Numerical Evaluation of the Effects of Transducer Displacement on Transcranial Focused Ultrasound in the Rat Brain
Abstract
1. Introduction
2. Materials and Methods
2.1. Ultrasound Propagation Model
| Speed of Sound (m s−1) | Density (kg m−3) | Attenuation (dB MHz−1.43 cm−1) |
|---|---|---|
| , | ||
2.2. Transducer Displacements and Target Brain Regions
2.3. Analysis
3. Results
3.1. Model Validation
3.2. Effects of Acoustic Properties
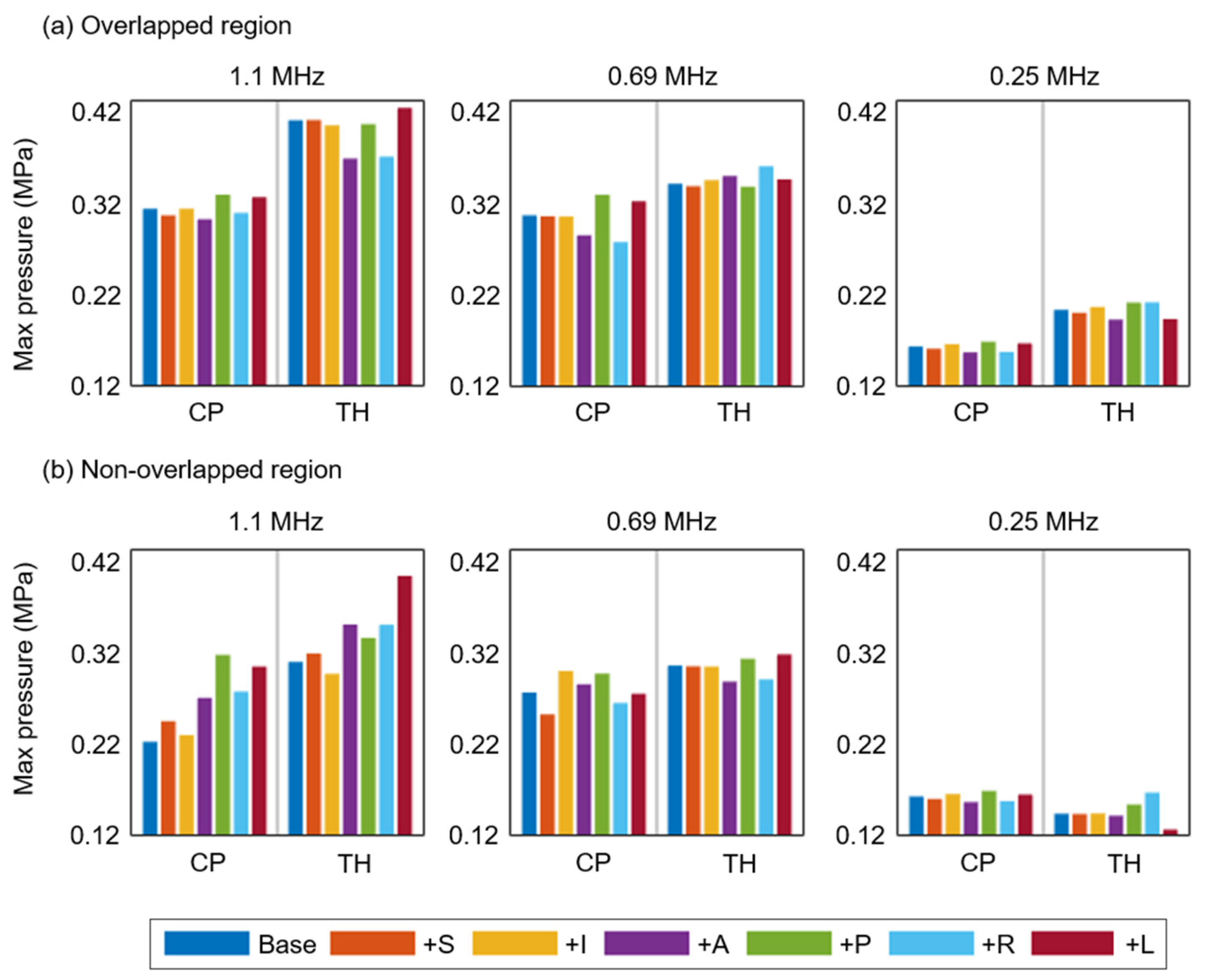
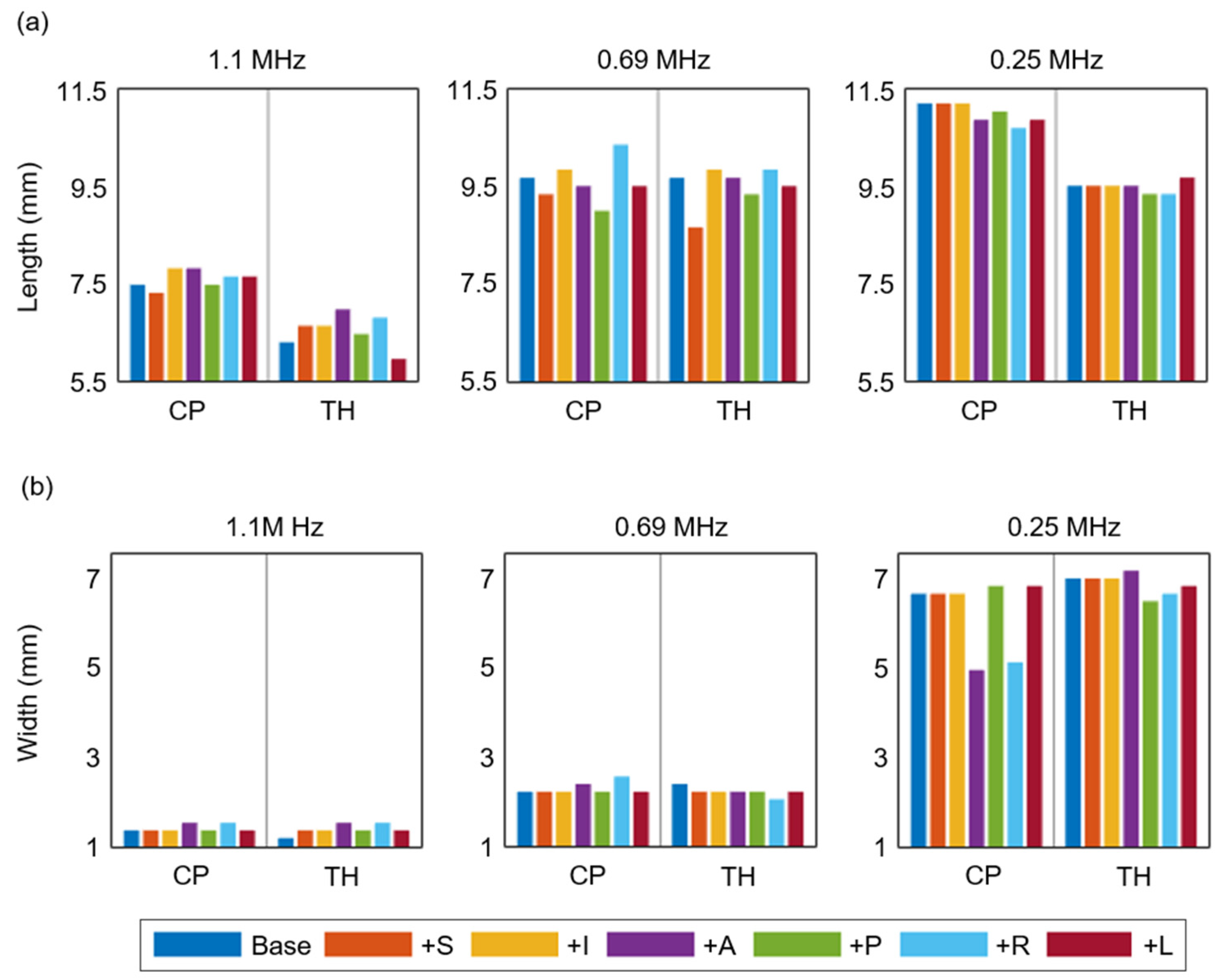
3.3. Effects of Transducer Displacements
4. Discussion
Supplementary Materials
Author Contributions
Funding
Data Availability Statement
Conflicts of Interest
References
- Hynynen, K.; Pomeroy, O.; Smith, D.N.; Huber, P.E.; McDannold, N.J.; Kettenbach, J.; Baum, J.; Singer, S.; Jolesz, F.A. MR imaging-guided focused ultrasound surgery of fibroadenomas in the breast: A feasibility study. Radiology 2001, 219, 176–185. [Google Scholar] [CrossRef]
- McDannold, N.; White, P.J.; Cosgrove, G.R. MRI-based thermal dosimetry based on single-slice imaging during focused ultrasound thalamotomy. Phys. Med. Biol. 2020, 65, 235018. [Google Scholar] [CrossRef]
- Jones, R.M.; Huang, Y.; Meng, Y.; Scantlebury, N.; Schwartz, M.L.; Lipsman, N.; Hynynen, K. Echo-Focusing in Transcranial Focused Ultrasound Thalamotomy for Essential Tremor: A Feasibility Study. Mov. Disord. 2020, 35, 2327–2333. [Google Scholar] [CrossRef] [PubMed]
- Hynynen, K.; McDannold, N. MRI guided and monitored focused ultrasound thermal ablation methods: A review of progress. Int. J. Hyperth. 2004, 20, 725–737. [Google Scholar] [CrossRef] [PubMed]
- Lu, M.; Wan, M.; Xu, F.; Wang, X.; Chang, X. Design and experiment of 256-element ultrasound phased array for noninvasive focused ultrasound surgery. Ultrasonics 2006, 44, e325–e330. [Google Scholar] [CrossRef] [PubMed]
