Influence of CeO2 Addition to Ni–Cu/HZSM-5 Catalysts on Hydrodeoxygenation of Bio-Oil
Abstract
1. Introduction
2. Materials and Methods
2.1. Materials
2.2. Preparation of Catalyst
2.3. Experimental Device and Process
2.4. Analytical Methods
2.4.1. Bio-Oil Analysis
2.4.2. Catalyst Characterization
3. Results and Discussion
3.1. Effect of CeO2 on the Catalytic Yield
3.1.1. Upgrading Oil Yield
3.1.2. Main property of bio-oil
3.1.3. GC-MS Analysis
3.2. Characterization of Catalysts
3.2.1. XRD
3.2.2. TEM
3.2.3. N2 adsorption-desorption
3.2.4. NH3-TPD
3.2.5. H2-TPR
3.2.6. XPS
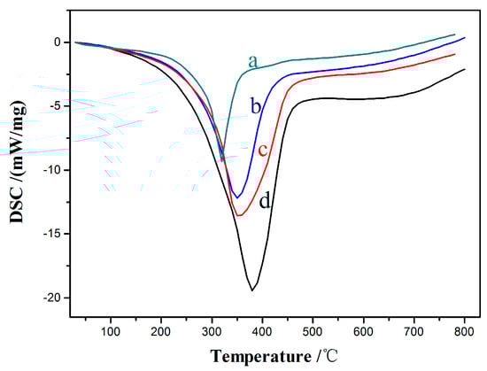
3.2.7. TG
4. Conclusions
- The effect of bio-oil HDO can be improved by adding CeO2. The upgrading oil yield can reach a maximum of 47.6% when the CeO2 content is 15%. From the energy utilization perspective, 270 °C is the suitable temperature for HDO when the CeO2 content is 15% of the Ni–Cu/HZSM-5 catalyst.
- The addition of CeO2 can improve the Ni dispersion and redox ability, can increase the Bronsted acidity ratio, and can decrease the particle size of the catalyst. When the CeO2 content is 15%, the performance of the catalyst is at the optimum, the particle size of active metal is the smallest, the dispersibility of active metal is the best, the ratio of Bronsted acids to total acids is the largest, and the reduction temperature of H2-TPR is the lowest. In addition, the reduction of the specific surface area and the pore loss of the catalyst after the reaction is the smallest compared with that of the catalyst before reaction.
- The addition of CeO2 can improve the coke deposition of deactivated catalysts after HDO. The catalyst carbon deposit resistance is at the optimum when the CeO2 content is 15%. Compared with the catalyst without CeO2, the coke deposition decreases from 41 to 14 wt%. At this CeO2 content, the temperature of the exothermic peak of the coke combustion is also the lowest, therefore proving that the soft coke formed at this time is a derivative with a relatively small molecular weight.
Author Contributions
Funding
Conflicts of Interest
References
- Peter, M.K. Energy production from biomass (Part 1): Overview of biomass. Bioresour. Technol. 2002, 83, 37–46. [Google Scholar]
- Zhang, X.; Wang, T.; Ma, L.; Qi, Z.; Jiang, T. Hydrotreatment of bio-oil over Ni-based catalyst. Bioresour. Technol. 2013, 127, 306–311. [Google Scholar] [CrossRef] [PubMed]
- Zhang, X.; Long, J.; Wei, K.; Qi, Z.; Chen, L.; Wang, T.; Ma, L.; Li, Y. Catalytic upgrading of bio-oil over Ni-based catalysts supported on mixed oxides. Energy Fuels 2014, 28, 2562–2570. [Google Scholar] [CrossRef]
- Yao, Y.; Goodman, D.W. Direct evidence of hydrogen spillover from Ni to Cu on Ni–Cu bimetallic catalysts. J. Mol. Catal. A Chem. 2014, 383–384, 239–242. [Google Scholar] [CrossRef]
- Ardiyanti, A.R.; Khromova, S.A.; Venderbosch, R.H.; Yakovlev, V.A.; Heeres, H.J. Catalytic hydrotreatment of fast-pyrolysis oil using non-sulfided bimetallic Ni-Cu catalysts on a δ-Al2O3 support. Appl. Catal. B Environ. 2012, 117–118, 105–117. [Google Scholar] [CrossRef]
