of Multiple Sessions of Cathodal Priming and Anodal HD-tDCS on Visuo Motor Task Plateau Learning and Retention. Brain Sci. 2020, 10, 875–887. [Google Scholar] [CrossRef] [PubMed]
- Hashemirad, F.; Zoghi, M.; Fitzgerald, P.B.; Jaberzadeh, S. The effect of anodal transcranial direct current stimulation on motor sequence learning in healthy individuals: A systematic review and meta-analysis. Brain Cogn. 2016, 102, 1–12. [Google Scholar] [CrossRef]
- Pilloni, G.; Choi, C.; Shaw, M.T.; Coghe, G.; Krupp, L.; Moffat, M.; Cocco, E.; Pau, M.; Charvet, L. Walking in multiple sclerosis improves with tDCS: A randomized, double-blind, sham-controlled study. Ann. Clin. Transl. Neurol. 2020, 7, 2310–2319. [Google Scholar] [CrossRef] [PubMed]
- Hilgenstock, R.; Weiss, T.; Huonker, R.; Witte, O.W. Behavioural and neurofunctional impact of transcranial direct current stimulation on somatosensory learning. Hum. Brain Mapp. 2016, 37, 1277–1295. [Google Scholar] [CrossRef] [PubMed]
- Bikson, M.; Rahman, A.; Da Tta, A.; Fregni, F.; Merabet, L. High-Resolution Modeling Assisted Design of Customized and Individualized Transcranial Direct Current Stimulation Protocols. Neuromodulation J. Intl. Neuromodulation Soc. 2012, 15, 306–315. [Google Scholar] [CrossRef] [Green Version]
- Santos Ferreira, I.; Teixeira Costa, B.; Lima Ramos, C.; Lucena, P.; Thibaut, A.; Fregni, F. Searching for the optimal tDCS target for motor rehabilitation. J. Neuroeng. Rehabil. 2019, 16, 90–101. [Google Scholar] [CrossRef]
- Da Silva, R.d.M.F.; Batistuzzo, M.C.; Shavitt, R.G.; Miguel, E.C.; Stern, E.; Mezger, E.; Padberg, F.; D’Urso, G.; Brunoni, A.R. Transcranial direct current stimulation in obsessive-compulsive disorder: An update in electric field modeling and investigations for optimal electrode montage. Expert Rev. Neurother. 2019, 19, 1025–1035. [Google Scholar] [CrossRef]
- Datta, A.; Truong, D.; Minhas, P.; Parra, L.C.; Bikson, M. Inter-Individual Variation during Transcranial Direct Current Stimulation and Normalization of Dose Using MRI-Derived Computational Models. Front. Psychiatry 2012, 3, 91–99. [Google Scholar] [CrossRef] [Green Version]
- Taylor, J.L.; Butler, J.E.; Allen, G.M.; Gandevia, S.C. Changes in motor cortical excitability during human muscle fatigue. J. Physiol. 1996, 490, 519–528. [Google Scholar] [CrossRef]
- Angius, L.; Hopker, J.; Mauger, A.R. The Ergogenic Effects of Transcranial Direct Current Stimulation on Exercise Performance. Front. Physiol. 2017, 8, 90–97. [Google Scholar] [CrossRef] [PubMed] [Green Version]
- Nitsche, M.A.; Paulus, W. Excitability changes induced in the human motor cortex by weak transcranial direct current stimulation. J. Physiol. 2000, 527, 633–639. [Google Scholar] [CrossRef] [PubMed]



| Group | M ± SD | F | df | p | 95% IC |
|---|---|---|---|---|---|
| Time (s) | |||||
| Baseline | 1240.09 ± 32.91 | 1212.57–1267.60 | |||
| Shame | 1237.0 ± 533.03 | 0.251 | (2,21) | 0.780 | 1209.44–1264.67 |
| tDCS | 1228.65 ± 34.31 | 1199.97–1257.33 | |||
| 500 m/split (s) | |||||
| Baseline | 123.95 ± 3.28 | 121.21–126.69 | |||
| Shame | 123.66 ± 3.31 | 0.263 | (2,21) | 0.772 | 121.89–126.42 |
| tDCS | 122.79 ± 3.23 | 119.93–125.64 | |||
| Power (w) | |||||
| Baseline | 184.00 ± 14.92 | 171.53–196.47 | |||
| Shame | 185.56 ± 14.84 | 0.283 | (2,21) | 0.757 | 173.16–197.97 |
| tDCS | 189.50 ± 15.47 | 176.56–202.44 |
| Index | Baseline | tDCS | Sham | tDCS vs. Baseline (%) | Sham vs. Baseline (%) | df | t | p |
|---|---|---|---|---|---|---|---|---|
| TC500 | ||||||||
