Microstructure and Mechanical Properties of Cement Mortar Containing Phase Change Materials
Abstract
:1. Introduction
2. Materials and Experimental Method
3. Results and Discussion
3.1. X-ray Diffraction Analysis
3.2. Scanning Electron Microscopy Analysis
3.3. Flow Analysis
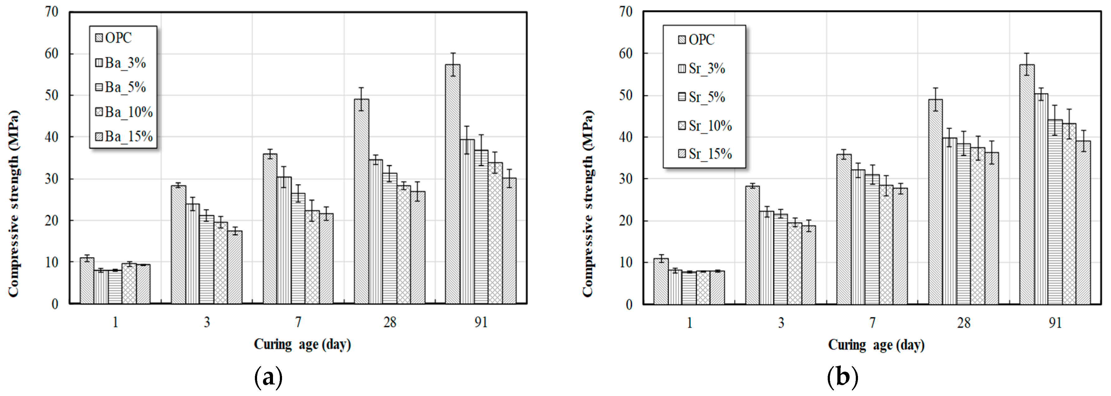
3.4. Mechanical Properties
3.5. Semi-Adiabatic Temperature Rise Test
4. Conclusions
- (1)
- The microstructural analysis results show that the crystalloid content of cement mortar without PCM differs by about 3% from the crystalloid content of cement mortar with PCM regardless of the type of PCM used, and not much difference is evident in the formation of crystals between cement mortar with and without PCM. PCM-Ba and PCM-Sr were found to act on the hydration reactions within the cement matrix, generating oxides of Ba-oxide and Sr-oxide in addition to hydration compounds. Also, we found that the cement paste containing Br produced macdonaldite (BaCA4Si16O36(OH)2•10(H2O)).
- (2)
- PCM mix ratios of 3% to 15% do not have much effect on flexibility. We also found that the use of PCM-Sr decreases the workability compared to the PCM-Ba at the same mix percentage.
- (3)
- As the PCM addition rate increases, the bending strength decreases. Although the strength of the bending increases due to the increase in aging, PCM-Ba does not perform well in terms of flexural strength, even in the long term, so PCM-Sr is favorable for the performance in flexure.
- (4)
- The compressive strength evaluation shows a decrease in compressive strength due to the mixing of PCM into cement mortar, and the decrease in initial strength is significant. In addition, PCM-Ba showed a more rapid drop in compressive strength compared to PCM-Sr. Therefore, it is assumed that the application of PCM-Ba will require user review.
- (5)
- The test results show that the temperature increase and maximum temperature release time of PCMs were delayed up to 5% of the mixing ratio. Both PCM-Ba and PCM-Sr are effective in reducing hydration heat development.
Author Contributions
Funding
Conflicts of Interest
References
- Coppola, L.; Coffetti, D.; Crotti, E. Plain and ultrafine fly ashes mortars for environmentally friendly construction materials. Sustainability 2018, 10, 874. [Google Scholar] [CrossRef]
- Coppola, L.; Lorenzi, S.; Kara, P.; Garlati, S. Performance and compatibility of phosphonate-based superplasticizers for concrete. Buildings 2017, 7, 62. [Google Scholar] [CrossRef]
- Wang, X.Y.; Lee, H.S. Modeling the hydration of concrete incorporating fly ash or slag. Cem. Concr. Res. 2010, 40, 984–996. [Google Scholar] [CrossRef]
- Kim, J.K.; Kim, K.H.; Yang, J.K. Thermal analysis of hydration heat in concrete structures with pipe-cooling system. Comput. Struct. 2001, 79, 163–171. [Google Scholar] [CrossRef]
- Patil, A. Heat of Hydration in the Placement of Mass Concrete. IJEAT 2015, 4, 1–4. [Google Scholar]
- Gajda, J.; Vangeem, M. Controlling Temperatures in Mass Concrete. Concr. Int. 2002, 24, 58–62. [Google Scholar]
- Schackow, A.; Effting, C.; Gomes, I.R.; Patruni, I.Z.; Vicenzi, F.; Kramel, C. Temperature variation in concrete samples due to cement hydration. Appl. Therm. Eng. 2016, 103, 1362–1369. [Google Scholar] [CrossRef]
- Ling, T.C.; Poon, C.S. Use of phase change materials for thermal energy storage in concrete: An overview. Constr. Build. Mater. 2013, 46, 55–62. [Google Scholar] [CrossRef]
- Speyer, R.F. Thermal Analysis of Materials; CRC Press: Boca Raton, FL, USA, 1994; ISBN 0824789636. [Google Scholar]
- Levermore, G.J. A review of the IPCC Assessment Report Four, Part 1: The IPCC process and greenhouse gas emission trends from buildings worldwide. Build. Serv. Eng. Res. Technol. 2008, 29, 349–361. [Google Scholar] [CrossRef]
- Kim, Y.R.; Kim, D.S.; Khil, B.S.; Kim, O.J.; Lee, D.B. An Experimental on Properties of Concrete Using Latent Heat Binder. J. Korea Concr. Inst. 2008, 20, 661–668. [Google Scholar]
