Carbohydrate Mouth Rinse Mitigates Mental Fatigue Effects on Maximal Incremental Test Performance, but Not in Cortical Alterations
Abstract
1. Introduction
2. Materials and Methods
2.1. Participants and Ethics
2.2. Study Design
2.3. Maximal Incremental Test (MIT)
2.4. Mental Fatigue Protocol
2.5. Mouth Rinsing Protocols
2.6. Measures and Instruments
2.6.1. Physical Performance
2.6.2. Gaseous Exchange
2.6.3. Electroencephalography
2.6.4. Psychological Responses
3. Statistical Analysis
4. Results
4.1. Proof-of-Principle of the Mental Fatigue Effects
4.2. Mental Fatigue Responses before the MIT in Mouth Rinse Sessions
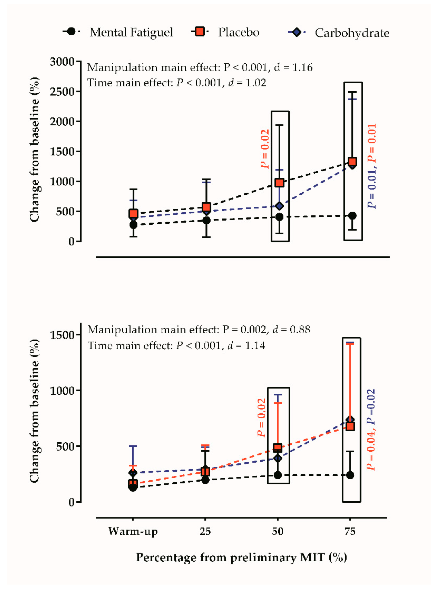
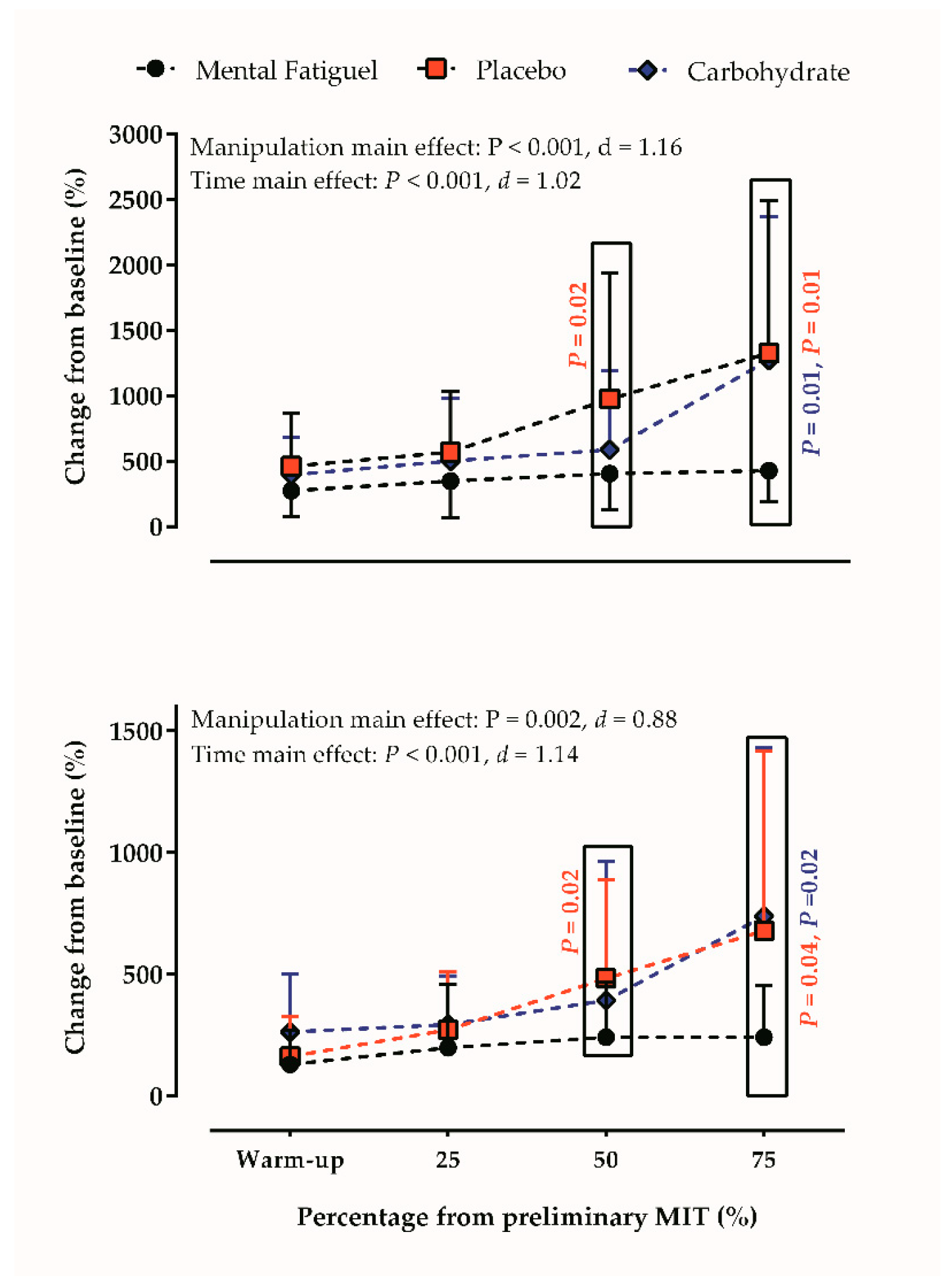
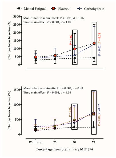
4.3. CHO Mouth Rinse Effects on MIT Outcomes in Mentally Fatigued Cyclists
5. Discussion
5.1. Proof-of-Principle of the Mental Fatigue Effects on MIT Outcomes
5.2. Effects of CHO Mouth Rinse in Mentally Fatigued Cyclists
5.3. Methodological Aspects
6. Conclusions
Author Contributions
Funding
Acknowledgments
Conflicts of Interest
References
- Van Cutsem, J.; Marcora, S.; De Pauw, K.; Bailey, S.; Meeusen, R.; Roelands, B. The Effects of Mental Fatigue on Physical Performance: A Systematic Review. Sports Med. 2017, 47, 1569–1588. [Google Scholar] [CrossRef]
- Franco-Alvarenga, P.E.; Brietzke, C.; Canestri, R.; Goethel, M.F.; Hettinga, F.; Santos, T.M.; Pires, F.O.; Canestri, R. Caffeine improved cycling trial performance in mentally fatigued cyclists, regardless of alterations in prefrontal cortex activation. Physiol. Behav. 2019, 204, 41–48. [Google Scholar] [CrossRef] [PubMed]
- Pires, F.O.; Silva-Júnior, F.L.; Brietzke, C.; Franco-Alvarenga, P.E.; Pinheiro, F.A.; de França, N.M.; Teixeira, S.; Meireles Santos, T. Mental Fatigue Alters Cortical Activation and Psychological Responses, Impairing Performance in a Distance-Based Cycling Trial. Front. Physiol. 2018, 9, 227. [Google Scholar] [CrossRef] [PubMed]
- Wascher, E.; Rasch, B.; Sänger, J.; Hoffmann, S.; Schneider, D.; Rinkenauer, G.; Heuer, H.; Gutberlet, I. Frontal theta activity reflects distinct aspects of mental fatigue. Biol. Psychol. 2014, 96, 57–65. [Google Scholar] [CrossRef] [PubMed]
- Marcora, S.M.; Staiano, W.; Manning, V. Mental fatigue impairs physical performance in humans. J. Appl. Physiol. 2009, 106, 857–864. [Google Scholar] [CrossRef] [PubMed]
- Zering, J.C.; Brown, D.M.Y.; Graham, J.D.; Bray, S.R. Cognitive control exertion leads to reductions in peak power output and as well as increased perceived exertion on a graded exercise test to exhaustion. J. Sports Sci. 2016, 35, 1799–1807. [Google Scholar] [CrossRef] [PubMed]
