No Protective Effects of Hair Cells or Supporting Cells in Ototoxically Deafened Guinea Pigs upon Administration of BDNF
Abstract
1. Introduction
2. Materials and Methods
2.1. Animals and Experimental Design
2.2. Deafening Procedure and Treatment Administration
2.3. Tissue Processing and Histology
2.4. Cell Count Analysis
2.5. Determination of Normalization Factors
2.6. Statistical Analysis
3. Results
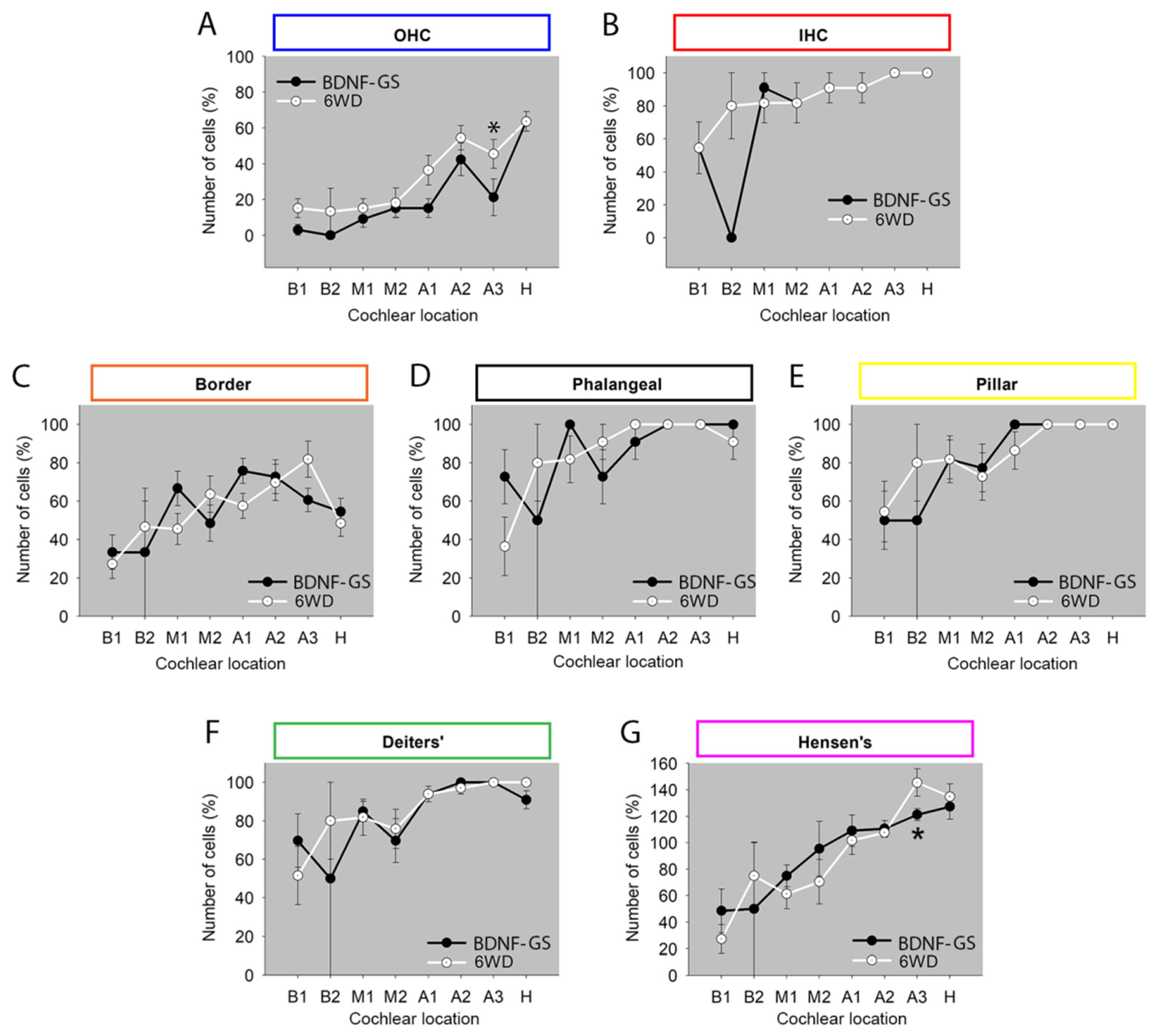
3.1. Sensory and Non-Sensory Cell Counts in Animals Treated with BDNF via Gelatin Sponge
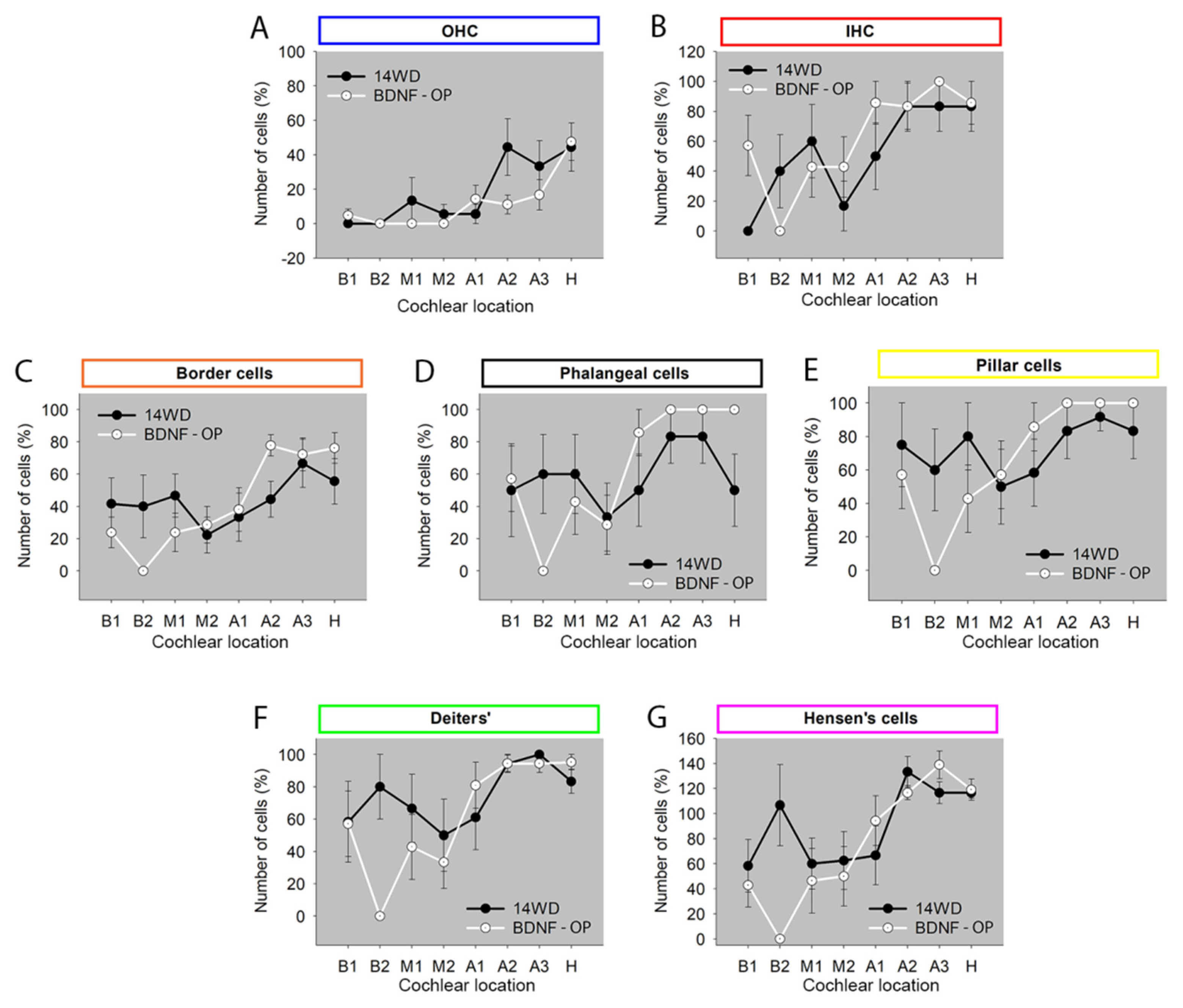
3.2. Sensory and Non-Sensory Cell Counts in Animals Treated via Osmotic Pump
3.3. Correlation between Spiral Ganglion Cell Density and Supporting Cell Number
4. Discussion
4.1. Hair Cells and Supporting Cells Are Not Protected by BDNF
4.2. Kanamycin Induces Progressive Degeneration of Hair Cells and Supporting Cells in Guinea Pigs
4.3. No Correlation between Protection of the Organ of Corti and SGCs Survival
5. Conclusions
Author Contributions
Funding
Institutional Review Board Statement
Data Availability Statement
Acknowledgments
Conflicts of Interest
References
- Lim, D.J. Functional structure of the organ of Corti: A review. Hear. Res. 1986, 22, 117–146. [Google Scholar] [CrossRef]
- Wan, G.; Corfas, G.; Stone, J.S. Inner ear supporting cells: Rethinking the silent majority. Semin. Cell Dev. Biol. 2013, 24, 448–459. [Google Scholar] [CrossRef]
- Monzack, E.L.; Cunningham, L.L.; Gov, E.M. Lead roles for supporting actors: Critical functions of inner ear supporting cells. Hear. Res. 2013, 303, 20–29. [Google Scholar] [CrossRef] [PubMed]
- Waldhaus, J.; Durruthy-Durruthy, R.; Heller, S. Quantitative High-Resolution Cellular Map of the Organ of Corti. Cell Rep. 2015, 11, 1385–1399. [Google Scholar] [CrossRef]
- Pujol, R.; Lenoir, M.; Ladrech, S.; Tribillac, F.; Rebillard, G. Correlation Between the Length of Outer Hair Cells and the Frequency Coding of the Cochlea. In Auditory Physiology and Perception; Elsevier: Pergamon, Turkey, 1992; pp. 45–52. [Google Scholar]
- GGBD 2015 Disease and Injury Incidence and Prevalence Collaborators. Global, regional, and national incidence, prevalence, and years lived with disability for 310 diseases and injuries, 1990-2015: A systematic analysis for the Global Burden of Disease Study 2015. Lancet 2016, 388, 1545–1602. [Google Scholar] [CrossRef]
