Personality Factors as Predictors in Burnout Level Changes for Surgical Area Nurses
Abstract
1. Introduction
2. Materials and Methods
2.1. Sample
2.2. Variables and Instruments
2.3. The procedure
2.4. Ethics
2.5. Statistical methods
3. Results
3.1. Sample Description
3.2. Model Adjustment for Each Dimension of Burnout
4. Discussion
4.1. Clinical Implications
4.2. Study Limitations
5. Conclusions
Author Contributions
Funding
Institutional Review Board Statement
Informed Consent Statement
Data Availability Statement
Acknowledgments
Conflicts of Interest
References
- Freudenberger, H.J. Staff-Burnout syndrome in alternative institutions. Psychol. Psychother. 1974, 12, 73–82. [Google Scholar]
- Maslach, C.; Jackson, S.E. The measurement of experienced burnout. J. Organ. Behav. 1981, 2, 99–113. [Google Scholar] [CrossRef]
- Schaufeli, W.B.; Leiter, M.P.; Maslach, C. Burnout: 35 years of research and practice. Career Dev. Int. 2009, 14, 204–220. [Google Scholar] [CrossRef]
- Maslach, C.; Jackson, S. MBI: Maslach Burnout Inventory; Consulting Psychologists Press: Palo Alto, CA, USA, 1981. [Google Scholar]
- Salvagioni, D.A.J.; Melanda, F.N.; Mesas, A.E.; González, A.D.; Gabani, F.L.; De Andrade, S.M. Physical, psychological and occupational consequences of job burnout: A systematic review of prospective studies. PLoS ONE 2017, 12, e0185781. [Google Scholar] [CrossRef] [PubMed]
- World Health Organization. Burn-Out an “Occupational Phenomenon”: International Classification of Diseases. Available online: https://www.who.int/news/item/28-05-2019-burn-out-an-occupational-phenomenon-international-classification-of-diseases (accessed on 4 August 2022).
- Melnyk, B.M. Burnout, depression and suicide in nurses/clinicians and learners: An urgent call for action to enhance professional well-being and healthcare safety. Worldviews Evid. Based Nurs. 2020, 17, 2–5. [Google Scholar] [CrossRef]
- Dall’Ora, C.; Ball, J.; Recio-Saucedo, A.; Griffiths, P. Characteristics of shift work and their impact on employee performance and wellbeing: A literature review. Int. J. Nurs. Stud. 2016, 57, 12–27. [Google Scholar] [CrossRef]
- Pérez-Fuentes, M.; Molero Jurado, M.; Martos Martínez, Á.; Gázquez Linares, J. New Burnout EvaluationModel Based on the Brief Burnout Questionnaire: Psychometric Properties for Nursing. Int. J. Environ. Res. Public Health 2018, 15, 2718. [Google Scholar] [CrossRef]
- Gómez-Urquiza, J.L.; Vargas, C.; De la Fuente, E.I.; Fernández-Castillo, R.; Cañadas-De la Fuente, G.A. Age as a risk factor for burnout syndrome in nursing professionals: A meta-analytic study. Res. Nurs. Health 2017, 40, 99–110. [Google Scholar] [CrossRef]
- Cañadas-De la Fuente, G.A.; Ortega, E.; Ramírez-Baena, L.; De la Fuente-Solana, E.I.; Vargas, C.; Gómez-Urquiza, J.L. Gender, marital status and children as risk factors for burnout in nurses. Int. J. Environ. Res. Public Health 2018, 15, 2102. [Google Scholar] [CrossRef]
- Cañadas-De la Fuente, G.A.; Vargas, C.; San Luis, C.; García, I.; Cañadas, G.R.; De la Fuente, E.I. Risk factors and prevalence of burnout syndrome in the nursing profession. Int. J. Nurs. Stud. 2015, 52, 240–249. [Google Scholar] [CrossRef]
