A Least Squares Ensemble Model Based on Regularization and Augmentation Strategy
Abstract
1. Introduction
2. Background of Ensemble Methods
3. Proposed Regularized Least Squares Ensemble Model
3.1. Basic Formulation of the Least Squares Method
3.2. Samples Adding by the Augmentation Strategy
| Algorithm 1 Pseudo code of augmentation strategy for adding samples |
| Input: X = [ x1, x2, …, xN]. 1: Set empty, S = X. 2: Obtain 3 × Nadd samples by LHS, put them in Xlhs. 3: For i = 1: 3Nadd do 4: Calculate the distance of all the members in Xlhs to the samples in S. 5: Move the sample with the largest distance from Xlhs to and S. 6: End for 7: Construct KRG, RBF by S, calculate the uncertainties with (13) at the sample set , storage the difference values in Pkr. 8: Sort Pkr from the largest to the least, choose the top Nadd values of the corresponding samples, and put them into Xadd. Output: Xadd. |
3.3. The Regularization Strategy in the Least Squares System
- Random sampling N samples, the Nadd samples are obtained by the augmentation strategy, and the actual function values Y = [y1, y2, …, yN+Nadd] are calculated by expensive simulations.
- Choose N samples to construct the KRG, RBF, and SVR surrogate models, as the prediction values of the KRG and RBF at the N samples are equal to the corresponding actual function values of yi, i = 1, 2, …, N; calculate of the SVR model at each of the N samples.
- Evaluate , , and for the KRG, RBF, and SVR surrogate models, where i = 1, 2, …, Nadd and Nadd is the number of adding samples. Construct the matrix and Y as in Equation (14).
- Calculate the inverse of the augmented matrix system for by Equation (15), and the standardized weight factors by Equation (16).
| Algorithm 2 Search for the optimal regularization parameter λ* |
| Begin: 1: A constant array is set for λ, and l = min = 1, r = max = q. 2: While , , go to step 3, else go to step 8. 3: Randomly divide the predicted values of the KRG, RBF, and SVR surrogate models of the N + Nadd samples into k (we use k = 5 in this paper) equal parts. 4: The matrix is made up by the predicted values of three individual surrogate models in the k − 1 group, and by singular value decomposition (SVD), which can be expressed as 5: After the SVD, is calculated for λl and λr by: 6: Calculate the weight factors with Equations (15) and (16) for and , separately, and construct the and with Equation (1). 7: Calculate the RMSE of and with Equation (20), and the current optimal λc values are calculated as: 8: The optimal λ* is equal to the λc after iteration, and it can be used to construct the RLS-EM. Output: λ*. |
4. Case Studies
4.1. Numerical Examples
4.2. Deformation Prediction for the CNC Milling Machine Bed
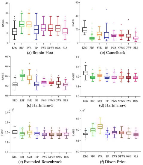
5. Results
Author Contributions
Funding
Acknowledgments
Conflicts of Interest
Appendix A
Appendix A.1. Kriging (KRG)
Appendix A.2. Radial Basis Function (RBF)
Appendix A.3. Support Vector Regression (SVR)
Appendix B
Appendix B.1. Branin-Hoo Function
Appendix B.2. Camelback Function
Appendix B.3. Hartman Functions
| aij | pij | ||||
|---|---|---|---|---|---|
| 3.0 | 10 | 30 | 0.3689 | 0.1170 | 0.2673 |
| 0.1 | 10 | 35 | 0.4699 | 0.4387 | 0.7470 |
| 3.0 | 10 | 30 | 0.1091 | 0.8732 | 0.5547 |
| 0.1 | 10 | 35 | 0.03815 | 0.5743 | 0.8828 |
| aij | pij | ||||||||||
|---|---|---|---|---|---|---|---|---|---|---|---|
