Workpiece Pose Optimization for Milling with Flexible-Joint Robots to Improve Quasi-Static Performance
Abstract
1. Introduction
2. System Description and Problem Statement
3. Theoretical Modeling
3.1. Dynamic Model of Robot
3.2. Milling Force Model
3.3. Steady-State Response and Optimization Method
4. Numerical Simulation
4.1. System Parameters
4.2. Milling Force and Mean Value of Tool Offset
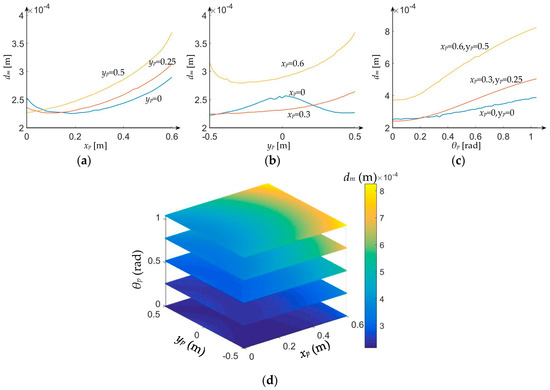
4.3. Optimization Results
5. Conclusions
Author Contributions
Funding
Conflicts of Interest
Appendix A
| Time Range | The Upper | The Lower | |
|---|---|---|---|
| Entry phase | 0 | ||
| Stabilization stage | 0 | ap | |
| Off stage | ap |
References
- Nof, S.Y. Handbook of Industrial Robotics, 2nd ed.; Wiley: New York, NY, USA, 1999; ISBN 0-471-17783-0. [Google Scholar]
- Chen, Y.; Dong, F. Robot Machining: Recent Development and Future Research Issues. Int. J. Adv. Manuf. Technol. 2013, 66, 1489–1497. [Google Scholar] [CrossRef]
- Lehmann, C.; Pellicciari, M.; Drust, M.; Gnnink, J.W. Machining with Industrial Robots: The COMET Project Approach. In Robotics in Smart Manufacturing; Springer: Berlin/Heidelberg, Germany, 2013; pp. 27–36. ISBN 978-3-642-39222-1. [Google Scholar]
- Brunete, A.; Gambao, E.; Koskinen, J.; Heikkilä, T.; Kaldestad, K.B.; Tyapin, I.; Hovland, G.; Surdilovic, D.; Hernando, M.; Bottero, A.; et al. Hard Material Small-Batch Industrial Machining Robot. Robot. Comput.-Integr. Manuf. 2018, 54, 185–189. [Google Scholar] [CrossRef]
- Commercial Feature Stories. Boeing: A Futuristic View of the 777 Fuse-Lage Build. Available online: http://www.boeing.com/features/2014/07/bca-777-fuselage-07-14-14.page (accessed on 22 November 2018).
- Barnfather, J.D.; Goodfellow, M.J.; Abram, T. Achievable Tolerances in Robotic Feature Machining Operations Using a Low-Cost Hexapod. Int. J. Adv. Manuf. Technol. 2017, 95, 1–16. [Google Scholar] [CrossRef]
- Schneider, U.; Drust, M.; Ansaloni, M.; Lehmann, C.; Pellicciari, M.; Leali, F.; Gunnink, W.J.; Verl, A. Improving Robotic Machining Accuracy Through Experimental Error Investigation and Modular Compensation. Int. J. Adv. Manuf. Technol. 2016, 85, 3–15. [Google Scholar] [CrossRef]
- Barnfather, J.D.; Goodfellow, M.J.; Abram, T. Development and Testing of an Error Compensation Algorithm for Photogrammetry Assisted Robotic Machining. Measurement 2016, 94, 561–577. [Google Scholar] [CrossRef]
- Barnfather, J.D.; Goodfellow, M.J.; Abram, T. Photogrammetric Measurement Process Capability for Metrology Assisted Robotic Machining. Measurement 2016, 78, 29–41. [Google Scholar] [CrossRef]
- Leali, F.; Vergnano, A.; Pini, F.; Pellicciari, M.; Berselli, G. A Workcell Calibration Method for Enhancing Accuracy in Robot Machining of Aerospace Parts. Int. J. Adv. Manuf. Technol. 2016, 85, 47–55. [Google Scholar] [CrossRef]
- Marie, S.; Courteille, E.; Maurine, P. Elasto-geometrical modeling and calibration of robot manipulators: Application to machining and forming applications. Mech. Mach. Theory 2013, 69, 13–43. [Google Scholar] [CrossRef]
- Andres, J.; Gracia, L.; Tornero, J. Calibration and control of a redundant robotic workcell for milling tasks. Int. J. Comput. Integr. Manuf. 2011, 24, 561–573. [Google Scholar] [CrossRef]