- Vrijkotte, S.; Meeusen, R.; Vandervaeren, C.; Buyse, L.; Van Cutsem, J.; Pattyn, N.; Roelands, B. Mental fatigue and physical and cognitive performance during a 2-bout exercise test. Int. J. Sports Physiol. Perform. 2018, 13, 510–516. [Google Scholar] [CrossRef]
- Kunutsor, S.K.; Kurl, S.; Khan, H.; Zaccardi, F.; Laukkanen, J.A. Associations of cardiovascular and all-cause mortality events with oxygen uptake at ventilatory threshold. Int. J. Cardiol. 2017, 236, 444–450. [Google Scholar] [CrossRef][Green Version]
- Bentley, D.J.; Newell, J.; Bishop, D. Incremental exercise test design and analysis: Implications for performance diagnostics in endurance athletes. Sport. Med. 2007, 37, 575–586. [Google Scholar] [CrossRef]
- Azevedo, R.; Silva-Cavalcante, M.D.; Gualano, B.; Lima-Silva, A.E.; Bertuzzi, R. Effects of caffeine ingestion on endurance performance in mentally fatigued individuals. Eur. J. Appl. Physiol. 2016, 116, 2293–2303. [Google Scholar] [CrossRef]
- Boksem, M.A.; Tops, M. Mental fatigue: Costs and benefits. Brain Res. Rev. 2008, 59, 125–139. [Google Scholar] [CrossRef] [PubMed]
- Dunwiddie, T.V.; Masino, S.A. The role and regulation of adenosine in the central nervous system. Annu. Rev. Neurosci. 2001, 24, 31–55. [Google Scholar] [CrossRef] [PubMed]
- Martin, K.; Meeusen, R.; Thompson, K.G.; Keegan, R.; Rattray, B. Mental Fatigue Impairs Endurance Performance: A Physiological Explanation. Sports Med. 2018, 48, 2041–2051. [Google Scholar] [CrossRef] [PubMed]
- Meeusen, R.; Pires, F.O.; Lutz, K.; Cheung, S.S.; Perrey, S.; Rauch, H.G.L.; Micklewright, D.; Pinheiro, F.A.; Radel, R.; Brisswalter, J.; et al. A role for the prefrontal cortex in exercise tolerance and termination. J. Appl. Physiol. 2016, 120, 464–466. [Google Scholar] [CrossRef]
- Schiphof-Godart, L.; Roelands, B.; Hettinga, F.J. Drive in sports: How mental fatigue affects endurance performance. Front. Psychol. 2018, 9, 9. [Google Scholar] [CrossRef]
- Carter, J.M.; Jeukendrup, A.E.; Jones, D.A. The effect of carbohydrate mouth rinse on 1-h cycle time trial performance. Med. Sci. Sports Exerc. 2004, 36, 2107–2111. [Google Scholar] [CrossRef]
- Brietzke, C.; Franco-Alvarenga, P.E.; Coelho-Júnior, H.J.; Silveira, R.; Asano, R.Y.; Pires, F.O. Effects of Carbohydrate Mouth Rinse on Cycling Time Trial Performance: A Systematic Review and Meta-Analysis. Sports Med. 2018, 49, 57–66. [Google Scholar] [CrossRef]
- Chambers, E.S.; Bridge, M.W.; Jones, D.A. Carbohydrate sensing in the human mouth: Effects on exercise performance and brain activity. J. Physiol. 2009, 587, 1779–1794. [Google Scholar] [CrossRef]
- Turner, C.E.; Byblow, W.D.; Stinear, C.M.; Gant, N. Carbohydrate in the mouth enhances activation of brain circuitry involved in motor performance and sensory perception. Appetite 2014, 80, 212–219. [Google Scholar] [CrossRef]