- Hynynen, K.; Sun, J. Trans-skull ultrasound therapy: The feasibility of using image-derived skull thickness information to correct the phase distortion. IEEE Trans. Ultrason. Ferroelectr. Freq. Control. 1999, 46, 752–755. [Google Scholar] [CrossRef]
- Aubry, J.-F.; Tanter, M.; Pernot, M.; Thomas, J.-L.; Fink, M. Experimental demonstration of noninvasive transskull adaptive focusing based on prior computed tomography scans. J. Acoust. Soc. Am. 2003, 113, 84–93. [Google Scholar] [CrossRef]
- Rieke, V.; Butts Pauly, K. MR thermometry. J. Magn. Reson. Imaging 2008, 27, 376–390. [Google Scholar] [CrossRef]
- Yoo, S.-S. Technical Review and Perspectives of Transcranial Focused Ultrasound Brain Stimulation for Neurorehabilitation. Brain Neurorehabilit. 2018, 11, e16. [Google Scholar] [CrossRef]
- Pasquinelli, C.; Hanson, L.G.; Siebner, H.R.; Lee, H.J.; Thielscher, A. Safety of transcranial focused ultrasound stimulation: A systematic review of the state of knowledge from both human and animal studies. Brain Stimul. 2019, 12, 1367–1380. [Google Scholar] [CrossRef]
- Legon, W.; Bansal, P.; Tyshynsky, R.; Ai, L.; Mueller, J.K. Transcranial focused ultrasound neuromodulation of the human primary motor cortex. Sci. Rep. 2018, 8, 10007. [Google Scholar] [CrossRef] [PubMed]
- Bystritsky, A.; Korb, A.S.; Douglas, P.K.; Cohen, M.S.; Melega, W.P.; Mulgaonkar, A.P.; DeSalles, A.; Min, B.-K.; Yoo, S.-S. A review of low-intensity focused ultrasound pulsation. Brain Stimul. 2011, 4, 125–136. [Google Scholar] [CrossRef]
- Hynynen, K.; McDannold, N.; Vykhodtseva, N.; Jolesz, F.A. Noninvasive MR imaging–guided focal opening of the blood-brain barrier in rabbits. Radiology 2001, 220, 640–646. [Google Scholar] [CrossRef] [PubMed]
- McDannold, N.; Maier, S.E. Magnetic resonance acoustic radiation force imaging. Med. Phys. 2008, 35, 3748–3758. [Google Scholar] [CrossRef]
