High-Performance White Organic Light-Emitting Diodes Using Distributed Bragg Reflector by Atomic Layer Deposition
Abstract
1. Introduction
2. Materials and Methods
2.1. Design of DBR for OLEDs
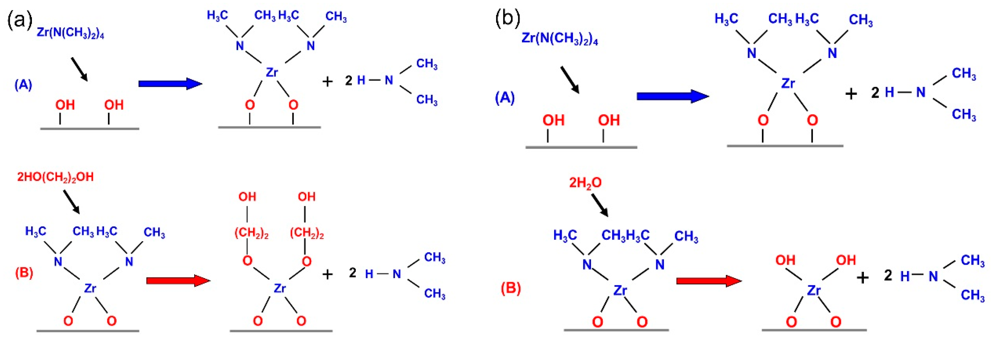
2.2. ALD ZrO2/Zircone DBR Structure
2.3. DBR Based OLED Fabrication
3. Results and Discussion
4. Conclusions
Author Contributions
Funding
Conflicts of Interest
References
- Miao, Y.Q.; Tao, P.; Wang, K.X.; Li, H.X.; Zhao, B.; Gao, L.; Wang, H.; Xu, B.; Zhao, Q. Highly efficient red and white organic light-emitting diodes with external quantum efficiency beyond 20% by employing pyridylimidazole-based metallophosphors. ACS Appl. Mater. Interfaces 2017, 9, 37873–37882. [Google Scholar] [CrossRef] [PubMed]
- Bui, T.T.; Goubard, F.; Ibrahim-Ouali, M.; Gigmes, D.; Dumur, F. Thermally activated delayed fluorescence emitters for deep blue organic light emitting diodes: A review of recent advances. Appl. Sci. 2018, 8, 494. [Google Scholar] [CrossRef]
- Wang, S.; Yang, J.; Xu, T.; Dou, D.; Tang, Z.; Gao, Z.; Chen, M.; Guo, K.; Yu, J.; Plain, J.; et al. Highly efficient and foldable top-emission organic light-emitting diodes based on Ag-nanoparticles modified graphite electrode. Org. Electron. 2019, 64, 146–153. [Google Scholar] [CrossRef]
- Wang, S.; Qiao, M.; Ye, Z.; Dou, D.; Chen, M.; Peng, Y.; Shi, Y.; Yang, X.; Cui, L.; Li, J.; et al. Efficient deep-blue electrofluorescence with an external quantum efficiency beyond 10%. iScience 2018, 9, 532–541. [Google Scholar] [CrossRef]
- D’Andrade, B.W.; Forrest, S.R. White organic light-emitting devices for solid-state lighting. Adv. Mater. 2004, 16, 1585–1595. [Google Scholar] [CrossRef]
- Wang, S.M.; Zhao, L.; Zhang, B.H.; Ding, J.Q.; Xie, Z.Y.; Wang, L.X.; Wong, W.Y. High-energy-level blue phosphor for solution-processed white organic light-emitting diodes with efficiency comparable to fluorescent tubes. iScience 2018, 6, 128–137. [Google Scholar] [CrossRef] [PubMed]
- Miao, Y.; Wang, K.; Zhao, B.; Gao, L.; Tao, P.; Liu, X.; Hao, Y.; Wang, H.; Xu, B.; Zhu, F. High-efficiency/CRI/color stability warm white organic light-emitting diodes by incorporating ultrathin phosphorescence layers in a blue fluorescence layer. Nanophotonics 2018, 7, 295–304. [Google Scholar] [CrossRef]
- Lee, J.; Cho, H.; Koh, T.W.; Hofmann, S.; Kim, Y.H.; Yun, C.; Schwab, T.; Reineke, S.; Lüssem, B.; Lee, J.I.; et al. Straight-forward control of the degree of micro-cavity effects in organic light-emitting diodes based on a thin striped metal layer. Org. Electron. 2013, 14, 2444–2450. [Google Scholar] [CrossRef]
- Melpignano, P.; Cioarec, C.; Clergereaux, R.; Gherardi, N.; Villeneuve, C.; Datas, L. E-beam deposited ultra-smooth silver thin film on glass with different nucleation layers: An optimization study for OLED micro-cavity application. Org. Electron. 2010, 11, 1111–1119. [Google Scholar] [CrossRef]
