Next Article in Journal
Effects of Magnetic Fields on Quench Characteristics of Superconducting Tape for Superconducting Fault Current Limiter
Previous Article in Journal
Combined MvdXML and Semantic Technologies for Green Construction Code Checking
 
 
Font Type:
Arial Georgia Verdana
Font Size:
Aa Aa Aa
Line Spacing:
Column Width:
Background:
Article

A Tabu List-Based Algorithm for Capacitated Multilevel Lot-Sizing with Alternate Bills of Materials and Co-Production Environments

by
Alfonso R. Romero-Conrado
1,*,
Jairo R. Coronado-Hernandez
1,
Gregorio Rius-Sorolla
2 and
José P. García-Sabater
2
1
Departamento de Gestión Industrial, Agroindustrial y Operaciones, Universidad de la Costa, Barranquilla 08040, Colombia
2
Departamento de Organización de Empresas, Universitat Politècnica de València, 46022 Valencia, Spain
*
Author to whom correspondence should be addressed.
Appl. Sci. 2019, 9(7), 1464; https://doi.org/10.3390/app9071464
Submission received: 7 March 2019 / Revised: 29 March 2019 / Accepted: 3 April 2019 / Published: 8 April 2019
(This article belongs to the Section Materials Science and Engineering)

Abstract

Featured Application

Small and medium enterprises with complex production systems, involving multi-level product structures and co-production configurations, would use the proposed algorithm for improving their production planning and lot-sizing decisions.

Abstract

The definition of lot sizes represents one of the most important decisions in production planning. Lot-sizing turns into an increasingly complex set of decisions that requires efficient solution approaches, in response to the time-consuming exact methods (LP, MIP). This paper aims to propose a Tabu list-based algorithm (TLBA) as an alternative to the Generic Materials and Operations Planning (GMOP) model. The algorithm considers a multi-level, multi-item planning structure. It is initialized using a lot-for-lot (LxL) method and candidate solutions are evaluated through an iterative Material Requirements Planning (MRP) procedure. Three different sizes of test instances are defined and better results are obtained in the large and medium-size problems, with minimum average gaps close to 10.5%.

1. Introduction

The definition of lot sizes represents one of the most important decisions in production planning. Lot-sizing models aim to guarantee the fulfillment of the demand requirements, establishing a balance between holding and setup costs. Complex assembly systems usually require wide and robust product structures, which may involve the use of alternate bills of materials and co-production settings. In these cases, the complexity of lot sizing decisions increases along with flexibility. Depending on the problem size and the number of considered constraints, the use of exact solution models can be inefficient in terms of computational times, especially for operational planning purposes [1,2].
Exact solution approaches have been widely used for the NP-hard Capacitated Lot Sizing Problem (CLSP), including cut-generation [3] and redefinition techniques [4], supported by mathematical approaches as Branch and Bound, Lagrangian Relaxation, and Wagner-Within. In the case of multi-level CLSP, the use of linear programming (LP) methods showed good results [5].
On the other hand, the use of heuristic and meta-heuristic methods for solving lot-sizing problems has become increasingly frequent and implementations have flooded the scientific literature [2,6,7,8,9]. The advantages of these kinds of approximate procedures include reduced computational times, the ability to solve larger problems, higher flexibility, high-quality solutions, and reduced implementation costs (e.g., compared with commercial software licenses [10]).
Among the different heuristic approaches, local and guided-search algorithms, such as the Tabu Search (TS), have demonstrated efficiency in a variety of lot-sizing problems, especially with multi-product and multi-level planning structures [11,12,13]. Most implementations take initial solutions from constructive algorithms, which are later improved with iterative small modifications (called moves). The search is guided by long-term and short-term memory structures within intensification and diversification phases [9,14,15,16].
The Generic Materials and Operations Planning model (GMOP) is one of the most recent exact models for solving lot-sizing problems that considers alternative bills of materials, multi-level structures, multi-site production/packaging, and co-production settings. This model was proposed in 2011 [17,18] as a robust mixed integer programming (MIP) problem. Since 2013 [19,20], the functioning of GMOP has been improved with the implementation of mathematical relaxation methods and its efficiency in practical applications has been demonstrated (e.g., in the automotive sector) [21,22,23].
Developing heuristic approaches for solving this problem has been suggested as a research opportunity since 2012 [24,25], but these kinds of procedures have not been extensively explored [26]. Proposing alternative solution methods and data structures represents a contribution not only to further GMOP studies, but also to the wider research field of multi-level lot-sizing problems, employing alternative product structures instead of the generalized Gozinto structure.
The aim of this article is to propose an alternative heuristic algorithm for the GMOP, using the short-term memory principles of TS. The main considerations include: Capacity constraints, a multi-product/multi-level structure, a co-production environment, and the existence of alternate bills of materials for final products [27,28].
This paper is organized as follows. Section 2 shows the GMOP generalities. Section 3 shows a brief introduction to TS algorithms. Section 4 exposes the methodological framework and a functioning overview of the proposed algorithm. The obtained results and their discussion are shown, respectively, in Section 5 and Section 6. Finally, conclusions and further research opportunities are highlighted in Section 7.

