Experimental and Numerical Study of Engineered Cementitious Composite with Strain Recovery under Impact Loading
Abstract
Featured Application
Abstract
1. Introduction
2. Experimental Program
2.1. Materials, Sample Preparation, and Curing
2.2. Mechanical Properties
2.3. Drop-Weight Impact Test
3. Experimental Results
3.1. Compression and Tensile Behavior
3.2. Impact Behavior
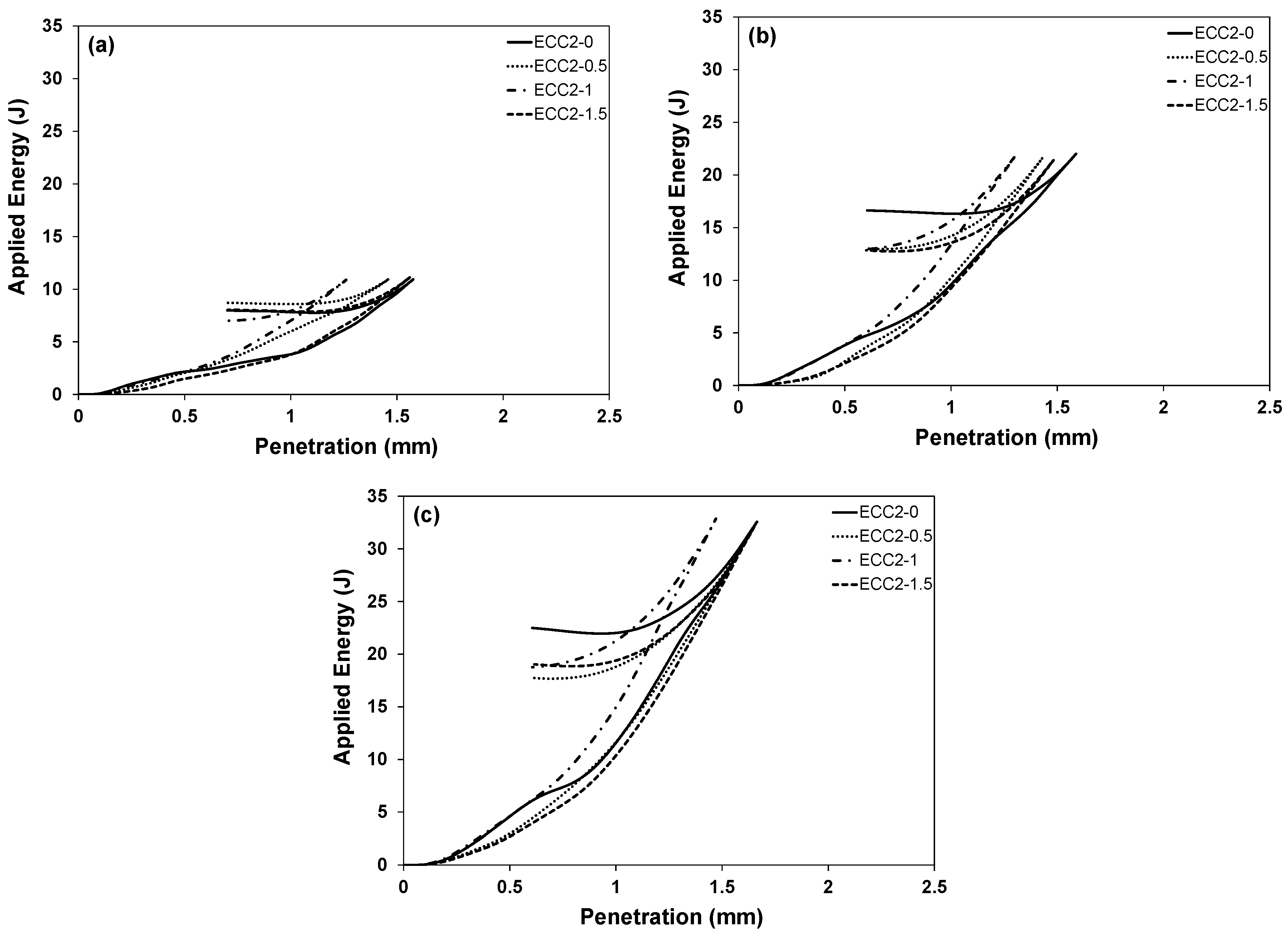
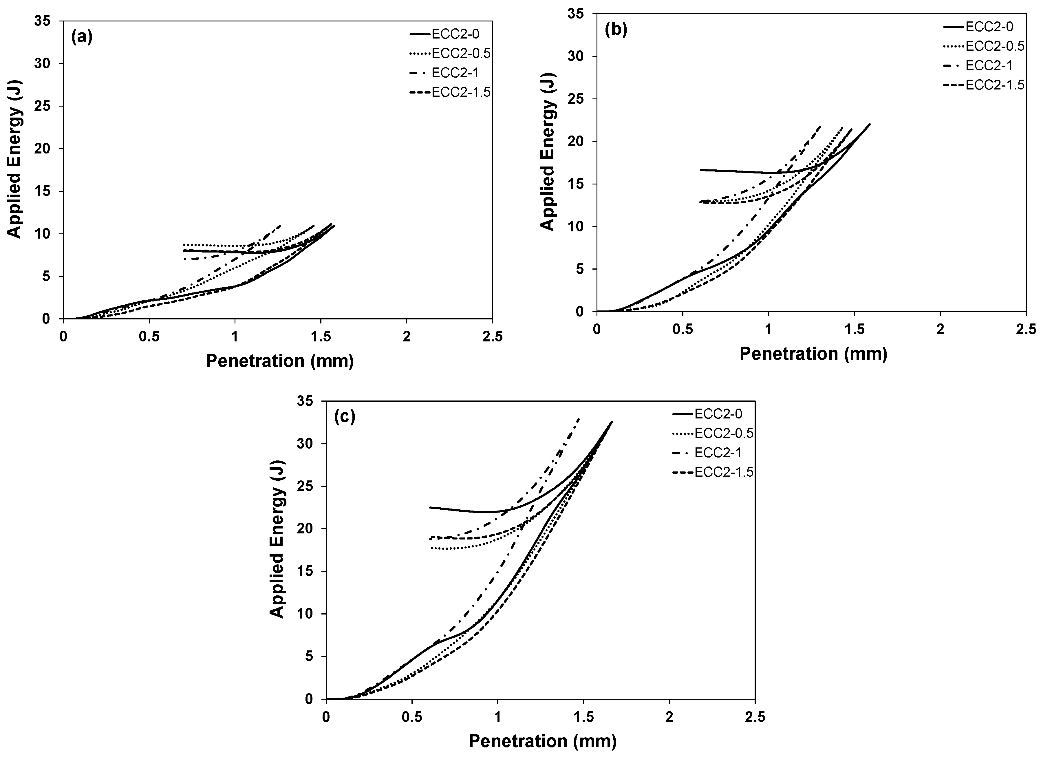
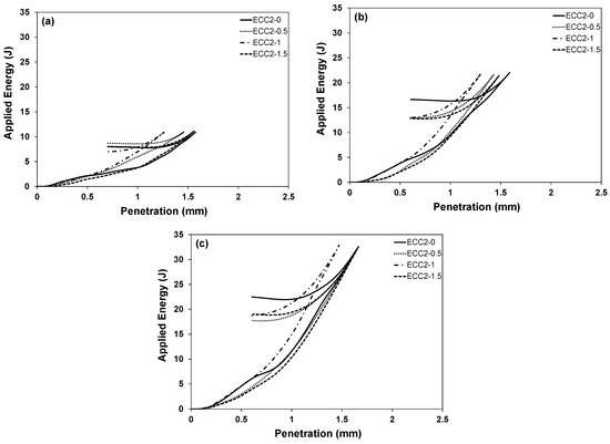
3.2.1. Energy Penetration
