The Impact of Repeated Attachment Priming on Paranoia, Mood and Help-Seeking Intentions in an Analogue Sample
Abstract
:1. Introduction
1.1. Attachment Theory
1.2. Attachment Security Priming
1.3. Attachment Style Priming in Paranoia
1.4. Impact of Attachment Style on Help Seeking in Paranoia
1.5. Current Study
- Relative to insecure-avoidant attachment priming, secure attachment priming will reduce state paranoia, negative affect and cognitive fusion and increase state positive affect and help-seeking intentions from pre-prime (Time 1) to post-prime (Times 1b, 3, 5).
- Relative to the insecure-avoidant group, the secure attachment group will have lower levels of state paranoia, negative affect and cognitive fusion and higher levels of state positive affect and help-seeking intentions, post attachment priming (at Times 1b, 3, 5).
- These changes will be mediated by cognitive fusion – cognitive fusion will mediate the impact of attachment priming (insecure-avoidant vs. secure) on (a) paranoia, (b) negative affect, (c) positive affect and (d) help seeking; relative to insecure-avoidant priming, secure priming will (a) decrease paranoia, (b) decrease negative affect, (c) increase positive affect and (d) increase help-seeking intentions, via decreased cognitive fusion.
2. Materials and Methods
2.1. Ethical Considerations
2.2. Design
2.3. Participants
2.4. Procedure
2.5. Measures
2.5.1. Trait Measures
2.5.2. State Measures
2.5.3. Experimental Manipulation
2.5.4. Data Analyses
3. Results
3.1. Demographic and Trait Measures
3.2. Manipulation Checks
3.3. Impact of Attachment Priming
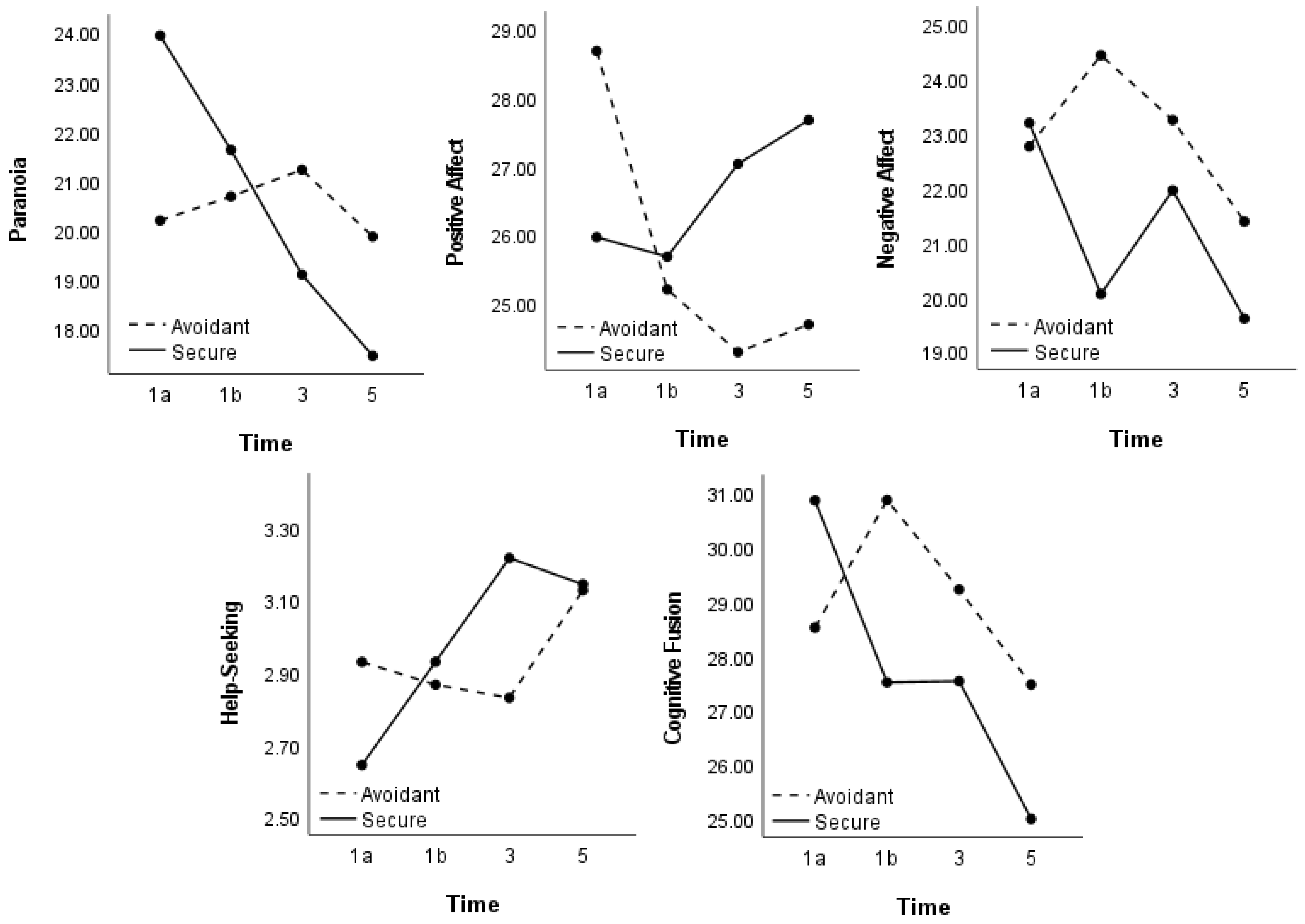
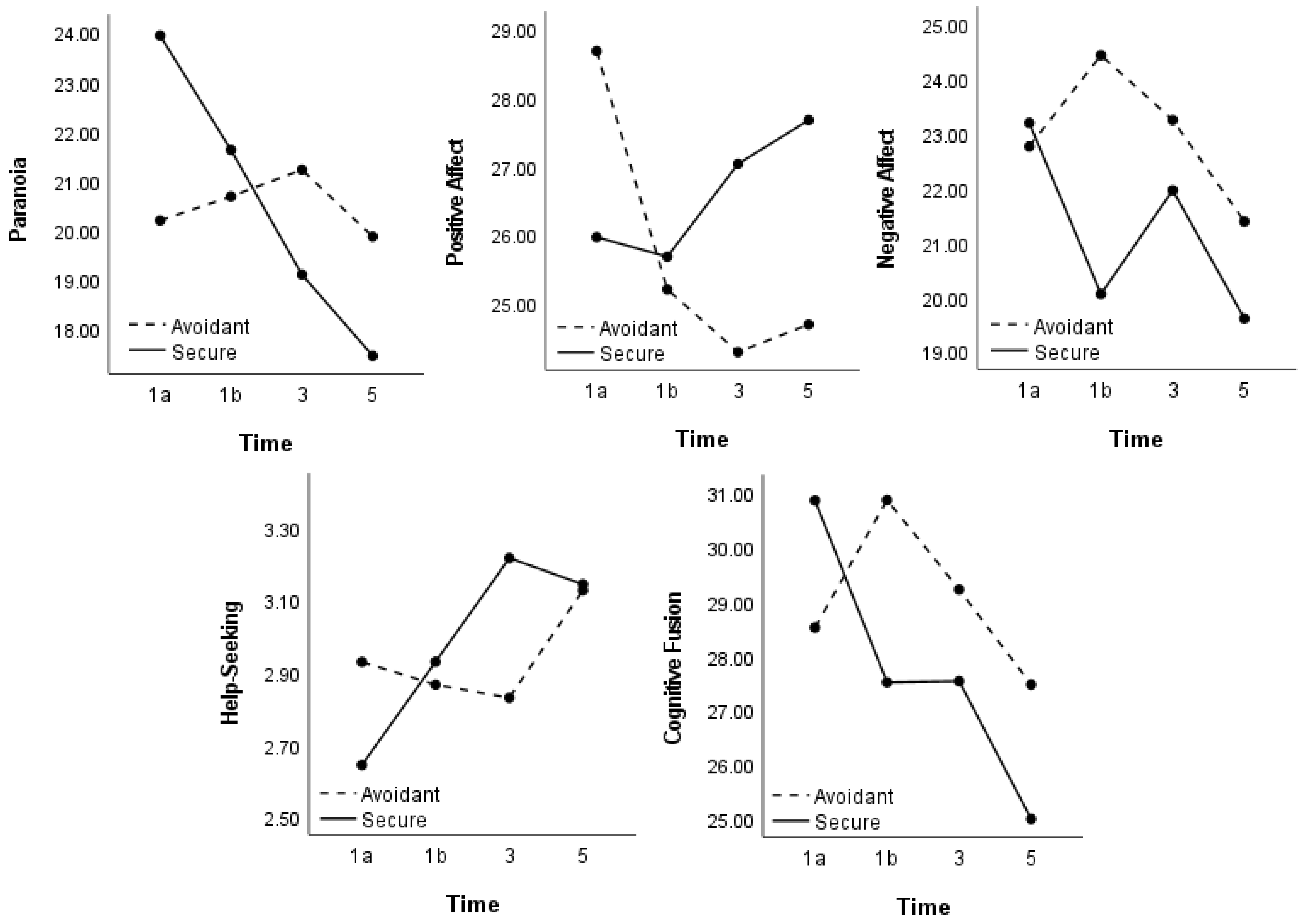
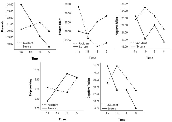
3.4. State Paranoia
3.5. State Mood
3.6. State Help-Seeking
3.7. State Cognitive Fusion
3.8. Mediation
3.9. Supplementary Analyses
4. Discussion
5. Conclusions
Supplementary Materials
Author Contributions
Funding
Institutional Review Board Statement
Informed Consent Statement
Data Availability Statement
Acknowledgments
Conflicts of Interest
References
- Bowlby, J. Attachment and Loss: Attachment (Vol. 1); Penguin: London, UK, 1969. [Google Scholar]
- Ainsworth, M.D.S.; Blehar, M.C.; Waters, E.; Wall, S. Patterns of Attachment: A psychological Study of the Strange Situation; Lawrence Erlbaum: Mahwah, NJ, USA, 1978. [Google Scholar]