- Haile, L.M.; Kamenov, K.; Briant, P.S.; Orji, A.U.; Steinmetz, J.D.; Abdoli, A.; Abdollahi, M.; Abu-Gharbieh, E.; Afshin, A.; Ahmed, H.; et al. Hearing loss prevalence and years lived with disability, 1990–2019: Findings from the Global Burden of Disease Study 2019. Lancet 2021, 397, 996–1009. [Google Scholar] [CrossRef]
- Cunningham, L.L.; Tucci, D.L. Hearing Loss in Adults. N. Engl. J. Med. 2017, 377, 2465–2473. [Google Scholar] [CrossRef] [PubMed]
- Versnel, H.; Agterberg, M.J.H.; de Groot, J.C.M.J.; Smoorenburg, G.F.; Klis, S.F.L. Time course of cochlear electrophysiology and morphology after combined administration of kanamycin and furosemide. Hear. Res. 2007, 231, 1–12. [Google Scholar] [CrossRef]
- Shepherd, R.K.; Hardie, N.A. Deafness-Induced Changes in the Auditory Pathway: Implications for Cochlear Implants. Audiol. Neuro-Otol. 2001, 6, 305–318. [Google Scholar] [CrossRef] [PubMed]
- Webster, M.; Webster, D.B. Spiral ganglion neuron loss following organ of corti loss: A quantitative study. Brain Res. 1981, 212, 17–30. [Google Scholar] [CrossRef]
- Wilson, B.S.; Dorman, M.F. Cochlear implants: A remarkable past and a brilliant future. Hear. Res. 2008, 242, 3–21. [Google Scholar] [CrossRef] [PubMed]
- Kamakura, T.; Nadol, J.B. Correlation between word recognition score and intracochlear new bone and fibrous tissue after cochlear implantation in the human. Hear. Res. 2016, 339, 132–141. [Google Scholar] [CrossRef] [PubMed]
- Frick, C.; Fink, S.; Schmidbauer, D.; Rousset, F.; Eickhoff, H.; Tropitzsch, A.; Kramer, B.; Senn, P.; Glueckert, R.; Rask-Andersen, H.; et al. Age-Dependency of Neurite Outgrowth in Postnatal Mouse Cochlear Spiral Ganglion Explants. Brain Sci. 2020, 10, 580. [Google Scholar] [CrossRef]
- Vink, H.A.; van Dorp, W.C.; Thomeer, H.G.X.M.; Versnel, H.; Ramekers, D. Bdnf outperforms trkb agonist 7,8,3′-thf in preserving the auditory nerve in deafened guinea pigs. Brain Sci. 2020, 10, 787. [Google Scholar] [CrossRef]
- Scheper, V.; Seidel-Effenberg, I.; Lenarz, T.; Stöver, T.; Paasche, G. Consecutive Treatment with Brain-Derived Neurotrophic Factor and Electrical Stimulation Has a Protective Effect on Primary Auditory Neurons. Brain Sci. 2020, 10, 559. [Google Scholar] [CrossRef]