- Van Cutsem, J.; De Pauw, K.; Marcora, S.; Meeusen, R.; Roelands, B. A caffeine-maltodextrin mouth rinse counters mental fatigue. Psychopharmacology (Berl) 2017, 235, 947–958. [Google Scholar] [CrossRef]
- Carter, C.S.; Braver, T.S.; Barch, D.M.; Botvinick, M.M.; Noll, D.; Cohen, J.D. Anterior cingulate cortex, error detection, and the online monitoring of performance. Science (80-.) 1998, 280, 747–749. [Google Scholar] [CrossRef] [PubMed]
- Brosnan, M.B.; Wiegand, I. The dorsolateral prefrontal cortex, a dynamic cortical area to enhance top-down attentional control. J. Neurosci. 2017, 37, 3445–3446. [Google Scholar] [CrossRef]
- Pires, F.O.; Dos Anjos, C.A.; Covolan, R.J.M.; Pinheiro, F.A.; St Clair Gibson, A.; Noakes, T.D.; Magalhães, F.H.; Ugrinowitsch, C. Cerebral Regulation in Different Maximal Aerobic Exercise Modes. Front. Physiol. 2016, 7, 253. [Google Scholar] [CrossRef] [PubMed]
- Bastos-Silva, V.J.; Melo, A.A.; Lima-Silva, A.E.; Moura, F.A.; Bertuzzi, R.; de Araujo, G.G. Carbohydrate Mouth Rinse Maintains Muscle Electromyographic Activity and Increases Time to Exhaustion during Moderate but not High-Intensity Cycling Exercise. Nutrients 2016, 8, 49. [Google Scholar] [CrossRef] [PubMed]
- Hopkins, W.G. Measures of reliability in sports medicine and science. Sports Med. 2000, 30, 1–15. [Google Scholar] [CrossRef]
- De Pauw, K.; Roelands, B.; Cheung, S.S.; de Geus, B.; Rietjens, G.; Meeusen, R. Guidelines to classify subject groups in sport-science research. Int. J. Sports Physiol. Perform. 2013, 8, 111–122. [Google Scholar] [CrossRef]
- Gant, N.; Stinear, C.M.; Byblow, W.D. Carbohydrate in the mouth immediately facilitates motor output. Brain Res. 2010, 1350, 151–158. [Google Scholar] [CrossRef] [PubMed]
- O’Doherty, J.; Rolls, E.T.; Francis, S.; Bowtell, R.; McGlone, F. Representation of Pleasant and Aversive Taste in the Human Brain. J. Neurophysiol. 2001, 85, 1315–1321. [Google Scholar] [CrossRef]
- Beedie, C.; Benedetti, F.; Barbiani, D.; Camerone, E.; Cohen, E.; Coleman, D.; Davis, A.; Elsworth-Edelsten, C.; Flowers, E.; Foad, A.; et al. Consensus statement on placebo effects in sports and exercise: The need for conceptual clarity, methodological rigour, and the elucidation of neurobiological mechanisms. Eur. J. Sport Sci. 2018, 18, 1383–1389. [Google Scholar] [CrossRef]
- De Painelli, V.S.; Brietzke, C.; Franco-Alvarenga, P.E.; Canestri, R.; Vinícius, Í.; Pires, F.O. Comment on: “Caffeine and Exercise: What next?”. Sports Med. 2020, 50, 1211–1218. [Google Scholar] [CrossRef]