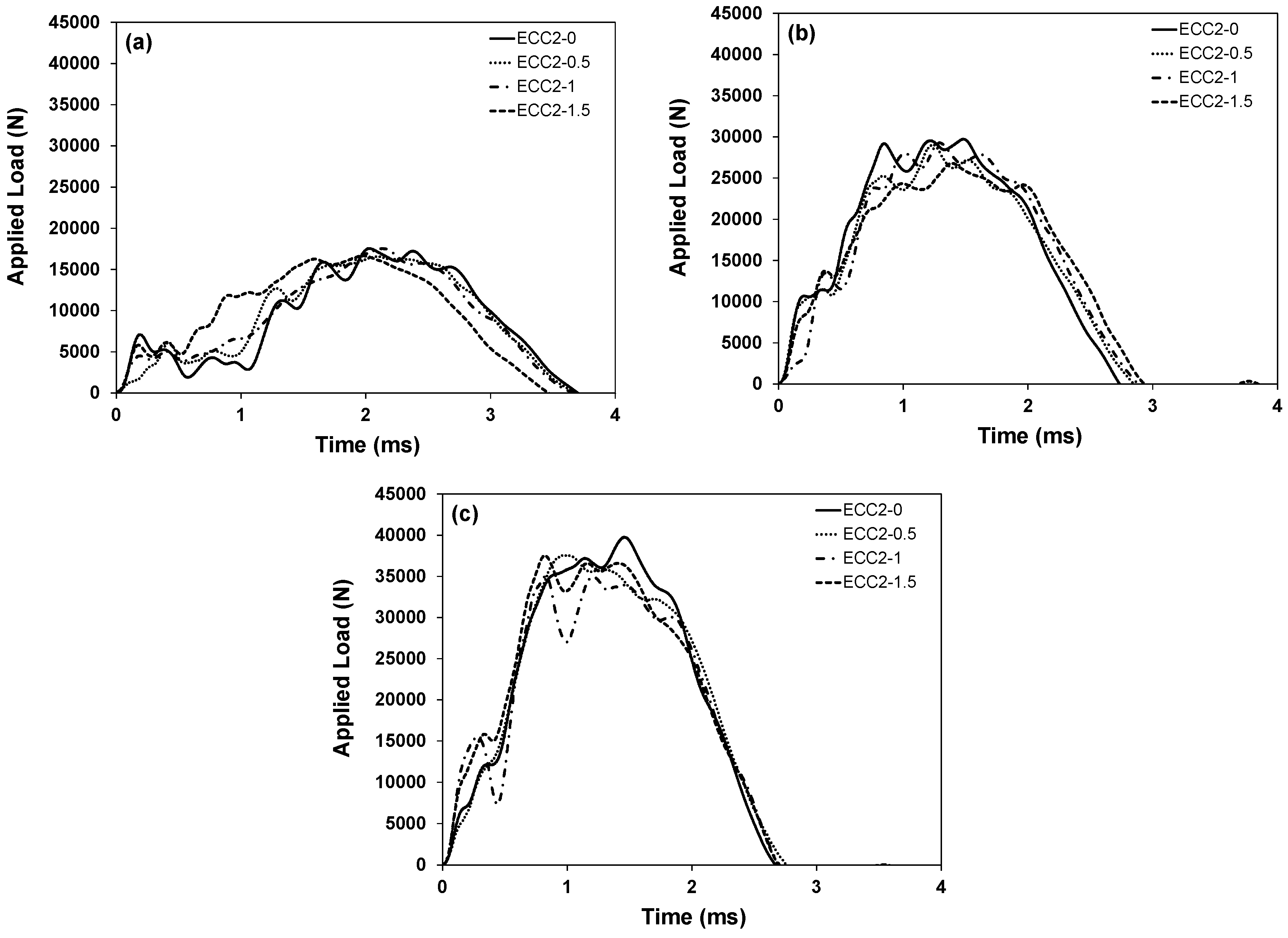
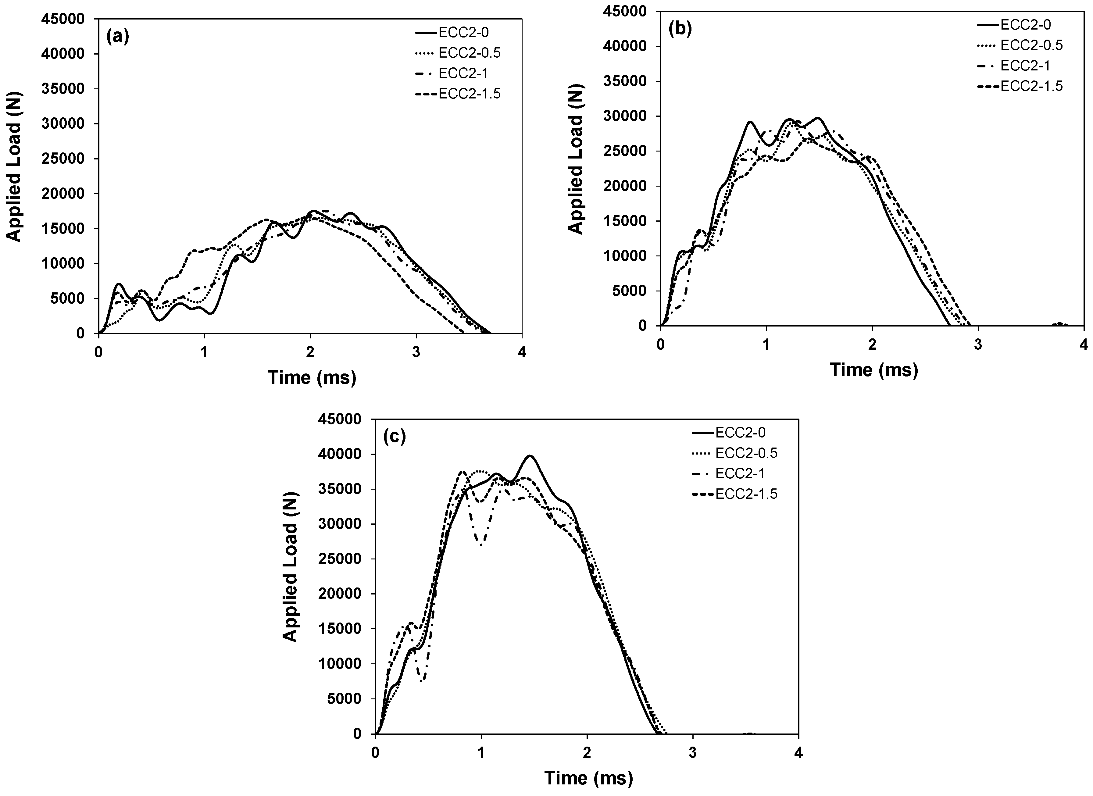
3.2.2. Impact Load-Time History
3.2.3. Local Pre-Stressing Effect
4. Numerical Simulation
4.1. Constitutive Models of Concrete
4.1.1. Concrete Damage Plasticity Model
4.1.2. Drucker-Prager Model
4.2. Simulation Technique
4.3. Damage Criterion
4.4. Initial and Boundary Conditions
5. Analysis of Results and Discussion
5.1. Effect of Mesh Density on Model Accuracy
5.2. Energy-Penetration Behavior
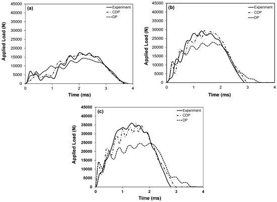
