A Stochastic Bulk Damage Model Based on Mohr-Coulomb Failure Criterion for Dynamic Rock Fracture
Abstract
1. Introduction
2. Formulation
2.1. Bulk Damage Problem Description
2.1.1. Damage Driving Force
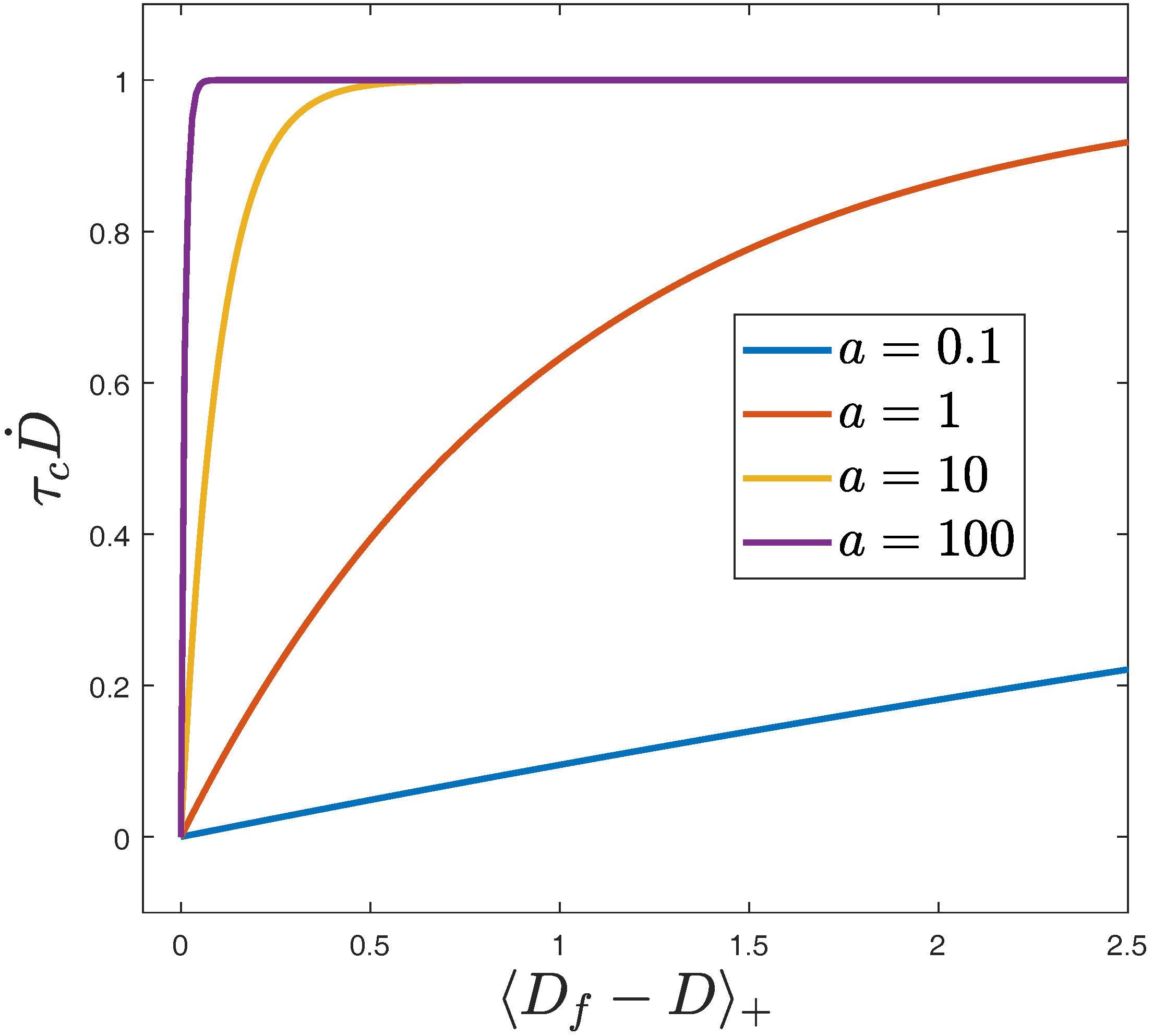
2.1.2. Damage Evolution Law
2.2. Coupling of Damage and Elastodynamic Problems
2.3. Properties of the Damage Model
2.3.1. Damage Force and Effective Stress
2.3.2. Damage Evolution: Rate Effects and Mesh Sensitivity
2.4. aSDG Method
2.5. Realization of Stochastic Damage Model Parameters
3. Numerical Results
3.1. Homogeneous Material
3.1.1. Mesh Sensitivity
3.1.2. The Effect of Load Amplitude
3.2. Heterogeneous Material
3.2.1. Low Amplitude Load
3.2.2. High Amplitude Load
3.2.3. Mesh Sensitivity
4. Conclusions
Author Contributions
Funding
Conflicts of Interest
Abbreviations
| MDPI | Multidisciplinary Digital Publishing Institute |
| DOAJ | Directory of open access journals |
| KL | Karhunen-Loève |
| aSDG | asynchronous Spacetime Discontinuous Galerkin Method |
References
- Dugdale, D.S. Yielding of steel sheets containing slits. J. Mech. Phys. Solids 1960, 8, 100–104. [Google Scholar] [CrossRef]
- Barenblatt, G.I. The mathematical theory of equilibrium of cracks in brittle fracture. Adv. Appl. Mech. 1962, 7, 55–129. [Google Scholar]
- Allix, O.; Feissel, P.; Thévenet, P. A delay damage mesomodel of laminates under dynamic loading: Basic aspects and identification issues. Comput. Struct. 2003, 81, 1177–1191. [Google Scholar] [CrossRef]
- Alfano, G. On the influence of the shape of the interface law on the application of cohesive-zone models. Compos. Sci. Technol. 2006, 66, 723–730. [Google Scholar] [CrossRef]
- Parrinello, F.; Failla, B.; Borino, G. Cohesive-frictional interface constitutive model. Int. J. Solids Struct. 2009, 46, 2680–2692. [Google Scholar] [CrossRef]
- Nguyen, V.P. Discontinuous Galerkin/extrinsic cohesive zone modeling: Implementation caveats and applications in computational fracture mechanics. Eng. Fract. Mech. 2014, 128, 37–68. [Google Scholar] [CrossRef]
- Abedi, R.; Haber, R.B. Spacetime simulation of dynamic fracture with crack closure and frictional sliding. Adv. Model. Simul. Eng. Sci. 2018, 5, 22. [Google Scholar] [CrossRef]
- Spring, D.W.; Leon, S.E.; Paulino, G.H. Unstructured polygonal meshes with adaptive refinement for the numerical simulation of dynamic cohesive fracture. Int. J. Fract. 2014, 189, 33–57. [Google Scholar] [CrossRef]
- Rangarajan, R.; Lew, A.J. Universal meshes: A method for triangulating planar curved domains immersed in nonconforming meshes. Int. J. Numer. Methods Eng. 2014, 98, 236–264. [Google Scholar] [CrossRef]
- Abedi, R.; Omidi, O.; Enayatpour, S. A mesh adaptive method for dynamic well stimulation. Comput. Geotech. 2018, 102, 12–27. [Google Scholar] [CrossRef]
