Effects of Velocity Profiles on Measuring Accuracy of Transit-Time Ultrasonic Flowmeter
Abstract
Featured Application
Abstract
1. Introduction
2. Methodology
2.1. Laminar Flow
2.2. Turbulent Flow
2.3. Correction Factors for Measurement with Ultrasonic Flowmeter
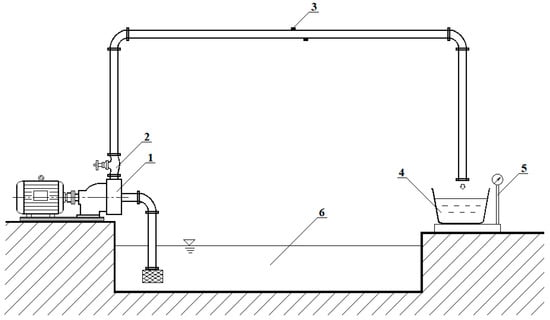
3. Experiment
4. Results
4.1. Verification
4.2. Uncertainty Analysis
5. Conclusions
Author Contributions
Funding
Acknowledgments
Conflicts of Interest
References
- Ferrari, A.; Pizzo, P.; Rundo, M. Modelling and experimental studies on a proportional valve using an innovative dynamic flow-rate measurement in fluid power systems. Proc. Inst. Mech. Eng. Part C: J. Mech. Eng. Sci. 2018, 232, 2404–2418. [Google Scholar] [CrossRef]
- Sun, Y.; Zhang, T.; Zheng, D. New Analysis Scheme of Flow-Acoustic Coupling for Gas Ultrasonic Flowmeter with Vortex near the Transducer. Sensors 2018, 18, 1151. [Google Scholar]
- Grände, P.O.; Borgström, P. An electromic differential pressure flowmeter and a resistance meter for continuous measurement of vascular resistance. Acta Physiol. Scand. 2010, 102, 224–230. [Google Scholar] [CrossRef] [PubMed]
- Bückle, U.; Durst, F.; Howe, B.; Melling, A. Investigation of a floating element flowmeter. Flow Meas. Instrum. 1992, 3, 215–225. [Google Scholar] [CrossRef]
- Gibson, W.G.; Cobbold, R.S.; Johnston, K.W. Principles and design feasibility of a Doppler ultrasound intravascular volumetric flowmeter. IEEE Trans. Bio.-Med. Eng. 1994, 41, 898. [Google Scholar] [CrossRef] [PubMed]
- Bevir, M.K. The theory of induced voltage electromagnetic flowmeter. J. Fluid Mech. 2006, 43, 577–590. [Google Scholar] [CrossRef]
- Pasquale, G.D.; Graziani, S.; Pollicino, A.; Strazzeri, S. A vortex-shedding flowmeter based on IPMCs. Smart Mater. Struct. 2016, 25, 015011. [Google Scholar] [CrossRef]
- Lynnworth, L.C.; Liu, Y. Ultrasonic flowmeters: Half-century progress report, 1955–2005. Ultrasonics 2006, 44, E1371–E1378. [Google Scholar] [CrossRef]
- Chhantyal, K.; Jondahl, M.H.; Viumdal, H.; Mylvaganam, S. Upstream Ultrasonic Level Based Soft Sensing of Volumetric Flow of Non-Newtonian Fluids in Open Venturi Channels. IEEE Sens. J. 2018, 18, 5002–5013. [Google Scholar] [CrossRef]