5.3. Impact Load-Time History
6. Failure Criterion
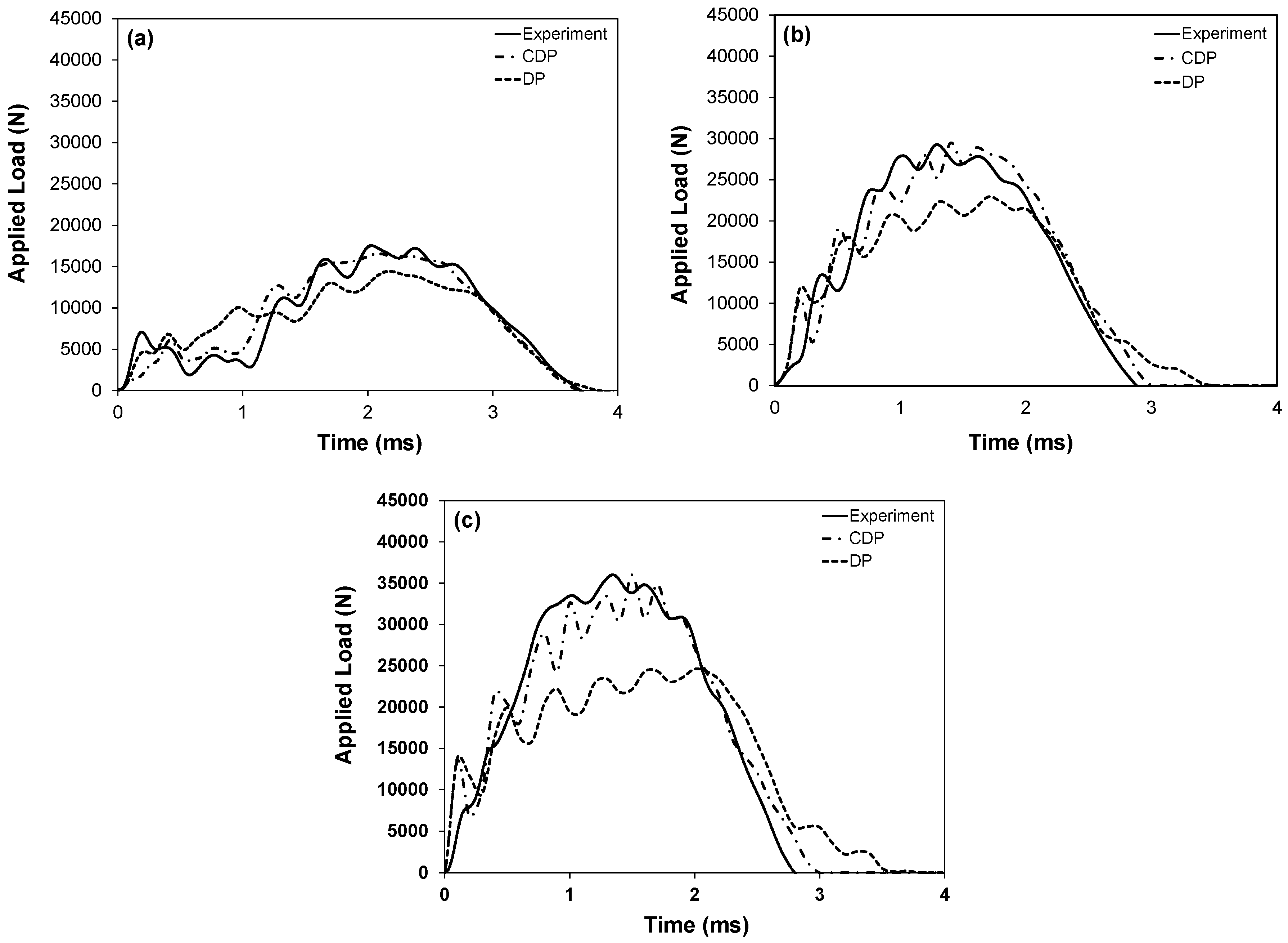
7. Validation of Numerical Model
8. Conclusions
- The tensile properties of the ECC composite were generally enhanced owing to SMA fiber addition. All ECC mixtures achieved a tensile strain of up to 8%. Among the tested mixtures, the composite incorporating 2% PVA and 1% SMA fibers achieved the highest tensile properties and impact resistance.
- Generally, the impact resistance of the composite was improved owing to SMA fiber addition. Upon multiple impacts, the energy dissipation capability of the HECC-SMAF composite was increased by about 23.39%, 30.43%, and 11.53% owing to SMA fiber addition of 0.5%, 1%, and 1.5% by volume fraction, respectively, compared to that of the ECC specimen incorporating 2% PVA fibers alone.
- The impact penetration depth tended to decrease upon SMA fiber addition. For instance, the ECC2-0.5, ECC2-1, and ECC2-1.5 specimens had 6.3%, 10.1%, and 2.6% lower penetration depth compared to that of the control PVA-ECC specimen, respectively.