- Barnfather, J.D.; Abram, T. Efficient Compensation of Dimensional Errors in Robotic Machining Using Imperfect Point Cloud Part Inspection Data. Measurement 2018, 117, 176–185. [Google Scholar] [CrossRef]
- Slavkovic, N.R.; Milutinovic, D.S.; Glavonjic, M.M. A Method for Off-Line Compensation of Cutting Force-Induced Errors in Robotic Machining by Tool Path Modification. Int. J. Adv. Manuf. Technol. 2014, 70, 2083–2096. [Google Scholar] [CrossRef]
- Belchior, J.; Guillo, M.; Courteille, E.; Maurine, P.; Leotoing, L.; Guines, D. Off-Line Compensation of the Tool Path Deviations on Robotic Machining: Application to Incremental Sheet Forming. Robot. Comput.-Integr. Manuf. 2013, 29, 58–69. [Google Scholar] [CrossRef]
- Morris, R.; Driels, M.R.; Swayze, W.; Potter, S. Full-pose calibration of a robot manipulator using a coordinate measuring machine. Int. J. Adv. Manuf. Technol. 1993, 8, 34–41. [Google Scholar]
- Klimchik, A.; Ambiehl, A.; Garnier, S.; Furet, B.; Pashkevich, A. Efficiency Evaluation of Robots in Machining Applications Using Industrial Performance Measure. Robot. Comput.-Integr. Manuf. 2017, 48, 12–29. [Google Scholar] [CrossRef]
- Zaghbani, I.; Songmene, V.; Bonev, I. An Experimental Study on the Vibration Response of a Robotic Machining System. Proceedings of the Institution of Mechanical Engineers. Proc. Inst. Mech. Eng. Part B J. Eng. Manuf. 2013, 227, 866–880. [Google Scholar] [CrossRef]
- Li, Y.; Ji, J.; Guo, S.; Xi, F. Process Parameter Optimization of a Mobile Robotic Percussive Riveting System with Flexible Joints. J. Comput. Nonlinear Dyn. 2017, 12, 061005. [Google Scholar] [CrossRef]
- Tratar, J.; Pusavec, F.; Kopac, J. Tool Wear in Terms of Vibration Effects in Milling Medium-Density Fibreboard with an Industrial Robot. J. Mech. Sci. Technol. 2014, 28, 4421–4429. [Google Scholar] [CrossRef]
- Nie, S.; Li, Y.; Shuai, G.; Tao, S.; Xi, F. Modeling and Simulation for Fatigue Life Analysis of Robots with Flexible Joints Under Percussive Impact Forces. Robot. Comput.-Integr. Manuf. 2016, 37, 292–301. [Google Scholar] [CrossRef]
- Mousavi, S.; Gagnol, V.; Bouzgarrou, B.C.; Ray, P. Model-Based Stability Prediction of a Machining Robot. In New Advances in Mechanisms, Mechanical Transmissions and Robotics; Corves, B., Lovasz, E.C., Hüsing, M., Maniu, I., Gruescu, C., Eds.; Springer: Cassino, Italy, 2017; pp. 379–387. ISBN 978-3-319-45450-4. [Google Scholar]
- Wang, G.; Dong, H.; Guo, Y.; Ke, Y. Chatter Mechanism and Stability Analysis of Robotic Boring. Int. J. Adv. Manuf. Technol. 2017, 91, 411–421. [Google Scholar] [CrossRef]
- Li, J.; Li, B.; Shen, N.; Qian, H.; Guo, Z. Effect of the Cutter Path and the Workpiece Clamping Position on the Stability of the Robotic Milling System. Int. J. Adv. Manuf. Technol. 2016, 89, 2919–2933. [Google Scholar] [CrossRef]
- Tunc, L.T.; Stoddart, D. Tool Path Pattern and Feed Direction Selection in Robotic Milling for Increased Chatter-Free Material Removal Rate. Int. J. Adv. Manuf. Technol. 2017, 89, 2907–2918. [Google Scholar] [CrossRef]