- Baldwin, M.W.; Keelan, J.P.R.; Fehr, B.; Enns, V.; Koh-Rangarajoo, E. Social-cognitive conceptualization of attachment working models: Availability and accessibility effects. J. Personal. Soc. Psychol. 1996, 71, 94–109. [Google Scholar] [CrossRef]
- Brennan, K.A.; Clark, C.L.; Shaver, P.R. Self-report measurement of adult romantic attachment: An integrative overview. In Attachment Theory and Close Relationships; Simpson, J.A., Rholes, W.S., Eds.; Guildford: New York, NY, USA, 1998; pp. 46–76. [Google Scholar]
- Mikulincer, M.; Shaver, P.R. Attachment in Adulthood: Structure, Dynamics and Change; Guilford: New York, NY, USA, 2016. [Google Scholar]
- Berry, K.; Bucci, S.; Danquah, A.N. Attachment Theory and Psychosis: Current Perspectives and Future Directions; Routledge: Oxford, UK, 2020. [Google Scholar]
- Baldwin, M.W.; Fehr, B.; Keedian, E.; Seidel, M.; Thomson, D.W. An Exploration of the Relational Schemata Underlying Attachment Styles: Self-Report and Lexical Decision Approaches. Pers. Soc. Psychol. Bull. 1993, 19, 746–754. [Google Scholar] [CrossRef]
- Rowe, A.; Carnelley, K.B. Attachment style differences in the processing of attachment-relevant information: Primed-style effects on recall, interpersonal expectations, and affect. Pers. Relationships 2003, 10, 59–75. [Google Scholar] [CrossRef]
- Collins, N.L.; Read, S.J. Cognitive representations of attachment: The structure and function of working models. In Attachment Processes in Adulthood; Kingsley: Philadelphia, PA, USA, 1994; pp. 53–90. [Google Scholar]
- Shaver, P.R.; Mikulincer, M. Attachment Theory, Individual Psychodynamics, and Relationship Functioning. In The Cambridge Handbook of Personal Relationships; Cambridge University Press: Cambridge, UK, 2006; pp. 251–271. [Google Scholar]
- Carnelley, K.B.; Rowe, A.C.; Shaver, P.R.; Mikulincer, M. Priming a sense of security: What goes through people’s minds? J. Soc. Pers. Relatsh. 2010, 27, 253–261. [Google Scholar] [CrossRef]
- Carnelley, K.B.; Rowe, A.C. Repeated priming of attachment security influences later views of self and relationships. Pers. Relatsh. 2007, 14, 307–320. [Google Scholar] [CrossRef]
- Carnelley, K.B.; Otway, L.J.; Rowe, A.C. The Effects of Attachment Priming on Depressed and Anxious Mood. Clin. Psychol. Sci. 2015, 4, 433–450. [Google Scholar] [CrossRef]