- Schwab, T.; Schubert, S.; Müller-Meskamp, L.; Leo, K.; Gather, M.C. Eliminating micro-cavity effects in white top-emitting OLEDs by ultra-thin metallic top electrodes. Adv. Opt. Mater 2013, 1, 921–925. [Google Scholar] [CrossRef]
- Zhou, G.J.; Wong, W.Y.; Yao, B.; Xie, Z.Y.; Wang, L.X. Triphenylamine-dendronized pure red iridium phosphors with superior OLED efficiency/color purity trade-offs. Angew. Chem. 2007, 119, 1167–1169. [Google Scholar] [CrossRef]
- Xu, K.; Lu, C.; Huang, Y.; Hu, J.; Wang, X. Enhanced outcoupling efficiency and removal of the microcavity effect in top-emitting OLED by using a simple vapor treated corrugated film. RSC Adv. 2017, 7, 54876–54880. [Google Scholar] [CrossRef]
- Park, M.J.; Kim, S.K.; Pode, R.; Kwon, J.H. Low absorption semi-transparent cathode for micro-cavity top-emitting organic light emitting diodes. Org. Electron. 2018, 52, 153–158. [Google Scholar] [CrossRef]
- Al-Asbahi, B. Influence of SiO2/TiO2 nanocomposite on the optoelectronic properties of PFO/MEH-PPV-based OLED devices. Polymers 2018, 10, 800. [Google Scholar] [CrossRef]
- Lei, P.H.; Wang, S.H.; Juang, F.S.; Tseng, Y.H.; Chung, M.J. Effect of SiO2/Si3N4 dielectric distributed Bragg reflectors (DDBRs) for Alq3/NPB thin-film resonant cavity organic light emitting diodes. Opt. Commun. 2010, 283, 1933–1937. [Google Scholar] [CrossRef]
- Zaera, F. The surface chemistry of atomic layer depositions of solid thin films. J. Phys. Chem. Lett. 2012, 3, 1301–1309. [Google Scholar] [CrossRef]
- Tseng, M.H.; Yu, H.H.; Chou, K.Y.; Jou, J.H.; Lin, K.L.; Wang, C.C.; Tsai, F.Y. Low-temperature gas-barrier films by atomic layer deposition for encapsulating organic light-emitting diodes. Nanotechnology 2016, 27, 295706. [Google Scholar] [CrossRef]
- Jeong, E.G.; Han, Y.C.; Im, H.G.; Bae, B.S.; Choi, K.C. Highly reliable hybrid nano-stratified moisture barrier for encapsulating flexible OLEDs. Org. Electron. 2016, 33, 150–155. [Google Scholar] [CrossRef]
- Kim, S.Y.; Lee, J.H.; Lee, J.H.; Kim, J.J. High contrast flexible organic light emitting diodes under ambient light without sacrificing luminous efficiency. Org. Electron. 2012, 13, 826–832. [Google Scholar] [CrossRef]
- Tao, P.; Liang, H.; Xia, X.; Liu, Y.; Jiang, J.; Huang, H.; Feng, Q.; Shen, R.; Luo, Y.; Du, G. Enhanced output power of near-ultraviolet LEDs with AlGaN/GaN distributed Bragg reflectors on 6H-SiC by metal-organic chemical vapor deposition. Superlattices Microstruct. 2015, 85, 482–487. [Google Scholar] [CrossRef]
- Zhang, H.; Ding, H.; Wei, M.J.; Li, C.; Wei, B.; Zhang, J.H. Thin film encapsulation for organic light-emitting diodes using inorganic/organic hybrid layers by atomic layer deposition. Nanoscale Res. Lett. 2015, 10, 169. [Google Scholar] [CrossRef] [PubMed]