- Pires, F.O.; dos Anjos, C.A.S.; Covolan, R.J.M.; Fontes, E.B.; Noakes, T.D.; St Clair Gibson, A.; Magalhães, F.H.; Ugrinowitsch, C. Caffeine and Placebo Improved Maximal Exercise Performance Despite Unchanged Motor Cortex Activation and Greater Prefrontal Cortex Deoxygenation. Front. Physiol. 2018, 9, 1144. [Google Scholar] [CrossRef] [PubMed]
- Saunders, B.; De Oliveira, L.F.; Da Silva, R.P.; De Salles Painelli, V.; Gonc ßalves, L.S.; Yamaguchi, G.; Mutti, T.; Maciel, E.; Roschel, H.; Artioli, G.G.; et al. Placebo in sports nutrition: A proof-of-principle study involving caffeine supplementation. Scand. J. Med. Sci. Sports 2016, 27, 1240–1247. [Google Scholar] [CrossRef] [PubMed]
- Brietzke, C.; Asano, R.Y.; De Russi de Lima, F.; Pinheiro, F.A.; Franco-Alvarenga; Ugrinowitsch, C.; Pires, F.O. Caffeine effects on VO2max test outcomes investigated by a placebo perceived-as-caffeine design. Nutr. Health 2017, 23, 231–238. [Google Scholar] [CrossRef]
- Mezzani, A. Cardiopulmonary Exercise Testing: Basics of Methodology and Measurements. Ann. Am. Thorac Soc. 2017, 14, S3–S11. [Google Scholar] [CrossRef] [PubMed]
- Pivik, R.T.; Broughton, R.J.; Coppola, R.; Davidson, R.J.; Fox, N.; Nuwer, M.R. Guidelines for the recording and quantitative analysis of electroencephalographic activity in research contexts. Psychophysiology 1993, 30, 547–558. [Google Scholar] [CrossRef] [PubMed]
- Käthner, I.; Wriessnegger, S.C.; Müller-Putz, G.R.; Kübler, A.; Halder, S. Effects of mental workload and fatigue on the P300, alpha and theta band power during operation of an ERP (P300) brain-computer interface. Biol. Psychol. 2014, 102, 118–129. [Google Scholar] [CrossRef] [PubMed]
- Brümmer, V.; Schneider, S.; Strüder, H.K.; Askew, C.D. Primary motor cortex activity is elevated with incremental exercise intensity. Neuroscience 2011, 181, 150–162. [Google Scholar] [CrossRef]
- Robertson, C.V.; Marino, F.E. Prefrontal and motor cortex EEG responses and their relationship to ventilatory thresholds during exhaustive incremental exercise. Eur. J. Appl. Physiol. 2015, 115, 1939–1948. [Google Scholar] [CrossRef]
- Smith, M.R.; Coutts, A.J.; Merlini, M.; Deprez, D.; Lenoir, M.; Marcora, S.M. Mental Fatigue Impairs Soccer-Specific Physical and Technical Performance. Med. Sci. Sports Exerc. 2016, 48, 267–276. [Google Scholar] [CrossRef]
- Borg, G.A. Psychophysical bases of perceived exertion. Med. Sci. Sports Exerc. 1982, 14, 377–381. [Google Scholar] [CrossRef]
- Pageaux, B. Perception of effort in Exercise Science: Definition, measurement and perspectives. Eur. J. Sport Sci. 2016, 16, 885–894. [Google Scholar] [CrossRef] [PubMed]
- Hopkins, W.G. How to Interpret Changes in an Athletic Performance Test. Available online: http://www.sportsci.org/jour/04/wghtests.htm (accessed on 8 November 2019).