- Vargas, C.; Cañadas, G.A.; Aguayo, R.; Fernández, R.; De la Fuente, E.I. Which occupational risk factors are associated with burnout in nursing? A meta-analytic study. Int. J. Clin. Health Psychol. 2014, 14, 28–38. [Google Scholar] [CrossRef]
- De la Fuente-Solana, E.I.; Suleiman-Martos, N.; Velando-Soriano, A.; Cañadas-De la Fuente, G.R.; Herrera-Cabrerizo, B.; Albendín-García, L. Predictors of burnout of health professionals in the departments of maternity and gynaecology, and its association with personality factors: A multicentre study. J. Clin. Nurs. 2021, 30, 207–216. [Google Scholar] [CrossRef] [PubMed]
- De la Fuente-Solana, E.I.; Pradas-Hernández, L.; González-Fernández, C.T.; Velando-Soriano, A.; Martos-Cabrera, M.B.; Gómez-Urquiza, J.L.; Cañadas-De la Fuente, G.A. Burnout syndrome in paediatric nurses: A multi-centre study. Int. J. Environ. Res. Public Health 2021, 18, 1324. [Google Scholar] [CrossRef] [PubMed]
- De la Fuente-Solana, E.I.; Gómez-Urquiza, J.L.; Cañadas, G.R.; Albendín-García, L.; Ortega-Campos, E.; Cañadas-De la Fuente, G.A. Burnout and its relationship with personality factors in oncology nurses. Eur. J. Oncol. Nurs. 2017, 30, 91–96. [Google Scholar] [CrossRef]
- Costa, P.T.; McCrae, R.R. The Neo PI/FFI Manual Supplement, 1st ed.; Psychological Assessment Resources: Odessa, FL, USA, 1989. [Google Scholar]
- Geuens, N.; Van Bogaert, P.; Franck, E. Vulnerability to burnout within the nursing workforce-The role of personality and interpersonal behaviour. J. Clin. Nurs. 2017, 26, 4622–4633. [Google Scholar] [CrossRef] [PubMed]
- Li, X.; Jiang, T.; Sun, J.; Shi, L.; Liu, J. The relationship between occupational stress, job burnout and quality of life among surgical nurses in Xinjiang, China. BMC Nurs. 2021, 20, 181. [Google Scholar] [CrossRef] [PubMed]
- Pudner, R. Nursing the Surgical Patient, 3rd ed.; Bailièrre Tindall: London, UK, 2010. [Google Scholar]
- Sung, S.; Kwon, J.W.; Kim, J.E.; Lee, Y.J.; Lee, S.B.; Lee, S.K.; Moon, S.H.; Lee, B.H. Real-Time Stress Analysis Affecting Nurse during Elective Spinal Surgery Using a Wearable Device. Brain Sci. 2022, 12, 909. [Google Scholar] [CrossRef] [PubMed]
- Costa, P.; McCrae, R. Inventario de Personalidad NEO Revisado. Inventario NEO Reducido de Cinco Factores (NEO-FFI); TEA Ediciones S.A.: Madrid, Spain, 2002. [Google Scholar]
- McCrae, R.; Costa, P.; John, O.; Robins, R.; Pervin, L. Handbook of Personality: Theory and Research; Guilford: New York, NY, USA, 1999. [Google Scholar]
- Seisdedos, N. MBI Inventario Burnout de Maslach; TEA Ediciones: Madrid, Spain, 1997. [Google Scholar]
- Lozano, L.; García-Cueto, E.; Lozano, L.M. Cuestionario Educativo Clínico de Ansiedad y Depresión, 1st ed.; TEA Ediciones: Madrid, Spain, 2007. [Google Scholar]
- World Medical Association. World Medical Association Declaration of Helsinki: Ethical principles for Medical Research Involving Human Subjects. JAMA 2013, 310, 2191–2194. [Google Scholar] [CrossRef]
- Ley Orgánica 3/2018, de 5 de diciembre, de Protección de Datos Personales y garantía de los derechos digitales. Boletín Oficial del Estado, número 294. Available online: https://www.boe.es/buscar/pdf/2018/BOE-A-2018-16673-consolidado.pdf (accessed on 6 December 2018).