- Vosniakos, G.C.; Matsas, E. Improving feasibility of robotic milling through robot placement optimisation. Robot. Comput.-Integr. Manuf. 2010, 26, 517–525. [Google Scholar] [CrossRef]
- Baglioni, S.; Cianetti, F.; Braccesi, C.; De Micheli, D.M. Multibody modelling of N DOF robot arm assigned to milling manufacturing. Dynamic analysis and position errors evaluation. J. Mech. Sci. Technol. 2015, 30, 405–420. [Google Scholar] [CrossRef]
- Klimchik, A.; Bondarenko, D.; Pashkevich, A.; Briot, S.; Furet, B. Compliance Error Compensation in Robotic-Based Milling. In Informatics in Control, Automation and Robotics; Ferrier, J.L., Bernard, A., Gusikhin, O., Madani, K., Eds.; Springer: Rome, Italy, 2012; pp. 197–216. ISBN 978-3-319-03499-7. [Google Scholar]
- Kaldestad, K.B.; Tyapin, I.; Hovland, G. Robotic face milling path correction and vibration reduction. In Proceedings of the IEEE International Conference on Advanced Intelligent Mechatronics, Busan, Korea, 7–11 July 2015. [Google Scholar]
- Tyapin, I.; Kaldestad, K.B.; Hovland, G. Off-line path correction of robotic face milling using static tool force and robot stiffness. In Proceedings of the Intelligent Robots and Systems, Hamburg, Germany, 28 September–2 October 2015. [Google Scholar]
- Kubela, T.; Pochyly, A.; Singule, V. Investigation of position accuracy of industrial robots and online methods for accuracy improvement in machining processes. In Proceedings of the International Conference on Electrical Drives and Power Electronics, Tatranska Lomnica, Slovakia, 21–23 September 2015. [Google Scholar]
- Cordes, M.; Hintze, W. Offline simulation of path deviation due to joint compliance and hysteresis for robot machining. Int. J. Adv. Manuf. Technol. 2017, 90, 1075–1083. [Google Scholar] [CrossRef]
- Shi, Z.; Liu, L.; Liu, Z.; Zhang, X. Frequency-domain stability lobe prediction for high-speed face milling process under tool–workpiece dynamic interaction. Proc. Inst. Mech. Eng. Part B J. Eng. Manuf. 2017, 231, 2336–2346. [Google Scholar] [CrossRef]
- Mejri, S.; Gagnol, V.; Le, T.P.; Sabourin, L.; Ray, P.; Paultre, P. Dynamic Characterization of Machining Robot and Stability Analysis. Int. J. Adv. Manuf. Technol. 2016, 82, 351–359. [Google Scholar] [CrossRef]
- Mousavi, S.; Gagnol, V.; Bouzgarrou, B.C.; Ray, P. Stability Optimization in Robotic Milling Through the Control of Functional Redundancies. Robot. Comput.-Integr. Manuf. 2017, 50, 181–192. [Google Scholar] [CrossRef]
- Tian, Y.; Wang, B.; Liu, J.; Chen, F.; Yang, S.; Wang, W.; Li, L. Research on layout and operational pose optimization of robot grinding system based on optimal stiffness performance. J. Adv. Mech. Des. Syst. Manuf. 2017, 11, JAMDSM0022. [Google Scholar] [CrossRef]
- Lin, L.; Zhao, H.; Ding, H. Posture optimization methodology of 6R industrial robots for machining using performance evaluation indexes. Robot. Comput.-Integr. Manuf. 2017, 48, 59–72. [Google Scholar] [CrossRef]
- Guo, Y.; Dong, H.; Ke, Y. Stiffness-oriented posture optimization in robotic machining applications. Robot. Comput.-Integr. Manuf. 2015, 35, 69–76. [Google Scholar] [CrossRef]
- Siciliano, B.; Khatib, O. Springer Handbook of Robotics; Springer: Berlin, Germany, 2008; pp. 987–1008. [Google Scholar]