- Belytschko, T.; Black, T. Elastic crack growth in finite elements with minimal remeshing. Int. J. Numer. Methods Eng. 1999, 45, 601–620. [Google Scholar] [CrossRef]
- Moes, N.; Dolbow, J.; Belytschko, T. A finite element method for crack growth without remeshing. Int. J. Numer. Methods Eng. 1999, 46, 131–150. [Google Scholar] [CrossRef]
- Khoei, A.; Vahab, M.; Hirmand, M. An enriched–FEM technique for numerical simulation of interacting discontinuities in naturally fractured porous media. Comput. Methods Appl. Mech. Eng. 2018, 331, 197–231. [Google Scholar] [CrossRef]
- Duarte, C.A.; Babuška, I.; Oden, J.T. Generalized finite element methods for three-dimensional structural mechanics problems. Comput. Struct. 2000, 77, 215–232. [Google Scholar] [CrossRef]
- Strouboulis, T.; Babuška, I.; Copps, K. The design and analysis of the Generalized Finite Element Method. Comput. Methods Appl. Mech. Eng. 2000, 181, 43–69. [Google Scholar] [CrossRef]
- Silling, S.A.; Lehoucq, R. Peridynamic theory of solid mechanics. In Advances in Applied Mechanics; Elsevier: Amsterdam, The Netherlands, 2010; Volume 44, pp. 73–168. [Google Scholar]
- Ha, Y.D.; Bobaru, F. Studies of dynamic crack propagation and crack branching with peridynamics. Int. J. Fract. 2010, 162, 229–244. [Google Scholar] [CrossRef]
- Rabczuk, T.; Ren, H. A peridynamics formulation for quasi-static fracture and contact in rock. Eng. Geol. 2017, 225, 42–48. [Google Scholar] [CrossRef]
- Lasry, D.; Belytschko, T. Localization limiters in transient problems. Int. J. Solids Struct. 1988, 24, 581–597. [Google Scholar] [CrossRef]
- Loret, B.; Prevost, J.H. Dynamic strain localization in elasto-(visco-) plastic solids, Part 1. General formulation and one-dimensional examples. Comput. Methods Appl. Mech. Eng. 1990, 83, 247–273. [Google Scholar] [CrossRef]
- Peerlings, R.; De Borst, R.; Brekelmans, W.; Geers, M. Gradient-enhanced damage modelling of concrete fracture. Mech. Cohes.-Frict. Mater. 1998, 3, 323–342. [Google Scholar] [CrossRef]
- Comi, C. Computational modelling of gradient-enhanced damage in quasi-brittle materials. Mech. Cohes.-Frict. Mater. 1999, 4, 17–36. [Google Scholar] [CrossRef]
- Peerlings, R.; Geers, M.; De Borst, R.; Brekelmans, W. A critical comparison of nonlocal and gradient-enhanced softening continua. Int. J. Solids Struct. 2001, 38, 7723–7746. [Google Scholar] [CrossRef]
- Pereira, L.; Weerheijm, J.; Sluys, L. A new effective rate dependent damage model for dynamic tensile failure of concrete. Eng. Fract. Mech. 2017, 176, 281–299. [Google Scholar] [CrossRef]
- Allix, O.; Deü, J.F. Delayed-damage modelling for fracture prediction of laminated composites under dynamic loading. Eng. Trans. 1997, 45, 29–46. [Google Scholar]
- Lyakhovsky, V.; Hamiel, Y.; Ben-Zion, Y. A non-local visco-elastic damage model and dynamic fracturing. J. Mech. Phys. Solids 2011, 59, 1752–1776. [Google Scholar] [CrossRef]