- Carpentier, A.; Canney, M.; Vignot, A.; Reina, V.; Beccaria, K.; Horodyckid, C.; Karachi, C.; Leclercq, D.; Lafon, C.; Chapelon, J.-Y.; et al. Clinical trial of blood-brain barrier disruption by pulsed ultrasound. Sci. Transl. Med. 2016, 8, 343re2. [Google Scholar] [CrossRef]
- Meng, Y.; Shirzadi, Z.; MacIntosh, B.; Heyn, C.; Smith, G.S.; Aubert, I.; Hamani, C.; Black, S.; Hynynen, K.; Lipsman, N. Blood–brain barrier opening in Alzheimer’s disease using MR-guided focused ultrasound. Nat. Commun. 2018, 9, 1–8. [Google Scholar] [CrossRef][Green Version]
- Mainprize, T.; Lipsman, N.; Huang, Y.; Meng, Y.; Bethune, A.; Ironside, S.; Heyn, C.; Alkins, R.; Trudeau, M.; Sahgal, A.; et al. Blood-brain barrier opening in primary brain tumors with non-invasive MR-guided focused ultrasound: A clinical safety and feasibility study. Sci. Rep. 2019, 9, 321. [Google Scholar] [CrossRef]
- Lee, W.; Kim, H.; Jung, Y.; Song, I.-U.; Chung, Y.A.; Yoo, S.-S. Image-guided transcranial focused ultrasound stimulates human primary somatosensory cortex. Sci. Rep. 2015, 5, 8743. [Google Scholar] [CrossRef]
- Legon, W.; Sato, T.F.; Opitz, A.; Mueller, J.; Barbour, A.; Williams, A.; Tyler, W.J. Transcranial focused ultrasound modulates the activity of primary somatosensory cortex in humans. Nat. Neurosci. 2014, 17, 322–329. [Google Scholar] [CrossRef]
- Lee, W.; Kim, H.-C.; Jung, Y.; Song, I.U.; Chung, Y.A.; Song, I.-U.; Lee, J.-H.; Yoo, S.-S. Transcranial focused ultrasound stimulation of human primary visual cortex. Sci. Rep. 2016, 6, 34026. [Google Scholar] [CrossRef] [PubMed]
- Downs, M.E.; Buch, A.; Karakatsai, M.E.; Komofagou, E.E.; Ferrera, V.P. Blood-Brain Barrier Opening in Behaving Non-Human Primates via Focused Ultrasound with Systemically Administered Microbubbles. Sci. Rep. 2015, 5, 15076. [Google Scholar] [CrossRef] [PubMed]