- Jiang, Y.D.; Wang, B.L.; Li, X.; Liu, D.D.; Wang, Y.Q.; Huang, Z.Y. A Model-Based Hybrid Ultrasonic Gas Flowmeter. IEEE Sens. J. 2018, 18, 4443–4452. [Google Scholar] [CrossRef]
- Liu, B.; Xu, K.J.; Mu, L.B.; Tian, L. Echo energy integral based signal processing method for ultrasonic gas flow meter. Sens. Actuat. A-Phys. 2018, 277, 181–189. [Google Scholar] [CrossRef]
- Raine, A.B.; Aslam, N.; Underwood, C.P.; Danaher, S. Development of an Ultrasonic Airflow Measurement Device for Ducted Air. Sensors 2015, 15, 10705–10722. [Google Scholar] [CrossRef] [PubMed]
- Iooss, B.; Lhuillier, C.; Jeanneau, H. Numerical simulation of transit-time ultrasonic flowmeters: Uncertainties due to flow profile and fluid turbulence. Ultrasonics 2002, 40, 1009–1015. [Google Scholar] [CrossRef]
- Mandard, E.; Kouame, D.; Battault, R.; Remenieras, J.P.; Patat, F. Transit time ultrasonic flowmeter: Velocity profile estimation. Ultrason 2005, 2, 763–766. [Google Scholar]
- Sanderson, M.L.; Yeung, H. Guidelines for the use of ultrasonic non-invasive metering techniques. Flow Meas. Instrum. 2002, 13, 125–142. [Google Scholar] [CrossRef]
- Jaiswal, S.K.; Yadav, S.; Agarwal, R. Multiple Weighing Based Method for Realizing Flow. Mapan 2015, 30, 119–123. [Google Scholar] [CrossRef]
- Willatzen, M. Perturbation theory applied to sound propagation in flowing media confined by a cylindrical waveguide. J. Acoust. Soc. Am. 2001, 109, 102–107. [Google Scholar] [CrossRef] [PubMed]
- Willatzen, M.; Kamath, H. Nonlinearities in ultrasonic flow measurement. Flow Meas. Instrum. 2008, 19, 79–84. [Google Scholar] [CrossRef]
- Willatzen, M. Ultrasonic flowmeters: Temperature gradients and transducer geometry effects. Ultrasonics 2003, 41, 105–114. [Google Scholar] [CrossRef]
- Dadashnialehi, A.; Moshiri, B. Online monitoring of transit-time ultrasonic flowmeters based on fusion of optical observation. Measurement 2011, 44, 1028–1037. [Google Scholar] [CrossRef]
- Mahadeva, D.V.; Baker, R.C.; Woodhouse, J. Further Studies of the Accuracy of Clamp-on Transit-Time Ultrasonic Flowmeters for Liquids. IEEE Trans. Instrum. Meas. 2009, 58, 1602–1609. [Google Scholar] [CrossRef]