- Häussler-Combe, U.; Panteki, E. Modeling of concrete spallation with damaged viscoelasticity and retarded damage. Int. J. Solids Struct. 2016, 90, 153–166. [Google Scholar] [CrossRef]
- Junker, P.; Schwarz, S.; Makowski, J.; Hackl, K. A relaxation-based approach to damage modeling. Contin. Mech. Thermodyn. 2017, 29, 291–310. [Google Scholar] [CrossRef]
- de Borst, R.; Verhoosel, C.V. Gradient damage vs phase-field approaches for fracture: Similarities and differences. Comput. Methods Appl. Mech. Eng. 2016, 312, 78–94. [Google Scholar] [CrossRef]
- Mandal, T.K.; Nguyen, V.P.; Heidarpour, A. Phase field and gradient enhanced damage models for quasi-brittle failure: A numerical comparative study. Eng. Fract. Mech. 2019, 207, 48–67. [Google Scholar] [CrossRef]
- Bahmani, B.; Abedi, R. Asynchronous Spacetime Discontinuous Galerkin Formulation for a Hyperbolic Time-Delay Bulk Damage Model. J. Eng. Mech. 2019. accepted. [Google Scholar]
- Abedi, R.; Haber, R.B.; Petracovici, B. A spacetime discontinuous Galerkin method for elastodynamics with element-level balance of linear momentum. Comput. Methods Appl. Mech. Eng. 2006, 195, 3247–3273. [Google Scholar] [CrossRef]
- Abedi, R.; Haber, R.B.; Thite, S.; Erickson, J. An h–adaptive spacetime–discontinuous Galerkin method for linearized elastodynamics. Revue Européenne de Mécanique Numérique (Eur. J. Comput. Mech.) 2006, 15, 619–642. [Google Scholar]
- Bischoff, P.H.; Perry, S.H. Impact behavior of plain concrete loaded in uniaxial compression. J. Eng. Mech. 1995, 121, 685–693. [Google Scholar] [CrossRef]
- Al-Ostaz, A.; Jasiuk, I. Crack initiation and propagation in materials with randomly distributed holes. Eng. Fract. Mech. 1997, 58, 395–420. [Google Scholar] [CrossRef]
- Kozicki, J.; Tejchman, J. Effect of aggregate structure on fracture process in concrete using 2D lattice model. Arch. Mech. 2007, 59, 365–384. [Google Scholar]
- Bazant, Z.; Novak, D. Probabilistic nonlocal theory for quasibrittle fracture initiation and size effect—I: Theory. J. Eng. Mech. 2000, 126, 166–174. [Google Scholar] [CrossRef]
- Rinaldi, A.; Krajcinovic, D.; Mastilovic, S. Statistical damage mechanics and extreme value theory. Int. J. Damage Mech. (USA) 2007, 16, 57–76. [Google Scholar] [CrossRef]
- Bazant, Z.P.; Le, J.L. Probabilistic Mechanics of Quasibrittle Structures: Strength, Lifetime, and Size Effect; Cambridge University Press: Cambridge, UK, 2017. [Google Scholar]
- Weibull, W. A statistical theory of the strength of materials. R. Swed. Inst. Eng. Res. 1939, 151, 1–45. [Google Scholar]
- Weibull, W. A statistical distribution function of wide applicability. J. Appl. Mech. 1951, 18, 293–297. [Google Scholar]
- Abedi, R.; Omidi, O.; Clarke, P. Numerical simulation of rock dynamic fracturing and failure including microscale material randomness. In In Proceedings of the 50th US Rock Mechanics/Geomechanics Symposium, Houston, TX, USA, 26–29 June 2016. ARMA 16-0531. [Google Scholar]