- The heat treatment process led to the melting of the PVA fibers with the associated loss in mechanical properties. Yet, the heat treatment stimulated the SMA fibers to locally prestress the composite’s matrix owing to its shape memory effect. Consequently, an overall enhancement in the energy absorption capacity of the heated HECC-SMAF hybrid composite over that of its non-heated counterpart was observed.
- The superior impact performance of the hybrid composite and similar composites [50] make such novel materials the strong contenders for constructing protective structures, with a potential to enhance the safety of critical infrastructure assets against explosions and impact events.
- Plasticity models, coupled with the add-erosion option and maximum principal strain, were appropriate for simulating the behavior of the ECC composite under impact loading.
- The numerical simulation results using the Concrete Damage Plasticity were in closer agreement with the corresponding experimental data than that of the Drucker/Prager model in terms of energy dissipation capability and maximum penetration depth. The numerically estimated results in terms of the energy dissipation ability using the CDP and DP models were 24.4% and 61.5% lower than that of the corresponding experimental data, respectively, while it was higher than that of the corresponding experimental data by 12.1% and 25.1% in terms of the total penetration depth, respectively.
- Generally, the stress distribution, crack propagation, and failure criterion of the numerically simulated ECC specimens were in good agreement with the experimentally observed behavior of the ECC specimens under impact loading. However, the tolerance in the applied impact load evaluated using the DP model was about four times that of the CDP model compared to that estimated experimentally.
- This study demonstrates the feasibility of using numerical simulation to reasonably predict the behavior of the hybrid composite developed in this study under impact loading. The model can be further enhanced to capture additional aspects related to the fiber type, dosage, strain rate, and other relevant parameters that were not within the scope of the current study. Developing a comprehensive and robust model can save time, effort, and cost associated with laborious experimental testing.
Author Contributions
Funding
Conflicts of Interest
References
- El-Tehewy, E.M.; El-Sayed, M.A. The effect of using multi layers of expanded steel mesh on penetration resistance of ferrocement slabs. Int. J. Environ. 2015, 4, 300–308. [Google Scholar]
- Li, J.; Zhang, Y.X. Evaluation of constitutive models of hybrid-fibre engineered cementitious composites under dynamic loadings. Construct. Build. Mater. 2012, 30, 149–160. [Google Scholar] [CrossRef]
- Zollo, R.F. Fiber-reinforced concrete: An overview after 30 years of development. Cement Concr. Compos. 1997, 19, 107–122. [Google Scholar] [CrossRef]
- Li, V.C. On engineered cementitious composites (ECC): A review of the material and its applications. J. Adv. Concr. Technol. 2003, 1, 215–230. [Google Scholar] [CrossRef]
- Soe, T.K.; Zhang, Y.X.; Zhang, L.C. Material properties of a new hybrid fibre-reinforced engineered cementitious composite. Construct. Build. Mater. 2013, 43, 399–407. [Google Scholar] [CrossRef]
- Ali, A.E.M.A.; Soliman, A.M.; Nehdi, M.L. Hybrid-fiber reinforced engineered cementitious composite under tensile and impact loading. Mater. Des. 2017, 117, 139–149. [Google Scholar] [CrossRef]
- Song, P.S.; Hwang, S.; Sheu, B.C. Strength properties of nylon- and polypropylene-fiber-reinforced concretes. Cement Concr. Res. 2005, 35, 1546–1550. [Google Scholar] [CrossRef]
- Li, W.; Xu, J. Mechanical properties of basalt fiber reinforced geopolymeric concrete under impact loading. Mater. Sci. Eng. A 2009, 505, 178–186. [Google Scholar] [CrossRef]
- Yoo, D.-Y.; Banthia, N.; Kim, S.-W.; Yoon, Y.-S. Response of ultra-high-performance fiber-reinforced concrete beams with continuous steel reinforcement subjected to low-velocity impact loading. Compos. Struct. 2015, 126, 233–245. [Google Scholar] [CrossRef]
- Soe, K.T.; Zhang, Y.X.; Zhang, L.C. Impact resistance of hybrid-fiber engineered cementitious composite panels. Compos. Struct. 2013, 104, 320–330. [Google Scholar] [CrossRef]
- Nehdi, M.; Duquette, J. Fibre synergy in hybrid fibre-reinforced self-consolidating concrete. ACI Mater. J. 2004, 101, 508–517. [Google Scholar]
- Nia, A.A.; Hedayatian, M.; Nili, M.; Sabet, V.A. An experimental and numerical study on how steel and polypropylene fibers affect the impact resistance in fiber-reinforced concrete. Int. J. Impact Eng. 2012, 46, 62–73. [Google Scholar]