- McGuire, A.; Gillath, O.; Jackson, Y.; Ingram, R. Attachment security priming as a potential intervention for de-pressive symptoms. J. Social Clin. Psych. 2018, 37, 44–68. [Google Scholar] [CrossRef] [Green Version]
- Millings, A.; Carnelley, K.B.; Cavanagh, K.; Wilderspin, A.; Wiseman, H.; Rowe, A.C. Priming attachment securi-ty improves attitudes towards a range of therapies. Bri. J. Psych. 2019, 110, 15–39. [Google Scholar] [CrossRef]
- Rowe, A.C.; Shepstone, L.; Carnelley, K.B.; Cavanagh, K.; Millings, A. Attachment security and self-compassion priming increase the likelihood that first-time engagers in mindfulness meditation will continue with mindfulness training. Mindfulness 2016, 7, 642–650. [Google Scholar] [CrossRef]
- Carnelley, K.B.; Bejinaru, M.-M.; Otway, L.; Baldwin, D.S.; Rowe, A.C. Effects of repeated attachment security priming in outpatients with primary depressive disorders. J. Affect. Disord. 2018, 234, 201–206. [Google Scholar] [CrossRef]
- Gillath, O.; Selcuk, E.; Shaver, P.R. Moving Toward a Secure Attachment Style: Can Repeated Security Priming Help? Soc. Pers. Psychol. Compass 2008, 2, 1651–1666. [Google Scholar] [CrossRef]
- Rowe, A.C.; Gold, E.R.; Carnelley, K.B. The Effectiveness of Attachment Security Priming in Improving Positive Affect and Reducing Negative Affect: A Systematic Review. Int. J. Environ. Res. Public Heal. 2020, 17, 968. [Google Scholar] [CrossRef] [PubMed] [Green Version]
- Freeman, D.; Garety, P.; Bebbington, P.; Smith, B.; Rollinson, R.; Fowler, D.; Kuipers, E.; Ray, K.; Dunn, G. Psychological investigation of the structure of paranoia in a non-clinical population. Br. J. Psychiatry 2005, 186, 427–435. [Google Scholar] [CrossRef] [PubMed]
- Van Os, J.; Hanssen, M.; Bijl, R.V.; Ravelli, A. Strauss (1969) revisited: A psychosis continuum in the general population? Schizophr. Res. 2000, 45, 11–20. [Google Scholar] [CrossRef]
- MacBeth, A.; Schwannauer, M.; Gumley, A. The association between attachment style, social mentalities, and paranoid ideation: An analogue study. Psychol. Psychother. Theory, Res. Pract. 2008, 81, 79–93. [Google Scholar] [CrossRef]
- Meins, E.; Jones, S.R.; Fernyhough, C.; Hurndall, S.; Koronis, P. Attachment dimensions and schizotypy in a non-clinical sample. Pers. Individ. Differ. 2008, 44, 1000–1011. [Google Scholar] [CrossRef]