- Agresti, A. Foundations of Linear and Generalized Linear Models; Wiley: New York, NY, USA, 2015. [Google Scholar]
- Agresti, A. Categorical Data Analysis, 3rd ed.; Wiley: New York, NY, USA, 2013. [Google Scholar]
- Albendín-García, L.; Suleiman-Martos, N.; Ortega-Campos, E.; Romero-Béjar, J.L.; Cañadas-De la Fuente, G.A. Explanatory Models of Burnout Diagnosis Based on Personality Factors in Primary Care Nurses. Int. J. Environ. Res. Public Health 2022, 12, 970. [Google Scholar] [CrossRef]
- De la Fuente-Solana, E.I.; Cañadas, G.R.; Ramírez-Baena, L.; Gómez-Urquiza, J.L.; Ariza, T.; Cañadas-De la Fuente, G.A. An Explanatory Model of Potential Changes in Burnout Diagnosis According to Personality Factors in Oncology Nurses. Int. J. Environ. Res. Public Health 2016, 16, 312. [Google Scholar] [CrossRef]
- Membrive-Jiménez, M.J.; Gómez-Urquiza, J.L.; Suleiman-Martos, N.; Monsalve-Reyes, C.; Romero-Béjar, J.L.; Cañadas-De la Fuente, G.A.; De la Fuente-Solana, E.I. Explanatory Models of Burnout Diagnosis Based on Personality Factors and Depression in Managing Nurses. J. Pers. Med. 2022, 12, 438. [Google Scholar] [CrossRef] [PubMed]
- Armon, G.; Shirom, A.; Melamed, S. The Big Five personality factors as predictors of changes across time in burnout and its facets. J. Pers. 2012, 80, 403–427. [Google Scholar] [CrossRef] [PubMed]
- Brenninkmeyer, V.; Yperen, N.W.V.; Buunk, B.P. Burnout and depression are not identical twins: Is decline of superiority a distinguishing feature? Pers. Individ. Differ. 2001, 30, 873–880. [Google Scholar] [CrossRef]
- Chen, C.; Meier, S.T. Burnout and depression in nurses: A systematic review and meta-analysis. Int. J. Nurs. Stud. 2021, 124, 104099. [Google Scholar] [CrossRef] [PubMed]
- Kwiatosz-Muc, M.; Kotus, M.; Aftyka, A. Personality Traits and the Sense of Self-Efficacy among Nurse Anaesthetists. Multi-Centre Questionnaire Survey. Int. J. Environ. Res. Public Health 2021, 18, 9381. [Google Scholar] [CrossRef]
- Boamah, S.A.; Read, E.A.; Spence Laschinger, H.K. Factors influencing new graduate nurse burnout development, job satisfaction and patient care quality: A time-lagged study. J. Adv. Nurs. 2017, 73, 1182–1195. [Google Scholar] [CrossRef]
- Gago-Valiente, F.J.; Moreno-Sánchez, E.; Vélez-Moreno, E.; Merino-Godoy, M.-d.-l.-Á.; Sáez-Padilla, J.; de Paula Rodríguez-Miranda, F.; da Costa, E.I.M.T.; Saenz-de-la-Torre, L.-C.; Segura-Camacho, A.; Mendoza-Sierra, M.-I. The Upshot of the SARS-CoV-2 Pandemic on Nursing Assistants: Evaluating Mental Health Indicators in Huelva. J. Clin. Med. 2022, 11, 2586. [Google Scholar] [CrossRef]