- Pouliopoulos, A.N.; Wu, S.-Y.; Burgess, M.T.; Karakatsani, M.E.; Kamimura, H.; Konofagou, E.E. A Clinical System for Non-invasive Blood–Brain Barrier Opening Using a Neuronavigation-Guided Single-Element Focused Ultrasound Transducer. Ultrasound Med. Biol. 2020, 46, 73–89. [Google Scholar] [CrossRef]
- Wu, S.-Y.; Aurup, C.; Sanchez, C.S.; Grondin, J.; Zheng, W.; Kamimura, H.; Ferrera, V.P.; Konofagou, E.E. Efficient blood-brain barrier opening in primates with neuronavigation-guided ultrasound and real-time acoustic mapping. Sci. Rep. 2018, 8, 7978. [Google Scholar] [CrossRef]
- Wei, K.-C.; Tsai, H.-C.; Lu, Y.-J.; Yang, H.-W.; Hua, M.-Y.; Wu, M.-F.; Chen, P.-Y.; Huang, C.-Y.; Yen, T.-C.; Liu, H.-L. Neuronavigation-guided focused ultrasound-induced blood-brain barrier opening: A preliminary study in swine. Am. J. Neuroradiol. 2013, 34, 115–120. [Google Scholar] [CrossRef] [PubMed]
- Kim, H.; Chiu, A.; Park, S.; Yoo, S.-S. Image-guided navigation of single-element focused ultrasound transducer. Int. J. Imaging Syst. Technol. 2012, 22, 177–184. [Google Scholar] [CrossRef]
- Ellens, N.P.K.; Kobelevskiy, I.; Chau, A.; Waspe, A.C.; Staruch, R.M.; Chopra, R.; Hynynen, K. The targeting accuracy of a preclinical MRI-guided focused ultrasound system. Medical physics 2015, 42, 430–439. [Google Scholar] [CrossRef] [PubMed]
- McMahon, D.; Poon, C.; Hynynen, K. Increasing BBB permeability via focused ultrasound: Current methods in preclinical research. In Blood-Brain Barrier; Barichello, T., Ed.; Humana Press: New York, NY, USA, 2019; pp. 267–297. [Google Scholar]
- Chopra, R.; Curiel, L.; Staruch, R.; Morrison, L.; Hynynen, K. An MRI-compatible system for focused ultrasound experiments in small animal models. Med. Phys. 2009, 36, 1867–1874. [Google Scholar] [CrossRef]