- Murphy, R.; Goodall, K.; Woodrow, A. The relationship between attachment insecurity and experiences on the paranoia continuum: A meta-analysis. Br. J. Clin. Psychol. 2020, 59, 290–318. [Google Scholar] [CrossRef]
- Russo, D.A.; Stochl, J.; Hodgekins, J.; Iglesias-González, M.; Chipps, P.; Painter, M.; Jones, P.B.; Perez, J. Attachment styles and clinical correlates in people at ultra high risk for psychosis. Br. J. Psychol. 2017, 109, 45–62. [Google Scholar] [CrossRef]
- Korver-Nieberg, N.; Berry, K.; Meijer, C.; de Haan, L.; Ponizovsky, A.M. Associations between attachment and psychopathology dimensions in a large sample of patients with psychosis. Psychiatry Res. 2015, 228, 83–88. [Google Scholar] [CrossRef]
- Lavin, R.; Bucci, S.; Varese, F.; Berry, K. The relationship between insecure attachment and paranoia in psychosis: A systematic literature review. Br. J. Clin. Psychol. 2019, 59, 39–65. [Google Scholar] [CrossRef] [Green Version]
- Ponizovsky, A.M.; Vitenberg, E.; Baumgarten-Katz, I.; Grinshpoon, A. Attachment styles and affect regulation among outpatients with schizophrenia: Relationships to symptomatology and emotional distress. Psychol. Psychother. Theory, Res. Pract. 2011, 86, 164–182. [Google Scholar] [CrossRef] [PubMed]
- Strand, J.; Goulding, A.; Tidefors, I. Attachment styles and symptoms in individuals with psychosis. Nord. J. Psychiatry 2014, 69, 67–72. [Google Scholar] [CrossRef] [PubMed]
- Bullock, G.; Newman-Taylor, K.; Stopa, L. The role of mental imagery in non-clinical paranoia. J. Behav. Ther. Exp. Psychiatry 2016, 50, 264–268. [Google Scholar] [CrossRef] [Green Version]
- Newman-Taylor, K.; Kemp, A.; Potter, H.; Au-Yeung, S. An Online Investigation of Imagery to Attenuate Paranoia in College Students. J. Child. Fam. Stud. 2017, 27, 853–859. [Google Scholar] [CrossRef]
- Sood, M.; Carnelley, K.; Newman-Taylor, K. How does attachment imagery for paranoia work? Cognitive fusion and beliefs about self and others mediate the impact on paranoia and anxiety. Psychol. Psychother. Theory Res. Pract. 2021. [Google Scholar] [CrossRef]
- Sood, M.; Newman-Taylor, K. Cognitive Fusion Mediates the Impact of Attachment Imagery on Paranoia and Anxiety. Cogn. Ther. Res. 2020, 44, 1150–1161. [Google Scholar] [CrossRef]