- Hopkins, W.G.; Marshall, S.W.; Batterham, A.M.; Hanin, J. Progressive statistics for studies in sports medicine and exercise science. Med. Sci. Sports Exerc. 2009, 41, 3–13. [Google Scholar] [CrossRef]
- Latini, S.; Pedata, F. Adenosine in the central nervous system: Release mechanisms and extracellular concentrations. J. Neurochem. 2008, 79, 463–484. [Google Scholar] [CrossRef] [PubMed]
- Veness, D.; Patterson, S.D.; Jeffries, O.; Waldron, M. The effects of mental fatigue on cricket-relevant performance among elite players. J. Sports Sci. 2017, 35, 2461–2467. [Google Scholar] [CrossRef] [PubMed]
- Benedetti, F.; Dogue, S. Different Placebos, Different Mechanisms, Different Outcomes: Lessons for Clinical Trials. PLoS ONE 2015, 10, e0140967. [Google Scholar] [CrossRef] [PubMed][Green Version]
- Vasconcelos, G.; Canestri, R.; Prado, R.C.R.; Brietzke, C.; Franco-Alvarenga, P.; Santos, T.M.; Pires, F.O. A comprehensive integrative perspective of the anaerobic threshold engine. Physiol. Behav. 2019, 210, 112435. [Google Scholar] [CrossRef] [PubMed]
- Foad, A.J.; Beedie, C.J.; Coleman, D.A. Pharmacological and psychological effects of caffeine ingestion in 40-km cycling performance. Med. Sci. Sports Exerc. 2008, 40, 158–165. [Google Scholar] [CrossRef]
- Beedie, C.J.; Stuart, E.M.; Coleman, D.A.; Foad, A.J. Placebo effects of caffeine on cycling performance. Med. Sci. Sports Exerc. 2006, 38, 2159–2164. [Google Scholar] [CrossRef]
- Thompson, T.; Steffert, T.; Ros, T.; Leach, J.; Gruzelier, J. EEG applications for sport and performance. Methods 2008, 45, 279–288. [Google Scholar] [CrossRef]
- Duncan, M.J.; Fowler, N.; George, O.; Joyce, S.; Hankey, J. Mental Fatigue Negatively Influences Manual Dexterity and Anticipation Timing but not Repeated High-intensity Exercise Performance in Trained Adults. Res. Sports Med. 2015, 23, 1–13. [Google Scholar] [CrossRef]



| Baseline | Mental Fatigue | |
|---|---|---|
| WPEAK | 350.84 ± 24.83 | 343.85 ± 27.38 * |
| Time to Exhaustion (seconds) | 841.85 ± 59.65 | 827.75 ± 68.62 * |
| VO2PEAK (L/min) | 4.35 ± 0.37 | 4.33 ± 0.41 |
| RERMAX | 1.16 ± 0.07 | 1.16 ± 0.06 |
| RPEMAX | 19.50 ± 0.63 | 19.40 ± 0.99 |
| RPESLOPE | 0.89 ± 0.20 | 0.91 ± 0.21 |
| VT1 (W) | 225.10 ± 27.06 | 225.21 ± 25.55 |
| VT2 (W) | 283.22 ± 30.03 | 283.59 ± 29.01 |
| VT1 (% WPEAK) | 62.99 ± 7.12 | 64.62 ± 5.77 |
| VT2 (% WPEAK) | 80.11 ± 7.19 | 82.33 ± 6.79 |
| VT1 (L/min) | 3.04 ± 0.41 | 3.07 ± 0.39 |
| VT2 (L/min) | 3.57 ± 0.38 | 3.73 ± 0.39 |
| VT1 (% VO2PEAK) | 69.87 ± 7.15 | 70.87 ± 7.95 |