- Mortensen, P.M.; Grunwaldt, J.D.; Jensen, P.A.; Knudsen, K.G.; Jensen, A.D. A review of catalytic upgrading of bio-oil to engine fuels. Appl. Catal. A Gen. 2011, 407, 1–19. [Google Scholar] [CrossRef]
- Baldauf, W.; Balfanz, U.; Rupp, M. Upgrading of flash pyrolysis oil and utilization in refineries. Biomass Bioenergy 1994, 7, 237–244. [Google Scholar] [CrossRef]
- Cheng, S.; Wei, L.; Zhao, X.; Kadis, E.; Cao, Y.; Julson, J.; Gu, Z. Hydrodeoxygenation of prairie cordgrass bio-oil over Ni based activated carbon synergistic catalysts combined with different metals. New Biotechnol. 2016, 33, 440–448. [Google Scholar] [CrossRef] [PubMed]
- Laurent, E.; Delmon, B. Study of the hydrodeoxygenation of carbonyl, carylic and guaiacyl groups over sulfided CoMo/γ-Al2O3 and NiMo/γ-Al2O3 catalysts: I. Catalytic reaction schemes. Appl. Catal. A Gen. 1994, 109, 77–96. [Google Scholar] [CrossRef]
- Cheng, S.; Wei, L.; Zhao, X.; Julson, J. Application, deactivation, and regeneration of heterogeneous catalysts in bio-oil upgrading. Catalysts 2016, 6, 195. [Google Scholar] [CrossRef]
- Li, Y.; Zhang, C.; Liu, Y.; Hou, X.; Zhang, R.; Tang, X.J.E. Coke deposition on Ni/HZSM-5 in bio-oil hydrodeoxygenation processing. Fuels 2015, 29, 1722–1728. [Google Scholar] [CrossRef]
- Zhang, S.-P. Study of hydrodeoxygenation of bio-oil from the Fast Pyrolysis of biomass. Energy Sources 2003, 25, 57–65. [Google Scholar]
- Yan, C.F.; Cheng, F.F.; Hu, R.R. Hydrogen production from catalytic steam reforming of bio-oil aqueous fraction over Ni/CeO–ZrO catalysts. Int. J. Hydrogen Energy 2010, 35, 11693–11699. [Google Scholar] [CrossRef]
- Trovarelli, A.; Deleitenburg, C.; Dolcetti, G.; Lorca, J.L. CO2 methanation under transient and steady-state conditions over Rh/CeO2 and CeO2-Promoted Rh/SiO2: The Role of surface and bulk ceria. J. Catal. 1995, 151, 111–124. [Google Scholar] [CrossRef]
- Do, J.; Chava, R.; Son, N.; Kim, J.; Park, N.-K.; Lee, D.; Seo, M.; Ryu, H.-J.; Chi, J.; Kang, M. Effect of Ce doping of a Co/Al2O3 catalyst on hydrogen production via propane steam reforming. Catalysts 2018, 8, 413. [Google Scholar] [CrossRef]
- Diebold, J.P.; Czernik, S.J.E. Additives to lower and stabilize the viscosity of pyrolysis oils during storage. Fuels 1997, 11, 1081–1091. [Google Scholar] [CrossRef]
- Xu, X.; Zhang, C.; Zhai, Y.; Liu, Y.; Zhang, R.; Tang, X.J.E. Upgrading of bio-oil using supercritical 1-butanol over a Ru/C heterogeneous catalyst: Role of the solvent. Fuels 2014, 28, 4611–4621. [Google Scholar] [CrossRef]
- Xu, X.; Zhang, C.; Liu, Y.; Zhai, Y.; Zhang, R. Two-step catalytic hydrodeoxygenation of fast pyrolysis oil to hydrocarbon liquid fuels. Chemosphere 2013, 93, 652–660. [Google Scholar] [CrossRef]