- Hayashi, Y.; Suzuki, H.; Nakajima, W.; Uehara, I.; Tanimura, A.; Himeda, T.; Koike, S.; Katsuno, T.; Kitajiri, S.; Koyanagi, N.; et al. Cochlear supporting cells function as macrophage-like cells and protect audiosensory receptor hair cells from pathogens. Sci. Rep. 2020, 10, 1–13. [Google Scholar] [CrossRef] [PubMed]
- Bohne, B.A.; Kimlinger, M.; Harding, G.W. Time course of organ of Corti degeneration after noise exposure. Hear. Res. 2017, 344, 158–169. [Google Scholar] [CrossRef]
- Sugawara, M.; Corfas, G.; Liberman, M.C. Influence of Supporting Cells on Neuronal Degeneration After Hair Cell Loss. J. Assoc. Res. Otolaryngol. 2005, 6, 136–147. [Google Scholar] [CrossRef]
- Raphael, Y.; Kim, Y.-H.; Osumi, Y.; Izumikawa, M. Non-sensory cells in the deafened organ of Corti: Approaches for repair. Int. J. Dev. Biol. 2007, 51, 649–654. [Google Scholar] [CrossRef]
- Taylor, R.R.; Jagger, D.J.; Forge, A. Defining the Cellular Environment in the Organ of Corti following Extensive Hair Cell Loss: A Basis for Future Sensory Cell Replacement in the Cochlea. PLoS ONE 2012, 7, e30577. [Google Scholar] [CrossRef]
- Takada, Y.; Beyer, L.A.; Swiderski, D.L.; O’Neal, A.L.; Prieskorn, D.M.; Shivatzki, S.; Avraham, K.B.; Raphael, Y. Connexin 26 null mice exhibit spiral ganglion degeneration that can be blocked by BDNF gene therapy. Hear. Res. 2014, 309, 124–135. [Google Scholar] [CrossRef] [PubMed]
- Budenz, C.L.; Wong, H.T.; Swiderski, D.L.; Shibata, S.B.; Pfingst, B.E.; Raphael, Y. Differential effects of AAV.BDNF and AAV.Ntf3 in the deafened adult guinea pig ear. Sci. Rep. 2015, 5, 1–8. [Google Scholar] [CrossRef] [PubMed]
- Shu, Y.; Li, W.; Huang, M.; Quan, Y.Z.; Scheffer, D.; Tian, C.; Tao, Y.; Liu, X.; Hochedlinger, K.; Indzhykulian, A.A.; et al. Renewed proliferation in adult mouse cochlea and regeneration of hair cells. Nat. Commun. 2019, 10, 1–15. [Google Scholar] [CrossRef] [PubMed]
- Smith-Cortinez, N.; Yadak, R.; Hendriksen, F.G.J.; Sanders, E.; Ramekers, D.; Stokroos, R.J.; Versnel, H.; Straatman, L.V. LGR5-Positive Supporting Cells Survive Ototoxic Trauma in the Adult Mouse Cochlea. Front. Mol. Neurosci. 2021, 14, 1–9. [Google Scholar] [CrossRef] [PubMed]
- Ramekers, D.; Versnel, H.; Grolman, W.; Klis, S.F.L. Neurotrophins and their role in the cochlea. Hear. Res. 2012, 288, 19–33. [Google Scholar] [CrossRef] [PubMed]
