The Inhibitory Tendon-Evoked Reflex Is Increased in the Torque-Enhanced State Following Active Lengthening Compared to a Purely Isometric Contraction
Abstract
1. Introduction
2. Materials and Methods
2.1. Participants
2.2. Experimental Set Up
2.3. Peripheral Nerve Stimulation
2.4. Maximum Voluntary Contraction and Voluntary Activation
2.5. Determining Submaximal Muscle Activation
2.6. Tendon Electrical Stimulation
2.7. Experimental Procedures
2.8. Protocol “A”: Activation-Matching Condition
2.9. Protocol “B”: Torque-Matching Condition
2.10. Data Analysis and Statistics
3. Results
3.1. Maximum Voluntary Contraction and Voluntary Activation
3.2. Dorsiflexion Torque and Muscle Activity
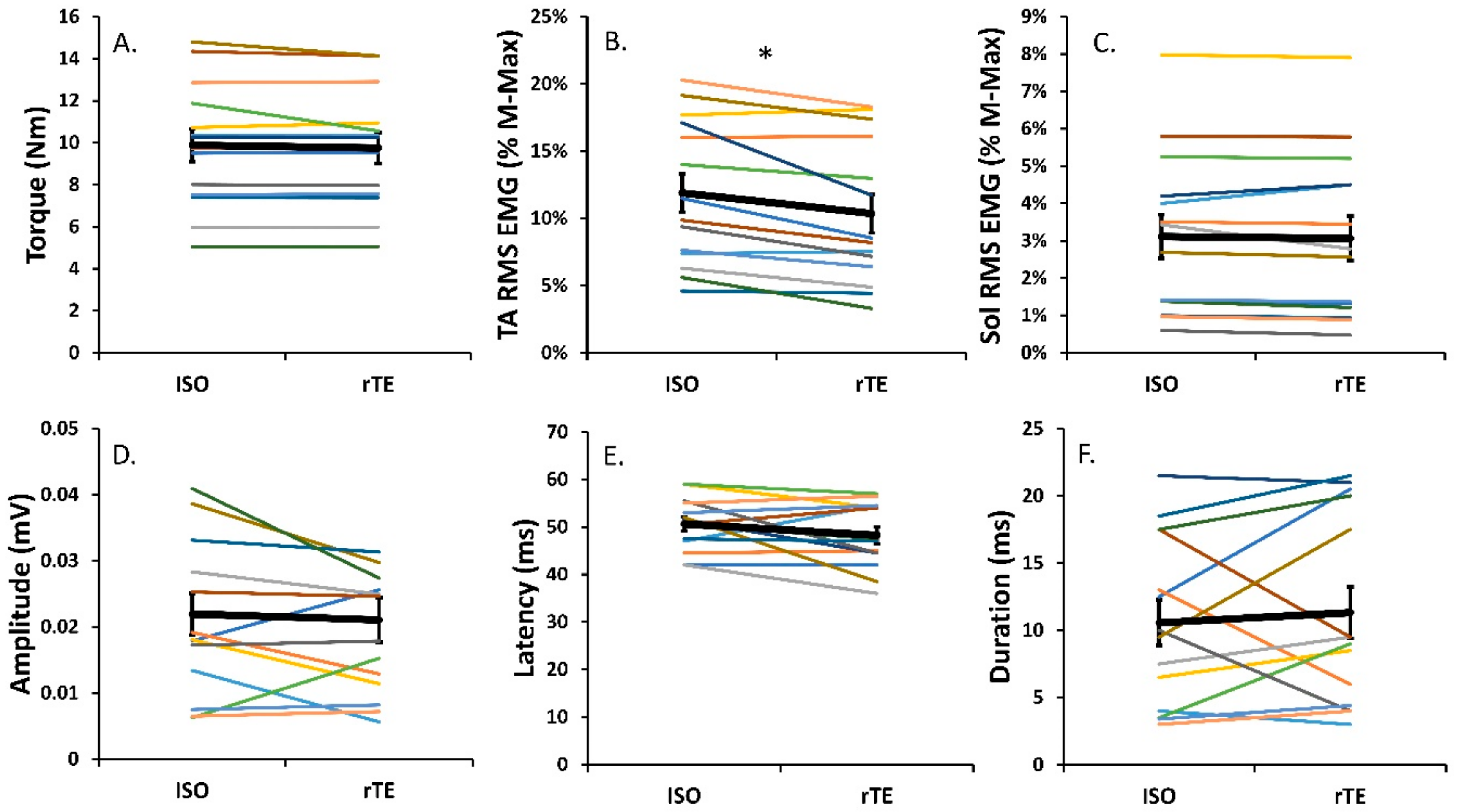
3.2.1. Activation Matching
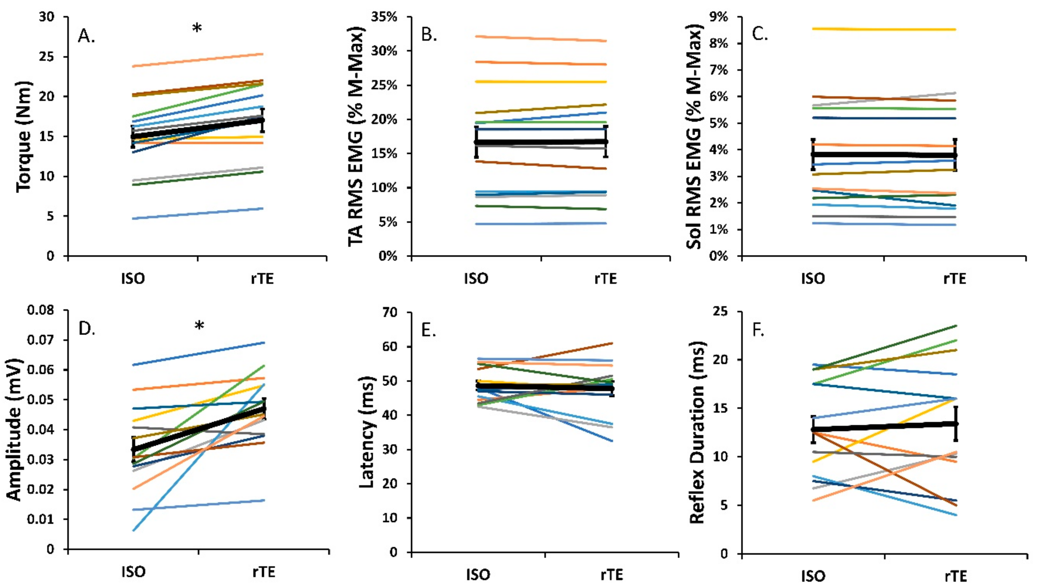
3.2.2. Torque Matching
4. Discussion
5. Conclusions
Author Contributions
Funding
Acknowledgments
Conflicts of Interest
References
- Abbott, B.C.; Aubert, X.M. The force exerted by active striated muscle during and after change of length. J. Physiol. 1952, 117, 77. [Google Scholar] [PubMed]
- Power, G.A.; Rice, C.L.; Vandervoort, A.A. Residual force enhancement following eccentric induced muscle damage. J. Biomech. 2012, 45, 1835. [Google Scholar] [CrossRef] [PubMed]
- Seiberl, W.; Power, G.A.; Hahn, D. Residual force enhancement in humans: Current evidence and unresolved issues. J. Electromyogr. Kinesiol. 2015, 25, 571–580. [Google Scholar] [CrossRef] [PubMed]
- Joumaa, V.; Fitzowich, A.; Herzog, W. Energy cost of isometric force production after active shortening in skinned muscle fibres. J. Exp. Biol. 2017, 220, 1509. [Google Scholar] [CrossRef]
- Herzog, W.; Schappacher, G.; DuVall, M.; Leonard, T.R.; Herzog, G.A. Residual Force Enhancement Following Eccentric Contractions: A New Mechanism Involving Titin. Am. Physiol. Soc. 2016, 31, 300–312. [Google Scholar] [CrossRef]
- Pinnell, R.A.M.; Mashouri, P.; Mazara, N.; Weersink, E.; Brown, S.H.M.; Power, G.A. Residual force enhancement and force depression in human single muscle fibres. J. Biomech. 2019, 91, 164–169. [Google Scholar] [CrossRef]
- Lee, H.D.; Herzog, W. Force enhancement following muscle stretch of electrically stimulated and voluntarily activated human adductor pollicis. J. Physiol. 2002, 545, 321. [Google Scholar] [CrossRef]