| VT2 (% VO2PEAK) | 82.21 ± 6.37 | 85.71 ± 4.71 |
| Mental Fatigue | Placebo | Carbohydrate | |
|---|---|---|---|
| RERMAX | 1.16 ± 0.06 | 1.17 ± 0.07 | 1.16 ± 0.07 |
| RPEMAX | 19.40± 0.99 | 19.42 ± 1.50 | 19.79 ± 0.54 |
| RPESLOPE | 0.91 ± 0.21 | 0.92 ± 0.18 | 0.88 ± 0.16 |
| VT1 (W) | 225.21 ± 25.55 | 242.43 ± 25.48 | 237.73 ± 17.52 |
| VT2 (W) | 283.59 ± 29.01 | 297.26 ± 26.63 | 297.92 ± 19.69 |
| VT1 (% WPEAK) | 64.62 ± 5.77 | 70.35 ± 5.49 | 66.78 ± 7.09 |
| VT2 (% WPEAK) | 82.33 ± 6.79 | 86.24 ± 4.32 | 84.40 ± 3.39 |
| VT1 (L/min) | 3.07 ± 0.39 | 3.30 ± 0.40 | 3.12 ± 0.40 |
| VT2 (L/min) | 3.73 ± 0.39 | 3.82 ± 0.38 | 3.85 ± 0.23 |
| VT1 (% VO2PEAK) | 70.87 ± 7.95 | 74.78 ± 8.31 | 71.57 ± 8.70 |
| VT2 (% VO2PEAK) | 85.71 ± 4.71 | 87.13 ± 5.12 | 90.20 ± 4.69 |
© 2020 by the authors. Licensee MDPI, Basel, Switzerland. This article is an open access article distributed under the terms and conditions of the Creative Commons Attribution (CC BY) license (http://creativecommons.org/licenses/by/4.0/).
Share and Cite
Brietzke, C.; Franco-Alvarenga, P.E.; Canestri, R.; Goethel, M.F.; Vínicius, Í.; Painelli, V.d.S.; Santos, T.M.; Hettinga, F.J.; Pires, F.O. Carbohydrate Mouth Rinse Mitigates Mental Fatigue Effects on Maximal Incremental Test Performance, but Not in Cortical Alterations. Brain Sci. 2020, 10, 493. https://doi.org/10.3390/brainsci10080493
Brietzke C, Franco-Alvarenga PE, Canestri R, Goethel MF, Vínicius Í, Painelli VdS, Santos TM, Hettinga FJ, Pires FO. Carbohydrate Mouth Rinse Mitigates Mental Fatigue Effects on Maximal Incremental Test Performance, but Not in Cortical Alterations. Brain Sciences. 2020; 10(8):493. https://doi.org/10.3390/brainsci10080493
Chicago/Turabian StyleBrietzke, Cayque, Paulo Estevão Franco-Alvarenga, Raul Canestri, Márcio Fagundes Goethel, Ítalo Vínicius, Vitor de Salles Painelli, Tony Meireles Santos, Florentina Johanna Hettinga, and Flávio Oliveira Pires. 2020. "Carbohydrate Mouth Rinse Mitigates Mental Fatigue Effects on Maximal Incremental Test Performance, but Not in Cortical Alterations" Brain Sciences 10, no. 8: 493. https://doi.org/10.3390/brainsci10080493
APA StyleBrietzke, C., Franco-Alvarenga, P. E., Canestri, R., Goethel, M. F., Vínicius, Í., Painelli, V. d. S., Santos, T. M., Hettinga, F. J., & Pires, F. O. (2020). Carbohydrate Mouth Rinse Mitigates Mental Fatigue Effects on Maximal Incremental Test Performance, but Not in Cortical Alterations. Brain Sciences, 10(8), 493. https://doi.org/10.3390/brainsci10080493