| 500 m | 61.23 ± 1.68 | 60.98 ± 1.77 | 61.36 ± 1.56 | 99.60 | 100.22 | 4.00 | −1.28 | 0.270 |
| 1000 m | 61.97 ± 1.50 | 61.76 ± 1.61 | 62.08 ± 1.58 | 99.65 | 100.17 | 4.00 | −0.85 | 0.445 |
| 1500 m | 62.10 ± 1.68 | 61.53 ± 1.68 | 61.88 ± 1.59 | 99.08 | 99.66 | 4.00 | 0.12 | 0.912 |
| 2000 m | 62.13 ± 1.63 | 61.71 ± 1.80 | 61.85 ± 1.67 | 99.31 | 99.55 | 4.00 | 1.55 | 0.197 |
| 2500 m | 62.33 ± 1.69 | 61.63 ± 1.65 | 61.75 ± 1.66 | 98.88 | 99.08 | 4.00 | −4.50 | 0.011 * |
| 3000 m | 62.26 ± 1.61 | 61.80 ± 1.67 | 61.87 ± 1.62 | 99.26 | 99.38 | 4.00 | 1.80 | 0.146 |
| 3500 m | 62.29 ± 1.71 | 61.54 ± 1.74 | 61.64 ± 1.72 | 98.79 | 98.96 | 4.00 | −1.86 | 0.136 |
| 4000 m | 62.35 ± 1.81 | 61.53 ± 1.76 | 61.66 ± 1.74 | 98.7 | 98.91 | 4.00 | 3.11 | 0.036 * |
| 4500 m | 62.03 ± 1.76 | 61.32 ± 1.72 | 61.52 ± 1.78 | 98.86 | 99.19 | 4.00 | 0.19 | 0.859 |
| 5000 m | 61.30 ± 1.87 | 60.41 ± 2.00 | 60.85 ± 1.83 | 98.55 | 99.28 | 4.00 | −2.18 | 0.095 |
| PC500 | ||||||||
| 500 m | 191.43 ± 15.94 | 194.00 ± 16.53 | 190.06 ± 14.31 | 101.36 | 99.35 | 0.61 | 65.67 | 0.048 * |
| 1000 m | 184.50 ± 13.70 | 186.38 ± 14.48 | 183.5 ± 14.12 | 101.00 | 99.52 | 1.65 | 22.47 | 0.005 * |
| 1500 m | 183.31 ± 15.17 | 188.56 ± 15.24 | 185.31 ± 14.23 | 102.90 | 101.27 | 0.84 | 26.22 | 0.041 * |
| 2000 m | 183.00 ± 14.71 | 186.95 ± 16.21 | 185.56 ± 15.12 | 102.14 | 101.53 | 4.92 | 20.06 | 0.001 * |
| 2500 m | 181.43 ± 15.37 | 187.69 ± 14.87 | 186.56 ± 14.92 | 103.50 | 102.92 | 1.69 | 19.01 | 0.006 * |
| 3000 m | 181.93 ± 14.57 | 186.00 ± 14.91 | 185.43 ± 14.46 | 102.24 | 102.03 | 0.67 | 11.50 | 0.122 |
| 3500 m | 181.68 ± 15.08 | 188.50 ± 15.72 | 187.75 ± 15.28 | 103.76 | 103.45 | 0.48 | 19.01 | 0.156 |
| 4000 m | 181.37 ± 16.07 | 188.63 ± 15.92 | 187.43 ± 15.42 | 104.05 | 103.47 | 456.28 | 11.11 | 0.001 * |
| 4500 m | 184.12 ± 15.87 | 190.69 ± 15.62 | 188.75 ± 15.96 | 103.61 | 102.60 | 1.23 | 21.03 | 0.016 * |
| 5000 m | 191.12 ± 17.25 | 199.88 ± 19.49 | 195.12 ± 17.37 | 104.60 | 102.22 | 3.30 | 41.32 | 0.001 * |
Publisher’s Note: MDPI stays neutral with regard to jurisdictional claims in published maps and institutional affiliations. |
© 2022 by the authors. Licensee MDPI, Basel, Switzerland. This article is an open access article distributed under the terms and conditions of the Creative Commons Attribution (CC BY) license (https://creativecommons.org/licenses/by/4.0/).
Share and Cite
Liang, Z.; Zhou, J.; Jiao, F.; Gin, T.; Wang, X.; Liu, Y.; Lü, J. Effect of Transcranial Direct Current Stimulation on Endurance Performance in Elite Female Rowers: A Pilot, Single-Blinded Study. Brain Sci. 2022, 12, 541. https://doi.org/10.3390/brainsci12050541
Liang Z, Zhou J, Jiao F, Gin T, Wang X, Liu Y, Lü J. Effect of Transcranial Direct Current Stimulation on Endurance Performance in Elite Female Rowers: A Pilot, Single-Blinded Study. Brain Sciences. 2022; 12(5):541. https://doi.org/10.3390/brainsci12050541
Chicago/Turabian StyleLiang, Zhiqiang, Junhong Zhou, Fujia Jiao, Trenton Gin, Xi Wang, Yu Liu, and Jiaojiao Lü. 2022. "Effect of Transcranial Direct Current Stimulation on Endurance Performance in Elite Female Rowers: A Pilot, Single-Blinded Study" Brain Sciences 12, no. 5: 541. https://doi.org/10.3390/brainsci12050541
APA StyleLiang, Z., Zhou, J., Jiao, F., Gin, T., Wang, X., Liu, Y., & Lü, J. (2022). Effect of Transcranial Direct Current Stimulation on Endurance Performance in Elite Female Rowers: A Pilot, Single-Blinded Study. Brain Sciences, 12(5), 541. https://doi.org/10.3390/brainsci12050541