- Seiberl, W.; Power, G.A.; Herzog, W.; Hahn, D. The stretch-shortening cycle (SSC) revisited: Residual force enhancement contributes to increased performance during fast SSCs of human m. adductor pollicis. Physiol. Rep. 2015, 3, e12401. [Google Scholar] [CrossRef]
- Hahn, D.; Hoffman, B.W.; Carroll, T.J.; Cresswell, A.G. Cortical and spinal excitability during and after lengthening contractions of the human plantar flexor muscles performed with maximal voluntary effort. PLoS ONE 2012, 7, e49907. [Google Scholar] [CrossRef]
- Chapman, N.; Whitting, J.; Broadbent, S.; Crowley-McHattan, Z.; Meir, R. Residual force enhancement in humans: A systematic review. J. Appl. Biomech. 2018, 34, 240. [Google Scholar] [CrossRef]
- Lee, E.J.; Joumaa, V.; Herzog, W. New insights into the passive force enhancement in skeletal muscles. J. Biomech. 2007, 40, 719. [Google Scholar] [CrossRef] [PubMed]
- Joumaa, V.; Rassier, D.E.; Leonard, T.R.; Herzog, W. The origin of passive force enhancement in skeletal muscle. Am. J. Physiol. Cell Physiol. 2008, 294, C74. [Google Scholar] [CrossRef] [PubMed]
- Koppes, R.A.; Herzog, W.; Corr, D.T. Force enhancement in lengthening contractions of cat soleus muscle in situ: Transient and steady-state aspects. Physiol. Repor. 2013, 1. [Google Scholar] [CrossRef] [PubMed]
- Power, G.A.; Makrakos, D.P.; Rice, C.L.; Vandervoot, A.A. Enhanced force production in old age is not a far stretch: An investigation of residual force enhancement and muscle architecture. Physiol. Rep. 2013, 1. [Google Scholar] [CrossRef] [PubMed]
- Sypkes, C.T.; Kozlowski, B.J.; Grant, J.; Bent, L.R.; McNeil, C.J.; Power, G.A. The influence of residual force enhancement on spinal and supraspinal excitability. PeerJ. 2018, 6. [Google Scholar] [CrossRef] [PubMed]
- Houk, J.; Henneman, E. Responses of Golgi tendon organs to active contractions of the soleus muscle of the cat. J. Neurophysiol. 1967, 30, 466–481. [Google Scholar] [CrossRef]
- Jami, L. Golgi tendon organs in mammalian skeletal muscle: Functional properties and central actions. Physiol. Rev. 1992, 72, 623–666. [Google Scholar] [CrossRef]
- Pearson, K.G.; Gordon, J. Spinal reflexes. In Principles of Neural Science, 4th ed.; Kandel, E.R., Schwartz, J.H., Jessell, T.M., Eds.; McGraw-Hill: New York, NY, USA, 2000; pp. 713–736. [Google Scholar]
- Jankowska, E. Interneuronal relay in spinal pathways from proprioceptors. Prog. Neurobiol. 1992, 38, 335–378. [Google Scholar] [CrossRef]