- Newman-Taylor, K. ‘Felt security’ as a means of facilitating imagery rescripting in psychosis: A clinical protocol and illustrative case study. Cogn. Behav. Ther. 2020, 13, 20000288. [Google Scholar] [CrossRef]
- Pitfield, C.; Maguire, T.; Newman-Taylor, K. Impact of attachment imagery on paranoia and mood: Evidence from two single case studies. Behav. Cogn. Psychother. 2020, 48, 572–583. [Google Scholar] [CrossRef]
- Hayes, S.C.; Luoma, J.B.; Bond, F.W.; Masuda, A.; Lillis, J. Acceptance and commitment therapy: Model, processes and outcomes. Behav. Res. Ther. 2006, 44, 1–25. [Google Scholar] [CrossRef] [Green Version]
- Teasdale, J.D.; Moore, R.G.; Hayhurst, H.; Pope, M.; Williams, S.; Segal, Z.V. Metacognitive awareness and pre-vention of relapse in depression: Empirical evidence. J. Consult. Clin. Psychol. 2002, 70, 275. [Google Scholar] [CrossRef]
- Gillanders, D.T.; Bolderston, H.; Bond, F.W.; Dempster, M.; Flaxman, P.E.; Campbell, L.; Kerr, S.; Tansey, L.; Noel, P.; Ferenbach, C.; et al. The Development and Initial Validation of the Cognitive Fusion Questionnaire. Behav. Ther. 2014, 45, 83–101. [Google Scholar] [CrossRef] [PubMed] [Green Version]
- Bernstein, A.; Hadash, Y.; Lichtash, Y.; Tanay, G.; Shepherd, K.; Fresco, D. Decentering and related constructions: A critical review and metacognitive processes model. Perspect. Psychol. Sci. 2015, 10, 599–617. [Google Scholar] [CrossRef] [PubMed] [Green Version]
- Hayes, S.C.; Strosahl, K.D.; Wilson, K.G. Acceptance and Commitment Therapy: The Process and Practice of Mindful Change, 2nd ed.; Guilford Press: New York, NY, USA, 2011. [Google Scholar]
- Krafft, J.; Haeger, J.A.; Levin, M.E. Comparing cognitive fusion and cognitive reappraisal as predictors of college student mental health. Cogn. Behav. Ther. 2018, 48, 241–252. [Google Scholar] [CrossRef] [PubMed] [Green Version]
- Teasdale, J.D. Metacognition, mindfulness and the modification of mood disorders. Clin. Psychol. Psychother. 1999, 6, 146–155. [Google Scholar] [CrossRef]
- Cooke, A. Understanding Psychosis and Schizophrenia; British Psychological Society: Leicester, UK, 2014. [Google Scholar]