| 10 | 3.0 | 17.0 | 3.5 | 1.7 | 8.0 | 0.1312 | 0.1696 | 0.5569 | 0.0124 | 0.8283 | 0.5886 |
| 0.05 | 10.0 | 17.0 | 0.1 | 8.0 | 14.0 | 0.2329 | 0.4135 | 0.8307 | 0.3736 | 0.1004 | 0.9991 |
| 3.0 | 3.5 | 1.7 | 10.0 | 17.0 | 8.0 | 0.2348 | 0.1451 | 0.3522 | 0.2883 | 0.3047 | 0.6650 |
| 17.0 | 8.0 | 0.05 | 10.0 | 0.1 | 14.0 | 0.4047 | 0.8828 | 0.8732 | 0.5743 | 0.1091 | 0.0381 |
Appendix B.4. Extended-Rosenbrock Function
Appendix B.5. Dixion-Price Function
References
- Foorrester, A.; Keane, A. Recent advances in surrogate-based optimization. Prog. Aerosp. Sci. 2009, 45, 50–79. [Google Scholar] [CrossRef]
- Wang, G.G. Adaptive response surface method using inherited Latin hypercube design points. J. Mech. Des. 2003, 125, 210–220. [Google Scholar] [CrossRef]
- Nima, P.; Tang, X.W.; Yang, Q. Energy Evaluation of Triggering Soil Liquefaction Based on the Response Surface Method. Appl. Sci. 2019, 9, 694. [Google Scholar]
- Jerome, S.; Schiller, S.B. Designs for Computer Experiments. Technometrics 1989, 4, 41–47. [Google Scholar]
- Martin, J.D.; Simpson, T.W. Use of kriging models to approximate deterministic computer models. AIAA J. 2005, 43, 853–863. [Google Scholar] [CrossRef]
- Hwang, Y.; Cha, S.L.; Kim, S.; Jin, S.S.; Jung, H.J. The multiple-update-infill sampling method using minimum energy design for sequential surrogate modeling. Appl. Sci. 2018, 8, 481. [Google Scholar] [CrossRef]
- Fang, H.; Horstemeyer, M.F. Global response approximation with radial basis functions. Eng. Optim. 2006, 38, 407–424. [Google Scholar] [CrossRef]
- Zhang, J.H.; Chu, W.L.; Zhang, J.H.; Lv, Y. Vibroacoustic Optimization Study for the Volute Casing of a Centrifugal Fan. Appl. Sci. 2019, 9, 859. [Google Scholar] [CrossRef]
- Brereton, R.G.; Lloyd, G.R. Support vector machines for classification and regression. Analyst 2010, 135, 230–267. [Google Scholar] [CrossRef]
- Smola, A.J.; Schölkopf, B. A tutorial on support vector regression. Stat. Comput. 2004, 14, 199–222. [Google Scholar] [CrossRef]
- Liu, Z.Y.; Xu, Y.K.; Qiu, C.; Tan, J.R. A novel support vector regression algorithm incorporated with prior knowledge and error compensation for small datasets. Neural Comput. Appl. 2019. [Google Scholar] [CrossRef]
- Li, L.; Zheng, W.Z.; Wang, Y. Prediction of Moment Redistribution in Statically Indeterminate Reinforced Concrete Structures Using Artificial Neural Network and Support Vector Regression. Appl. Sci. 2019, 9, 28. [Google Scholar] [CrossRef]
- Jiang, H.; Zhang, Y.; Muljadi, E.; Zhang, J.J.; Gao, D.W. A short-term and high-resolution distribution system load forecasting approach using support vector regression with hybrid parameters optimization. IEEE Trans. Smart Grid 2018, 9, 3341–3350. [Google Scholar] [CrossRef]
- Wang, G.G.; Shan, S. Review of metamodeling techniques in support of engineering design optimization. J. Mech. Des. 2007, 4, 370–380. [Google Scholar] [CrossRef]
- Roy, R.; Hinduja, S.; Tet, R. Recent advances in engineering design optimisation: Challenges and future trends. CIRP Ann. 2008, 57, 697–715. [Google Scholar] [CrossRef]
- Bhosekar, A.; Ierapetritou, M. Advances in surrogate based modeling, feasibility analysis, and optimization: A review. Comput. Chem. Eng. 2018, 108, 250–267. [Google Scholar] [CrossRef]
- Liu, H.; Ong, Y.S.; Cai, J. A survey of adaptive sampling for global metamodeling in support of simulation-based complex engineering design. Struct. Multidiscip. Optim. 2018, 57, 393–416. [Google Scholar] [CrossRef]