- Conway, B.A.; Hultborn, H.; Kiehn, O. Proprioceptive input resets central locomotor rhythm in the spinal cat. Exper. Brain Res. 1987, 68, 643. [Google Scholar] [CrossRef]
- McCrea, D.A.; Shefchyk, S.J.; Stephens, M.J.; Pearson, K.G. Disynaptic group I excitation of synergist ankle extensor motoneurones during fictive locomotion in the cat. J. Physiol. 1995, 487, 527. [Google Scholar] [CrossRef]
- Horslen, B.C.; Inglis, J.T.; Blouin, J.S.; Carpenter, M.G. Both standing and postural threat decrease Achilles’ tendon reflex inhibition from tendon electrical stimulation. J. Physiol. 2017, 595, 4493–4506. [Google Scholar] [CrossRef] [PubMed]
- Sypkes, C.T.; Dalton, B.H.; Stuart, J.; Power, G.A. Inhibitory tendon-evoked reflex is attenuated in the torque depressed isometric steady-state following active lengthening. Appl. Physiol. Nutr. Metab. 2019, in press. [Google Scholar]
- Burne, J.A.; Lippold, O.C. Reflex inhibition following electrical stimulation over muscle tendons in man. Brain. 1996, 119, 1107–1114. [Google Scholar] [CrossRef] [PubMed]
- Chen, J.; Hahn, D.; Power, G.A. Shortening-induced residual force depression in humans. J. Appl. Physiol. 2019, 126, 1066–1073. [Google Scholar] [CrossRef] [PubMed]
- Jones, A.A.; Power, G.A.; Herzog, W. History dependence of the electromyogram: Implications for isometric steady-state EMG parameters following a lengthening or shortening contraction. J. Electromyogr. Kinesiol. 2016, 27, 30–38. [Google Scholar] [CrossRef] [PubMed]
- Priori, A.; Berardelli, A.; Inghilleri, M.; Pedace, F.; Giovannelli, M.; Manfredi, M. Electrical stimulation over muscle tendons in humans. Evidence favouring presynaptic inhibition of Ia fibres due to the activation of group III tendon afferents. Brain 1998, 121, 373–380. [Google Scholar] [CrossRef]
- Oskouei, A.E.; Herzog, W. Observations on force enhancement in submaximal voluntary contractions of human adductor pollicis muscle. J. App. Physiol. 2005, 98, 2087. [Google Scholar] [CrossRef]
- Paquin, J.; Power, G.A. History dependence of the EMG-torque relationship. J. Electromyogr. Kinesiol. 2018, 41, 109–115. [Google Scholar] [CrossRef]
- Freundt, J.K.; Linke, W.A. Titin as a force-generating protein under regulatory control. J. Appl. Physiol. 2019, 126, 1474–1482. [Google Scholar] [CrossRef]
- Herzog, W. The multiple roles of titin in muscle contraction and force production. Biophys. Rev. 2018, 10, 1187–1199. [Google Scholar] [CrossRef]