- Boonstra, N.; Klaassen, R.; Sytema, S.; Marshall, M.; De Haan, L.; Wunderink, L.; Wiersma, D. Duration of untreated psychosis and negative symptoms—A systematic review and meta-analysis of individual patient data. Schizophr. Res. 2012, 142, 12–19. [Google Scholar] [CrossRef] [Green Version]
- Souaiby, L.; Gaillard, R.; Krebs, M.-O. Durée de psychose non traitée: État des lieux et analyse critique. L’Encéphale 2016, 42, 361–366. [Google Scholar] [CrossRef]
- Penttilä, M.; Jääskeläinen, E.; Hirvonen, N.; Isohanni, M.; Miettunen, J. Duration of untreated psychosis as predictor of long-term outcome in schizophrenia: Systematic review and meta-analysis. Br. J. Psychiatry 2014, 205, 88–94. [Google Scholar] [CrossRef] [Green Version]
- Johnstone, E.C.; Crow, T.J.; Johnson, A.L.; MacMillan, J.F. The Northwick Park study of first episodes of schizo-phrenia: I. Presentation of the illness and problems relating to admission. Br. J. Psychiatry 1986, 148, 115–120. [Google Scholar] [CrossRef]
- Chaiyakunapruk, N.; Chong, H.Y.; Teoh, S.L.; Wu, D.B.-C.; Kotirum, S.; Chiou, C.-F. Global economic burden of schizophrenia: A systematic review. Neuropsychiatr. Dis. Treat. 2016, 12, 357–373. [Google Scholar] [CrossRef] [Green Version]
- Cloutier, M.; Aigbogun, M.S.; Guerin, A.; Nitulescu, R.; Ramanakumar, A.V.; Kamat, S.A.; DeLucia, M.; Duffy, R.; Legacy, S.N.; Henderson, C.; et al. The Economic Burden of Schizophrenia in the United States in 2013. J. Clin. Psychiatry 2016, 77, 764–771. [Google Scholar] [CrossRef]
- World Health Organization. Mental and Neurological Disorders. Fact Sheet: The World Health Report; World Health Organization: Geneva, Switzerland, 2001. [Google Scholar]
- World Health Organization. The ICD-11 Classification of Mental and Behavioural Disorders: Clinical Descriptions and Diagnostic Guidelines; World Health Organization: Geneva, Switzerland, 2018. [Google Scholar]
- Birchwood, M.; Todd, P.; Jackson, C. Early intervention in psychosis. The critical period hypothesis. Int. Clin. Psychopharmacol. 1998, 172, 53–59. [Google Scholar] [CrossRef]
- Brunet, K.; Birchwood, M.; Lester, H.; Thornhill, K. Delays in mental health services and duration of untreated psychosis. Psychiatr. Bull. 2007, 31, 408–410. [Google Scholar] [CrossRef] [Green Version]
- Dozier, M. Attachment organization and treatment use for adults with serious psychopathological disorders. Dev. Psychopathol. 1990, 2, 47–60. [Google Scholar] [CrossRef]