- Song, X.; Lv, L.; Li, J.; Sun, W.; Zhang, J. An Advanced and Robust Ensemble Surrogate Model: Extended Adaptive Hybrid Functions. J. Mech. Des. 2018, 140, 041402. [Google Scholar] [CrossRef]
- Zhou, X.; Jiang, T. Metamodel selection based on stepwise regression. Struct. Multidiscip. Optim. 2016, 54, 641–657. [Google Scholar] [CrossRef]
- Wang, W.; Pei, J.; Yuan, S.; Zhang, J.; Yuan, J.; Xu, C. Application of different surrogate models on the optimization of centrifugal pump. J. Mech. Sci. Technol. 2016, 30, 567–574. [Google Scholar] [CrossRef]
- Song, X.; Sun, G.; Li, G.; Gao, W.; Li, Q. Crashworthiness optimization of foam-filled tapered thin-walled structure using multiple surrogate models. Struct. Multidiscip. Optim. 2013, 47, 221–231. [Google Scholar] [CrossRef]
- De Oliveira, M.A.; Possamai, O.; Dalla Valentina, L.V.; Flesch, C.A. Modeling the leadership-project performance relation: Radial basis function, Gaussian and Kriging methods as alternatives to linear regression. Expert Syst. Appl. 2013, 40, 272–280. [Google Scholar] [CrossRef]
- Worden, K.; Cross, E.J. On switching response surface models, with applications to the structural health monitoring of bridges. Mech. Syst. Signal Process. 2018, 98, 139–156. [Google Scholar] [CrossRef]
- Yang, H.; Xu, X.; Neumann, I. Optimal finite element model with response surface methodology for concrete structures based on Terrestrial Laser Scanning technology. Compos. Struct. 2018, 183, 2–6. [Google Scholar] [CrossRef]
- Kleijnen, J.P. Regression and Kriging metamodels with their experimental designs in simulation: A review. Eur. J. Oper. Res. 2017, 256, 1–16. [Google Scholar] [CrossRef]
- Mehdad, E.; Kleijnen, J.P. Stochastic intrinsic Kriging for simulation metamodeling. Appl. Stoch. Models Bus. Ind. 2018, 34, 322–337. [Google Scholar] [CrossRef]
- Zhang, Z.; Ou, J.P.; Li, D.S.; Zhang, S.F. Optimization Design of Coupling Beam Metal Damper in Shear Wall Structures. Appl. Sci. 2017, 7, 137. [Google Scholar] [CrossRef]
- Zhou, Q.; Wang, Y.; Jiang, P.; Shao, X.; Choi, S.K.; Hu, J.; Cao, L.; Meng, X. An active learning radial basis function modeling method based on self-organization maps for simulation-based design problems. Knowl.-Based Syst. 2017, 131, 10–27. [Google Scholar] [CrossRef]
- Fang, Y.; Zhan, Z.; Yang, J.; Liu, X. A Mixed-Kernel-Based Support Vector Regression Model for Automotive Body Design Optimization Under Uncertainty. ASCE-ASME J. Risk Uncertain. Eng. Syst. Part B Mech. Eng. 2017, 3, 041008. [Google Scholar] [CrossRef]
- Qi, J.; Hu, J. Multivariable case-based reason adaptation based on multiple-output support vector regression with similarity-related weight for parametric mechanical design. Adv. Mech. Eng. 2018, 10. [Google Scholar] [CrossRef]
- Goel, T.; Haftka, R.T.; Shyy, W.; Queipo, N.V. Ensemble of surrogates. Struct. Multidiscip. Optim. 2007, 33, 199–216. [Google Scholar] [CrossRef]
- Acar, E.; Rais-Rohani, M. Ensemble of metamodels with optimized weight factors. Struct. Multidiscip. Optim. 2009, 37, 279–294. [Google Scholar] [CrossRef]
- Zerpa, L.E.; Queipo, N.V.; Pintos, S.; Salager, J.L. An optimization methodology of alkaline-surfactant-polymer flooding processes using field scale numerical simulation and multiple surrogates. J. Pet. Sci. Eng. 2005, 47, 197–208. [Google Scholar] [CrossRef]
