Potential of Fluorescence Index Derived from the Slope Characteristics of Laser-Induced Chlorophyll Fluorescence Spectrum for Rice Leaf Nitrogen Concentration Estimation
Abstract
1. Introduction
2. Materials and Methods
2.1. Materials
2.2. Fluorescence Spectrum Measurement
2.3. Analytical Methods
3. Results and Discussion
3.1. Relationship between the Proposed Fluorescence Index and LNC
3.2. LNC Estimation Based on PCA
3.3. LNC Estimation Based on Fluorescence Ratio
3.4. LNC Estimation Based on the Proposed Fluorescence Index
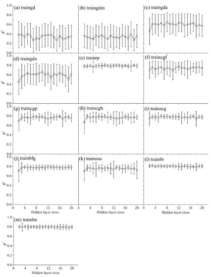
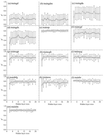
3.5. Performance Analysis of Models
4. Conclusions
Author Contributions
Funding
Acknowledgments
Conflicts of Interest
References
- Dalla Marta, A.; Orlando, F.; Mancini, M.; Guasconi, F.; Motha, R.; Qu, J.; Orlandini, S. A simplified index for an early estimation of durum wheat yield in Tuscany (Central Italy). Field Crop. Res. 2015, 170, 1–6. [Google Scholar] [CrossRef]
- Yao, X.; Zhu, Y.; Tian, Y.; Feng, W.; Cao, W. Exploring hyperspectral bands and estimation indices for leaf nitrogen accumulation in wheat. Int. J. Appl. Earth Obs. Geoinf. 2010, 12, 89–100. [Google Scholar] [CrossRef]
- Zhu, Y.; Li, Y.; Feng, W.; Tian, Y.; Yao, X.; Cao, W. Monitoring leaf nitrogen in wheat using canopy reflectance spectra. Can. J. Plant. Sci. 2006, 86, 1037–1046. [Google Scholar] [CrossRef]
- Mulla, D.J. Twenty-five years of remote sensing in precision agriculture: Key advances and remaining knowledge gaps. Biosyst. Eng. 2013, 114, 358–371. [Google Scholar] [CrossRef]
- Diacono, M.; Rubino, P.; Montemurro, F. Precision nitrogen management of wheat: A review. Agron. Sustain. Dev. 2013, 33, 219–241. [Google Scholar] [CrossRef]
- Tian, Y.C.; Yao, X.; Yang, J.; Cao, W.X.; Hannaway, D.B.; Zhu, Y. Assessing newly developed and published vegetation indices for estimating rice leaf nitrogen concentration with ground- and space-based hyperspectral reflectance. Field Crop. Res. 2011, 120, 299–310. [Google Scholar] [CrossRef]
- Li, F.; Mistele, B.; Hu, Y.; Chen, X.; Schmidhalter, U. Reflectance estimation of canopy nitrogen content in winter wheat using optimised hyperspectral spectral indices and partial least squares regression. Eur. J. Agron. 2014, 52, 198–209. [Google Scholar] [CrossRef]
- Tian, Y.C.; Gu, K.J.; Chu, X.; Yao, X.; Cao, W.X.; Zhu, Y. Comparison of different hyperspectral vegetation indices for canopy leaf nitrogen concentration estimation in rice. Plant Soil 2013, 376, 193–209. [Google Scholar] [CrossRef]
- Kira, O.; Linker, R.; Gitelson, A. Non-destructive estimation of foliar chlorophyll and carotenoid contents: Focus on informative spectral bands. Int. J. Appl. Earth Obs. Geoinf. 2015, 38, 251–260. [Google Scholar] [CrossRef]
- Bassanezi, R.; Amorim, L.; BERGER, R. Gas exchange and emission of chlorophyll fluorescence during the monocycle of rust, angular leaf spot and anthracnose on bean leaves as a function of their trophic characteristics. J. Phytopathol. 2002, 150, 37–47. [Google Scholar] [CrossRef]
- Gaulton, R.; Danson, F.M.; Ramirez, F.A.; Gunawan, O. The potential of dual-wavelength laser scanning for estimating vegetation moisture content. Remote Sens. Environ. 2013, 132, 32–39. [Google Scholar] [CrossRef]
- Cendrero-Mateo, M.P.; Moran, M.S.; Papuga, S.A.; Thorp, K.; Alonso, L.; Moreno, J.; Ponce-Campos, G.; Rascher, U.; Wang, G. Plant chlorophyll fluorescence: Active and passive measurements at canopy and leaf scales with different nitrogen treatments. J. Exp. Bot. 2016, 67, 275–286. [Google Scholar] [CrossRef] [PubMed]
- Gong, W.; Song, S.L.; Zhu, B.; Shi, S.; Li, F.; Cheng, X. Multi-wavelength canopy lidar for remote sensing of vegetation: Design and system performance. ISPRS J. Photogramm. 2012, 69, 1–9. [Google Scholar]
- Wang, J.; Xiao, X.; Qin, Y.; Dong, J.; Zhang, G.; Kou, W.; Jin, C.; Zhou, Y.; Zhang, Y. Mapping paddy rice planting area in wheat-rice double-cropped areas through integration of landsat-8 oli, modis, and palsar images. Sci. Rep. 2015, 5, 10088. [Google Scholar] [CrossRef] [PubMed]