- Mahadeva, D.V.; Baker, R.C.; Woodhouse, J. Studies of the Accuracy of Clamp-on Transit Time Ultrasonic Flowmeters. In Proceedings of the 2008 IEEE Instrumentation and Measurement Technology Conference, Victoria, Canada, 12–15 May 2008; pp. 969–973. [Google Scholar]
- Rajita, G.; Mandal, N. Review on transit time ultrasonic flowmeter. In Proceedings of the International Conference on Control, Kolkata, India, 28–30 January 2016. [Google Scholar]
- Wang, X.F.; Tang, Z.A. Note: Ultrasonic gas flowmeter based on optimized time-of-flight algorithms. Rev. Sci. Instrum. 2011, 82, 1371–1584. [Google Scholar] [CrossRef] [PubMed]
- Liu, Z.G.; Du, G.S.; Shao, Z.F.; He, Q.R.; Zhou, C.L. Measurement of transitional flow in pipes using ultrasonic flowmeters. Fluid Dyn. Res. 2014, 46, 055501. [Google Scholar]
- Xiong, Y.T.; Su, Z.D.; Lin, J.D.; Zhang, Y.C. Calibration of large diameter gas flowmeter by the corresponding velocity distribution equation. J. China Univ. Metrol. 2011, 22, 25–29. [Google Scholar]





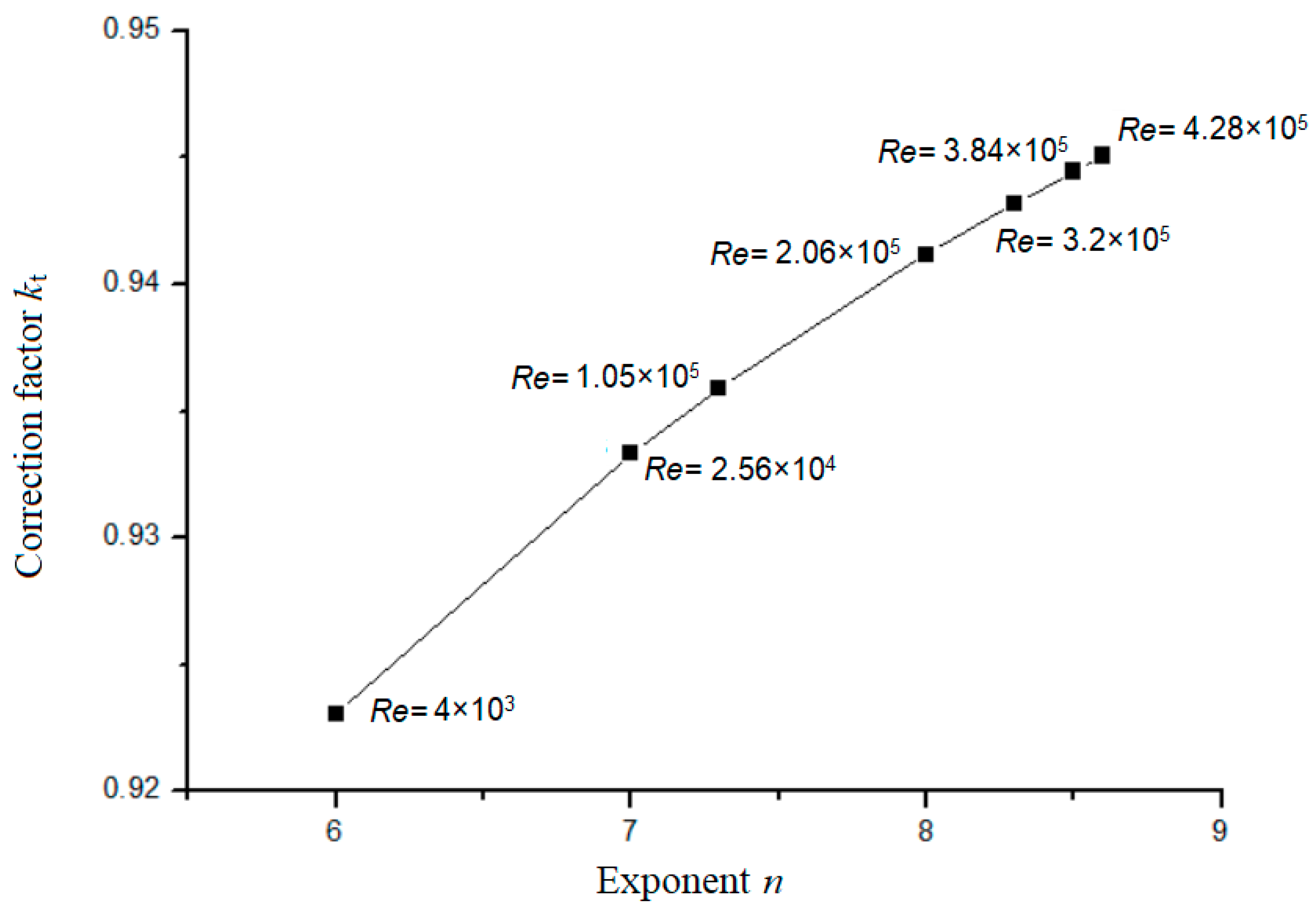
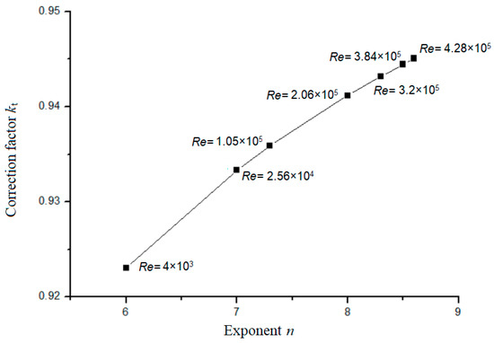
| Re | 4 × 103 | 2.56 × 104 | 1.05 × 105 | 2.06 × 105 | 3.2 × 105 | 3.84 × 105 | 4.28 × 105 |
| n | 6.0 | 7.0 | 7.3 | 8.0 | 8.3 | 8.5 | 8.6 |
| No. | Ultrasonic Flowmeter | Weighing Method | Flowrate Ratio β = Q2:Q1 | δ1 (%) | |||||
|---|---|---|---|---|---|---|---|---|---|
| ΔT × 109 (s) | Flowrate Q1 × 105 (m3/s) | Time (s) | Mass (kg) | Flowrate Q2 × 105 (m3/s) | Velocity (m/s) | Re | |||
| 1 | 0.378 | 0.970 | 60 | 0.430 | 0.717 | 0.047 | 652 | 0.739 | 1.443 |
| 2 | 0.462 | 1.185 | 60 | 0.524 | 0.873 | 0.057 | 795 | 0.737 | 1.772 |
| 3 | 0.632 | 1.622 | 60 | 0.721 | 1.202 | 0.078 | 1094 | 0.741 | 1.192 |
| 4 | 1.002 | 2.572 | 50 | 0.965 | 1.930 | 0.125 | 1757 | 0.751 | 0.052 |
| 5 | 1.121 | 2.877 | 50 | 1.073 | 2.147 | 0.140 | 1954 | 0.746 | 0.498 |
| 6 | 1.310 | 3.363 | 40 | 1.005 | 2.512 | 0.163 | 2286 | 0.747 | 0.406 |
| 7 | 1.317 | 3.380 | 40 | 1.019 | 2.548 | 0.166 | 2318 | 0.754 | 0.513 |
| 8 | 1.553 | 3.987 | 40 | 1.219 | 3.048 | 0.198 | 2774 | 0.764 | 1.931 |
| No. | Ultrasonic Flowmeter | Weighing Method | Flowrate Ratio β = Q2:Q1 | δ2 (%) | |||||||
|---|---|---|---|---|---|---|---|---|---|---|---|