- Zhou, X.J.; Ma, Y.Z.; Li, X.F. Ensemble of surrogates with recursive arithmetic average. Struct. Multidiscip. Optim. 2011, 44, 651–671. [Google Scholar] [CrossRef]
- Acar, E. Various approaches for constructing an ensemble of metamodels using local measures. Struct. Multidiscip. Optim. 2010, 42, 879–896. [Google Scholar] [CrossRef]
- Lee, Y.; Choi, D.H. Pointwise ensemble of meta-models using v nearest points cross-validation. Struct. Multidiscip. Optim. 2014, 50, 383–394. [Google Scholar] [CrossRef]
- Ye, P.; Pan, G.; Dong, Z. Ensemble of surrogate based global optimization methods using hierarchical design space reduction. Struct. Multidiscip. Optim. 2018, 58, 537–554. [Google Scholar] [CrossRef]
- Liu, H.; Xu, S.; Wang, X.; Meng, J.; Yang, S. Optimal weighted pointwise ensemble of radial basis functions with different basis functions. AIAA J. 2016, 20, 3117–3133. [Google Scholar] [CrossRef]
- Gu, J.; Li, G.Y.; Dong, Z. Hybrid and adaptive meta-model-based global optimization. Eng. Optim. 2012, 44, 87–104. [Google Scholar] [CrossRef]
- Dong, H.; Song, B.; Wang, P.; Dong, Z. Hybrid surrogate-based optimization using space reduction (HSOSR) for expensive black-box functions. Appl. Soft Comput. 2018, 64, 641–655. [Google Scholar] [CrossRef]
- Ferreira, W.G.; Serpa, A.L. Ensemble of metamodels: The augmented least squares approach. Struct. Multidiscip. Optim. 2016, 53, 1019–1046. [Google Scholar] [CrossRef]
- Chen, L.; Qiu, H.; Jiang, C.; Cai, X.; Gao, L. Ensemble of surrogates with hybrid method using global and local measures for engineering design. Struct. Multidiscip. Optim. 2018, 57, 1711–1729. [Google Scholar] [CrossRef]
- Viana, F.A.; Haftka, R.T.; Steffen, V. Multiple surrogates: How cross-validation errors can help us to obtain the best predictor. Struct. Multidiscip. Optim. 2009, 39, 439–457. [Google Scholar] [CrossRef]
- Yin, H.; Wen, G.; Fang, H.; Qing, Q.; Kong, X.; Xiao, J.; Liu, Z. Multiobjective crashworthiness optimization design of functionally graded foam-filled tapered tube based on dynamic ensemble metamodel. Mater. Des. 2014, 55, 747–757. [Google Scholar] [CrossRef]
- Audet, C.; Kokkolaras, M.; Le Digabel, S.; Talgorn, B. Order-based error for managing ensembles of surrogates in mesh adaptive direct search. J. Glob. Optim. 2018, 70, 645–675. [Google Scholar] [CrossRef]
- Wang, H.; Jin, Y.; Sun, C.; Doherty, J. Offline data-driven evolutionary optimization using selective surrogate ensembles. IEEE Trans. Evolut. Comput. 2019, 23, 203–216. [Google Scholar] [CrossRef]
- Cattaneo, M.D.; Jansson, M.; Newey, W.K. Inference in linear regression models with many covariates and heteroscedasticity. J. Am. Stat. Assoc. 2018, 113, 1350–1361. [Google Scholar] [CrossRef]
- Lophaven, S.; Nielsen, H.; Sondergaard, J. DACE: A MATLAB Kriging Toolbox; Technical Report; Technical University of Denmark: Lyngby, Denmark, 2002. [Google Scholar]
- Sarra, S.A. The Matlab radial basis function toolbox. J. Open Res. Softw. 2017, 5, 8. [Google Scholar] [CrossRef]
- Chang, C.C.; Lin, C.J. LIBSVM: A library for support vector machines. ACM Trans. Intell. Syst. Technol. 2011, 2, 27. [Google Scholar] [CrossRef]
- Viana, F. SURROGATES Toolbox User’s Guide, version 3.0; SURROGATES Toolbox: Gainesville, FL, USA, 2011. Available online: https://sites.google.com/site/srgtstoolbox/ (accessed on 28 April 2019).