- Berry, K.; Barrowclough, C.; Wearden, A. Attachment theory: A framework for understanding symptoms and in-terpersonal relationships in psychosis. Behav. Res. Ther. 2008, 46, 1275–1282. [Google Scholar] [CrossRef]
- Melo, S.S.; Bentall, R.P. Coping in subclinical paranoia: A two nations study. Psychol. Psychother. 2010, 83, 407–420. [Google Scholar] [CrossRef]
- Fenigstein, A.; Vanable, P.A. Paranoia and self-consciousness. J. Pers. Soc. Psychol. 1992, 62, 129–138. [Google Scholar] [CrossRef]
- Bartz, J.A.; Lydon, J.E. Close Relationships and the Working Self-Concept: Implicit and Explicit Effects of Priming Attachment on Agency and Communion. Pers. Soc. Psychol. Bull. 2004, 30, 1389–1401. [Google Scholar] [CrossRef]
- Lovibond, P.; Lovibond, S.; Lovibond, P.; Lovibond, S. The structure of negative emotional states: Comparison of the Depression Anxiety Stress Scales (DASS) with the Beck Depression and Anxiety Inventories. Behav. Res. Ther. 1995, 33, 335–343. [Google Scholar] [CrossRef]
- Schlier, B.; Moritz, S.; Lincoln, T.M. Measuring fluctuations in paranoia: Validity and psychometric properties of brief state versions of the Paranoia Checklist. Psychiatry Res. 2016, 241, 323–332. [Google Scholar] [CrossRef]
- Watson, D.; Clark, L.A.; Tellegen, A. Development and validation of brief measures of positive and negative affect: The PANAS scales. J. Pers. Soc. Psychol. 1988, 54, 1063–1070. [Google Scholar] [CrossRef]
- Bolderston, H.; Gillanders, D.T.; Turner, G.; Taylor, H.C.; Mhaoileoin, D.N.; Coleman, A. The initial validation of a state version of the Cognitive Fusion Questionnaire. J. Context. Behav. Sci. 2018, 12, 207–215. [Google Scholar] [CrossRef]
- Luke, M.A.; Sedikides, C.; Carnelley, K. Your Love Lifts Me Higher! The Energizing Quality of Secure Relationships. Pers. Soc. Psychol. Bull. 2012, 38, 721–733. [Google Scholar] [CrossRef] [Green Version]
- Tabachnick, B.G.; Fidell, L.S. Using Multivariate Statistics, 6th ed.; Pearson Education: New York, NY, USA, 2013. [Google Scholar]
- Hayes, A.F. Introduction to Mediation, Moderation, and Conditional Process Analysis, 2nd ed.; Guilford Press: New York, NY, USA, 2018. [Google Scholar]
- Kenny, D.A. Mediation. September 2018. Available online: http://davidakenny.net/cm/mediate.htm (accessed on 1 July 2021).