2. The Generic Materials and Operational Planning Model (GMOP)

The Generic Materials and Operational Planning model was proposed by Garcia Sabater et al. [19] and Maheut et al. [18], as an alternative for modeling the existing relations between the processes and the materials needed for the elaboration of a product.
Unlike the Gozinto representation (where the priority falls on the final product and its components), this lot-sizing model focuses on the planning of operations (strokes) to be made for the manufacture, purchase, or transportation of a certain product or a group of products.
A stroke is defined as any activity or operation that allows for the transformation of a set of products or Stock Keeping Units (SKUs) into another set of SKUs, using or immobilizing a certain amount of resources. As shown in Figure 1, a Stroke can contain the following attributes [19]:
  • Outputs (Stroke Outputs): The product or set of products obtained from the stroke execution, as shown in Table 1.
  • Inputs (Stroke Inputs): The product or set of products consumed at the execution of the stroke, as shown in Table 2.
  • Lead times
  • Operation times and costs
  • Set-up times and costs
  • Resource usage: Resources can be, for example, machinery, workforce, and so on.
The GMOP model can easily include capacity constraints, as well as direct, inverse, and alternate bill of materials, multi-site production, resource requirements, by-products, transportation modes, and packaging processes [19].
The problem is presented as a mixed integer programming model, whose parameters and variables are shown in Table 3. The objective function (1) aims to minimize the total planning cost Z, which includes storage, operation, and set up costs generated by the execution of strokes.
Equation (2) represents the inventory constraint. It considers the stock levels from the previous period, demand requirements, purchased items, and the quantities generated and consumed by the strokes in every time period.
Equation (3) ensures the inclusion of a setup cost when a stroke is used: If z k , t is larger than zero, then δ k , t must be 1 in order to satisfy the constraint.
Equation (4) is a capacity constraint that limits the use of resources by considering both setup and operations times.
Finally, Equations (5)–(8) define the range and domain of the decision variables.
Z = M i n t i ( h i , t X i , t ) + t k ( C S k , t δ k , t + C O k , t z k , t ) + t i ( C B i , t w i , t )
X i , t = X i , t 1 D i , t + w i , t k ( S I i , k z k , t ) + k ( S O i , k z k , t L T k ) ( i , t )
z k , t M δ k , t 0 ( k , t )
k ( T S k , r δ k , t ) + k ( T O k , r z k , t ) K A P r , t ( r , t )
X i , t 0
w i , t 0
z k , t Z +
δ k , t 0 , 1 .

3. Tabu Search Algorithms

The Tabu Search (TS) method is a metaheuristic method proposed by Glover in 1989 [29] and 1993 [30]. It is an iterative procedure which explores a set of problem solutions, making moves from one solution x to another solution x inside a neighborhood V ( x ) . Moves aim to find optimal or near-optimal solutions, evaluating some objective function that is to be minimized.
TS involves adaptive memory principles, the creation of constrained search spaces, and the utilization of short-term and long-term learning mechanisms [31].
The Tabu list is the main short-term memory mechanism and keeps a record of the most recently adopted moves, keeping the algorithm from re-evaluating previously-considered solutions and getting stuck in local optima. The algorithm starts with an initial solution Z 0 as the current solution S. Moves allow the algorithm to make changes to the solution array, generating candidate solutions S c . These changes can be done using an insertion, mutation, combination, or by crossing strategies.
A set V is generated with N s candidate solutions. After evaluation, only the best solution per iteration is adopted ( S S c ) and the moves ( S k to S c ) and ( S c to S k ) are registered in the Tabu list, being forbidden for a specific number of iterations (the so-called Tabu tenure).
The algorithm stops when a completion criterion is fulfilled. The most frequent finalization conditions include a maximum number of iterations, a minimum value for the objective function, or a specific number of iterations without substantial improvements.
TS also allows for the implementation of aspiration, diversification, and intensification mechanisms. Aspiration criteria allow the algorithm to improve the solution by considering moves included in the Tabu list. Intensification mechanisms are short-term or long-term memory structures that allow a deep exploration of promising search spaces. Finally, diversification strategies guide the search towards poorly-explored search spaces [32].
TS algorithms have been implemented in a variety of lot-sizing and scheduling problems. This approach frequently offers high-quality solutions and has been able to outperform other heuristics and relaxation methods [12,33,34,35]. One of the main motivations for adopting a TS approach lies in the advantages of local search, especially its efficiency for managing hard constraints in large scale problems [36]. TS principles are especially useful when reducing search neighborhoods and guiding the search into feasible solutions.
The reference [9] shows one of the first TS implementations for a multi-level lot-sizing problem. The authors compared the performance between a pure Linear Programming (LP) method and two LP-based heuristics (LP combined with Simulated Annealing (SA) and TS) when solving a multi-level capacitated lot-sizing problem (MCLSP) in an assembly production system with bottleneck constraints. An initial solution was obtained with a modified greedy algorithm and the search was guided according to non-restricted moves with higher improvements in the objective function. No diversification, intensification, or aspiration mechanisms were specified. The results showed better performance in the LP-based approaches.
In [15], two different heuristic methods were proposed to solve a capacitated multi-level lot-sizing and scheduling problem for a multiple-item, single machine system. The first method was based on a “randomized regrets” heuristic, and the second was a TS-based heuristic. A Gozinto product structure was represented using a disjunctive arcs method, and moves were performed according to the existence of adjacent nodes with larger improvements in the objective function. The computational results were similar for both heuristics and the inclusion of multiple resources, setup times, and back-orders were proposed as future work opportunities.
Other well-known heuristic approaches, such as SA and Genetic Algorithms (GA), were tested and compared with TS in [12]. The obtained results showed that TS outperformed the SA and GA methods, especially when the problem involved confirmed order demand.
TS is usually combined with other methods in order to improve results. A hybrid algorithm TS–SA was proposed in [14] for solving a multi-level lot-sizing problem with general product structures. TS mechanisms were used to guide the search with the help of SA components. The results demonstrated that the inclusion of the TS method led to an improvement in cost performance, when compared with CPLEX–LP solutions.
In the case of single-level lot-sizing problems, TS has been tested within a wide variety of configurations and constraints: [37] showed a capacitated, single-item problem with dynamic demand. The multi-item variation for this problem was shown in [38].
In [39], the problem defined was multi-item with setup carry-over. The TS approach included dynamic Tabu lists and penalty constraints.
A dynamic lot-sizing problem with product returns and re-manufacturing constraints was presented in [35]. The initial solutions were generated using a blockchain-based algorithm and the TS algorithm was able to obtain satisfactory results in at least 96% of test instances.