- Yao, P.; Xue, J.; Zhou, K. Study on the wire feed speed prediction of double-wire-pulsed MIG welding based on support vector machine regression. Int. J. Adv. Manuf. Technol. 2015, 79, 2107–2116. [Google Scholar] [CrossRef]










| Function | ndv1 | N | Nadd | Nt |
|---|---|---|---|---|
| Branin-Hoo | 2 | 20 | 6 | 400 |
| Camelback | 2 | 20 | 6 | 400 |
| Hartman-3 | 3 | 30 | 9 | 1000 |
| Hartman-6 | 6 | 100 | 30 | 1000 |
| Extended Rosenbrock | 9 | 150 | 45 | 1000 |
| Dixon–Price | 10 | 200 | 60 | 1000 |
| ndv | Model | Details 1 |
|---|---|---|
| 2 | KRG RBF SVR | Constant regression, Gaussian correlation, θ0 = ndv (1/2), 0.01 < θi < 20 Gaussian basis functions, kernel parameter γ = 4, no polynomial term Gaussian kernel γ = 5, regularization parameter C = ∞, quadratic loss ε = 0.01 |
| 3 | KRG RBF SVR | Constant regression, Gaussian correlation, θ0 = ndv (1/3), 0.01 < θi < 20 Gaussian basis functions, kernel parameter γ = 0.5, No polynomial term Gaussian kernel γ = 0.5, regularization parameter C = 100, quadratic loss ε = 0.01 |
| 6 | KRG RBF SVR | Linear regression, Gaussian correlation, θ0 = ndv (1/6), 0.01 < θi < 20 Gaussian basis functions, kernel parameter γ = 0.5, no polynomial term Gaussian kernel γ = 0.5, regularization parameter C = ∞, quadratic loss ε = 0.001 |
| 9 | KRG RBF SVR | Linear regression, Gaussian correlation, θ0 = ndv (1/9), 0.01 < θi < 20 Gaussian basis functions, kernel parameter γ = 1, polynomial term = 1 Gaussian kernel γ = 0.5, regularization parameter C = 100, quadratic loss ε = 0.001 |
| 12 | KRG RBF SVR | Quadratic regression, Gaussian correlation, θ0 = ndv(1/12), 0.01 < θi < 20 Gaussian basis functions, kernel parameter γ = 2, polynomial term = 1 Gaussian kernel γ = 0.5, regularization parameter C = 100, quadratic loss ε = 0.0001 |
| Function | Metric | KRG | RBF | SVR | BP | PWS | NPWS | OWS | RLS-EM |
|---|---|---|---|---|---|---|---|---|---|
| Branin-Hoo | RMSE 1 AAE R2 | 11.855/4.452 6.032/1.971 0.941/0.045 | 19.127/4.461 11.278/2.020 0.859/0.068 | 18.981/4.591 11.315/2.154 0.860/0.071 | 13.869/5.920 7.577/3.312 0.917/0.068 | 15.451/4.372 8.670/1.942 0.905/0.055 | 15.582/4.333 8.771/1.902 0.904/0.055 | 15.184/4.475 8.460/2.063 0.908/0.056 | 12.008/4.679 6.436/2.317 0.939/0.050 |
| Camel back | RMSE AAE R2 | 19.490/4.823 11.367/2.764 0.698/0.157 | 7.855/5.755 4.591/2.366 0.930/0.197 | 13.005/4.262 7.136/2.147 0.859/0.091 | 10.961/7.590 6.389/3.683 0.867/0.221 | 11.190/3.312 6.519/1.676 0.898/0.073 | 11.441/3.027 6.651/1.551 0.895/0.064 | 10.842/4.059 6.329/2.001 0.899/0.097 | 7.812/3.862 4.834/2.148 0.943/0.062 |