- Aiken, L.H.; Simonetti, M.; Sloane, D.M.; Cerón, C.; Soto, P.; Bravo, D.; Galiano, A.; Behrman, J.R.; Smith, H.L.; McHugh, M.D.; et al. Hospital nurse staffing and patient outcomes in Chile: A multilevel cross-sectional study. Lancet Glob. Health 2021, 9, e1145–e1153. [Google Scholar] [CrossRef]
- McHugh, M.D.; Aiken, L.H.; Windsor, C.; Douglas, C.; Yates, P. Case for hospital nurse-to-patient ratio legislation in Queensland, Australia, hospitals: An observational study. BMJ Open 2020, 10, e036264. [Google Scholar] [CrossRef]
- Zhou, H.; Gong, Y.H. Relationship between occupational stress and coping strategy among operating theatre nurses in China: A questionnaire survey. J. Nurs. Manag. 2015, 23, 96–106. [Google Scholar] [CrossRef]
- Agheri, T.; Fatemi, M.; Payandan, H.; Skandari, A.; Momeni, M. The effects of stress-coping strategies and group cognitive behavioral therapy on nurse burnout. Ann. Burns Fire Disasters 2019, 32, 184–189. [Google Scholar]
- Ayala Calvo, J.; García, G. Hardiness as moderator of the relationship between structural and psychological empowerment on burnout in middle managers. J. Occup. Organ. Psychol. 2018, 91, 362–384. [Google Scholar] [CrossRef]
- Pereira, H.; Feher, G.; Tibold, A.; Costa, V.; Monteiro, S.; Esgalhado, G. Mediating Effect of Burnout on the Association between Work-Related Quality of Life and Mental Health Symptoms. Brain Sci. 2021, 11, 813. [Google Scholar] [CrossRef] [PubMed]
- Nagel, C.; Westergren, A.; Persson, S.S.; Lindström, P.N.; Bringsén, Å.; Nilsson, K. Nurses’ Work Environment during the COVID-19 Pandemic in a Person-Centred Practice—A Systematic Review. Sustainability 2022, 14, 5785. [Google Scholar] [CrossRef]

| Variable (N = 214) | Mean | SD |
|---|---|---|
| N | 28.11 | 7.26 |
| F | 45.78 | 6.22 |
| R | 47.70 | 6.12 |
| E | 42.64 | 7.03 |
| O | 38.89 | 7.00 |
| D | 51.05 | 14.69 |
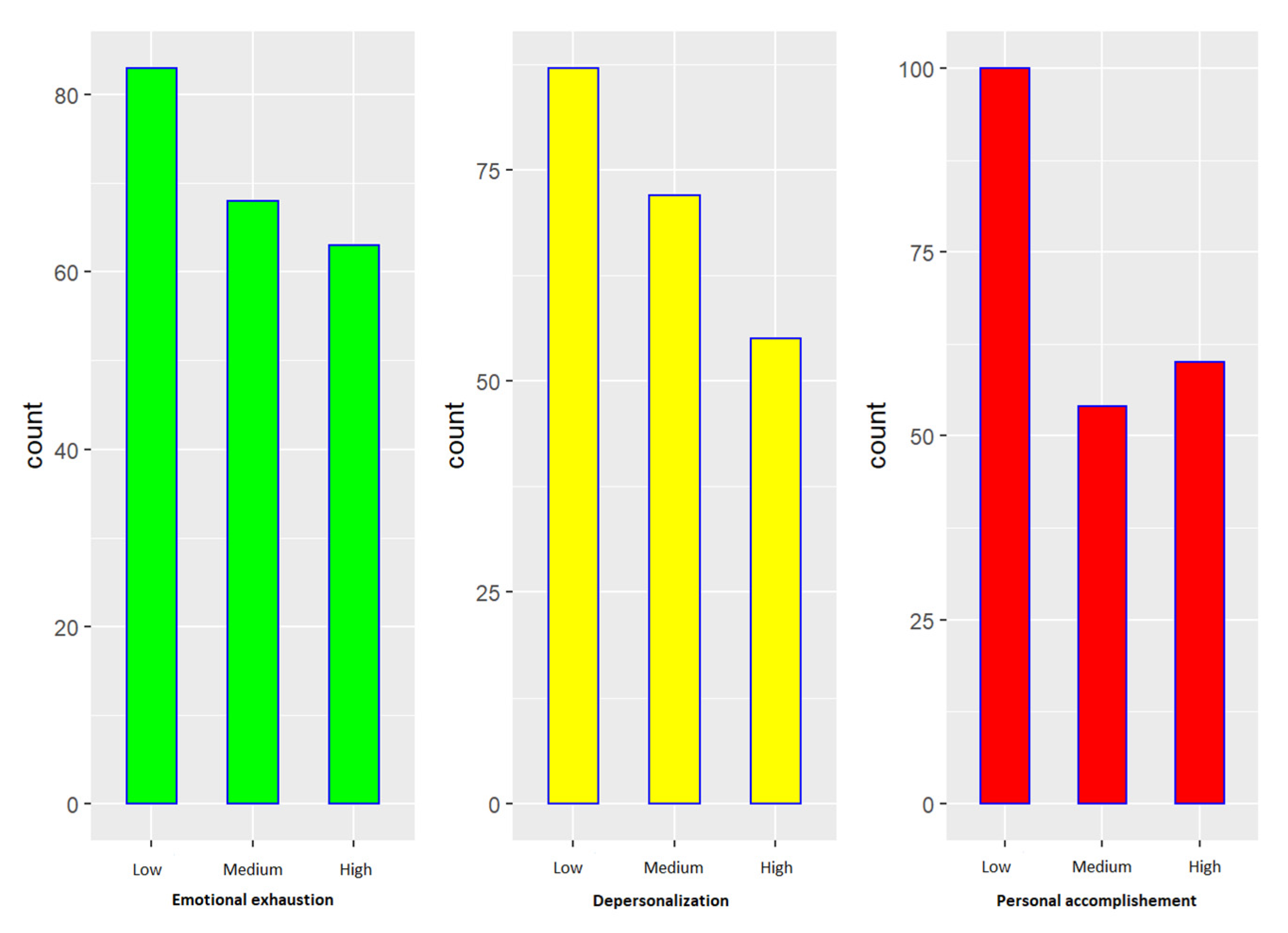
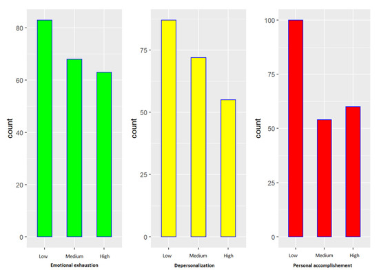
| Levels | EE | DP | PA | ||||||
|---|---|---|---|---|---|---|---|---|---|
| Low | Medium | High | Low | Medium | High | Low | Medium | High | |
| % | 38.8 | 31.8 | 29.4 | 40.7 | 33.6 | 25.7 | 46.7 | 25.2 | 28.1 |
| Mean (SD) | 16.69 (11.49) | 6.25 (5.57) | 36.70 (8.42) | ||||||
| Predictor | B | SD | Wald | p | Odds | CI for 95% Odds | |
|---|---|---|---|---|---|---|---|
| Lower | Upper | ||||||
| N | 0.106 | 0.028 | 3.844 | <0.001 | 1.112 | 1.054 | 1.175 |
| F | −0.042 | 0.027 | −1.539 | 0.123 | 0.959 | 0.908 | 1.011 |