4. Methods

4.1. Algorithm Overview

The proposed algorithm is an approximation to a TS method [29,40]. An outline of the Tabu list-based algorithm (TLBA) is shown in Algorithm 1.
Algorithm 1: Tabu List-based algorithm outline
Applsci 09 01464 i001

4.2. Solution Array

The solution array S i contains the selected strokes for producing every SKU. Given the presence of alternate bills of materials, and that each stroke has different settings for inputs, outputs, and resource usage, it is necessary to decide which stroke is more efficient in producing each product, minimizing the total planning cost.

4.3. Search Neighborhood

The search neighborhood was composed by the set of solutions resulting from all possible stroke selections for each SKU. These possible selections were listed in the alternative stroke matrix A l t i , k . The A l t i , k matrix is built from the output matrix S O i , k and contains a list of the strokes that can produce each SKU. If a SKU can be produced by more than one stroke, it can be said that this SKU has more than one bill of materials. At the same time, if a stroke has more than one output, we are facing a case of co-production.

4.4. Moves

For each iteration, a set V is built using N s neighbor solutions. A short-term diversification phase is used, and candidate solutions are obtained from the change of one random position (SKU) in S i . When a random position is selected, an alternative stroke from A l t i , k is assigned. This move is only made for those SKUs that have at least one alternative stroke and a single change is made for each new generated N s .

4.5. Evaluation Procedure

As shown in (1), the total planning cost included setups, operation, and holding costs, resulting from stroke utilization in each period. The total stroke requirements per period were calculated through a Material Requirement Planning (MRP) strategy, with a lot-for-lot policy [41] in every level of the product structures. When obtaining an initial solution, one important consideration for the evaluation procedure was the assumption that a product i is only produced using the first alternative stroke listed in A l t i , k .

4.6. The Tabu List

The Tabu list is represented by a 3-dimensional data structure T a b u L i s t k 1 , k 2 , i , which records the moves made from the current solution S i to the best solution B e s t S o l obtained in each iteration. For each S K U ( i ) , there is a square matrix of order k (total number of strokes), where k 1 is the initial stroke and k 2 is the final stroke in every move. The Tabu list contains, by default, a B i g M number in the positions of the main diagonal. This prevents the algorithm from making moves using the same stroke. As soon as a move enters the Tabu list, it is assigned with the Tabu tenure (this is the number of iterations that it will be included in the Tabu list). The opposite move is included as well. The number of forbidden moves in the Tabu list is equivalent to twice the selected Tabu tenure. The oldest moves will come out first and the most recent moves will come out later.

4.7. Completion Criteria

The algorithm stops with the fulfillment of a maximum number of iterations I t .

5. Results

5.1. Test Instances

Table 4 shows the parameters used for the definition of the randomly-generated test instances (Based on the methodology in [12,14] and the values defined in [23]).
Nine groups of test instances were generated, according to three different sizes: Small (TI1–TI3), medium (TI4–TI6), and large (TI7–TI9).
Every instance group received an identification code, according to its parameters. For example, the test instance showed in Figure 2 represents a problem with 50 SKU, 15 final products, a planning horizon of 25 periods, 10 resources, and 50 strokes.
The generated test instances groups are listed below:
  • TI1-SKU50-P15-T25-R10-K50
  • TI2-SKU50-P15-T25-R10-K100
  • TI3-SKU50-P15-T25-R10-K200
  • TI4-SKU100-P30-T50-R20-K50
  • TI5-SKU100-P30-T50-R20-K100
  • TI6-SKU100-P30-T50-R20-K200
  • TI7-SKU200-P60-T75-R30-K50
  • TI8-SKU200-P60-T75-R30-K100
  • TI9-SKU200-P60-T75-R30-K200

5.2. Initial Parameters

A general full factorial design [42] was implemented in order to select the initial parameters for the Tabu list-based algorithm. The selected response variable was the total planning cost and the experimental factors included three basic parameters: The number of iterations, the Tabu tenure, and the number of candidate solutions per iteration.
Each experimental factor had three experimental levels (as shown in Table 5). The selected levels were defined according to prior tests with every group of instances and by considering the number of iterations where the solution improvement rate become smaller and stable. The response variables were the total planning cost and the total computational time.
Two problem sizes were defined: TI1-SKU50-P15-T25-R10-K50 for small problems and TI7-SKU200-P60-T75-R30-K50 for large problems. The total computational time was measured and the total planning cost was calculated. Normality, homoscedasticity, and an independence test were performed, and the results of the analysis of variance (ANOVA) for both problem sizes are shown in Table 6, Table 7, Table 8 and Table 9.

5.2.1. Total Planning Cost

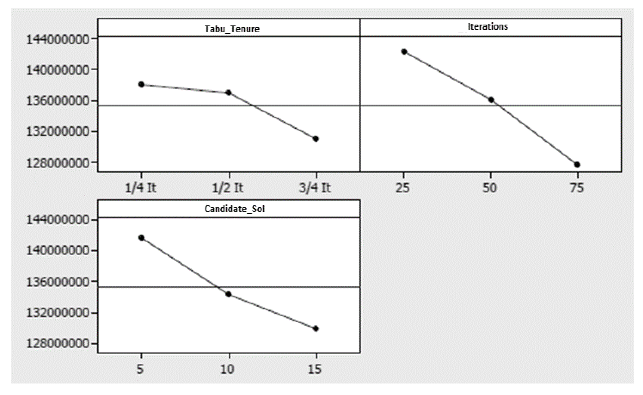
According to the ANOVA results in Table 6 and Table 7, all main experimental factors were statistically significant with = 0.10 , and their R-squared values were adequate. Most of the interactions showed no statistical significance, especially in the large test instances.
Main effects plots allowed selection of the levels for the experimental factors that minimized the total planning cost. As shown in Figure 3, a larger number of iterations, candidate solutions per iteration, and Tabu tenure, led to better quality results. In this case, experimentation was cost-driven and the high level for each experimental factor was selected for TLBA experiments.