- Nozoe, S.; Matsuda, M. Enhanced emission by accumulated charges at organic/metal interfaces generated during the reverse bias of organic light emitting diodes. Appl. Sci. 2017, 7, 1045. [Google Scholar] [CrossRef]
- Ho, S.; Xiang, C.Y.; Liu, R.; Chopra, N.; Mathai, M.; So, F. Stable solution processed hole injection material for organic light-emitting diodes. Org. Electron. 2014, 15, 2513–2517. [Google Scholar] [CrossRef]
- Zheng, T.H.; Choy, W.C.; Ho, C.L.; Wong, W.Y. Improving efficiency roll-off in organic light emitting devices with a fluorescence-interlayer-phosphorescence emission architecture. Appl. Phys. Lett. 2009, 95, 264. [Google Scholar] [CrossRef]
- Ueda, H.; Takatsuka, Y.; Niinuma, Y.; Terada, R.; Kikuchi, A. Fabrication of NPB/Alq3 small-molecule multilayer structures with suppressed interface mixing by multi-jet mode electrospray deposition. Phys. Status Solidi (B) 2017, 254, 1600564. [Google Scholar] [CrossRef]
- Chiang, C.J.; Bull, S.; Winscom, C.; Monkman, A. A nano-indentation study of the reduced elastic modulus of Alq3 and NPB thin-film used in OLED devices. Org. Electron. 2010, 11, 450–455. [Google Scholar] [CrossRef]
- Kalinowski, J.; Palilis, L.C.; Kim, W.H.; Kafafi, Z.H. Determination of the width of the carrier recombination zone in organic light-emitting diodes. J. Appl. Phys. 2003, 94, 7764–7767. [Google Scholar] [CrossRef]
- Xiong, L.; Zhu, W.; Wei, N.; Li, J.; Sun, W.; Wu, X.; Cao, J.; Wang, Z. High color rendering index and chromatic-stable white organic light emitting diodes incorporating excimer and fluorescence emission. Org. Electron. 2013, 14, 32–37. [Google Scholar] [CrossRef]








© 2019 by the authors. Licensee MDPI, Basel, Switzerland. This article is an open access article distributed under the terms and conditions of the Creative Commons Attribution (CC BY) license (http://creativecommons.org/licenses/by/4.0/).
Share and Cite
Wu, Y.; Yang, J.; Wang, S.; Ling, Z.; Zhang, H.; Wei, B. High-Performance White Organic Light-Emitting Diodes Using Distributed Bragg Reflector by Atomic Layer Deposition. Appl. Sci. 2019, 9, 1415. https://doi.org/10.3390/app9071415
Wu Y, Yang J, Wang S, Ling Z, Zhang H, Wei B. High-Performance White Organic Light-Emitting Diodes Using Distributed Bragg Reflector by Atomic Layer Deposition. Applied Sciences. 2019; 9(7):1415. https://doi.org/10.3390/app9071415
Chicago/Turabian StyleWu, Yonghua, Jiali Yang, Shuanglong Wang, Zhitian Ling, Hao Zhang, and Bin Wei. 2019. "High-Performance White Organic Light-Emitting Diodes Using Distributed Bragg Reflector by Atomic Layer Deposition" Applied Sciences 9, no. 7: 1415. https://doi.org/10.3390/app9071415
APA StyleWu, Y., Yang, J., Wang, S., Ling, Z., Zhang, H., & Wei, B. (2019). High-Performance White Organic Light-Emitting Diodes Using Distributed Bragg Reflector by Atomic Layer Deposition. Applied Sciences, 9(7), 1415. https://doi.org/10.3390/app9071415