- Maalej, M.; Quek, S.T.; Zhang, J. Behaviour of hybrid-fiber engineered cementitious composites subjected to dynamic tensile loading and projectile impact. J. Mater. Civil Eng. 2005, 17, 143–152. [Google Scholar] [CrossRef]
- Yang, E.-H.; Li, V.C. Tailoring engineered cementitious composites for impact resistance. Cement Concr. Res. 2012, 42, 1066–1071. [Google Scholar] [CrossRef]
- Wu, H.; Zhang, Q.; Huang, F.; Jin, Q. Experimental and numerical investigation on the dynamic tensile strength of concrete. Int. J. Impact Eng. 2005, 32, 605–617. [Google Scholar] [CrossRef]
- Tai, Y.-S.; Tang, C.-C. Numerical simulation: The dynamic behavior of reinforced concrete plates under normal impact. Theor. Appl. Fract. Mech. 2006, 45, 117–127. [Google Scholar] [CrossRef]
- Teng, T.-L.; Chu, Y.-A.; Chang, F.-A.; Shen, B.-C.; Cheng, D.-S. Development and validation of numerical model of steel fiber reinforced concrete for high-velocity impact. Comput. Mater. Sci. 2008, 42, 90–99. [Google Scholar] [CrossRef]
- Farnam, Y.; Mohammadi, S.; Shekarchi, M. Experimental and numerical investigations of low velocity impact behavior of high-performance fiber-reinforced cement based composite. Int. J. Impact Eng. 2010, 37, 220–229. [Google Scholar] [CrossRef]
- Chin, L.S. Finite Element Modeling of Hybrid-Fiber ECC Targets Subjected to Impact and Blast. Ph.D. Thesis, National University of Singapore, Singapore, 23 January 2007. [Google Scholar]
- Anil, O.; Durucan, C.; Erdem, R.T.; Yorgancilar, M.A. Experimental and numerical investigation of reinforced concrete beams with variable material properties under impact loading. Construct. Build. Mater. 2016, 125, 94–104. [Google Scholar] [CrossRef]
- ASTM Standard. Standard Specification for Portland Cement; ASTM Standard C150/C150M; ASTM International: West Conshohocken, PA, USA, 2015. [Google Scholar]
- ASTM Standard. Standard Specification for Coal Fly Ash and Raw or Calcined Natural Pozzolan for Use in Concrete; ASTM Standard C618; ASTM International: West Conshohocken, PA, USA, 2015. [Google Scholar]
- ASTM Standard. Standard Specification for Chemical Admixtures for Concrete; ASTM Standard C494/C494M; ASTM International: West Conshohocken, PA, USA, 2015. [Google Scholar]
- ASTM Standard. Standard Specification for Wrought Nickel-Titanium Shape Memory Alloys for Medical Devices and Surgical Implants; ASTM Standard F2063; ASTM International: West Conshohocken, PA, USA, 2012. [Google Scholar]
- ASTM Standard. Standard Test Method for Compressive Strength of Cylindrical Concrete Specimens; ASTM Standard C39/C39M; ASTM International: West Conshohocken, PA, USA, 2015. [Google Scholar]
- ASTM Standard. Standard Test Method for Static Modulus of Elasticity and Poisson’s Ratio of Concrete in Compression; ASTM Standard C469/C469M; ASTM International: West Conshohocken, PA, USA, 2014. [Google Scholar]
- Martin, O. Comparison of different constitutive models for concrete in ABAQUS/explicit for missile impact analyses. JRC Sci. Tech. Rep. 2010, 44. [Google Scholar] [CrossRef]
- Murnal, P.B.; Chatorikar, R.N. Impact resistance of steel fiber reinforced concrete. IJRET Int. J. Res. Eng. Tech. 2015, 4, 241–246. [Google Scholar]
- Xiang-yu, C.; Yi-ning, D.; Azevedo, C. Combined effect of steel fibres and steel rebars on impact resistance of high performance concrete. J. Central South. Uni. Technol. 2011, 18, 1677–1684. [Google Scholar] [CrossRef]
- Patel, U.R.; Rathod, J.D.; Chauhan, D.K. Comparative study of engineered cementitious composites and self-compacting engineered cementitious composites on response under impact loading. Int. J. Emerg. Technol. Adv. Eng. 2012, 2, 262–264. [Google Scholar]
- ACI Standard. Measurement of Properties of Fiber Reinforced Concrete; ACI Standard 544.2R-89; ACI Standard: Farmington Hills, MI, USA, 2009; reapproved. [Google Scholar]
- Kim, M.K.; Kim, D.J.; Chung, Y.-S.; Choi, E. Direct tensile behavior of shape-memory-alloy fiber-reinforced cement composites. Construct. Build. Mater. 2016, 102, 462–470. [Google Scholar] [CrossRef]
- Nehdi, M.; Soliman, A. Novel green roofing membrane system made with recycled leftover paint. Green Mater. 2013, 1, 231–241. [Google Scholar] [CrossRef]
- Li, Q.M.; Mines, R.A.; Birch, R.S. The crush behaviour of Rohacell-51WF structural foam. Int. J. Solids Struct. 2000, 37, 6321–6341. [Google Scholar] [CrossRef]
- ABAQUS User’s Manual; Version 6.12; SIMULIA Dassault Systèmes Simulia Corp.: Johnston, RI, USA, 2012.