- Shu, Y.; Ma, D.; Xu, L.; Xu, Y.; Bao, X. Methane dehydro-aromatization over Mo/MCM-22 catalysts: A highly selective catalyst for the formation of benzene. Catal. Lett. 2000, 70, 67–73. [Google Scholar] [CrossRef]
- Peng, J.; Chen, P.; Lou, H.; Zheng, X. Catalytic upgrading of bio-oil by HZSM-5 in sub- and super-critical ethanol. Bioresour. Technol. 2009, 100, 3415–3418. [Google Scholar] [CrossRef]
- García-Sancho, C.; Guil-López, R.; Pascual, L.; Maireles-Torres, P.; Navarro, R.M.; Fierro, J.L.G. Optimization of nickel loading of mixed oxide catalyst ex-hydrotalcite for H2 production by methane decomposition. Appl. Catal. A Gen. 2017, 548, 71–82. [Google Scholar] [CrossRef]
- Shih, J.K.; Leckie, J.O. Nickel aluminate spinel formation during sintering of simulated Ni-laden sludge and kaolinite. J. Eur. Ceram. Soc. 2007, 27, 91–99. [Google Scholar] [CrossRef]
- Tang, X.; Zhang, B.; Li, Y.; Xu, Y.; Xin, Q.; Shen, W. Structural features and catalytic properties of Pt/CeO2 catalysts prepared by modified reduction-deposition techniques. Catal. Lett. 2004, 97, 163–169. [Google Scholar] [CrossRef]
- Vergand, F.; Roulet, H.; Dufour, G.; Bonnelle, C.; Ramaroson, E.; Tempere, J.F.; Guilleux, M.F.; Delafosse, D. Electron distribution of small Ni particles and Ce ions in X and Y zeolites related to their catalytic properties. Z. Für Phys. D At. Mol. Clust. 1989, 12, 425–429. [Google Scholar] [CrossRef]
- Koel, B.E.; Praline, G.; Lee, H.I.; White, J.M.; Hance, R.L. X-Ray Photoelectron study of the reaction of oxygen with cerium. J. Electron. Spectrosc. Relat. Phenom. 1980, 21, 17–30. [Google Scholar] [CrossRef]
- Liu, H.; Zou, X.; Wang, X.; Lu, X.; Ding, W. Effect of CeO2 addition on Ni/Al2O3 catalysts for methanation of carbon dioxide with hydrogen. J. Nat. Gas Chem. 2012, 21, 703–707. [Google Scholar] [CrossRef]
- Srisiriwat, N.; Therdthianwong, S.; Therdthianwong, A. Oxidative steam reforming of ethanol over Ni/AlO catalysts promoted by CeO, ZrO and CeO–ZrO. Int. J. Hydrogen Energy 2009, 34, 2224–2234. [Google Scholar] [CrossRef]
- Song, Y.; Lin, Y.U.; Sun, C.; Fei, Y.E.; Fang, Y.; Lin, W. Effect of Ce promoter on activity and stability of Ce-Ni/Al2O3 in partial oxidation of methane and CO2 reforming of methane to syngas. Chin. J. Catal. 2002, 23, 267–270. [Google Scholar] [CrossRef]
- Zhang, Z.; Wang, Y.; Chen, X.; Lu, Z.H. Facile synthesis of NiPt–CeO2 nanocomposite as an efficient catalyst for hydrogen generation from hydrazine borane. J. Power Sources 2015, 291, 14–19. [Google Scholar] [CrossRef]
- Kim, J.G.; Pugmire, D.L.; Battaglia, D.; Langell, M.A. Analysis of the NiCo2O4 spinel surface with Auger and X-ray photoelectron spectroscopy. Appl. Surf. Sci. 2000, 165, 70–84. [Google Scholar] [CrossRef]
- Zhang, H.; Shao, S.; Rui, X.; Shen, D.; Zeng, J. Characterization of coke deposition in the catalytic fast pyrolysis of biomass derivates. Energy Fuels 2013, 28, 52–57. [Google Scholar] [CrossRef]












| Properties | Bio-Oil | Upgrading Oil | |||
|---|---|---|---|---|---|