5.2.2. Total Computational Time

According to the ANOVA results, the number of iterations, the number of candidate solutions, and their interaction I t e r a t i o n s C a n d i d a t e S o l had a statistical effect, in terms of computational time. This result is expected, since these two factors determine the necessary number of cycles for obtaining a solution.
As shown in Figure 4, the computational times were directly proportional to the number of iterations and the number of candidate solutions per iteration.
Tabu tenure and its first-level interactions showed a non-significant effect on computational times: The number of iterations that moves stayed in the Tabu list did not affect the average computational time. This result differs from that presented in Section 5.2.1, as Tabu tenure has an important effect on the total planning cost.

5.3. Computational Results

Matlab (R2017a) was the main development environment for the TLBA. Test instances were generated using pseudo-random number generation, according to the parameters in Table 4.
An initial solution was calculated for every generated test instance, using a lot-for-lot method.
Test instances were exported to spreadsheet files and imported to GAMS using .gdx files. The exact solutions were obtained through a branch-and-bound method using the CPLEX solver in GAMS (version 24.8.2) with default settings. No tolerance settings or time limits were defined.
An overview of the information flow is shown in Figure 5.
The system specifications were as follows:
  • RAM: 12 Gb DDR3
  • CPU: AMD A6-5200 APU 2.00 GHz
  • Operating System: Windows 10 Professional (64 bits)
The results obtained for each of the test instances are shown in Table 10.
B&B GMOP: Branch-and-Bound solution for the GMOP model.
TLBA: Tabu List-Based Algorithm solution.
Min. Comp. Time: Minimum Computational Time.
Avg. Comp. Time: Average Computational Time.
Gaps were computed using (9), comparing the optimal solutions C O p t with the obtained results in every test instance C A l g . Due to the random procedure for moves (see Section 4.4), the average and minimum gaps for TLBA were calculated using five replicas for every test instance.
G A P = C A l g C O p t C O p t .

6. Discussion

6.1. Solutions Quality

On average, the TLBA was able to obtain solutions with gaps between 11.48% and 33.22% (Table 10). Even when the minimum gaps were obtained in a mid-sized instance (TI4:10.58%) and a large instance (TI9:13.01%), there is no statistical evidence of better performance in a specific problem size.
As shown in Figure 6, the average gaps also showed no significant difference when comparing test instance groups.
Even though the lot-for-lot method allowed for obtaining feasible initial solutions in relatively short times (15–180 s), the gaps for the initial solutions were considerably high. The effect of the initial solution quality on TLBA was not measured, and further experimentation is necessary to improve the algorithm’s efficiency [43,44,45].
Taking into account these results, the exact method remains a convenient option in terms of quality. A cost-benefit analysis may be carried out, due to the sometimes expensive acquisition of solver licenses [10], especially in small and medium enterprises.

6.2. Computational Effort

Optimal solutions were obtained in relatively short computational times (970–1020 s), with no statistical difference between problem sizes.
On the other hand, TLBA computational times were higher, with a significant statistical difference among problem sizes, as shown in Figure 7.
As expected, the times were directly proportional to problem size. Only the first instance group showed comparable average computational times with the exact method but, in some cases, the times were up to 52% higher.
Computational times in the medium sized instances were approximately 7 times higher than those obtained with the exact method. In the case of the largest instances, the times increased almost exponentially, with differences near to 2500%.
The solution representation and the evaluation method applied to candidate solutions had a important effect on computational times [46]. The evaluation procedure when obtaining an initial solution was simplified (see Section 4.5), explaining the low computational times in this phase.
In the case of the evaluation procedure for candidate solutions S c in V, time was basically affected by the number of candidate solutions per iteration N s . It is necessary to analyze the random procedure’s efficiency when obtaining non-forbidden candidate solutions and adding them to V, especially when high values of Tabu tenure are used.
Mutation and combination mechanisms were not considered for generating candidate solutions, this helped to avoid non-feasible candidate solutions related to stroke usage.
The MRP procedure represents the most time-demanding routine. Implementing a more efficient method to obtain SKU inventory levels must be analyzed in further research.
The Tabu list, as a short-term memory mechanism, allowed for improvement in the solution quality. Future work may include the implementation of long-term intensification, diversification, and aspiration mechanisms, in order to improve the algorithm’s performance.
According to the experimental results, Tabu tenure showed no statistical effect on computational times (see Figure 3). This result may imply that, even when the Tabu list optimizes the search, evaluation routines are computationally expensive.
The implementation of TLBA is limited by computational time. However, the use of this kind of procedure would benefit enterprises with low software acquisition budgets (e.g., solver acquisition) having an important efficiency impact on production planning and lot-sizing decisions. This implementation is limited for the understanding and appropriation of the proposed algorithm. Matlab codes, datasets, evaluation procedure, and instance generation algorithms are available in [47] through GitHub.

7. Conclusions

A Tabu list-based algorithm (TLBA) was proposed for the solution of the GMOP model, a capacitated multi-level lot-sizing problem, which considered alternate bills of materials and a controlled co-production environment.
The algorithm obatined solutions with minimum gaps near to 10.5%, in medium-sized instances. The complexity of the data structure, the iterative evaluation procedure for candidate solutions, and the time-consuming calculation for inventory levels were the main three reasons for the large computational times of the TLBA.
Opportunities for future research include the implementation of long-term memory mechanisms for the TS. Additionally, the use of alternative initial solution methods and the improvement of the candidate solution generation procedure may improve the algorithm’s efficiency.
TLBA represents one of the first attempts to find an alternative solution procedure to the established GMOP search algorithms. The use of mathematical approaches (e.g., Lagrangian relaxation and column generation) may result in performance improvements and provide a wide variety of research opportunities.