- Robertson, J.; Martin, E.; Cox, B.; Treeby, B. Sensitivity of simulated transcranial ultrasound fields to acoustic medium property maps. Phys. Med. Biol. 2017, 62, 2559. [Google Scholar] [CrossRef]
- Mueller, J.K.; Ai, L.; Bansal, P.; Legon, W. Computational exploration of wave propagation and heating from transcranial focused ultrasound for neuromodulation. J. Neural Eng. 2016, 13, 056002. [Google Scholar] [CrossRef]
- Mueller, J.K.; Ai, L.; Bansal, P.; Legon, W. Numerical evaluation of the skull for human neuromodulation with transcranial focused ultrasound. J. Neural Eng. 2017, 14, 066012. [Google Scholar] [CrossRef]
- Park, T.Y.; Pahk, K.J.; Kim, H. Method to optimize the placement of a single-element transducer for transcranial focused ultrasound. Comput. Methods Programs Biomed. 2019, 179, 104982. [Google Scholar] [CrossRef] [PubMed]
- Kim, S.; Jo, Y.; Kook, G.; Pasquinelli, C.; Kim, H.; Kim, K.; Hoe, H.-S.; Choe, Y.; Rhim, H.; Thielscher, A.; et al. Transcranial focused ultrasound stimulation with high spatial resolution. Brain Stimul. 2021, 14, 290–300. [Google Scholar] [CrossRef]
- Constans, C.; Deffieux, T.; Pougert, P.; Tanter, M.; Aubry, J.-F. A 200–1380-kHz quadrifrequency focused ultrasound transducer for neurostimulation in rodents and primates: Transcranial in vitro calibration and numerical study of the influence of skull cavity. IEEE Trans. Ultrason. Ferroelectr. Freq. Control. 2017, 64, 717–724. [Google Scholar] [CrossRef]
- Constans, C.; Mateo, P.; Tanter, M.; Aubry, J.-F. Potential impact of thermal effects during ultrasonic neurostimulation: Retrospective numerical estimation of temperature elevation in seven rodent setups. Phys. Med. Biol. 2018, 63, 025003. [Google Scholar] [CrossRef] [PubMed]
- CIBC. “Seg3D” Volumetric Image Segmentation and Visualization. Scientific Computing and Imaging Institute (SCI). Available online: http://www.seg3d.org (accessed on 20 July 2021).