- Edner, H.; Johansson, J.; Ragnarsson, P.; Svanberg, S.; Wallinder, E. Remote monitoring of vegetation using a fluorescence lidar system in spectrally resolving and multi-spectral imaging modes. EARSel Adv. Remote Sens. 1995, 3, 198–206. [Google Scholar]
- Steinvall, O.; Tulldahl, M. Feasibility study for airborne fluorescence/reflectivity lidar bathymetry. Proc. SPIE Int. Soc. Opt. Eng. 2012, 8379, 837914. [Google Scholar]
- Kalaji, H.M.; Jajoo, A.; Oukarroum, A.; Brestic, M.; Zivcak, M.; Samborska, I.A.; Cetner, M.D.; Łukasik, I.; Goltsev, V.; Ladle, R.J. Chlorophyll a fluorescence as a tool to monitor physiological status of plants under abiotic stress conditions. Acta Physiol. Plant. 2016, 38, 1–11. [Google Scholar] [CrossRef]
- Zivcak, M.; Brestic, M.; Kunderlikova, K.; Sytar, O.; Allakhverdiev, S.I. Repetitive light pulse-induced photoinhibition of photosystem i severely affects Co2 assimilation and photoprotection in wheat leaves. Photosynth. Res. 2015, 126, 449–463. [Google Scholar] [CrossRef] [PubMed]
- Živčák, M.; Brestic, M.; Kalaji, H.M. Photosynthetic responses of sun-and shade-grown barley leaves to high light: Is the lower PSII connectivity in shade leaves associated with protection against excess of light? Photosynth. Res. 2014, 119, 339–354. [Google Scholar] [CrossRef] [PubMed]
- Kalaji, H.M.; Schansker, G.; Ladle, R.J.; Goltsev, V.; Bosa, K.; Allakhverdiev, S.I.; Brestic, M.; Bussotti, F.; Calatayud, A.; Dąbrowski, P. Frequently asked questions about in vivo chlorophyll fluorescence: Practical issues. Photosynth. Res. 2014, 122, 121–158. [Google Scholar] [CrossRef] [PubMed]
- Subhash, N.; Mohanan, C.N. Laser-induced red chlorophyll fluorescence signatures as nutrient stress indicator in rice plants. Remote Sens. Environ. 1994, 47, 45–50. [Google Scholar] [CrossRef]
- Günther, K.; Dahn, H.-G.; Lüdeker, W. Remote sensing vegetation status by laser-induced fluorescence. Remote Sens. Environ. 1994, 47, 10–17. [Google Scholar] [CrossRef]
- Yang, J.; Song, S.L.; Du, L.; Shi, S.; Gong, W.; Sun, J.; Chen, B.W. Analyzing the effect of fluorescence characteristics on leaf nitrogen concentration estimation. Remote Sens. 2018, 10, 1402. [Google Scholar] [CrossRef]
- Yang, J.; Du, L.; Gong, W.; Shi, S.; Sun, J.; Chen, B.W. Potential of vegetation indices combined with laser-induced fluorescence parameters for monitoring leaf nitrogen content in paddy rice. PLoS ONE 2018, 13, e0191068. [Google Scholar] [CrossRef] [PubMed]
- Yang, J.; Sun, J.; Du, L.; Chen, B.; Zhang, Z.; Shi, S.; Gong, W. Effect of fluorescence characteristics and different algorithms on the estimation of leaf nitrogen content based on laser-induced fluorescence lidar in paddy rice. Opt. Express 2017, 25, 3743–3755. [Google Scholar] [CrossRef] [PubMed]
- Buschmann, C. Variability and application of the chlorophyll fluorescence emission ratio red/far-red of leaves. Photosynth. Res. 2007, 92, 261–271. [Google Scholar] [CrossRef] [PubMed]
- Song, S.; Gong, W.; Zhu, B.; Huang, X. Wavelength selection and spectral discrimination for paddy rice, with laboratory measurements of hyperspectral leaf reflectance. ISPRS J. Photogramm. 2011, 66, 672–682. [Google Scholar] [CrossRef]
- Živcak, M.; Olsovska, K.; Slamka, P.; Galambošová, J.; Rataj, V.; Shao, H.; Brestič, M. Application of chlorophyll fluorescence performance indices to assess the wheat photosynthetic functions influenced by nitrogen deficiency. Plant Soil Environ. 2014, 60, 210–215. [Google Scholar] [CrossRef]
- Wutzke, K.D.; Heine, W. A century of kjeldahl’s nitrogen determination. Z. Med. Lab. 1985, 26, 383–388. [Google Scholar]
- Tremblay, N.; Wang, Z.; Cerovic, Z.G. Sensing crop nitrogen status with fluorescence indicators. A review. Agron. Sustain. Dev. 2012, 32, 451–464. [Google Scholar] [CrossRef]