- Abedi, R.; Haber, R.; Elbanna, A. Mixed-mode dynamic crack propagation in rocks with contact-separation mode transitions. In In Proceedings of the 51th US Rock Mechanics/Geomechanics Symposium, San Francisco, CA, USA, 25–28 June 2017. ARMA 17-0679. [Google Scholar]
- Abedi, R.; Haber, R.B.; Clarke, P.L. Effect of random defects on dynamic fracture in quasi-brittle materials. Int. J. Fract. 2017, 208, 241–268. [Google Scholar] [CrossRef]
- Clarke, P.; Abedi, R.; Bahmani, B.; Acton, K.; Baxter, S. Effect of the spatial inhomogeneity of fracture strength on fracture pattern for quasi-brittle materials. In In Proceedings of the ASME 2017 International Mechanical Engineering Congress & Exposition, IMECE 2017, Tampa, FL, USA, 3–9 November 2017; p. V009T12A045. [Google Scholar]
- Hoek, E.; Brown, T. Underground Excavations in Rock; Geotechnics and Foundations; Taylor & Francis: Stroud, UK, 1980. [Google Scholar]
- Suffis, A.; Lubrecht, T.A.; Combescure, A. Damage model with delay effect: Analytical and numerical studies of the evolution of the characteristic damage length. Int. J. Solids Struct. 2003, 40, 3463–3476. [Google Scholar] [CrossRef]
- Murakami, S. Continuum Damage Mechanics; Springer: New York, NY, USA, 2012. [Google Scholar]
- Mazars, J. Application de la Mécanique de l’Endommagement au Comportement non Linéaire et à la Rupture du Béton de Structure. Ph.D. Thesis, Universite Pierre et Marie Curie, Paris, France, 1984. [Google Scholar]
- Jirásek, M.; Patzák, B. Consistent tangent stiffness for nonlocal damage models. Comput. Struct. 2002, 80, 1279–1293. [Google Scholar] [CrossRef]
- Moreau, K.; Moës, N.; Picart, D.; Stainier, L. Explicit dynamics with a non-local damage model using the thick level set approach. Int. J. Numer. Methods Eng. 2015, 102, 808–838. [Google Scholar] [CrossRef]
- Londono, J.G.; Berger-Vergiat, L.; Waisman, H. An equivalent stress-gradient regularization model for coupled damage-viscoelasticity. Comput. Methods Appl. Mech. Eng. 2017, 322, 137–166. [Google Scholar] [CrossRef]
- Abedi, R.; Chung, S.H.; Erickson, J.; Fan, Y.; Garland, M.; Guoy, D.; Haber, R.; Sullivan, J.M.; Thite, S.; Zhou, Y. Spacetime meshing with adaptive refinement and coarsening. In Proceedings of the Twentieth Annual Symposium on Computational Geometry, SCG ’04, Brooklyn, NY, USA, 8–11 June 2004; ACM: New York, NY, USA, 2004; pp. 300–309. [Google Scholar]
- Dimas, L.; Giesa, T.; Buehler, M. Coupled continuum and discrete analysis of random heterogeneous materials: Elasticity and fracture. J. Mech. Phys. Solids 2014, 63, 481–490. [Google Scholar] [CrossRef]
- Carmeliet, J.; Hens, H. Probabilistic nonlocal damage model for continua with random field properties. J. Eng. Mech. 1994, 120, 2013–2027. [Google Scholar] [CrossRef]