Author Contributions

Conceptualization, J.R.C.-H., G.R.-S., and J.P.G.-S.; Formal analysis, A.R.R.-C.; Methodology, A.R.R.-C.; Project administration, A.R.R.-C.; Software, A.R.R.-C.; Supervision, J.R.C.-H., G.R.-S., and J.P.G.-S.; Validation, A.R.R.-C.; Writing—original draft, A.R.R.-C.; Writing—review & editing, J.R.C.-H., G.R.-S., and J.P.G.-S.

Funding

This research received no external funding.

Acknowledgments

This paper shows the results of the project entitled “Algoritmo heurístico basado en listas tabú para la planificación de la producción en sistemas multinivel con listas de materiales alternativas y entornos de coproducción” supported by Universidad de la Costa and Universitat Politècnica de València.

Conflicts of Interest

The authors declare no conflict of interest.

Abbreviations

The following abbreviations are used in this manuscript:
TLBATabu-List Based Algorithm
GMOPGeneric Materials and Operational Planning Model

References

  1. Karimi, B.; Fatemi Ghomi, S.; Wilson, J. The capacitated lot sizing problem: A review of models and algorithms. Omega 2003, 31, 365–378. [Google Scholar] [CrossRef]
  2. Martí, R.; Reinelt, G. Heuristic Methods. In The Linear Ordering Problem; Springer: Berlin, Germany, 2011; pp. 17–40. [Google Scholar] [CrossRef]
  3. Barany, I.; Van Roy, T.J.; Wolsey, L.A. Strong Formulations for Multi-Item Capacitated Lot Sizing. Manag. Sci. 1984, 30, 1255–1261. [Google Scholar] [CrossRef]
  4. Eppen, G.D.; Martin, R.K. Solving Multi-Item Capacitated Lot-Sizing Problems Using Variable Redefinition. Oper. Res. 1987, 35, 832–848. [Google Scholar] [CrossRef]
  5. Maes, J.; McClain, J.O.; Van Wassenhove, L.N. Multilevel capacitated lotsizing complexity and LP-based heuristics. Eur. J. Oper. Res. 1991, 53, 131–148. [Google Scholar] [CrossRef]
  6. Buschkühl, L.; Sahling, F.; Helber, S.; Tempelmeier, H. Dynamic Capacitated Lot-Sizing Problems: A Classification and Review of Solution Approaches. OR Spectrum. 2010, 32, 231–261. [Google Scholar] [CrossRef]
  7. Drexl, A.; Kimms, A. Lot sizing and scheduling—Survey and extensions. Eur. J. Oper. Res. 1997, 99, 221–235. [Google Scholar] [CrossRef]
  8. Glock, C.H.; Grosse, E.H.; Ries, J.M. The lot sizing problem: A tertiary study. Int. J. Prod. Econ. 2014, 155, 39–51. [Google Scholar] [CrossRef]
  9. Kuik, R.; Salomon, M.; Van Wassenhove, L.N.; Maes, J. Linear Programming, Simulated Annealing and Tabu Search Heuristics for Lotsizing in Bottleneck Assembly Systems. IIE Trans. 1993, 25, 62–72. [Google Scholar] [CrossRef]
  10. AMPL Optimization Inc. Standard Price List—AMPL. Available online: https://ampl.com/products/standard-price-list/ (accessed on 1 March 2019).
  11. Seeanner, F.; Almada-Lobo, B.; Meyr, H. Combining the principles of variable neighborhood decomposition search and the fix&optimize heuristic to solve multi-level lot-sizing and scheduling problems. Comput. Oper. Res. 2013, 40, 303–317. [Google Scholar] [CrossRef]
  12. Hung, Y.F.; Chien, K.L. A Multi-Class Multi-Level Capacitated Lot Sizing Model. J. Oper. Res. Soc. 2000, 51, 1309. [Google Scholar] [CrossRef]
  13. Kang, Y.; Albey, E.; Uzsoy, R. Rounding heuristics for multiple product dynamic lot-sizing in the presence of queueing behavior. Comput. Oper. Res. 2018, 100, 54–65. [Google Scholar] [CrossRef]
  14. Berretta, R.; França, P.M.; Armentano, V.A. Metaheuristic approaches for the multilevel resource-constrained lot-sizing problem with setup and lead times. Asia-Pac. J. Oper. Res. 2005, 22, 261–286. [Google Scholar] [CrossRef]
  15. Kimms, A. Competitive methods for multi-level lot sizing and scheduling: Tabu search and randomized regrets. Int. J. Prod. Res. 1996, 34, 2279–2298. [Google Scholar] [CrossRef]
  16. Oliva San Martín, C.D.; Ramírez Guzmán, G. Algoritmo de tipo búsqueda tabú para un problema de programación de horarios universitarios vespertinos. INGE CUC 2013, 9, 58–65. [Google Scholar]
  17. Maheut, J.; Garcia-Sabater, J.P. La matriz de operaciones y materiales y la matriz de operaciones y recursos, un nuevo enfoque para resolver el problema GMOP basado en el concepto del stroke. Dir. Y Organ. 2011, 45, 46–57. [Google Scholar]
  18. Maheut, J.; Garcia-Sabater, J.P.; Garcia-Sabater, J.J.; Valero Herrero, M. El Stroke y la Matriz de Operaciones y Materiales, nuevo enfoque para resolver el problema GMOP. In Proceedings of the 5th International Conference on Industrial Engineering and Industrial Management, Cartagena, Spain, 7–9 September 2011; pp. 884–893. [Google Scholar]
  19. Garcia-Sabater, J.P.; Maheut, J.; Marin-Garcia, J.A. A new formulation technique to model materials and operations planning: The generic materials and operations planning (GMOP) problem. Eur. J. Ind. Eng. 2013, 7, 119. [Google Scholar] [CrossRef]
  20. Maheut, J.; Garcia Sabater, J.P. Algorithm for complete enumeration based on a stroke graph to solve the supply network configuration and operations scheduling problem. J. Ind. Eng. Manag. 2013, 6, 779–795. [Google Scholar] [CrossRef]
  21. Roca Molina, A. Construcción de Algoritmo Aplicando Relajación Lagrangeana Para la Obtención de un límite Inferior Para el Problema de Lotificación en Sistemas Multinivel en Entornos de Coproducción y Listas de Materiales Alternativas. Ph.D. Thesis, Universidad Tecnológica de Bolívar, Cartagena, Colombia, 2016. [Google Scholar]
  22. Rius Sorolla, G.; Maheut, J.; Coronado-Hernandez, J.; Garcia-Sabater, J.P. Lagrangian relaxation of the GMOP model. In Proceedings of the 11th International Conference on Industrial Engineering and Industrial Management, Valencia, Spain, 5–6 July 2017. [Google Scholar]
  23. Rius-Sorolla, G.; Maheut, J.; Coronado-Hernandez, J.R.; Garcia-Sabater, J.P. Lagrangian relaxation of the generic materials and operations planning model. Cent. Eur. J. Oper. Res. 2018, 1–19. [Google Scholar] [CrossRef]