- Zhang, D.; Li, Z.; Zhou, J.; Wu, K. Development of thermal energy storage concrete. Cem. Concr. Res. 2004, 34, 927–934. [Google Scholar] [CrossRef]
- Zalba, B.; Marín, J.M.; Cabeza, L.F.; Mehling, H. Review on thermal energy storage with phase change: Materials, heat transfer analysis and applications. Appl. Therm. Eng. 2003, 23, 251–283. [Google Scholar] [CrossRef]
- ASTM International. ASTM C1437-15 Standard Test Method for Flow of Hydraulic Cement Mortar; ASTM International: West Conshohocken, PA, USA, 2015. [Google Scholar] [CrossRef]
- Korean Standards Association. KS L ISO 679: Methods of Testing Cements-Determination of Strength; Korea Industrial Standards; Korea Standards Association: Seoul, Korea, 2006. [Google Scholar]
- Kampf, A.R.; Housley, R.M.; Dunning, G.E.; Walstrom, R.E. Esquireite, BaSi6O13-7H2O, a new layer silicate from the barium silicate deposits of California. Can. Mineral. 2015, 53, 3–12. [Google Scholar] [CrossRef]
- Sanoguera, D.G.; Varón, D.J.; Gimeno, R.A.B.; Bou, S.F. Estudio de materiales con cambio de fase (PCM) y análisis SEM de micro PCM. 3C Tecnol. 2012, 1, 4. [Google Scholar]
- Schmidmair, D.; Kahlenberg, V.; Praxmarer, A.; Perfler, L.; Mair, P. Investigations on the crystal-structure and non-ambient behaviour of K2Ca2Si8O19—A new potassium calcium silicate. J. Solid State Chem. 2017, 253, 336–346. [Google Scholar] [CrossRef]
- Cao, V.D.; Pilehvar, S.; Salas-Bringas, C.; Szczotok, A.M.; Rodriguez, J.F.; Carmona, M.; Al-Manasir, N.; Kjøniksen, A.L. Microencapsulated phase change materials for enhancing the thermal performance of Portland cement concrete and geopolymer concrete for passive building applications. Energy Convers. Manag. 2017, 133, 56–66. [Google Scholar] [CrossRef]
- Suttaphakdee, P.; Dulsang, N.; Lorwanishpaisarn, N.; Kasemsiri, P.; Posi, P.; Chindaprasirt, P. Optimizing mix proportion and properties of lightweight concrete incorporated phase change material paraffin/recycled concrete block composite. Constr. Build. Mater. 2016, 127, 475–483. [Google Scholar] [CrossRef]











| Mix No. | W/C | Cement (g) | Water (g) | Sand (g) | PCM (g) | Test Item | ||||
|---|---|---|---|---|---|---|---|---|---|---|
| 0% | 3% | 5% | 10% | 15% | ||||||
| OPC | 0.5 | 450 | 255 | 1350 | – | – | – | – | – | XRD SEM Flow test Flexural test Compressive test |
| PCM-Ba | – | 13.5 | 22.5 | 45 | 67.5 | |||||
| PCM-Sr | – | 13.5 | 22.5 | 45 | 67.5 | |||||
| OPC | 0.5 | 2800 | 1400 | 6860 | – | – | – | – | – | Semi-adiabatic temperature rise test |
| PCM-Ba | – | 84 | 140 | 280 | 420 | |||||
| PCM-Sr | – | 84 | 140 | 280 | 420 | |||||
© 2019 by the authors. Licensee MDPI, Basel, Switzerland. This article is an open access article distributed under the terms and conditions of the Creative Commons Attribution (CC BY) license (http://creativecommons.org/licenses/by/4.0/).
Share and Cite
Yun, H.-D.; Lee, J.-W.; Jang, Y.-I.; Jang, S.-J.; Choi, W. Microstructure and Mechanical Properties of Cement Mortar Containing Phase Change Materials. Appl. Sci. 2019, 9, 943. https://doi.org/10.3390/app9050943
Yun H-D, Lee J-W, Jang Y-I, Jang S-J, Choi W. Microstructure and Mechanical Properties of Cement Mortar Containing Phase Change Materials. Applied Sciences. 2019; 9(5):943. https://doi.org/10.3390/app9050943
Chicago/Turabian StyleYun, Hyun-Do, Jong-Won Lee, Young-Il Jang, Seok-Joon Jang, and Wonchang Choi. 2019. "Microstructure and Mechanical Properties of Cement Mortar Containing Phase Change Materials" Applied Sciences 9, no. 5: 943. https://doi.org/10.3390/app9050943
APA StyleYun, H.-D., Lee, J.-W., Jang, Y.-I., Jang, S.-J., & Choi, W. (2019). Microstructure and Mechanical Properties of Cement Mortar Containing Phase Change Materials. Applied Sciences, 9(5), 943. https://doi.org/10.3390/app9050943