- Tahmasebinia, F. Numerical Modelling of Reinforced Concrete Slabs Subject to Impact Loading. Master’s Thesis, University of Wollongong, Wollongong, Australia, 2008. [Google Scholar]
- Lubliner, J.; Oliver, J.; Oller, S.; Onate, E. A plastic-damage model for concrete. Int. J. Solids Struct. 1989, 25, 299–326. [Google Scholar] [CrossRef]
- Lee, J.; Fenves, G. Plastic-damage model for cyclic loading of concrete structures. J. Eng. Mech. 1998, 124, 892–900. [Google Scholar] [CrossRef]
- Cicekli, U.; Voyiadjis, G.Z.; Abu Al-Rub, R.K. A plasticity and anisotropic damage model for plain concrete. Int. J. Plastic. 2007, 23, 1874–1900. [Google Scholar] [CrossRef]
- Grassl, P.; Jirásek, M. Damage-plastic model for concrete failure. Int. J. Solids Struct. 2006, 43, 7166–7196. [Google Scholar] [CrossRef]
- Rousakis, T.C. Mechanical Behaviour of Concrete Confined by Composite Materials. Ph.D. Thesis, Civil Engineering Department, Democritus University of Thrace, Xanthi, Greece, 2005. [Google Scholar]
- Karabinis, A.I.; Rousakis, T.C.; Manolitsi, G.E. 3D finite element analysis of substandard RC columns strengthened by fiber reinforced polymer sheets. J. Compos. Construct. 2008, 12, 531–540. [Google Scholar] [CrossRef]
- Qian, G.; Hanfeng, X.; Sidney, M. An improved test method and numerical analysis for crack opening resistance of FRC round determinate panels. Wuhan Uni. J. Nat. Sci. 2009, 14, 47–52. [Google Scholar] [CrossRef]
- Saenz, L.P. Discussion of equation for the stress-strain curve of concrete-by Desayi P. and Krishan S. ACI J. 1964, 61, 1229–1235. [Google Scholar]
- Tao, Z.; Wang, Z.B.; Yu, Q. Finite element modelling of concrete-filled steel stub columns under axial compression. J. Construct. Steel Res. 2013, 89, 121–131. [Google Scholar] [CrossRef]
- Tao, Y.; Chen, J. Concrete damage plasticity model for modeling FRP-to-concrete bond behavior. J. Compos. Construct. 2015, 19, 45–50. [Google Scholar] [CrossRef]
- Hordijk, D.A. Local Approach to Fatigue of Concrete. Ph.D. Thesis, Delft University of Technology, Delft, The Netherlands, 1991. [Google Scholar]
- CEB-FIB. CEB-FIB MODEL CODE 1990; Thomas Telford: London, UK, 1991. [Google Scholar]
- Kmiecik, P.; Kaminski, M. Modeling of reinforced concrete structures and composite structures with concrete strength degradation taken into consideration. Arch. Civil. Mech. Eng. 2011, 3, 623–636. [Google Scholar] [CrossRef]
- Ranade, R.; Li, V.C.; Heard, W.F.; Williams, B.A. Impact resistance of high strength-high ductility concrete. Cement Concr. Res. 2017, 98, 243–245. [Google Scholar] [CrossRef]




























| Mechanical Properties | Ultimate Tensile Strength (MPa) | Diameter (mm) | Length (mm) | Young’s Modulus (GPa) | Elongation (%) | Density (kg/m3) |
|---|---|---|---|---|---|---|
| SMA | 869 | 0.635 | 16 | 41 | 38 | 6450 |
| PVA | 1620 | 0.039 | 8 | 43 | 6 | 1300 |
| Mixture | Cement | Fly Ash | Silica Sand | w/cm | HRWRA | PVA (%Vf) | SMA (%Vf) |
|---|---|---|---|---|---|---|---|
| ECC2-0 | 1 | 1.2 | 0.8 | 0.26 | 0.012 | 2 | 0 |
| ECC2-0.5 | 1 | 1.2 | 0.8 | 0.26 | 0.012 | 2 | 0.5 |
| ECC2-1.0 | 1 | 1.2 | 0.8 | 0.26 | 0.012 | 2 | 1.0 |
| ECC2-1.5 | 1 | 1.2 | 0.8 | 0.26 | 0.012 | 2 | 1.5 |
| ECC2-0 | ECC2-0.5 | ECC2-1 | ECC2-1.5 | |
|---|---|---|---|---|
| Tensile strength (MPa) | 4.8 | 5.9 | 8.1 | 6.5 |