  24. Maheut, J.; Garcia-Sabater, J.P.; Mula, J. The Generic Materials and Operations Planning (GMOP) problem solved iteratively: A case study in multi-site context. In IFIP Advances in Information and Communication Technology; Springer: Berlin/Heidelberg, Germany, 2012; Volume 384, pp. 66–73. [Google Scholar]
  25. Maheut, J. Modelos y Algoritmos Basados en el Concepto Stroke Para la Planificación y Programación de Operaciones con Alternativas en Redes de Suministro. Ph.D. Thesis, Universitat Politècnica de València, Valencia, Spain, 2013. [Google Scholar] [CrossRef]
  26. Maheut, J.; Garcia-Sabater, J.P. A Parallelizable Heuristic for Solving the Generic Materials and Operations Planning in a Supply Chain Network: A Case Study from the Automotive Industry. In IFIP WG 5.7 International Conference on Advances in Production Management Systems, APMS; Springer: Berlin/Heidelberg, Germany, 2012; pp. 151–157. [Google Scholar]
  27. Coronado-Hernandez, J.R.; Simancas-Mateus, D.; Avila-Martinez, K.; Garcia-Sabater, J.P. Heuristic for Material and Operations Planning in Supply Chains with Alternative Product Structure. J. Eng. Appl. Sci. 2017, 12, 628–635. [Google Scholar] [CrossRef]
  28. Romero-Conrado, A.R. Algoritmo heurístico basado en listas tabú para la planificación de la producción en sistemas multinivel con listas de materiales alternativas y entornos de coproducción. Master’s Thesis, Universidad de la Costa, Barranquilla, Colombia, 2018; pp. 1–141. [Google Scholar]
  29. Glover, F. Tabu Search—Part I. ORSA J. Comput. 1989, 1, 190–206. [Google Scholar] [CrossRef]
  30. Glover, F.; Taillard, E. A user’s guide to tabu search. Ann. Oper. Res. 1993, 41, 1–28. [Google Scholar] [CrossRef]
  31. Batista, M.B.M.; Glover, F. Búsqueda Tabú. Intel. Artif. Rev. Iberoam. De Intel. Artif. 2003, 7, 29–48. [Google Scholar]
  32. Chelouah, R.; Siarry, P. Tabu Search applied to global optimization. Eur. J. Oper. Res. 2000, 123, 256–270. [Google Scholar] [CrossRef]
  33. Raza, S.A.; Akgunduz, A.; Chen, M.Y. A tabu search algorithm for solving economic lot scheduling problem. J. Heuristics 2006, 12, 413–426. [Google Scholar] [CrossRef]
  34. Cesaret, B.; Oǧuz, C.; Sibel Salman, F. A tabu search algorithm for order acceptance and scheduling. Comput. Oper. Res. 2012, 39, 1197–1205. [Google Scholar] [CrossRef]
  35. Li, X.; Baki, F.; Tian, P.; Chaouch, B.A. A robust block-chain based tabu search algorithm for the dynamic lot sizing problem with product returns and remanufacturing. Omega 2014, 42, 75–87. [Google Scholar] [CrossRef]
  36. Li, J.Q.; Pan, Q.K. Solving the large-scale hybrid flow shop scheduling problem with limited buffers by a hybrid artificial bee colony algorithm. Inf. Sci. 2014, 316, 487–502. [Google Scholar] [CrossRef]
  37. Hindi, K.S. Solving the single-item, capacitated dynamic lot-sizing problem with startup and reservation costs by tabu search. Comput. Ind. Eng. 1995, 28, 701–707. [Google Scholar] [CrossRef]
  38. Hindi, K.S. Solving the CLSP by a Tabu Search Heuristic. J. Oper. Res. Soc. 1996, 47, 151–161. [Google Scholar] [CrossRef]
  39. Gopalakrishnan, M.; Ding, K.; Bourjolly, J.M.; Mohan, S. A Tabu-Search Heuristic for the Capacitated Lot-Sizing Problem with Set-up Carryover. Manag. Sci. 2001, 47, 851–863. [Google Scholar] [CrossRef]
  40. Glover, F. Tabu Search—Part II. ORSA J. Comput. 1990, 2, 4–32. [Google Scholar] [CrossRef]
  41. Orlicky, J. Material Requirements Planning; McGraw-Hill: New York, NY, USA, 1975. [Google Scholar]
  42. Minitab 18. Overview for Create General Full Factorial Design. 2019. Available online: https://support.minitab.com/en-us/minitab/18/help-and-how-to/modeling-statistics/doe/how-to/factorial/create-factorial-design/create-general-full-factorial/before-you-start/overview/ (accessed on 1 March 2019).
  43. Perttunen, J. On the Significance of the Initial Solution in Travelling Salesman Heuristics. J. Oper. Res. Soc. 1994, 45, 1131. [Google Scholar] [CrossRef]
  44. Escobar Z, A.H.; Gallego R, R.A.; Romero L, R.A. Using traditional heuristic algorithms on an initial genetic algorithm population applied to the transmission expansion planning problem. Ing. E Investig. 2011, 31, 127–143. [Google Scholar]
  45. Elaziz, M.A.; Mirjalili, S. A hyper-heuristic for improving the initial population of whale optimization algorithm. Knowl.-Based Syst. 2019, 172, 42–63. [Google Scholar] [CrossRef]
  46. Chen, C.F.; Wu, M.C.; Lin, K.H. Effect of solution representations on Tabu search in scheduling applications. Comput. Oper. Res. 2013, 40, 2817–2825. [Google Scholar] [CrossRef]
  47. Romero-Conrado, A.R. Tabu List Based Algorithm Datasets. 2019. Available online: https://github.com/alfonsoromeroc/tlba-gmop (accessed on 1 March 2019).
Figure 1. Bill of materials example representation in the Generic Materials and Operational Planning (GMOP) model [28].
Figure 1. Bill of materials example representation in the Generic Materials and Operational Planning (GMOP) model [28].
Applsci 09 01464 g001
Figure 2. The identification system for test instances [28]. SKU, Stock Keeping Unit.
Figure 2. The identification system for test instances [28]. SKU, Stock Keeping Unit.
Applsci 09 01464 g002
Figure 3. Main effects plot for total planning cost in large instances. Source: Minitab®.
Figure 3. Main effects plot for total planning cost in large instances. Source: Minitab®.
Applsci 09 01464 g003
Figure 4. Main effects plot for total computational time in large instances. Source: Minitab®.
Figure 4. Main effects plot for total computational time in large instances. Source: Minitab®.
Applsci 09 01464 g004
Figure 5. Solution generation process.
Figure 5. Solution generation process.
Applsci 09 01464 g005