- Zhou, F.; Molinari, J. Stochastic fracture of ceramics under dynamic tensile loading. Int. J. Solids Struct. 2004, 41, 6573–6596. [Google Scholar] [CrossRef]
- Schicker, J.; Pfuff, M. Statistical Modeling of fracture in quasi-brittle materials. Adv. Eng. Mater. 2006, 8, 406–410. [Google Scholar] [CrossRef]
- Levy, S.; Molinari, J. Dynamic fragmentation of ceramics, signature of defects and scaling of fragment sizes. J. Mech. Phys. Solids 2010, 58, 12–26. [Google Scholar] [CrossRef]
- Daphalapurkar, N.; Ramesh, K.; Graham-Brady, L.; Molinari, J. Predicting variability in the dynamic failure strength of brittle materials considering pre-existing flaws. J. Mech. Phys. Solids 2011, 59, 297–319. [Google Scholar] [CrossRef]
- Acton, K.A.; Baxter, S.C.; Bahmani, B.; Clarke, P.L.; Abedi, R. Voronoi tessellation based statistical volume element characterization for use in fracture modeling. Comput. Methods Appl. Mech. Eng. 2018, 336, 135–155. [Google Scholar] [CrossRef]
- Bahmani, B.; Yang, M.; Nagarajan, A.; Clarke, P.L.; Soghrati, S.; Abedi, R. Automated homogenization-based fracture analysis: Effects of SVE size and boundary condition. Comput. Methods Appl. Mech. Eng. 2019, 345, 701–727. [Google Scholar] [CrossRef]
- Karhunen, K.; Selin, I. On Linear Methods in Probability Theory; Rand Corporation: Santa Monica, CA, USA, 1960. [Google Scholar]
- Loéve, M. Probability Theory; Springer: New York, NY, USA, 1977. [Google Scholar]
- Ghanem, R.; Spanos, P. Stochastic Finite Elements: A Spectral Approach; Springer: New York, NY, USA, 1991. [Google Scholar]
- Clarke, P.; Abedi, R. Fracture modeling of rocks based on random field generation and simulation of inhomogeneous domains. In In Proceedings of the 51th US Rock Mechanics/Geomechanics Symposium, San Francisco, CA, USA, 25–28 June 2017. ARMA 17-0643. [Google Scholar]
- Häussler-Combe, U.; Kühn, T. Modeling of strain rate effects for concrete with viscoelasticity and retarded damage. Int. J. Impact Eng. 2012, 50, 17–28. [Google Scholar] [CrossRef]
- Bahmani, B.; Clarke, P.; Abedi, R. A bulk damage model for modeling dynamic fracture in rock. In In Proceedings of the 52th US Rock Mechanics/Geomechanics Symposium, Seattle, Washington, USA, 17–20 June 2018. ARMA 18-826. [Google Scholar]
- Bazant, Z.P.; Belytschko, T.B.; Chang, T.P. Continuum theory for strain-softening. J. Eng. Mech. 1984, 110, 1666–1692. [Google Scholar] [CrossRef]
- Bažant, Z.P.; Belytschko, T.B. Wave propagation in a strain-softening bar: Exact solution. J. Eng. Mech. 1985, 111, 381–389. [Google Scholar] [CrossRef]
- Xu, T.; Yang, S.; Chen, C.; Yang, T.; Zhang, P.; Liu, H. Numerical Investigation of Damage Evolution and Localized Fracturing of Brittle Rock in Compression. J. Perform. Constr. Facil. 2017, 31, 04017065. [Google Scholar] [CrossRef]
- Tang, C.; Tham, L.; Lee, P.; Tsui, Y.; Liu, H. Numerical studies of the influence of microstructure on rock failure in uniaxial compression—Part II: Constraint, slenderness, and size effect. Int. J. Rock Mech. Min. Sci. 2000, 37, 571–583. [Google Scholar] [CrossRef]