- Silva, D.; Maguire, T.; McSherry, P.; Newman-Taylor, K. Targeting affect leads to reduced paranoia in people with psychosis: A single case series. Behav. Cogn. Psychother. 2020, 49, 302–313. [Google Scholar] [CrossRef]
- Telch, C.F.; Agras, W.S.; Linehan, M.M. Dialectical behavior therapy for binge eating disorder. J. Consult. Clin. Psychol. 2001, 69, 1061. [Google Scholar] [CrossRef]
- Selcuk, E.; Zayas, V.; Günaydin, G.; Hazan, C.; Kross, E. Mental representations of attachment figures facilitate recovery following upsetting autobiographical memory recall. J. Pers. Soc. Psychol. 2012, 103, 362–378. [Google Scholar] [CrossRef] [PubMed] [Green Version]



| Secure Prime Group (n = 42) | Avoidant Prime Group (n = 37) | |||
|---|---|---|---|---|
| M | SD | M | SD | |
| Trait paranoia | 63.40 | 12.05 | 60.35 | 6.40 |
| Trait depression | 31.64 | 10.99 | 31.38 | 11.32 |
| Trait anxiety | 30.88 | 9.06 | 28.86 | 9.22 |
| Trait stress | 35.79 | 10.95 | 34.41 | 9.16 |
| Trait cognitive fusion | 36.24 | 8.49 | 33.11 | 8.00 |
| Trait attachment anxiety | 4.69 | 0.85 | 4.40 | 1.02 |
| Trait attachment avoidance | 3.92 | 1.00 | 3.79 | 0.93 |
| Secure Prime Group | Insecure-Avoidant Prime Group | |||||||
|---|---|---|---|---|---|---|---|---|
| Time 1a M (SD) | Time 1b M (SD) | Time 3 M (SD) | Time 5 M (SD) | Time 1a M (SD) | Time 1b M (SD) | Time 3 M (SD) | Time 5 M (SD) | |
| Paranoia | 23.93 (9.01) | 21.62 (10.23) | 19.10 (8.91) | 17.45 (9.92) | 20.19 (8.13) | 20.68 (9.00) | 21.22 (9.47) | 19.86 (9.12) |
| Positive affect | 25.95 (9.15) | 25.67 (10.75) | 27.02 (9.03) | 27.67 (11.21) | 28.68 (9.06) | 25.19 (9.99) | 24.27 (9.10) | 24.68 (9.18) |
| Negative affect | 23.19 (8.83) | 20.05 (9.57) | 21.95 (9.52) | 19.60 (8.67) | 22.76 (8.84) | 24.43 (9.82) | 23.24 (9.12) | 21.38 (8.70) |
| Help seeking | 2.64 (1.18) | 2.93 (1.32) | 3.21 (1.20) | 3.14 (1.38) | 2.93 (1.11) | 2.86 (1.18) | 2.83 (1.11) | 3.13 (1.25) |
| Cognitive fusion | 30.86 (9.12) | 27.50 (10.98) | 27.52 (10.49) | 24.98 (10.51) | 28.51 (11.10) | 30.86 (9.95) | 29.22 (10.09) | 27.46 (10.63) |
Publisher’s Note: MDPI stays neutral with regard to jurisdictional claims in published maps and institutional affiliations. |
© 2021 by the authors. Licensee MDPI, Basel, Switzerland. This article is an open access article distributed under the terms and conditions of the Creative Commons Attribution (CC BY) license (https://creativecommons.org/licenses/by/4.0/).
Share and Cite
Newman-Taylor, K.; Sood, M.; Rowe, A.C.; Carnelley, K.B. The Impact of Repeated Attachment Priming on Paranoia, Mood and Help-Seeking Intentions in an Analogue Sample. Brain Sci. 2021, 11, 1257. https://doi.org/10.3390/brainsci11101257
Newman-Taylor K, Sood M, Rowe AC, Carnelley KB. The Impact of Repeated Attachment Priming on Paranoia, Mood and Help-Seeking Intentions in an Analogue Sample. Brain Sciences. 2021; 11(10):1257. https://doi.org/10.3390/brainsci11101257
Chicago/Turabian StyleNewman-Taylor, Katherine, Monica Sood, Angela C. Rowe, and Katherine B. Carnelley. 2021. "The Impact of Repeated Attachment Priming on Paranoia, Mood and Help-Seeking Intentions in an Analogue Sample" Brain Sciences 11, no. 10: 1257. https://doi.org/10.3390/brainsci11101257
APA StyleNewman-Taylor, K., Sood, M., Rowe, A. C., & Carnelley, K. B. (2021). The Impact of Repeated Attachment Priming on Paranoia, Mood and Help-Seeking Intentions in an Analogue Sample. Brain Sciences, 11(10), 1257. https://doi.org/10.3390/brainsci11101257