| Compressive strength (MPa) | 70.1 | 69.6 | 68.7 | 66 |
| Elastic modulus (GPa) | 19.86 | 19.08 | 18.96 | 18.92 |
| Poisson’s ratio | 0.185 | 0.183 | 0.17 | 0.14 |
| Density (kg/m3) | 1808 | 1736 | 1758 | 1790 |
| Mixture | Case 1 | Case 2 | Case 3 | Case 4 | Case 5 | |
|---|---|---|---|---|---|---|
| Number of elements | 111 | 1926 | 8609 | 15180 | 28014 | |
| FEA/Exp. ratio | Applied load | 1.28 | 1.09 | 1.08 | 1.01 | 1.07 |
| Applied energy | 0.97 | 0.98 | 0.98 | 0.99 | 0.98 | |
| Penetration depth | 0.77 | 0.89 | 0.93 | 0.96 | 0.92 |
| Hit No. | ECC2-0 | ECC2-0.5 | ECC2-1 | ECC2-1.5 | |||||||||||||||||
|---|---|---|---|---|---|---|---|---|---|---|---|---|---|---|---|---|---|---|---|---|---|
| Exp. | CDP | DP | CDP/Exp. | DP/Exp. | Exp. | CDP | DP | CDP/Exp. | DP/Exp. | Exp. | CDP | DP | CDP/Exp. | DP/Exp. | Exp. | CDP | DP | CDP/Exp. | DP/Exp. | ||
| Energy (J) | 1 | 10.3 | 10.3 | 11.1 | 1.00 | 1.01 | 11.0 | 11.3 | 11.1 | 1.03 | 1.01 | 10.9 | 11.1 | 11.0 | 1.02 | 1.00 | 10.5 | 10.8 | 11.1 | 1.03 | 1.05 |
| 2 | 21.8 | 20.3 | 21.9 | 0.98 | 1.06 | 21.2 | 21.3 | 21.7 | 1.00 | 1.02 | 21.6 | 21.3 | 21.7 | 0.99 | 1.01 | 21.3 | 20.8 | 22.0 | 0.98 | 1.03 | |
| 3 | 31.5 | 31.4 | 33.1 | 0.99 | 1.05 | 32.2 | 32.4 | 33.0 | 1.01 | 1.03 | 32.2 | 32.4 | 32.8 | 1.01 | 1.02 | 31.7 | 31.8 | 32.9 | 1.01 | 1.04 | |
| Load (kN) | 1 | 17.1 | 16.1 | 14.1 | 0.94 | 0.83 | 16.5 | 15.6 | 13.5 | 0.94 | 0.82 | 17.6 | 16.6 | 14.4 | 0.95 | 0.82 | 16.8 | 15.8 | 13.8 | 0.94 | 0.82 |
| 2 | 27.4 | 28.2 | 17.7 | 1.03 | 0.65 | 28.9 | 28.7 | 20.0 | 0.99 | 0.69 | 29.3 | 29.5 | 22.9 | 1.01 | 0.78 | 27.1 | 28.8 | 21.2 | 1.07 | 0.78 | |
| 3 | 35.7 | 31.9 | 20.5 | 0.89 | 0.57 | 36.9 | 35.2 | 22.7 | 0.95 | 0.62 | 36.4 | 36.0 | 24.6 | 0.99 | 0.68 | 36.5 | 34.0 | 23.8 | 0.93 | 0.65 | |
| Pen. (mm) | 1 | 1.45 | 1.53 | 1.44 | 1.06 | 0.99 | 1.35 | 1.53 | 1.44 | 1.13 | 1.06 | 1.37 | 1.56 | 1.46 | 1.13 | 1.06 | 1.42 | 1.50 | 1.41 | 1.06 | 0.99 |
| 2 | 1.52 | 1.38 | 1.85 | 0.91 | 1.22 | 1.43 | 1.37 | 1.62 | 0.96 | 1.13 | 1.33 | 1.37 | 1.46 | 1.03 | 1.10 | 1.48 | 1.40 | 1.56 | 0.95 | 1.05 | |
| 3 | 1.65 | 1.76 | 2.49 | 1.07 | 1.51 | 1.55 | 1.74 | 2.20 | 1.12 | 1.42 | 1.45 | 1.73 | 2.01 | 1.19 | 1.38 | 1.60 | 1.77 | 2.11 | 1.10 | 1.32 | |
© 2019 by the authors. Licensee MDPI, Basel, Switzerland. This article is an open access article distributed under the terms and conditions of the Creative Commons Attribution (CC BY) license (http://creativecommons.org/licenses/by/4.0/).
Share and Cite
Nehdi, M.L.; Ali, M.A.E.M. Experimental and Numerical Study of Engineered Cementitious Composite with Strain Recovery under Impact Loading. Appl. Sci. 2019, 9, 994. https://doi.org/10.3390/app9050994
Nehdi ML, Ali MAEM. Experimental and Numerical Study of Engineered Cementitious Composite with Strain Recovery under Impact Loading. Applied Sciences. 2019; 9(5):994. https://doi.org/10.3390/app9050994
Chicago/Turabian StyleNehdi, Moncef L., and Mohamed A. E. M. Ali. 2019. "Experimental and Numerical Study of Engineered Cementitious Composite with Strain Recovery under Impact Loading" Applied Sciences 9, no. 5: 994. https://doi.org/10.3390/app9050994
APA StyleNehdi, M. L., & Ali, M. A. E. M. (2019). Experimental and Numerical Study of Engineered Cementitious Composite with Strain Recovery under Impact Loading. Applied Sciences, 9(5), 994. https://doi.org/10.3390/app9050994