- Teng, J.; Zhu, W.; Tang, C. Mesomechanical model for concrete. Part II: Applications. Mag. Concr. Res. 2004, 56, 331–345. [Google Scholar] [CrossRef]
- Li, G.; Tang, C.A. A statistical meso-damage mechanical method for modeling trans-scale progressive failure process of rock. Int. J. Rock Mech. Min. Sci. 2015, 74, 133–150. [Google Scholar] [CrossRef]
- Dinç, Ö.; Scholtès, L. Discrete Analysis of Damage and Shear Banding in Argillaceous Rocks. Rock Mech. Rock Eng. 2018, 51, 1521–1538. [Google Scholar] [CrossRef]
- Rangari, S.; Murali, K.; Deb, A. Effect of Meso-structure on Strength and Size Effect in Concrete under Compression. Eng. Fract. Mech. 2018, 195, 162–185. [Google Scholar] [CrossRef]
- Hoek, E. Strength of jointed rock masses. Geotechnique 1983, 33, 187–223. [Google Scholar] [CrossRef]
- Abedi, R.; Clarke, P.L. Modeling of rock inhomogeneity and anisotropy by explicit and implicit representation of microcracks. In In Proceedings of the 52nd US Rock Mechanics/Geomechanics Symposium, Seattle, WA, USA, 17–20 June 2018. ARMA 18-151-0228-1094. [Google Scholar]
- Pietruszczak, S.; Mroz, Z. On failure criteria for anisotropic cohesive-frictional materials. Int. J. Numer. Anal. Methods Geomech. 2001, 25, 509–524. [Google Scholar] [CrossRef]
- Lee, Y.K.; Pietruszczak, S. Analytical representation of Mohr failure envelope approximating the generalized Hoek-Brown failure criterion. Int. J. Rock Mech. Min. Sci. 2017, 100, 90–99. [Google Scholar] [CrossRef]




















| Properties | Units | Values |
|---|---|---|
| E | 65 | |
| 2650 | ||
| 30 | ||
| 10 | ||
| - | ||
| c | ||
| 17 | ||
| a | - | 10 |
© 2019 by the authors. Licensee MDPI, Basel, Switzerland. This article is an open access article distributed under the terms and conditions of the Creative Commons Attribution (CC BY) license (http://creativecommons.org/licenses/by/4.0/).
Share and Cite
Bahmani, B.; Abedi, R.; Clarke, P.L. A Stochastic Bulk Damage Model Based on Mohr-Coulomb Failure Criterion for Dynamic Rock Fracture. Appl. Sci. 2019, 9, 830. https://doi.org/10.3390/app9050830
Bahmani B, Abedi R, Clarke PL. A Stochastic Bulk Damage Model Based on Mohr-Coulomb Failure Criterion for Dynamic Rock Fracture. Applied Sciences. 2019; 9(5):830. https://doi.org/10.3390/app9050830
Chicago/Turabian StyleBahmani, Bahador, Reza Abedi, and Philip L. Clarke. 2019. "A Stochastic Bulk Damage Model Based on Mohr-Coulomb Failure Criterion for Dynamic Rock Fracture" Applied Sciences 9, no. 5: 830. https://doi.org/10.3390/app9050830
APA StyleBahmani, B., Abedi, R., & Clarke, P. L. (2019). A Stochastic Bulk Damage Model Based on Mohr-Coulomb Failure Criterion for Dynamic Rock Fracture. Applied Sciences, 9(5), 830. https://doi.org/10.3390/app9050830