- Skaper, S.D. Neurotrophic Factors: An Overview; Humana Press: New York, NY, USA, 2018; pp. 1–17. [Google Scholar]
- Schimmang, T.; Tan, J.; Müller, M.; Zimmermann, U.; Rohbock, K.; Köpschall, I.; Limberger, A.; Minichiello, L.; Knipper, M. Lack of Bdnf and TrkB signalling in the postnatal cochlea leads to a spatial reshaping of innervation along the tonotopic axis and hearing loss. Development 2003, 130, 4741–4750. [Google Scholar] [CrossRef] [PubMed]
- Ylikoski, J.; Pirvola, U.; Moshnyakov, M.; Palgi, J.; Arumäe, U.; Saarma, M. Expression patterns of neurotrophin and their receptor mRNAs in the rat inner ear. Hear. Res. 1993, 65, 69–78. [Google Scholar] [CrossRef]
- Agterberg, M.J.H.; Versnel, H.; de Groot, J.C.M.J.; Smoorenburg, G.F.; Albers, F.W.J.; Klis, S.F.L. Morphological changes in spiral ganglion cells after intracochlear application of brain-derived neurotrophic factor in deafened guinea pigs. Hear. Res. 2008, 244, 25–34. [Google Scholar] [CrossRef] [PubMed]
- McGuinness, S.L.; Shepherd, R.K. Exogenous BDNF rescues rat spiral ganglion neurons in vivo. Otol. Neurotol. 2005, 26, 1064–1072. [Google Scholar] [CrossRef]
- Ramekers, D.; Versnel, H.; Strahl, S.B.; Klis, S.F.L.; Grolman, W. Temporary neurotrophin treatment prevents deafness- induced auditory nerve degeneration and preserves function. J. Neurosci. 2015, 35, 12331–12345. [Google Scholar] [CrossRef]
- Vink, H.A.; Versnel, H.; Kroon, S.; Klis, S.F.L.; Ramekers, D. BDNF-mediated preservation of spiral ganglion cell peripheral processes and axons in comparison to that of their cell bodies. Hear. Res. 2021, 400, 108114. [Google Scholar] [CrossRef]
- Schilder, A.G.M.; Su, M.P.; Mandavia, R.; Anderson, C.R.; Landry, E.; Ferdous, T.; Blackshaw, H. Early phase trials of novel hearing therapeutics: Avenues and opportunities. Hear. Res. 2019, 380, 175–186. [Google Scholar] [CrossRef]
- Szobota, S.; Mathur, P.D.; Siegel, S.; Black, K.; Saragovi, H.U.; Foster, A.C. BDNF, NT-3 and Trk receptor agonist monoclonal antibodies promote neuron survival, neurite extension, and synapse restoration in rat cochlea ex vivo models relevant for hidden hearing loss. PLoS ONE 2019, 14, e0224022. [Google Scholar] [CrossRef]