- Cen, L.; Melkote, S.N. Effect of Robot Dynamics on the Machining Forces in Robotic Milling. In Proceedings of the 45th SME North American Manufacturing Research Conference NAMRC, Los Angeles, CA, USA, 4–8 June 2017; Wang, L., Fratini, L., Shih, A.J., Eds.; Elsevier B.V: Amsterdam, The Netherlands, 2017. [Google Scholar]
- Cordes, M.; Hintze, W.; Altintas, Y. Chatter Stability in Robotic Milling. Robot. Comput. Integr. Manuf. 2019, 55, 11–18. [Google Scholar] [CrossRef]
- Sutherland, J.W. A dynamic model of the cutting force system in the end milling process. Diss. Abstr. Int. 1988, 49, 293. [Google Scholar]
- Montgomery, D.; Altintas, Y. Mechanism of cutting force and surface generation in dynamic milling. J. Eng. Ind. 1991, 113, 160–168. [Google Scholar] [CrossRef]
- Sutherland, J.W.; Devor, R.E. An Improved Method for Cutting Force and Surface Error Prediction in Flexible End Milling Systems. J. Eng. Ind. 1986, 108, 269–279. [Google Scholar] [CrossRef]
- Dumas, C.; Caro, S.; Garnier, S.; Furet, B. Joint stiffness identification of six-revolute industrial serial robots. Robot. Comput. Integr. Manuf. 2011, 27, 881–888. [Google Scholar] [CrossRef]
- Behi, F.; Tesar, D. Parametric Identification for Industrial Manipulators Using Experimental Modal Analysis. IEEE T. Robot. Autom. 1991, 7, 642–652. [Google Scholar] [CrossRef]
- Ugray, Z.; Lasdon, L.; Plummer, J.; Glover, F.; Kelly, J.; Marti, R. Scatter Search and Local NLP Solvers: A Multistart Framework for Global Optimization. Informs J. Comput. 2007, 19, 328–340. [Google Scholar] [CrossRef]








| Link | Masses (kg) | Position Vector of CG (m) | Inertia Tensors (kg/m2) |
|---|---|---|---|
| 1 | 80 | (0, 0, 0.1)T | diag (0.9, 1, 1) |
| 2 | 40 | (0.4, 0, 0)T | diag (0.6, 6.5, 6.5) |
| 3 | 55 | (0.4, 0, 0)T | diag (0.8, 9.5, 9.5) |
| Number | 1 | 2 | 3 | 4 | 5 | 6 * |
| p | [0.6, 0.2, π/3]T | [0.2, 0.3, π/6]T | [0.3, −0.4, π/3]T | [0.5, −0.5, 0]T | [0,0,0]T | [0, −0.46, 0]T |
| dm (0.001 m) | 0.73 | 0.32 | 0.54 | 0.25 | 0.25 | 0.22 |
© 2019 by the authors. Licensee MDPI, Basel, Switzerland. This article is an open access article distributed under the terms and conditions of the Creative Commons Attribution (CC BY) license (http://creativecommons.org/licenses/by/4.0/).
Share and Cite
Qin, H.; Li, Y.; Xiong, X. Workpiece Pose Optimization for Milling with Flexible-Joint Robots to Improve Quasi-Static Performance. Appl. Sci. 2019, 9, 1044. https://doi.org/10.3390/app9061044
Qin H, Li Y, Xiong X. Workpiece Pose Optimization for Milling with Flexible-Joint Robots to Improve Quasi-Static Performance. Applied Sciences. 2019; 9(6):1044. https://doi.org/10.3390/app9061044
Chicago/Turabian StyleQin, Haojie, Yuwen Li, and Xiong Xiong. 2019. "Workpiece Pose Optimization for Milling with Flexible-Joint Robots to Improve Quasi-Static Performance" Applied Sciences 9, no. 6: 1044. https://doi.org/10.3390/app9061044
APA StyleQin, H., Li, Y., & Xiong, X. (2019). Workpiece Pose Optimization for Milling with Flexible-Joint Robots to Improve Quasi-Static Performance. Applied Sciences, 9(6), 1044. https://doi.org/10.3390/app9061044