| ΔT × 109 (s) | Flowrate Q1 × 105 (m3/s) | Time (s) | Mass (kg) | Flowrate Q2 × 105 (m3/s) | Velocity (m/s) | Re | n | ||||
| 1 | 7.270 | 0.186 | 60 | 10.314 | 0.172 | 0.085 | 4311 | 6 | 0.925 | 0.923 | 0.216 |
| 2 | 17.714 | 0.454 | 40 | 16.939 | 0.424 | 0.209 | 10619 | 6 | 0.934 | 0.923 | 1.178 |
| 3 | 36.956 | 0.948 | 30 | 26.438 | 0.881 | 0.435 | 22099 | 6 | 0.929 | 0.923 | 0.646 |
| 4 | 43.889 | 1.125 | 20 | 20.984 | 1.049 | 0.518 | 26310 | 7 | 0.932 | 0.933 | 0.107 |
| 5 | 76.663 | 1.966 | 15 | 27.566 | 1.838 | 0.907 | 46084 | 7 | 0.935 | 0.933 | 0.214 |
| 6 | 112.156 | 2.876 | 15 | 40.387 | 2.693 | 1.329 | 67518 | 7 | 0.936 | 0.933 | 0.321 |
| 7 | 143.424 | 3.677 | 10 | 34.384 | 3.438 | 1.697 | 86223 | 7 | 0.935 | 0.933 | 0.214 |
| 8 | 171.690 | 4.402 | 10 | 41.125 | 4.113 | 2.030 | 103127 | 7.3 | 0.934 | 0.936 | 0.214 |
| 9 | 244.767 | 6.276 | 10 | 58.683 | 5.868 | 2.897 | 147156 | 7.3 | 0.935 | 0.936 | 0.110 |
| 10 | 312.871 | 8.022 | 10 | 75.124 | 7.513 | 3.708 | 188385 | 7.3 | 0.937 | 0.936 | 0.107 |
| 11 | 341.571 | 8.758 | 8 | 66.056 | 8.257 | 4.076 | 207057 | 8 | 0.943 | 0.941 | 0.212 |
| 12 | 440.921 | 11.305 | 8 | 85.452 | 10.681 | 5.273 | 267854 | 8 | 0.945 | 0.941 | 0.423 |
| 13 | 532.958 | 13.664 | 7 | 90.218 | 12.888 | 6.362 | 323193 | 8.3 | 0.943 | 0.943 | 0.000 |
| 14 | 597.541 | 15.320 | 5 | 72.367 | 14.473 | 7.145 | 362942 | 8.3 | 0.945 | 0.943 | 0.212 |
| 15 | 629.177 | 16.131 | 5 | 76.218 | 15.244 | 7.525 | 382256 | 8.5 | 0.945 | 0.944 | 0.106 |
| 16 | 662.113 | 16.976 | 5 | 80.136 | 16.027 | 7.912 | 401906 | 8.5 | 0.944 | 0.944 | 0.000 |
| 17 | 694.919 | 17.817 | 5 | 84.163 | 16.833 | 8.309 | 422102 | 8.6 | 0.945 | 0.945 | 0.000 |
| No. | Collected Mass | Collected Time | Combined | Expanded | ||
|---|---|---|---|---|---|---|
| Estimate | Uncertainty | Estimate | Uncertainty | Uncertainty | Uncertainty | |
| (M)(kg) | (μM)(%) | (Δt)(s) | (μΔt)(%) | (μc)(%) | (U)(%) | |
| 1 | 0.43 | 0.233 | 60 | 0.017 | 0.233 | 0.466 |
| 2 | 0.524 | 0.191 | 60 | 0.017 | 0.192 | 0.383 |
| 3 | 0.721 | 0.139 | 60 | 0.017 | 0.140 | 0.279 |
| 4 | 0.965 | 0.104 | 50 | 0.020 | 0.106 | 0.211 |
| 5 | 1.073 | 0.093 | 50 | 0.020 | 0.095 | 0.191 |
| 6 | 1.005 | 0.100 | 40 | 0.025 | 0.103 | 0.205 |
| 7 | 1.019 | 0.098 | 40 | 0.025 | 0.101 | 0.203 |