| Ni–Cu/HZSM-5 | 5%CeO2–Ni–Cu/HZSM-5 | 15%CeO2–Ni–Cu/HZSM-5 | 20%CeO2–Ni–Cu/HZSM-5 | ||
| Moisture content (wt%) | 31.3 | 2.4 | 2.4 | 2.5 | 2.4 |
| High heat value (MJ/kg) | 13.0 | 33.1 | 33.2 | 33.0 | 33.1 |
| Oxygen content (wt%) | 56.8 | 23.0 | 22.5 | 21.7 | 22. 5 |
| Reaction Temperature (°C) | High Heating Value (MJ/kg) | Water Content (wt%) | Oxygen Content (wt%) | Loss Weight of Catalyst (wt%) |
|---|---|---|---|---|
| 250 | 32.86 | 2.76 | 22.22 | 7 |
| 270 | 32.95 | 2.38 | 21.66 | 15 |
| 300 | 33.14 | 2.01 | 20.26 | 48 |
| 330 | 35.25 | 1.15 | 17.41 | 54 |
| Relative Content (%) | Bio-Oil | Upgrading Oil | |||
|---|---|---|---|---|---|
| Ni–Cu/HZSM-5 | 5%CeO2–Ni–Cu/HZSM-5 | 15%CeO2–Ni–Cu/HZSM-5 | 20%CeO2–Ni–Cu/HZSM-5 | ||
| Aldehydes | 7.9 | 6.0 | 5.9 | 5.4 | 5.7 |
| Hydrocarbons | 0.8 | 27.8 | 28.4 | 29.6 | 28.6 |
| Acid | 15.4 | 3.6 | 3.0 | 2.9 | 3.0 |
| Ketones | 28.0 | 17.3 | 15.0 | 14.2 | 14.2 |
| Phenols | 24.5 | 21.8 | 21.8 | 21.0 | 21.4 |
| Ethers | 6.9 | 2.5 | 2.1 | 1.4 | 2.0 |
| Esters | 6.4 | 13.9 | 14.4 | 16.8 | 15.4 |
| Alcohols | 7.4 | 5.0 | 4.6 | 4.0 | 3.9 |
| Catalyst | Ni–Cu/HZSM-5 | 5%CeO2–Ni–Cu/HZSM-5 | 15%CeO2–Ni–Cu/HZSM-5 | 20%CeO2–Ni–Cu/HZSM-5 |
|---|---|---|---|---|
| Crystal particle (nm) | 46.5 | 32.6 | 19.2 | 19.3 |
| Catalysts | Specific Surface Area (m²/g) | Pore Volume (mm³/g) | ||
|---|---|---|---|---|
| Before Reaction | After Reaction | Before Reaction | After Reaction | |
| Ni–Cu/HZSM-5 | 346 | 158 | 216 | 136 |
| 5%CeO2–Ni–Cu/HZSM-5 | 330 | 217 | 204 | 138 |
| 15%CeO2–Ni–Cu/HZSM-5 | 322 | 222 | 196 | 175 |
| 20%CeO2–Ni–Cu/HZSM-5 | 310 | 205 | 192 | 170 |
| Catalyst | Lewis Acid Band Area (m2/g) | Bronsted Acid Band Area (m2/g) | Total Acid Area (m2/g) |
|---|---|---|---|
| Ni–Cu/HZSM-5 | 1808 | 673 | 2481 |
| 5%CeO2–Ni–Cu/HZSM-5 | 1480 | 989 | 2469 |
| 15%CeO2–Ni–Cu/HZSM-5 | 1114 | 1159 | 2273 |
| 20%CeO2–Ni–Cu/HZSM-5 | 1503 | 727 | 2230 |
© 2019 by the authors. Licensee MDPI, Basel, Switzerland. This article is an open access article distributed under the terms and conditions of the Creative Commons Attribution (CC BY) license (http://creativecommons.org/licenses/by/4.0/).
Share and Cite
Wang, W.; Zhang, C.; Chen, G.; Zhang, R. Influence of CeO2 Addition to Ni–Cu/HZSM-5 Catalysts on Hydrodeoxygenation of Bio-Oil. Appl. Sci. 2019, 9, 1257. https://doi.org/10.3390/app9061257
Wang W, Zhang C, Chen G, Zhang R. Influence of CeO2 Addition to Ni–Cu/HZSM-5 Catalysts on Hydrodeoxygenation of Bio-Oil. Applied Sciences. 2019; 9(6):1257. https://doi.org/10.3390/app9061257
Chicago/Turabian StyleWang, Wenhe, Changsen Zhang, Guanghui Chen, and Ruiqin Zhang. 2019. "Influence of CeO2 Addition to Ni–Cu/HZSM-5 Catalysts on Hydrodeoxygenation of Bio-Oil" Applied Sciences 9, no. 6: 1257. https://doi.org/10.3390/app9061257
APA StyleWang, W., Zhang, C., Chen, G., & Zhang, R. (2019). Influence of CeO2 Addition to Ni–Cu/HZSM-5 Catalysts on Hydrodeoxygenation of Bio-Oil. Applied Sciences, 9(6), 1257. https://doi.org/10.3390/app9061257