- Belanger, A.Y.; McComas, A.J. Extent of motor unit activation during effort. J. Appl. Physiol. 1981, 51, 1131. [Google Scholar] [CrossRef]
- Gandevia, S.C. Spinal and supraspinal factors in human muscle fatigue. Physiol. Rev. 2001, 81, 1725–1789. [Google Scholar] [CrossRef] [PubMed]
- Rogasch, N.C.; Burne, J.A.; Türker, K.S. Comparison of the inhibitory response to tendon and cutaneous afferent stimulation in the human lower limb. J. Neurophysiol. 2012, 107, 564–572. [Google Scholar] [CrossRef] [PubMed]
- Dalton, B.H.; Contento, V.C.; Power, G.A. Residual force enhancement during submaximal and maximal effort contractions of the plantar flexors across knee angle. J. Biomech. 2018, 78, 70–76. [Google Scholar] [CrossRef] [PubMed]
- Pinniger, G.J.; Cresswell, A.G. Residual force enhancement after lengthening is present during submaximal plantar flexion and dorsiflexion actions in humans. J. Appl. Physiol. 2007, 102, 18–25. [Google Scholar] [CrossRef] [PubMed]



© 2019 by the authors. Licensee MDPI, Basel, Switzerland. This article is an open access article distributed under the terms and conditions of the Creative Commons Attribution (CC BY) license (http://creativecommons.org/licenses/by/4.0/).
Share and Cite
Contento, V.S.; Dalton, B.H.; Power, G.A. The Inhibitory Tendon-Evoked Reflex Is Increased in the Torque-Enhanced State Following Active Lengthening Compared to a Purely Isometric Contraction. Brain Sci. 2020, 10, 13. https://doi.org/10.3390/brainsci10010013
Contento VS, Dalton BH, Power GA. The Inhibitory Tendon-Evoked Reflex Is Increased in the Torque-Enhanced State Following Active Lengthening Compared to a Purely Isometric Contraction. Brain Sciences. 2020; 10(1):13. https://doi.org/10.3390/brainsci10010013
Chicago/Turabian StyleContento, Vincenzo S., Brian H. Dalton, and Geoffrey A. Power. 2020. "The Inhibitory Tendon-Evoked Reflex Is Increased in the Torque-Enhanced State Following Active Lengthening Compared to a Purely Isometric Contraction" Brain Sciences 10, no. 1: 13. https://doi.org/10.3390/brainsci10010013
APA StyleContento, V. S., Dalton, B. H., & Power, G. A. (2020). The Inhibitory Tendon-Evoked Reflex Is Increased in the Torque-Enhanced State Following Active Lengthening Compared to a Purely Isometric Contraction. Brain Sciences, 10(1), 13. https://doi.org/10.3390/brainsci10010013