Figure 6. Box chart for the Tabu List-Based Algorthm (TLBA) average gaps.
Figure 6. Box chart for the Tabu List-Based Algorthm (TLBA) average gaps.
Applsci 09 01464 g006
Figure 7. Box chart for the average TLBA computational times.
Figure 7. Box chart for the average TLBA computational times.
Applsci 09 01464 g007
Table 1. Stroke outputs matrix, according to Figure 1.
Table 1. Stroke outputs matrix, according to Figure 1.
SO i , k k1k2k3k4k5
SKU A11000
SKU B00100
SKU C00011
SKU D00000
SKU E00000
SKU F00000
SKU G00000
SKU H00000
Table 2. Stroke inputs matrix, according to Figure 1.
Table 2. Stroke inputs matrix, according to Figure 1.
SI i , k k1k2k3k4k5
SKU A00000
SKU B10000
SKU C01000
SKU D00300
SKU E00200
SKU F00054
SKU G00030
SKU H00005
Table 3. Parameters and decision variables for the GMOP model [19].
Table 3. Parameters and decision variables for the GMOP model [19].
SymbolDescription
iIndex set of products (includes product, packaging, and site)
tIndex set of planning periods
rIndex set of resources
kIndex set of strokes
D i , t Demand of product i for period t
h i , t Cost of storing a unit of product i in period t
C O k , t Cost of stroke k in period t
C S k , t Cost of the setup of stroke k in period t
C B i , t Cost of purchasing product i in period t
S O i , k Number of units i that generates a stroke k
S I i , k Number of units i that stroke k consumes
L T k Lead time of stroke k
K A P r , t Capacity availability of resource r in period t (in time units)
MA sufficiently large number
T O k , r Capacity of the resource r required for performing one unit of stroke k (in time units)
T S k , r Capacity required of resource r for setup of stroke k (in time units)
z k , t Amount of strokes k to be performed in period t
δ k , t =1 if stroke k is performed in period t (and 0 otherwise)
w i , t Purchase quantity for product i in period t
X i , t Stock level of product i on hand at the end of period t
ZTotal Planning Cost
Table 4. Parameter settings for randomly-generated test cases [28].
Table 4. Parameter settings for randomly-generated test cases [28].
ParameterValue
i50, 100, or 200 SKU
i 15, 30, or 60 final products
t25, 50, or 75 planning periods
r5, 10, or 20 resources
k50, 100, or 200 strokes
D i , t Uniform [1000, 2000]
h i , t Uniform [10, 20]
C O k , t Uniform [5, 8]
C S k , t Uniform [5, 10]
S O i , k Uniform [35, 50]
S I i , k Uniform [4, 8]
L T k Uniform [1, 2]
K A P r , t Uniform [2000, 6000]
Uniform [4000, 8000]
Uniform [12,000, 14,000]
T O k , r Uniform [2, 5]
T S k , r Uniform [5, 10]
Table 5. Experimental factors and levels.
Table 5. Experimental factors and levels.
Response VariablesExperimental FactorExperimental Levels
Total Planning Cost
Total Computational Time
Number of Iterations25
50
75
Tabu Tenure1/4 of Number of Iterations
1/2 of Number of Iterations
3/4 of Number of Iterations
Number of Candidate Solutions
per Iteration
5
10
15
Table 6. ANOVA for total planning cost in small problems.
Table 6. ANOVA for total planning cost in small problems.
SourceDFAdj. MSFp
Tabu_Tenure25.68 × 10 12 5.130.037
Iterations21.65 × 10 14 149.40.000
Candidate_Sol.23.99 × 10 13 36.040.000
Tabu_Tenure *Iterations43.21 × 10 12 2.90.094
Tabu_Tenure *Candidate Sol.48.33 × 10 11 0.750.583
Iterations *Candidate Sol.46.64 × 10 12 60.016
Error81.11 × 10 12
Total26
S = 1,051,813 R-Sq = 98.13% R-Sq(adj) = 93.92%
* DF, Degrees of Freedom; Adj MS, Adjusted Mean of Squares; F, F statistic; p, p value.
Table 7. ANOVA for total planning cost in large problems.
Table 7. ANOVA for total planning cost in large problems.
SourceDFAdj. MSFp
Tabu_Tenure21.28 × 10 14 4.240.055
Iterations24.91 × 10 14 16.240.002
Candidate_Sol.23.13 × 10 14 10.340.006
Tabu_Tenure *Iterations43.64 × 10 13 1.20.380
Tabu_Tenure *Candidate Sol.43.06 × 10 13 1.010.456
Iterations *Candidate Sol.42.63 × 10 13 0.870.523
Error83.02 × 10 13
Total26
S = 5,499,026 R-Sq = 90.24% R-Sq(adj) = 68.29%
* DF, Degrees of Freedom; Adj MS, Adjusted Mean of Squares; F, F statistic; p, p value.
Table 8. ANOVA for total computational time in small problems.
Table 8. ANOVA for total computational time in small problems.
SourceDFAdj. MSFp
Tabu_Tenure248941.090.382
Iterations21,400,810311.450.000
Candidate_Sol.21,772,038393.990.000
Tabu_Tenure *Iterations455451.230.370
Tabu_Tenure *Candidate Sol.411,9852.660.111
Iterations *Candidate Sol.4119,39526.550.000
Error84498
Total26
S = 67.0647 R-Sq = 99.48% R-Sq(adj) = 98.31%
* DF, Degrees of Freedom; Adj MS, Adjusted Mean of Squares; F, F statistic; p, p value.
Table 9. ANOVA for total computational time in large problems.
Table 9. ANOVA for total computational time in large problems.
SourceDFAdj. MSFp
Tabu_Tenure221,2680.110.900
Iterations227,135,914135.580.000
Candidate_Sol.227,235,975136.080.000
Tabu_Tenure *Iterations4126,6820.630.653
Tabu_Tenure *Candidate Sol.4237,2831.190.387
Iterations *Candidate Sol.41,891,6969.450.004
Error8200,144
Total26
S = 447.374 R-Sq = 98.66% R-Sq(adj) = 95.64%
* DF, Degrees of Freedom; Adj MS, Adjusted Mean of Squares; F, F statistic; p, p value.
Table 10. Results for total planning cost and total computational times.
Table 10. Results for total planning cost and total computational times.
Test InstanceB&B GMOPInitial SolutionTLBA
Optimal Cost (COP)Time (secs)GAPMin. GAPAvg. GAPMin. Comp. Time (secs)Avg. Comp. Time (secs)
TI110,326,117969.414.540.26660.29521424.91482.2
TI22,683,534972.523.70.27570.28951258.31279
TI34,890,778972.872.960.16590.17221321.51350.2
TI4106,247,444994.5630.230.10580.11487227.17260.2
TI574,585,367999.2510.840.17050.17737741.57792.7
TI643,278,154993.2421.840.28710.30418030.78042.5
TI71,585,713,23410012.620.21860.232824,959.625,002.3
TI8765,235,0681020.14.660.23090.332227,000.427,145.6
TI9252,626,6221017.216.080.13010.148623,741.623,741.6