| Hart mann-3 | RMSE AAE R2 | 0.235/0.060 0.159/0.036 0.929/0.038 | 0.417/0.049 0.281/0.030 0.788/0.049 | 0.372/0.076 0.221/0.035 0.826/0.077 | 0.253/0.083 0.170/0.051 0.914/0.061 | 0.273/0.045 0.176/0.024 0.907/0.032 | 0.278/0.044 0.179/0.023 0.905/0.032 | 0.265/0.048 0.171/0.027 0.913/0.033 | 0.233/0.044 0.157/0.034 0.931/0.030 |
| Hart mann-6 | RMSE AAE R2 | 0.239/0.034 0.156/0.022 0.588/0.114 | 0.192/0.019 0.115/0.008 0.739/0.046 | 0.214/0.025 0.115/0.008 0.677/0.055 | 0.193/0.021 0.116/0.011 0.734/0.057 | 0.196/0.023 0.112/0.010 0.728/0.050 | 0.196/0.023 0.112/0.010 0.727/0.051 | 0.195/0.023 0.111/0.009 0.731/0.049 | 0.190/0.019 0.114/0.008 0.743/0.045 |
| Extended Rosen-brock | RMSE (* 105) AAE (* 105) R2 | 0.201/0.023 0.154/0.017 0.765/0.028 | 0.185/0.021 0.142/0.015 0.801/0.024 | 0.201/0.027 0.154/0.019 0.764/0.036 | 0.187/0.022 0.144/0.017 0.796/0.027 | 0.180/0.021 0.138/0.016 0.811/0.023 | 0.181/0.022 0.138/0.016 0.811/0.023 | 0.180/0.022 0.138/0.016 0.812/0.022 | 0.184/0.020 0.141/0.015 0.808/0.023 |
| Dixon–Price | RMSE (* 106) AAE (* 106) R2 | 0.159/0.017 0.238/0.034 0.835/0.025 | 0.195/0.022 0.151/0.017 0.753/0.034 | 0.230/0.029 0.174/0.022 0.760/0.045 | 0.161/0.019 0.151/0.019 0.831/0.033 | 0.175/0.020 0.166/0.020 0.802/0.026 | 0.177/0.020 0.168/0.020 0.797/0.026 | 0.171/0.019 0.162/0.019 0.810/0.025 | 0.158/0.019 0.160/0.019 0.841/0.057 |
| Metric 1 | KRG | RBF | SVR | BP | PWS | NPWS | OWS | RLS-EM |
|---|---|---|---|---|---|---|---|---|
| RMSE | 87.86 | 82.15 | 115.53 | 82.97 | 81.88 | 88.61 | 89.82 | 79.87 |
| AAE | 77.79 | 55.75 | 90.81 | 76.73 | 72.24 | 71.60 | 61.44 | 56.88 |
| R2 | 0.82 | 0.82 | 0.85 | 0.82 | 0.84 | 0.86 | 0.85 | 0.87 |
© 2019 by the authors. Licensee MDPI, Basel, Switzerland. This article is an open access article distributed under the terms and conditions of the Creative Commons Attribution (CC BY) license (http://creativecommons.org/licenses/by/4.0/).
Share and Cite
Zhang, P.; Zhang, S.; Liu, X.; Qiu, L.; Yi, G. A Least Squares Ensemble Model Based on Regularization and Augmentation Strategy. Appl. Sci. 2019, 9, 1845. https://doi.org/10.3390/app9091845
Zhang P, Zhang S, Liu X, Qiu L, Yi G. A Least Squares Ensemble Model Based on Regularization and Augmentation Strategy. Applied Sciences. 2019; 9(9):1845. https://doi.org/10.3390/app9091845
Chicago/Turabian StyleZhang, Peng, Shuyou Zhang, Xiaojian Liu, Lemiao Qiu, and Guodong Yi. 2019. "A Least Squares Ensemble Model Based on Regularization and Augmentation Strategy" Applied Sciences 9, no. 9: 1845. https://doi.org/10.3390/app9091845
APA StyleZhang, P., Zhang, S., Liu, X., Qiu, L., & Yi, G. (2019). A Least Squares Ensemble Model Based on Regularization and Augmentation Strategy. Applied Sciences, 9(9), 1845. https://doi.org/10.3390/app9091845