- Khatoun, A.; Asamoah, B.; Mc Laughlin, M. Simultaneously excitatory and inhibitory effects of transcranial alternating current stimulation revealed using selective pulse-train stimulation in the rat motor cortex. J. Neurosci. 2017, 37, 9389–9402. [Google Scholar] [CrossRef] [PubMed]
- Fry, F.J.; Barger, J.E. Acoustical properties of the human skull. J. Acoust. Soc. Am. 1978, 63, 1576–1590. [Google Scholar] [CrossRef] [PubMed]
- Narumi, R.; Matsuki, K.; Mitarai, S.; Azuma, T.; Okita, K.; Sasaki, A.; Yoshinaka, K.; Takagi, S.; Matsumoto, Y. Focus control aided by numerical simulation in heterogeneous media for high-intensity focused ultrasound treatment. Jpn. J. Appl. Phys. 2013, 52, 7. [Google Scholar] [CrossRef]
- Cox, B.T.; Kara, S.; Arridge, S.; Beard, P.C. k-space propagation models for acoustically heterogeneous media: Application to biomedical photoacoustics. J. Acoust. Soc. Am. 2007, 121, 3453–3464. [Google Scholar] [CrossRef] [PubMed]
- Deffieux, T.; Konofagou, E.E. Numerical study of a simple transcranial focused ultrasound system applied to blood-brain barrier opening. IEEE Trans. Ultrason. Ferroelectr. Freq. Control. 2010, 57, 2637–2653. [Google Scholar] [CrossRef]
- Cho, H.; Lee, H.-Y.; Han, M.; Choi, J.-R.; Ahn, S.; Lee, T.; Chang, Y.; Park, J. Localized Down-regulation of P-glycoprotein by Focused Ultrasound and Microbubbles induced Blood-Brain Barrier Disruption in Rat Brain. Sci. Rep. 2016, 6, 31201. [Google Scholar] [CrossRef]
- White, P.; Clement, G.; Hynynen, K. Longitudinal and shear mode ultrasound propagation in human skull bone. Ultrasound Med. Biol. 2006, 32, 1085–1096. [Google Scholar] [CrossRef]
- Marquet, F.; Pernot, M.; Aubry, J.-F.; Montaldo, G.; Marsac, L.; Tanter, M.; Fink, M. Non-invasive transcranial ultrasound therapy based on a 3D CT scan: Protocol validation and in vitro results. Phys. Med. Biol. 2009, 54, 2597. [Google Scholar] [CrossRef]
- Treeby, B.E.; Cox, B.T. Modeling power law absorption and dispersion in viscoelastic solids using a split-field and the fractional Laplacian. J. Acoust. Soc. Am. 2014, 136, 1499–1510. [Google Scholar] [CrossRef]
- Connor, C.W. Simulation Methods and Tissue Property Models for Non-Invasive Transcranial Focused Ultrasound Surgery. Ph.D. Thesis, Massachusetts Institute of Technology, Cambridge, MA, USA, 2005. [Google Scholar]
- Pulkkinen, A.; Huang, Y.; Song, J.; Hynynen, K. Simulations and measurements of transcranial low-frequency ultrasound therapy: Skull-base heating and effective area of treatment. Phys. Med. Biol. 2011, 56, 4661. [Google Scholar] [CrossRef]
- Huh, H.; Park, T.Y.; Seo, H.; Han, M.; Jung, B.; Choi, H.J.; Lee, E.-H.; Pahk, K.J.; Kim, H.; Park, J. A local difference in blood–brain barrier permeability in the caudate putamen and thalamus of a rat brain induced by focused ultrasound. Sci. Rep. 2020, 10, 19286. [Google Scholar] [CrossRef] [PubMed]
- Park, C.Y.; Seo, H.; Lee, E.-H.; Han, M.; Choi, H.; Park, K.-S.; Yoon, S.-Y.; Chang, S.H.; Park, J. Verification of Blood-Brain Barrier Disruption Based on the Clinical Validation Platform Using a Rat Model with Human Skull. Brain Sci. 2021, 11, 1429. [Google Scholar] [CrossRef] [PubMed]
- Ilovitsh, T.; Ilovitsh, A.; Foiret, J.; Caskey, C.F.; Kusunose, J.; Fite, B.Z.; Zhang, H.; Mahakian, L.M.; Tam, S.; Butts-Pauly, K.; et al. Enhanced microbubble contrast agent oscillation following 250 kHz insonation. Sci. Rep. 2018, 8, 16347. [Google Scholar] [CrossRef] [PubMed]
- Kinoshita, M.; McDannold, N.; Jolesz, F.A.; Hynynen, K. Noninvasive localized delivery of Herceptin to the mouse brain by MRI-guided focused ultrasound-induced blood–brain barrier disruption. Proc. Natl. Acad. Sci. USA 2006, 103, 11719–11723. [Google Scholar] [CrossRef] [PubMed]