| R | 0.060 | 0.029 | 2.036 | 0.042 | 1.061 | 1.003 | 1.123 |
| E | −0.034 | 0.024 | −1.417 | 0.157 | 0.967 | 0.923 | 1.013 |
| D | 0.056 | 0.015 | 3.839 | <0.001 | 1.057 | 1.028 | 1.089 |
| Predictor | B | SD | Wald | p | Odds | CI for 95% Odds | |
|---|---|---|---|---|---|---|---|
| Lower | Upper | ||||||
| F | −0.079 | 0.025 | −3.167 | 0.001 | 0.924 | 0.879 | 0.969 |
| D | 0.058 | 0.011 | 5.234 | <0.001 | 1.056 | 1.038 | 1.084 |
| Predictor | B | SD | Wald | p | Odds | CI for 95% Odds | |
|---|---|---|---|---|---|---|---|
| Lower | Upper | ||||||
| N | 0.047 | 0.024 | 1.985 | 0.047 | 1.048 | 1.001 | 1.098 |
| F | −0.141 | 0.031 | −4.544 | <0.001 | 0.868 | 0.815 | 0.921 |
| R | −0.165 | 0.033 | −4.965 | <0.001 | 0.848 | 0.793 | 0.903 |
| E | −0.069 | 0.024 | −2.869 | 0.004 | 0.934 | 0.890 | 0.978 |
Publisher’s Note: MDPI stays neutral with regard to jurisdictional claims in published maps and institutional affiliations. |
© 2022 by the authors. Licensee MDPI, Basel, Switzerland. This article is an open access article distributed under the terms and conditions of the Creative Commons Attribution (CC BY) license (https://creativecommons.org/licenses/by/4.0/).
Share and Cite
Velando-Soriano, A.; Cañadas, G.R.; Monsalve-Reyes, C.S.; Romero-Béjar, J.L.; Esquivel, F.J.; De la Fuente-Solana, E.I.; Cañadas-De la Fuente, G.A. Personality Factors as Predictors in Burnout Level Changes for Surgical Area Nurses. Brain Sci. 2022, 12, 1481. https://doi.org/10.3390/brainsci12111481
Velando-Soriano A, Cañadas GR, Monsalve-Reyes CS, Romero-Béjar JL, Esquivel FJ, De la Fuente-Solana EI, Cañadas-De la Fuente GA. Personality Factors as Predictors in Burnout Level Changes for Surgical Area Nurses. Brain Sciences. 2022; 12(11):1481. https://doi.org/10.3390/brainsci12111481
Chicago/Turabian StyleVelando-Soriano, Almudena, Gustavo R. Cañadas, Carolina S. Monsalve-Reyes, José L. Romero-Béjar, Francisco Javier Esquivel, Emilia I. De la Fuente-Solana, and Guillermo Arturo Cañadas-De la Fuente. 2022. "Personality Factors as Predictors in Burnout Level Changes for Surgical Area Nurses" Brain Sciences 12, no. 11: 1481. https://doi.org/10.3390/brainsci12111481
APA StyleVelando-Soriano, A., Cañadas, G. R., Monsalve-Reyes, C. S., Romero-Béjar, J. L., Esquivel, F. J., De la Fuente-Solana, E. I., & Cañadas-De la Fuente, G. A. (2022). Personality Factors as Predictors in Burnout Level Changes for Surgical Area Nurses. Brain Sciences, 12(11), 1481. https://doi.org/10.3390/brainsci12111481