| 8 | 1.219 | 0.082 | 40 | 0.025 | 0.086 | 0.172 |
| No. | Collected Mass | Collected Time | Combined | Expanded | ||
|---|---|---|---|---|---|---|
| Estimate | Uncertainty | Estimate | Uncertainty | Uncertainty | Uncertainty | |
| (M)(kg) | (μM)(%) | (Δt)(s) | (μΔt)(%) | (μc)(%) | (U)(%) | |
| 1 | 10.314 | 0.010 | 60 | 0.017 | 0.019 | 0.039 |
| 2 | 16.939 | 0.006 | 40 | 0.025 | 0.026 | 0.051 |
| 3 | 26.438 | 0.004 | 30 | 0.033 | 0.034 | 0.067 |
| 4 | 20.984 | 0.005 | 20 | 0.050 | 0.050 | 0.100 |
| 5 | 27.566 | 0.004 | 15 | 0.067 | 0.067 | 0.134 |
| 6 | 40.387 | 0.002 | 15 | 0.067 | 0.067 | 0.133 |
| 7 | 34.384 | 0.003 | 10 | 0.100 | 0.100 | 0.200 |
| 8 | 41.125 | 0.002 | 10 | 0.100 | 0.100 | 0.200 |
| 9 | 58.683 | 0.002 | 10 | 0.100 | 0.100 | 0.200 |
| 10 | 75.124 | 0.001 | 10 | 0.100 | 0.100 | 0.200 |
| 11 | 66.056 | 0.002 | 8 | 0.125 | 0.125 | 0.250 |
| 12 | 85.452 | 0.001 | 8 | 0.125 | 0.125 | 0.250 |
| 13 | 90.218 | 0.001 | 7 | 0.143 | 0.143 | 0.286 |
| 14 | 72.367 | 0.001 | 5 | 0.200 | 0.200 | 0.400 |
| 15 | 76.218 | 0.001 | 5 | 0.200 | 0.200 | 0.400 |
| 16 | 80.136 | 0.001 | 5 | 0.200 | 0.200 | 0.400 |
| 17 | 84.163 | 0.001 | 5 | 0.200 | 0.200 | 0.400 |
© 2019 by the authors. Licensee MDPI, Basel, Switzerland. This article is an open access article distributed under the terms and conditions of the Creative Commons Attribution (CC BY) license (http://creativecommons.org/licenses/by/4.0/).
Share and Cite
Zhang, H.; Guo, C.; Lin, J. Effects of Velocity Profiles on Measuring Accuracy of Transit-Time Ultrasonic Flowmeter. Appl. Sci. 2019, 9, 1648. https://doi.org/10.3390/app9081648
Zhang H, Guo C, Lin J. Effects of Velocity Profiles on Measuring Accuracy of Transit-Time Ultrasonic Flowmeter. Applied Sciences. 2019; 9(8):1648. https://doi.org/10.3390/app9081648
Chicago/Turabian StyleZhang, Hui, Chuwen Guo, and Jie Lin. 2019. "Effects of Velocity Profiles on Measuring Accuracy of Transit-Time Ultrasonic Flowmeter" Applied Sciences 9, no. 8: 1648. https://doi.org/10.3390/app9081648
APA StyleZhang, H., Guo, C., & Lin, J. (2019). Effects of Velocity Profiles on Measuring Accuracy of Transit-Time Ultrasonic Flowmeter. Applied Sciences, 9(8), 1648. https://doi.org/10.3390/app9081648