Share and Cite

MDPI and ACS Style

Romero-Conrado, A.R.; Coronado-Hernandez, J.R.; Rius-Sorolla, G.; García-Sabater, J.P. A Tabu List-Based Algorithm for Capacitated Multilevel Lot-Sizing with Alternate Bills of Materials and Co-Production Environments. Appl. Sci. 2019, 9, 1464. https://doi.org/10.3390/app9071464

AMA Style

Romero-Conrado AR, Coronado-Hernandez JR, Rius-Sorolla G, García-Sabater JP. A Tabu List-Based Algorithm for Capacitated Multilevel Lot-Sizing with Alternate Bills of Materials and Co-Production Environments. Applied Sciences. 2019; 9(7):1464. https://doi.org/10.3390/app9071464

Chicago/Turabian Style

Romero-Conrado, Alfonso R., Jairo R. Coronado-Hernandez, Gregorio Rius-Sorolla, and José P. García-Sabater. 2019. "A Tabu List-Based Algorithm for Capacitated Multilevel Lot-Sizing with Alternate Bills of Materials and Co-Production Environments" Applied Sciences 9, no. 7: 1464. https://doi.org/10.3390/app9071464

APA Style

Romero-Conrado, A. R., Coronado-Hernandez, J. R., Rius-Sorolla, G., & García-Sabater, J. P. (2019). A Tabu List-Based Algorithm for Capacitated Multilevel Lot-Sizing with Alternate Bills of Materials and Co-Production Environments. Applied Sciences, 9(7), 1464. https://doi.org/10.3390/app9071464

Note that from the first issue of 2016, this journal uses article numbers instead of page numbers. See further details here.

Article Metrics

Back to TopTop