- Aryal, M.; Fischer, K.; Gentile, C.; Gitto, S.; Zhang, Y.-Z.; McDannold, N. Effects on P-glycoprotein expression after blood-brain barrier disruption using focused ultrasound and microbubbles. PLoS ONE 2017, 12, e0166061. [Google Scholar] [CrossRef] [PubMed]
- Younan, Y.; Deffieux, T.; Larrat, B.; Fink, M.; Tanter, M.; Aubery, J.-F. Influence of the pressure field distribution in transcranial ultrasonic neurostimulation. Med. Phys. 2013, 40, 082902. [Google Scholar] [CrossRef]
- Karakatsani, M.E.M.; Samiotaki, G.M.; Downs, M.E.; Ferrera, V.P.; Konofagou, E.E. Targeting Effects on the Volume of the Focused Ultrasound-Induced Blood–Brain Barrier Opening in Nonhuman Primates In Vivo. IEEE Trans. Ultrason. Ferroelectr. Freq. Control. 2017, 64, 798–810. [Google Scholar] [CrossRef] [PubMed]
- Jung, N.Y.; Rachmilevitch, I.; Sibiger, O.; Amar, T.; Zadicario, E.; Chang, J.W. Factors Related to Successful Energy Transmission of Focused Ultrasound through a Skull: A Study in Human Cadavers and Its Comparison with Clinical Experiences. J. Korean Neurosurg. Soc. 2019, 62, 712–722. [Google Scholar] [CrossRef] [PubMed]
- Yin, X.; Hynynen, K. A numerical study of transcranial focused ultrasound beam propagation at low frequency. Phys. Med. Biol. 2005, 50, 1821. [Google Scholar] [CrossRef] [PubMed]
- Samoudi, M.A.; Van Renterghem, T.; Botteldooren, D. Computational modeling of a single-element transcranial focused ultrasound transducer for subthalamic nucleus stimulation. J. Neural Eng. 2019, 16, 026015. [Google Scholar] [CrossRef] [PubMed]
- O’Reilly, M.A.; Muller, A.; Hynynen, K. Ultrasound insertion loss of rat parietal bone appears to be proportional to animal mass at submegahertz frequencies. Ultrasound Med. Biol. 2011, 37, 1930–1937. [Google Scholar] [CrossRef]
- Gerstenmayer, M.; Fellah, B.; Magnin, R.; Selingue, E.; Larrat, B. Acoustic transmission factor through the rat skull as a function of body mass, frequency and position. Ultrasound Med. Biol. 2018, 44, 2336–2344. [Google Scholar] [CrossRef]







| Base | +A | +P | +R | +L | ||
|---|---|---|---|---|---|---|
| CP | 12.42 | 12.32 | 12.35 | 11.99 | 13.31 | |
| TH | 7.96 | 8.20 | 7.36 | 7.05 | 8.45 | |
| Thickness (mm) | CP | 0.50 | 0.54 | 0.51 | 0.54 | 0.52 |
| TH | 0.51 | 0.50 | 0.53 | 0.55 | 0.50 |
Publisher’s Note: MDPI stays neutral with regard to jurisdictional claims in published maps and institutional affiliations. |
© 2022 by the authors. Licensee MDPI, Basel, Switzerland. This article is an open access article distributed under the terms and conditions of the Creative Commons Attribution (CC BY) license (https://creativecommons.org/licenses/by/4.0/).
Share and Cite
Seo, H.; Huh, H.; Lee, E.-H.; Park, J. Numerical Evaluation of the Effects of Transducer Displacement on Transcranial Focused Ultrasound in the Rat Brain. Brain Sci. 2022, 12, 216. https://doi.org/10.3390/brainsci12020216
Seo H, Huh H, Lee E-H, Park J. Numerical Evaluation of the Effects of Transducer Displacement on Transcranial Focused Ultrasound in the Rat Brain. Brain Sciences. 2022; 12(2):216. https://doi.org/10.3390/brainsci12020216
Chicago/Turabian StyleSeo, Hyeon, Hyungkyu Huh, Eun-Hee Lee, and Juyoung Park. 2022. "Numerical Evaluation of the Effects of Transducer Displacement on Transcranial Focused Ultrasound in the Rat Brain" Brain Sciences 12, no. 2: 216. https://doi.org/10.3390/brainsci12020216
APA StyleSeo, H., Huh, H., Lee, E.-H., & Park, J. (2022). Numerical Evaluation of the Effects of Transducer Displacement on Transcranial Focused Ultrasound in the Rat Brain. Brain Sciences, 12(2), 216. https://doi.org/10.3390/brainsci12020216