- Schulze, J.; Staecker, H.; Wedekind, D.; Lenarz, T.; Warnecke, A. Expression pattern of brain-derived neurotrophic factor and its associated receptors: Implications for exogenous neurotrophin application. Hear. Res. 2020. [Google Scholar] [CrossRef] [PubMed]
- Dai, C.F.; Steyger, P.S.; Wang, Z.M.; Vass, Z.; Nuttall, A.L. Expression of Trk A receptors in the mammalian inner ear. Hear. Res. 2004, 187, 1–11. [Google Scholar] [CrossRef][Green Version]
- Mäder, K.; Lehner, E.; Liebau, A.; Plontke, S.K. Controlled drug release to the inner ear: Concepts, materials, mechanisms, and performance. Hear. Res. 2018, 368, 49–66. [Google Scholar] [CrossRef]
- Kroon, S.; Ramekers, D.; Smeets, E.M.; Hendriksen, F.G.J.; Klis, S.F.L.; Versnel, H. Degeneration of auditory nerve fibers in guinea pigs with severe sensorineural hearing loss. Hear. Res. 2017, 345, 79–87. [Google Scholar] [CrossRef] [PubMed]
- Merchan, M.A.; Merchan, J.A.; Ludena, M.D. Morphology of Hensen’s cells. J. Anat. 1980, 131, 519–523. [Google Scholar] [PubMed]
- Shoji, F.; Miller, A.L.; Mitchell, A.; Yamasoba, T.; Altschuler, R.A.; Miller, J.M. Differential protective effects of neurotrophins in the attenuation of noise-induced hair cell loss. Hear. Res. 2000, 146, 134–142. [Google Scholar] [CrossRef]
- Ruan, R.S.; Leong, S.K.; Mark, I.; Yeoh, K.H. Effects of BDNF and NT-3 on hair cell survival in guinea pig cochlea damaged by kanamycin treatment. Neuroreport 1999, 10, 2067–2071. [Google Scholar] [CrossRef]
- Ramekers, D.; Klis, S.F.L.; Versnel, H. Simultaneous rather than retrograde spiral ganglion cell degeneration following ototoxically induced hair cell loss in the guinea pig cochlea. Hear. Res. 2020, 390. [Google Scholar] [CrossRef] [PubMed]
- Oesterle, E.C.; Campbell, S. Supporting cell characteristics in long-deafened aged mouse ears. J. Assoc. Res. Otolaryngol. 2009, 10, 525–544. [Google Scholar] [CrossRef] [PubMed][Green Version]
- Stankovic, K.; Rio, C.; Xia, A.; Sugawara, M.; Adams, J.C.; Liberman, M.C.; Corfas, G. Survival of Adult Spiral Ganglion Neurons Requires erbB Receptor Signaling in the Inner Ear. J. Neurosci. 2004, 24, 8651–8661. [Google Scholar] [CrossRef] [PubMed]
- Liberman, M.C.; Kujawa, S.G. Cochlear synaptopathy in acquired sensorineural hearing loss: Manifestations and mechanisms. Hear. Res. 2017, 349, 138–147. [Google Scholar] [CrossRef] [PubMed]