- Goltsev, V.; Zaharieva, I.; Chernev, P.; Kouzmanova, M.; Kalaji, H.M.; Yordanov, I.; Krasteva, V.; Alexandrov, V.; Stefanov, D.; Allakhverdiev, S.I. Drought-induced modifications of photosynthetic electron transport in intact leaves: Analysis and use of neural networks as a tool for a rapid non-invasive estimation. Biochim. Biophys. Acta 2012, 1817, 1490–1498. [Google Scholar] [CrossRef] [PubMed]
- Buscema, M. Back propagation neural networks. Subst. Use Misuse 1998, 33, 233–270. [Google Scholar] [CrossRef] [PubMed]
- Samborska, A.I.; Alexandrov, V.; Sieczko, L.; Kornatowska, B.; Goltsev, V.; Magdalena, D.C.; Kalaji, H.M. Artificial neural networks and their application in biological and agricultural research. Signpost Open Access J. Nanophotobiosci. 2014, 2, 14–30. [Google Scholar]
- Ramos, M.E.; Lagorio, M.G. True fluorescence spectra of leaves. Photochem. Photobiol. Sci. 2004, 3, 1063–1066. [Google Scholar] [CrossRef] [PubMed]
- Malenovsky, Z.; Mishra, K.B.; Zemek, F.; Rascher, U.; Nedbal, L. Scientific and technical challenges in remote sensing of plant canopy reflectance and fluorescence. J. Exp. Bot. 2009, 60, 2987–3004. [Google Scholar] [CrossRef] [PubMed]
- Farkas, D.L.; Gouveia-Neto, A.S.; Silva, J.E.A.; Costa, E.B.; Bueno, L.A.; Silva, L.M.H.; Granja, M.M.C.; Medeiros, M.J.L.; Câmara, T.J.R.; Willadino, L.G.; et al. Plant abiotic stress diagnostic by laser induced chlorophyll fluorescence spectral analysis of in vivo leaf tissue of biofuel species. Int. Soc. Opt. Photonics 2010, 7568, 75680G–75688G. [Google Scholar]
- Sun, J.; Yang, J.; Shi, S.; Chen, B.; Du, L.; Gong, W.; Song, S.L. Estimating rice leaf nitrogen concentration: Influence of regression algorithms based on passive and active leaf reflectance. Remote Sens. 2017, 9, 951. [Google Scholar] [CrossRef]
- Ali, K.; Witter, D.; Ortiz, J. Multivariate approach to estimate colour producing agents in case 2 waters using first-derivative spectrophotometer data. Geocarto Int. 2014, 29, 102–127. [Google Scholar] [CrossRef]
- Yang, J.; Du, L.; Gong, W.; Shi, S.; Sun, J.; Chen, B. Analyzing the performance of the first-derivative fluorescence spectrum for estimating leaf nitrogen concentration. Opt. Express 2019, 27, 3987–3990. [Google Scholar] [CrossRef]
- Ortiz, J.D. Application of visible/near infrared derivative spectroscopy to arctic paleoceanography. IOP Conf. Ser. Earth Environ. Sci. 2011, 14, 221–227. [Google Scholar] [CrossRef]
- Gholizadeh, A.; Borůvka, L.; Saberioon, M.M.; Kozák, J.; Vašát, R.; Němeček, K. Comparing different data preprocessing methods for monitoring soil heavy metals based on soil spectral features. Soil Water Res. 2015, 10, 218–227. [Google Scholar] [CrossRef]





© 2019 by the authors. Licensee MDPI, Basel, Switzerland. This article is an open access article distributed under the terms and conditions of the Creative Commons Attribution (CC BY) license (http://creativecommons.org/licenses/by/4.0/).
Share and Cite
Yang, J.; Du, L.; Shi, S.; Gong, W.; Sun, J.; Chen, B. Potential of Fluorescence Index Derived from the Slope Characteristics of Laser-Induced Chlorophyll Fluorescence Spectrum for Rice Leaf Nitrogen Concentration Estimation. Appl. Sci. 2019, 9, 916. https://doi.org/10.3390/app9050916
Yang J, Du L, Shi S, Gong W, Sun J, Chen B. Potential of Fluorescence Index Derived from the Slope Characteristics of Laser-Induced Chlorophyll Fluorescence Spectrum for Rice Leaf Nitrogen Concentration Estimation. Applied Sciences. 2019; 9(5):916. https://doi.org/10.3390/app9050916
Chicago/Turabian StyleYang, Jian, Lin Du, Shuo Shi, Wei Gong, Jia Sun, and Biwu Chen. 2019. "Potential of Fluorescence Index Derived from the Slope Characteristics of Laser-Induced Chlorophyll Fluorescence Spectrum for Rice Leaf Nitrogen Concentration Estimation" Applied Sciences 9, no. 5: 916. https://doi.org/10.3390/app9050916
APA StyleYang, J., Du, L., Shi, S., Gong, W., Sun, J., & Chen, B. (2019). Potential of Fluorescence Index Derived from the Slope Characteristics of Laser-Induced Chlorophyll Fluorescence Spectrum for Rice Leaf Nitrogen Concentration Estimation. Applied Sciences, 9(5), 916. https://doi.org/10.3390/app9050916