- Fernandez, K.A.; Guo, D.; Micucci, S.; De Gruttola, V.; Liberman, M.C.; Kujawa, S.G. Noise-induced Cochlear Synaptopathy with and Without Sensory Cell Loss. Neuroscience 2020, 427, 43–57. [Google Scholar] [CrossRef] [PubMed]










| Cytotype | Morphological Aspects | Inclusion Criteria |
|---|---|---|
| IHC |
| Cells included as IHC comply with point 1 and at least one of point 2 and 3. |
| OHC |
| Cells included as OHC comply with point 1 and at least one of point 2 and 3. |
| Border |
| Cells included as Border cells comply with at least point 1 and 2. |
| Phalangeal |
| Cells included as Phalangeal comply with at least point 1 and 2. |
| Pillar |
| Cells included as Pillar comply with one of the morphological aspects. |
| Deiters’ |
| Cells included as Deiters’ cells comply at least with points 1 and 2. |
| Hensen’s |
| Cells included as Hensen’s comply with at least point 1 or 2. |
Publisher’s Note: MDPI stays neutral with regard to jurisdictional claims in published maps and institutional affiliations. |
© 2021 by the authors. Licensee MDPI, Basel, Switzerland. This article is an open access article distributed under the terms and conditions of the Creative Commons Attribution (CC BY) license (https://creativecommons.org/licenses/by/4.0/).
Share and Cite
Tisi, A.; Rovers, J.; Vink, H.A.; Ramekers, D.; Maccarone, R.; Versnel, H. No Protective Effects of Hair Cells or Supporting Cells in Ototoxically Deafened Guinea Pigs upon Administration of BDNF. Brain Sci. 2022, 12, 2. https://doi.org/10.3390/brainsci12010002
Tisi A, Rovers J, Vink HA, Ramekers D, Maccarone R, Versnel H. No Protective Effects of Hair Cells or Supporting Cells in Ototoxically Deafened Guinea Pigs upon Administration of BDNF. Brain Sciences. 2022; 12(1):2. https://doi.org/10.3390/brainsci12010002
Chicago/Turabian StyleTisi, Annamaria, Jochebed Rovers, Henk A. Vink, Dyan Ramekers, Rita Maccarone, and Huib Versnel. 2022. "No Protective Effects of Hair Cells or Supporting Cells in Ototoxically Deafened Guinea Pigs upon Administration of BDNF" Brain Sciences 12, no. 1: 2. https://doi.org/10.3390/brainsci12010002
APA StyleTisi, A., Rovers, J., Vink, H. A., Ramekers, D., Maccarone, R., & Versnel, H. (2022). No Protective Effects of Hair Cells or Supporting Cells in Ototoxically Deafened Guinea Pigs upon Administration of BDNF. Brain Sciences, 12(1), 2. https://doi.org/10.3390/brainsci12010002

